Ground Deformation and Seismic Fault Model of the M6.4 Durres (Albania) Nov. 26, 2019 Earthquake, Based on GNSS/INSAR Observations
Abstract
1. Introduction
| Institute | Mw | Μ0 | Depth | Strike | Dip | Rake | Strike | Dip | Rake | Source |
|---|---|---|---|---|---|---|---|---|---|---|
| (N m−1) | (km) | (°) | (°) | (°) | (°) | (°) | (°) | |||
| GFZ | 6.4 | 5.20 × 1018 | 26 | 151 | 72 | 89 | 335 | 18 | 94 | 1 |
| GCMT | 6.4 | 5.65 × 1018 | 24.1 | 145 | 68 | 79 | 351 | 25 | 114 | 2 |
| USGS | 6.4 | 4.56 × 1018 | 19.5 | 156 | 63 | 89 | 338 | 27 | 92 | 3 |
| CPPT | 6.4 | 5.08 × 1018 | 15 | 168 | 69 | 104 | 312 | 25 | 57 | 4 |
| INGV | 6.2 | 2.38 × 1018 | 21 | 134 | 82 | 84 | 350 | 10 | 126 | 5 |
| AUTH | 6.1 | 1.34 × 1018 | 6 | 150 | 49 | 109 | 303 | 44 | 69 | 6 |
2. Data and Methods
2.1. InSAR Data Processing
2.2. GNSS Data Processing
3. Inversion of the Geodetic Data
4. Discussion
4.1. Geodetic Determination of Earthquake Parameters
4.2. Tectonic Strain and Earthquake Recurrence
4.3. GNSS Magnitude of Durres Earthquake
5. Conclusions
- We identify the main source of the Mw = 6.4 earthquake that rocked north-central Albania on November 26, 2019 to be located within the frontal area of the basal thrust of the Dinaric–Hellenic orogen.
- We modelled the seismic fault by combining the ascending and descending Sentinel observations. Mixing ascending and descending orbits provides a more robust solution. We find that we can model the overall fringe pattern by reverse slip on an east-dipping fault. The fault plane is a low-angle thrust fault (22 by 13 km) that dips towards the east (23°).
- The inversion of geodetic data suggests that the upper edge of the fault is at a depth of 14 km, well constrained by the modelling of the interferograms.
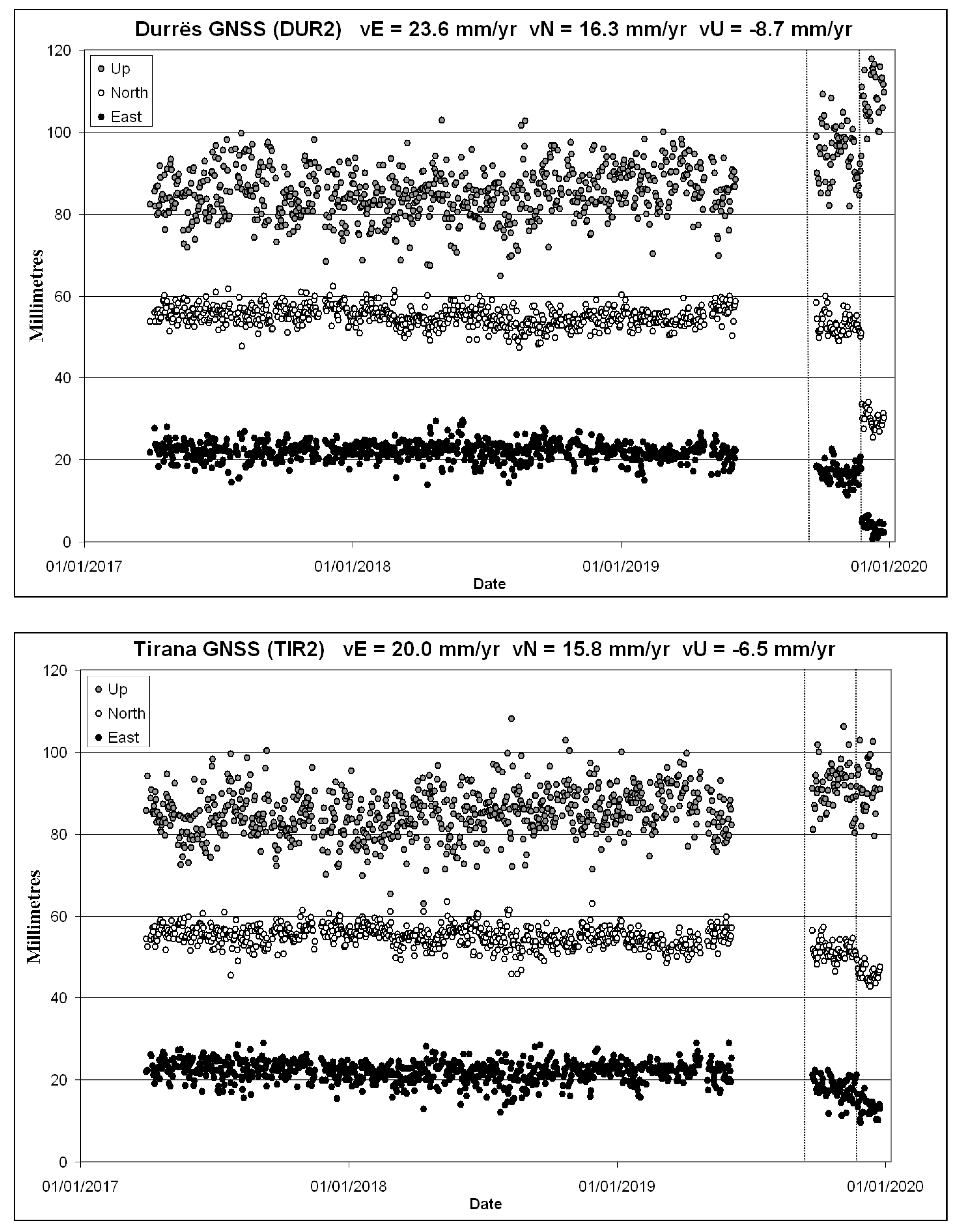
- Geodetic data GNSS and InSAR (Figure 2) show ground motion to the southwest and surface uplift in agreement with moment tensor solutions from seismology.
- The epicentre published by EMSC is located 15 km southwest of the one deduced from geodesy, this might be due to insufficient inaccuracy of the velocity model of the crust beneath the Adriatic.
- It is notable that there is a 123 ns yr−1 active shortening of the crust between the GNSS stations DUR2-TIR2 (equivalent to a shortening rate of 3.6 mm yr−1), and roughly in the east-west direction.
- Given this amount of strain the recurrence time of M6+ earthquakes along this fault should be of the order of 150 years.
- The GNSS-derived magnitude in station DUR2 matches the moment magnitude from seismology to within 0.04 units.
Supplementary Materials
Author Contributions
Funding
Acknowledgments
Conflicts of Interest
References
- Baker, C.; Hatzfeld, D.; Lyon-Caen, H.; Papadimitriou, E.; Rigo, A. Earthquake mechanisms of the Adriatic Sea and Western Greece: Implications for the oceanic subduction-continental collision transition. Geophys. J. Int. 1997, 131, 559–594. [Google Scholar] [CrossRef]
- Louvari, E.; Kiratzi, A.; Papazachos, B.; Hatzidimitriou, P. Fault-plane Solutions Determined by Waveform Modeling Confirm Tectonic Collision in the Eastern Adriatic. Pure Appl. Geophys. 2001, 158, 1613–1637. [Google Scholar] [CrossRef]
- Jouanne, F.; Mugnier, J.-L.; Koçi, R.; Bushati, S.; Matev, K.; Kuka, N.; Shinko, I.; Kociu, S.; Duni, L. GPS constraints on current tectonics of Albania. Tectonophysics 2012, 554, 50–62. [Google Scholar] [CrossRef]
- Pérouse, E.; Chamot-Rooke, N.; Rabaute, A.; Briole, P.; Jouanne, F.; Georgiev, I.; Dimitrov, D. Bridging onshore and offshore present-day kinematics of central and eastern Mediterranean: Implications for crustal dynamics and mantle flow. Geochem. Geophys. Geosyst. 2012, 13. [Google Scholar] [CrossRef]
- Métois, M.; D’Agostino, N.; Avallone, A.; Rabaute, A.; Duni, L.; Kuka, N.; Koçi, R.; Georgiev, I.; Chamot-Rooke, N. Insights on continental collisional processes from GPS data: Dynamics of the peri-Adriatic belts. J. Geophys. Res. Solid Earth 2015, 120, 8701–8719. [Google Scholar] [CrossRef]
- D’Agostino, N.; Métois, M.; Koci, R.; Duni, L.; Kuka, N.; Ganas, A.; Georgiev, I.; Jouanne, F.; Kaludjerovic, N.; Kandić, R. Active crustal deformation and rotations in the southwestern Balkans from continuous GPS measurements. Earth Planet. Sci. Lett. 2020, 539, 116246. [Google Scholar] [CrossRef]
- Xhomo, A.; Nazaj, S.; Nakuci, V.; Yzeiraj, D.; Lula, F.; Sadushi, P. Geological Map of Albania (1:200.000); Ministry of Industry and Energy, Ministry of Education and Science, Albanian Geological Survey, AlpPetrol, Polytechnical University of Tirana: Tirana, Albania, 1999. [Google Scholar]
- Handy, M.R.; Giese, J.; Schmid, S.M.; Pleuger, J.; Spakman, W.; Onuzi, K.; Ustaszewski, K. Coupled Crust-Mantle Response to Slab Tearing, Bending, and Rollback Along the Dinaride-Hellenide Orogen. Tectonics 2019, 38, 2803–2828. [Google Scholar] [CrossRef]
- Handy, M.R.; Schmid, S.M.; Briole, P. The M 6.4 Albanian earthquake of Nov. 26, 2019 and its relation to structures at the Dinarides-Hellenides junctions. EGU Gen. Assem. 2020, 5409, 5194. [Google Scholar] [CrossRef]
- Aliaj, S.; Sulstarova, E.; Muço, B.; Koçiu, S. Seismotectonic Map of Albania, at Scale 1:500.000; Seismological Institute, Academy of Sciences: Tirana, Albania, 2000; p. 297. [Google Scholar]
- Basili, R.; Kastelic, V.; Demircioglu, M.B.; Garcia Moreno, D.; Nemser, E.S.; Petricca, P.; Sboras, S.P.; Besana-Ostman, G.M.; Cabral, J.; Camelbeeck, T.; et al. The European Database of Seismogenic Faults (EDSF) Compiled in the Framework of the Project SHARE. 2013. Available online: http://diss.rm.ingv.it/share-edsf/doi:10.6092/INGV.IT-SHARE-EDSF (accessed on 9 May 2020).
- Aubouin, J.; Dercourt, J. Les transversales dinariques dérivent-elles de paléofailles transformantes? Comptes Rendus Académie Sci. 1975, 281, 347–350. [Google Scholar]
- Ambraseys, N.N.; Ciborowski, A.; Despeyroux, J. The Earthquake of 15 April in Montenegro; The United Nations Educational, Scientific and Cultural Organization: Paris, France, 1979. [Google Scholar]
- Benetatos, C.; Kiratzi, A. Finite-fault slip models for the 15 April 1979 (Mw 7.1) Montenegro earthquake and its strongest aftershock of 24 May 1979 (Mw 6.2). Tectonophysics 2006, 421, 129–143. [Google Scholar] [CrossRef]
- Papadopoulos, G.; Agalos, A.; Carydis, P.; Lekkas, E.; Mavroulis, S.; Triantafyllou, I. The Destructive Earthquake (Mw6.4) of 26 November 2019 in Albania: A First Report. EGU Gen. Assem. 2020. [Google Scholar] [CrossRef]
- Lekkas, E.; Mavroulis, S.; Papa, D.; Carydis, P. The November 26, 2019 Mw 6.4 Durrës (Albania) Earthquake; Newsletter of Environmental, Disaster and Crises Management Strategies: Athens, Greece, 2019; p. 15. ISSN 2653-9454. [Google Scholar]
- Caporali, A.; Floris, M.; Chen, X.; Nurçe, B.; Bertocco, M.; Zurutuza, J. The November 2019 Seismic Sequence in Albania: Geodetic Constraints and Fault Interaction. Remote Sens. 2020, 12, 846. [Google Scholar] [CrossRef]
- Ganas, A. Co-seismic deformation and preliminary fault model of the M6.4 Durres (Albania) Nov. 26, 2019 earthquake, based on space geodesy observations. EGU Gen. Assem. 2020. Available online: https://www.google.com.hk/url?sa=t&rct=j&q=&esrc=s&source=web&cd=&cad=rja&uact=8&ved=2ahUKEwivotmMg8_pAhUUhZQKHQIEA4kQFjAAegQIAhAB&url=https%3A%2F%2Fmeetingorganizer.copernicus.org%2FEGU2020%2FEGU2020-8478.html%3Fpdf&usg=AOvVaw0OfVQKceWMZpL3K9PRsJfT (accessed on 25 May 2020).
- Mavroulis, S.; Lekkas, E.; Carydis, P.; Papa, D. Factors controlling building damage distribution of the November 26 Mw 6.4 Albania earthquake. EGU Gen. Assem. 2020, 2020–18616. [Google Scholar] [CrossRef]
- Duni, L.; Theodoulidis, N. Short Note on the November 26, 2019, Durrës (Albania) M6.4 Earthquake: Strong Ground Motion with Emphasis in Durrës City. EMSC on Line Report. Available online: https://www.google.com.hk/url?sa=t&rct=j&q=&esrc=s&source=web&cd=&ved=2ahUKEwjP2v6Nhs_pAhXOGaYKHfTWChIQFjAAegQIAxAB&url=http%3A%2F%2Fwww.itsak.gr%2Fuploads%2Fnews%2Fearthquake_reports%2FEQ_Albania_2019-11-26_M6.4.pdf&usg=AOvVaw3sWTWRshmwbW_G2Uct-M4e (accessed on 9 May 2020).
- Lekkas, E.; Mavroulis, S.; Filis, C.; Carydis, P. The September 21, 2019 Mw 5.6 Albania Earthquake; Newsletter of Environmental, Disaster and Crises Management Strategies: Athens, Greece, 2019; p. 13. ISSN 2653-9454. [Google Scholar]
- Piccardi, L.; Toth, L.; Vittori, E.; Aliaj, S.; Cello, G.; Cunningham, D.W.; Drakatos, G.; Gosar, A.; Herak, D.; Herak, M.; et al. A First Attempt at Compiling a Map of Active Faults of the Adria Region; Geophysical Research Abstracts: Vienna, Austria, 2007; Volume 9, p. 09228. Available online: https://www.bib.irb.hr/297056 (accessed on 25 May 2020).
- Kontoes, C.; Elias, P.; Sykioti, O.; Briole, P.; Remy, D.; Sachpazi, M.; Veis, G.; Kotsis, I. Displacement field and fault model for the September 7, 1999 Athens Earthquake inferred from ERS2 Satellite radar interferometry. Geophys. Res. Lett. 2000, 27, 3989–3992. [Google Scholar] [CrossRef]
- Atzori, S.; Manunta, M.; Fornaro, G.; Ganas, A.; Salvi, S. Postseismic displacement of the 1999 Athens earthquake retrieved by the Differential Interferometry by Synthetic Aperture Radar time series. J. Geophys. Res. Space Phys. 2008, 113, 09309. [Google Scholar] [CrossRef]
- Atzori, S.; Hunstad, I.; Chini, M.; Salvi, S.; Tolomei, C.; Bignami, C.; Stramondo, S.; Trasatti, E.; Antonioli, A.; Boschi, E. Finite fault inversion of DInSAR coseismic displacement of the 2009 L’Aquila earthquake (central Italy). Geophys. Res. Lett. 2009, 36. [Google Scholar] [CrossRef]
- Briole, P.; Elias, P.; Parcharidis, I.; Bignami, C.; Benekos, G.; Samsonov, S.; Kyriakopoulos, C.; Stramondo, S.; Chamot-Rooke, N.; Drakatou, M.; et al. The seismic sequence of January–February 2014 at Cephalonia Island (Greece): Constraints from SAR interferometry and GPS. Geophys. J. Int. 2015, 203, 1528–1540. [Google Scholar] [CrossRef][Green Version]
- Ilieva, M.; Briole, P.; Ganas, A.; Dimitrov, D.; Elias, P.; Mouratidis, A.; Charara, R. Fault plane modelling of the 2003 August 14 Lefkada Island (Greece) earthquake based on the analysis of ENVISAT SAR interferograms. Tectonophysics 2016, 693, 47–65. [Google Scholar] [CrossRef]
- Papadopoulos, G.A.; Ganas, A.; Agalos, A.; Papageorgiou, A.; Kontoes, C.; Diakogianni, G.; Papoutsis, I. Earthquake Triggering Inferred from Rupture Histories, DInSAR Ground Deformation and Stress-Transfer Modelling: The Case of Central Italy During August 2016–January 2017. Pure Appl. Geophys. 2017, 174, 3689–3711. [Google Scholar] [CrossRef]
- Melgar, D.; Ganas, A.; Geng, J.; Liang, C.; Fielding, E.; Kassaras, I. Source characteristics of the 2015Mw6.5 Lefkada, Greece, strike-slip earthquake. J. Geophys. Res. Solid Earth 2017, 122. [Google Scholar] [CrossRef]
- Ganas, A.; Elias, P.; Bozionelos, G.; Papathanassiou, G.; Avallone, A.; Papastergios, A.; Valkaniotis, S.; Parcharidis, I.; Briole, P. Coseismic deformation, field observations and seismic fault of the 17 November 2015 M = 6.5, Lefkada Island, Greece earthquake. Tectonophysics 2016, 687, 210–222. [Google Scholar] [CrossRef]
- Ganas, A.; Elias, P.; Kapetanidis, V.; Valkaniotis, S.; Briole, P.; Kassaras, I.; Argyrakis, P.; Barberopoulou, A.; Moshou, A. The July 20, 2017 M6.6 Kos Earthquake: Seismic and Geodetic Evidence for an Active North-Dipping Normal Fault at the Western End of the Gulf of Gökova (SE Aegean Sea). Pure Appl. Geophys. 2019, 176, 4177–4211. [Google Scholar] [CrossRef]
- Veci, L.; Lu, J.; Prats-Iraola, P.; Scheiber, R.; Collard, F.; Fomferra, N.; Engdahl, M. The Sentinel-1 toolbox. In Proceedings of the IEEE International Geoscience and Remote Sensing Symposium (IGARSS), Quebec City, QC, Canada, 13–18 July 2014; pp. 1–3. [Google Scholar]
- Farr, T.; Rosen, P.A.; Caro, E.; Crippen, R.; Duren, R.; Hensley, S.; Kobrick, M.; Paller, M.; Rodríguez, E.; Roth, L.; et al. The Shuttle Radar Topography Mission. Rev. Geophys. 2007, 45, 2004. [Google Scholar] [CrossRef]
- Goldstein, R.M.; Werner, C.L. Radar interferogram filtering for geophysical applications. Geophys. Res. Lett. 1998, 25, 4035–4038. [Google Scholar] [CrossRef]
- Zumberge, J.F.; Heflin, M.B.; Jefferson, D.C.; Watkins, M.M.; Webb, F.H. Precise point positioning for the efficient and robust analysis of GPS data from large networks. J. Geophys. Res. Space Phys. 1997, 102, 5005–5017. [Google Scholar] [CrossRef]
- Bertiger, W.; Desai, S.D.; Haines, B.; Harvey, N.; Moore, A.W.; Owen, S.; Weiss, J.P. Single receiver phase ambiguity resolution with GPS data. J. Geod. 2010, 84, 327–337. [Google Scholar] [CrossRef]
- Briole, P. Modelling of earthquake slip by inversion of GNSS and InSAR data assuming homogenous elastic medium. Zenodo 2017. [Google Scholar] [CrossRef]
- Ganas, A.; Briole, P.; Bozionelos, G.; Barberopoulou, A.; Elias, P.; Tsironi, V.; Valkaniotis, S.; Moshou, A.; Mintourakis, I. The 25 October 2018 Mw = 6.7 Zakynthos earthquake (Ionian Sea, Greece): A low-angle fault model based on GNSS data, relocated seismicity, small tsunami and implications for the seismic hazard in the west Hellenic Arc. J. Geodyn. 2020, 101731. [Google Scholar] [CrossRef]
- Papazachos, B.C.; Comninakis, P.E.; Karakaisis, G.F.; Karakostas, B.G.; Papaioannou, C.A.; Papazachos, C.B.; Scordilis, E.M. A Catalogue of Earthquakes in Greece and Surrounding Area for the Period 550BC-1999; Publ. Geophys. Laboratory, University of Thessaloniki: Thessaloniki, Greece, 2000; Volume 1, p. 333. [Google Scholar]
- Crowell, B.W.; Melgar, D.; Bock, Y.; Haase, J.S.; Geng, J. Earthquake magnitude scaling using seismogeodetic data. Geophys. Res. Lett. 2013, 40, 6089–6094. [Google Scholar] [CrossRef]
- Melgar, D.; Crowell, B.W.; Geng, J.; Allen, R.M.; Bock, Y.; Riquelme, S.; Hill, E.M.; Protti, M.; Ganas, A. Earthquake magnitude calculation without saturation from the scaling of peak ground displacement. Geophys. Res. Lett. 2015, 42, 5197–5205. [Google Scholar] [CrossRef]
- Ganas, A.; Andritsou, N.; Kosma, C.; Argyrakis, P.; Tsironi, V.; Drakatos, G. A 20-yr database (1997–2017) of co-seismic displacements from GPS recordings in the Aegean area and their scaling with Mw and hypocentral distance. Bull. Geol. Soc. Greece 2018, 52, 98–130. [Google Scholar] [CrossRef]
- Ruhl, C.J.; Melgar, D.; Geng, J.; Goldberg, D.E.; Crowell, B.W.; Allen, R.M.; Bock, Y.; Barrientos, S.; Muñoz, S.R.; Baez, J.C.; et al. A Global Database of Strong-Motion Displacement GNSS Recordings and an Example Application to PGD Scaling. Seism. Res. Lett. 2018, 90, 271–279. [Google Scholar] [CrossRef]







| Institute | Longitude | Latitude | Mw | Depth | Source |
|---|---|---|---|---|---|
| (km) | |||||
| GFZ | 19.580 | 41.460 | 6.4 | 26 | 1 |
| GCMT | 19.578 | 41.390 | 6.4 | 24.1 | 2 |
| USGS | 19.526 | 41.514 | 6.4 | 19.5 | 3 |
| CPPT | 19.360 | 41.380 | 6.4 | 15 | 4 |
| INGV | 19.467 | 41.371 | 6.2 | 21 | 5 |
| AUTH | 19.578 | 41.359 | 6.1 | 6 | 6 |
| EMSC | 19.470 | 41.380 | 6.4 | 10 | 7 |
| Site | Mw = 5.7, September 21, 2019 | Mw = 6.4, November 26, 2019 | ||||
|---|---|---|---|---|---|---|
| East (mm) | North (mm) | Up (mm) | East (mm) | North (mm) | Up (mm) | |
| DUR2 | −5 ± 4 | −3 ± 4 | 10 ± 8 | −13 ± 2 | −23 ± 2 | 13 ± 4 |
| TIR2 | −4 ± 4 | −4 ± 4 | 7 ± 8 | −5 ± 2 | −6 ± 2 | 0 ± 4 |
| Centroid | Angles | Fault | Slip | ||||
|---|---|---|---|---|---|---|---|
| Long. | Lat | Depth | Strike | Dip | Length | Width | |
| ° | ° | km | ° | ° | km | km | m |
| 19.604 ± 0.015 | 41.483 ± 0.01 | 16.5 ± 2 | 340 ± 5 | 23 ± 5 | 22 ± 2 | 13± 2 | 0.55 ± 0.1 |
| PGD | R | PGD-S | MwPGD | MwPGD-S | Station |
|---|---|---|---|---|---|
| 1.80 | 27.957 | 2.64 | 6.44 | 6.42 | DUR2 |
| 0.55 | 28.883 | 0.78 | 6.07 | 6.03 | TIR2 |
© 2020 by the authors. Licensee MDPI, Basel, Switzerland. This article is an open access article distributed under the terms and conditions of the Creative Commons Attribution (CC BY) license (http://creativecommons.org/licenses/by/4.0/).
Share and Cite
Ganas, A.; Elias, P.; Briole, P.; Cannavo, F.; Valkaniotis, S.; Tsironi, V.; Partheniou, E.I. Ground Deformation and Seismic Fault Model of the M6.4 Durres (Albania) Nov. 26, 2019 Earthquake, Based on GNSS/INSAR Observations. Geosciences 2020, 10, 210. https://doi.org/10.3390/geosciences10060210
Ganas A, Elias P, Briole P, Cannavo F, Valkaniotis S, Tsironi V, Partheniou EI. Ground Deformation and Seismic Fault Model of the M6.4 Durres (Albania) Nov. 26, 2019 Earthquake, Based on GNSS/INSAR Observations. Geosciences. 2020; 10(6):210. https://doi.org/10.3390/geosciences10060210
Chicago/Turabian StyleGanas, Athanassios, Panagiotis Elias, Pierre Briole, Flavio Cannavo, Sotirios Valkaniotis, Varvara Tsironi, and Eleni I. Partheniou. 2020. "Ground Deformation and Seismic Fault Model of the M6.4 Durres (Albania) Nov. 26, 2019 Earthquake, Based on GNSS/INSAR Observations" Geosciences 10, no. 6: 210. https://doi.org/10.3390/geosciences10060210
APA StyleGanas, A., Elias, P., Briole, P., Cannavo, F., Valkaniotis, S., Tsironi, V., & Partheniou, E. I. (2020). Ground Deformation and Seismic Fault Model of the M6.4 Durres (Albania) Nov. 26, 2019 Earthquake, Based on GNSS/INSAR Observations. Geosciences, 10(6), 210. https://doi.org/10.3390/geosciences10060210

