Comparative Personality Traits Assessment of Three Species of Communally Housed Captive Penguins
Simple Summary
Abstract
1. Introduction
- To provide a preliminary evaluation for the personality traits obtained by the questionnaire filled by the keepers;
- To investigate if personality traits vary in a sample of three species of communally housed captive penguins;
- to investigate if it is possible to identify specie-specific personality trends.
2. Materials and Methods
2.1. Subjects and Housing
2.2. Personality Assessment
2.3. Statistical Analysis
2.4. Ethical Statement
3. Results
3.1. Inter Rater Coefficient between Keepers
3.2. Specie Differences in Personality Traits
3.3. Gender Differences in Personality Traits
3.4. Multivariate Analysis of Personality Variables
4. Discussion
5. Conclusions
Supplementary Materials
Author Contributions
Funding
Acknowledgments
Conflicts of Interest
References
- Sih, A.; Bell, A.M.; Johnson, J.C.; Ziemba, R.E. Behavioral syndromes: An integrative overview. Q. Rev. Biol. 2004, 79, 241–277. [Google Scholar] [CrossRef] [PubMed]
- Aplin, L.M.; Farine, D.R.; Mann, R.P.; Sheldon, B.C. Individual-level personality influences social foraging and collective behaviour in wild birds. Proc. R. Soc. B 2014, 281, 20141016. [Google Scholar] [CrossRef] [PubMed]
- Réale, D.; Dingemanse, N.J.; Kazem, A.J.N.; Wright, J. Evolutionary and ecological approaches to the study of personality. Philos. Trans. R. Soc. B Biol. Sci. 2010, 365, 3937–3946. [Google Scholar] [CrossRef] [PubMed]
- Stamps, J.; Groothuis, T.G.G. The development of animal personality: Relevance, concepts and perspectives. Biol. Rev. 2010, 85, 301–325. [Google Scholar] [CrossRef] [PubMed]
- Kralj-Fišer, S.; Schuett, W. Studying personality variation in invertebrates: Why bother? Anim. Behav. 2014, 91, 41–52. [Google Scholar] [CrossRef]
- Carere, C.; Maestripieri, D. Animal Personalities: Behavior, Physiology, and Evolution; University of Chicago Press: Chicago, IL, USA, 2013; ISBN 978-0-226-92197-6. [Google Scholar]
- Gartner, M.C.; Weiss, A. Scottish wildcat (Felis silvestris grampia) personality and subjective well-being: Implications for captive management. Appl. Anim. Behav. Sci. 2013, 147, 261–267. [Google Scholar] [CrossRef]
- Chadwick, C. Social Behaviour and Personality Assessment as a Tool for Improving the Management of Cheetahs (Acinonyx Jubatus) in Captivity. Ph.D. Thesis, University of Salford, Salford, UK, 2014. [Google Scholar]
- Kortet, R.; Hedrick, A.V.; Vainikka, A. Parasitism, predation and the evolution of animal personalities. Ecol. Lett. 2010, 13, 1449–1458. [Google Scholar] [CrossRef] [PubMed]
- Wielebnowski, N.C. Behavioral differences as predictors of breeding status in captive cheetahs. Zoo Biol. 1999, 18, 335–349. [Google Scholar] [CrossRef]
- Watters, J.V.; Powell, D.M. Measuring animal personality for use in population management in zoos: Suggested methods and rationale. Zoo Biol. 2012, 31, 1–12. [Google Scholar] [CrossRef]
- Gartner, M.C.; Weiss, A. Personality in felids: A review. Appl. Anim. Behav. Sci. 2013, 144, 1–13. [Google Scholar] [CrossRef]
- Couzin, I.D.; Krause, J.; Franks, N.R.; Levin, S.A. Effective leadership and decision-making in animal groups on the move. Nature 2005, 433, 513–516. [Google Scholar] [CrossRef] [PubMed]
- Johnstone, R.A.; Manica, A. Evolution of personality differences in leadership. Proc. Natl. Acad. Sci. USA 2011, 108, 8373–8378. [Google Scholar] [CrossRef] [PubMed]
- Foerder, P.; Chodorow, M.; Moore, D.E. Behavioural synchrony in two species of communally housed captive penguins. Behaviour 2013, 150, 1357–1374. [Google Scholar] [CrossRef]
- Michelena, P.; Jeanson, R.; Deneubourg, J.-L.; Sibbald, A.M. Personality and collective decision-making in foraging herbivores. Proc. R. Soc. B Biol. Sci. 2010, 277, 1093–1099. [Google Scholar] [CrossRef] [PubMed]
- Handegard, N.O.; Boswell, K.M.; Ioannou, C.C.; Leblanc, S.P.; Tjøstheim, D.B.; Couzin, I.D. The dynamics of coordinated group hunting and collective information transfer among schooling prey. Curr. Biol. 2012, 22, 1213–1217. [Google Scholar] [CrossRef] [PubMed]
- Daniel, T.A.; Chiaradia, A.; Logan, M.; Quinn, G.P.; Reina, R.D. Synchronized group association in little penguins, Eudyptula minor. Anim. Behav. 2007, 74, 1241–1248. [Google Scholar] [CrossRef]
- Takahashi, A.; Sato, K.; Nishikawa, J.; Watanuki, Y.; Naito, Y. Synchronous diving behavior of Adélie penguins. J. Ethol. 2004, 22, 5–11. [Google Scholar] [CrossRef]
- Ryan, P.G.; Edwards, L.; Pichegru, L. African penguins spheniscus demersus, bait balls and the allee effect. Ardea 2012, 100, 89–95. [Google Scholar] [CrossRef]
- Kurvers, R.H.J.M.; Oers, K.V.; Nolet, B.A.; Jonker, R.M.; Wieren, S.E.V.; Prins, H.H.T.; Ydenberg, R.C. Personality predicts the use of social information. Ecol. Lett. 2010, 13, 829–837. [Google Scholar] [CrossRef]
- IUCN. The IUCN Red List of Threatened Species. Available online: https://www.iucnredlist.org/en (accessed on 13 January 2019).
- Quintavalle Pastorino, G.; Christodoulides, Y.; Curone, G.; Pearce-Kelly, P.; Faustini, M.; Albertini, M.; Preziosi, R.; Mazzola, S. Behavioural profiles of brown and sloth bears in captivity. Animals 2017, 7, 39. [Google Scholar] [CrossRef] [PubMed]
- Quintavalle Pastorino, G.; Paini, F.; Williams, C.; Faustini, M.; Mazzola, S. Personality and sociality captive tigers (panthera tigris). Annu. Res. Rev. Biol. 2017, 21, 1–17. [Google Scholar] [CrossRef]
- Gosling, S.D. From mice to men: What can we learn about personality from animal research? Psychol. Bull. 2001, 127, 45–86. [Google Scholar] [CrossRef] [PubMed]
- Gosling, S.D.; John, O.P. Personality dimensions in nonhuman animals: A cross-species review. Curr. Dir. Psychol. Sci. 1999, 8, 69–75. [Google Scholar] [CrossRef]
- Wemelsfelder, F. The scientific validity of subjective concepts in models of animal welfare. Appl. Anim. Behav. Sci. 1997, 53, 75–88. [Google Scholar] [CrossRef]
- Highfill, L.; Hanbury, D.; Kristiansen, R.; Kuczaj, S.; Watson, S. Rating vs. coding in animal personality research. Zoo Biol. 2010, 29, 509–516. [Google Scholar] [CrossRef] [PubMed]
- Tetley, C.; O’Hara, S. Ratings of animal personality as a tool for improving the breeding, management and welfare of zoo mammals. Anim. Welf. 2012, 21, 463–476. [Google Scholar] [CrossRef]
- Kwan, V.S.Y.; Gosling, S.D.; John, O.P. Anthropomorphism as a special case of social perception: A cross–species social relations model analysis of humans and dogs. Soc. Cognit. 2008, 26, 129–142. [Google Scholar] [CrossRef]
- Weiss, A.; Inoue-Murayama, M.; Hong, K.-W.; Inoue, E.; Udono, T.; Ochiai, T.; Matsuzawa, T.; Hirata, S.; King, J.E. Assessing chimpanzee personality and subjective well-being in Japan. Am. J. Primatol. 2009, 71, 283–292. [Google Scholar] [CrossRef] [PubMed]
- Pastorino, G.; Faustini, M.; Vitali, F.; Mazzola, S.; Curone, G. What are we losing? Are the personality traits of Italian autochthonous cows different from those of cosmopolitan breeds? J. Adv. Vet. Anim. Res. 2018, 5, 315. [Google Scholar] [CrossRef]
- Hsu, Y.; Serpell, J.A. Development and validation of a questionnaire for measuring behavior and temperament traits in pet dogs. J. Am. Vet. Med. Assoc. 2003, 223, 1293–1300. [Google Scholar] [CrossRef]
- Freeman, H.D.; Gosling, S.D. Personality in nonhuman primates: A review and evaluation of past research. Am. J. Primatol. 2010, 72, 653–671. [Google Scholar] [CrossRef] [PubMed]
- Meagher, R.K. Observer ratings: Validity and value as a tool for animal welfare research. Appl. Anim. Behav. Sci. 2009, 119, 1–14. [Google Scholar] [CrossRef]
- Gosling, S.D.; Vazire, S. Are we barking up the right tree? Evaluating a comparative approach to personality. J. Res. Pers. 2002, 36, 607–614. [Google Scholar] [CrossRef]
- Whitham, J.C.; Wielebnowski, N. Animal-based welfare monitoring: Using keeper ratings as an assessment tool. Zoo Biol. 2009, 28, 545–560. [Google Scholar] [CrossRef] [PubMed]
- Hosey, G.; Melfi, V.; Pankhurst, S. Zoo Animals: Behaviour, Management, and Welfare; OUP Oxford: Oxford, UK, 2013; ISBN 978-0-19-969352-8. [Google Scholar]
- Leonardi, R.; Buchanan-Smith, H.M.; Dufour, V.; MacDonald, C.; Whiten, A. Living together: Behavior and welfare in single and mixed species groups of capuchin (Cebus apella) and squirrel monkeys (Saimiri sciureus). Am. J. Primatol. 2010, 72, 33–47. [Google Scholar] [CrossRef] [PubMed]
- Moberg, G.P.; Mench, J.A. The Biology of Animal Stress: Basic Principles and Implications for Animal Welfare; CABI: Oxfordshire, UK, 2000; ISBN 978-0-85199-930-2. [Google Scholar]
- Hosey, G.; Melfi, V. Human-animal interactions, relationships and bonds: A review and analysis of the literature. Int. J. Comp. Psychol. 2014, 27, 117–142. [Google Scholar]
- Carrasco, L.; Colell, M.; Calvo, M.; Abelló, M.T.; Velasco, M.; Posada, S. Benefits of training/playing therapy in a group of captive lowland gorillas (Gorilla gorilla gorilla). Anim. Welf. 2009, 18, 9–19. [Google Scholar]






| Trait | All Penguins | Gentoo Penguin | King Penguin | Northern Rockhopper Penguin | ||||||||
|---|---|---|---|---|---|---|---|---|---|---|---|---|
| CA | Strength | p Value | CA | Strength | p Value | CA | Strength | p Value | CA | Strength | p Value | |
| Active | 0.831 | G | 0.000 | 0.225 | P | 0.326 | 0.911 | E | 0.005 | 0.891 | G | 0.000 |
| Aggressive to Other Penguin * | 0.645 | M | 0.001 | 0.906 | E | 0.000 | 0.838 | G | 0.022 | 0.415 | P | 0.126 |
| Aggressive to Familiar People | 0.589 | M | 0.003 | 0.000 | P | 0.610 | 0.905 | E | 0.006 | 0.625 | M | 0.013 |
| Aggressive to Keepers ** | 0.758 | G | 0.000 | 0.889 | G | 0.000 | 0.977 | E | 0.000 | 0.689 | M | 0.007 |
| Aggressive to Unfamiliar People | 0.477 | P | 0.022 | 0.000 | P | 0.585 | 0.278 | P | 0.351 | 0.701 | M | 0.006 |
| Aggressive to Observer ** | 0.688 | M | 0.000 | 0.917 | E | 0.000 | 0.720 | M | 0.073 | 0.632 | M | 0.018 |
| Calm * | 0.516 | M | 0.012 | 0.509 | M | 0.106 | 0.773 | G | 0.012 | 0.452 | P | 0.1 |
| Cooperative | 0.479 | P | 0.021 | 0.700 | M | 0.019 | 0.851 | G | 0.018 | 0.018 | P | 0.485 |
| Curious ** | 0.630 | M | 0.001 | 0.607 | M | 0.052 | 0.933 | E | 0.002 | 0.788 | G | 0.001 |
| Dominant | 0.142 | P | 0.316 | 0.305 | P | 0.260 | 0.141 | P | 0.429 | 0.117 | P | 0.394 |
| Eccentric | 0.000 | P | 0.500 | 0.00 | P | 0.500 | 0.00 | P | 0.5 | 0.000 | P | 0.5 |
| Excitable | 0.000 | P | 0.573 | 0.00 | P | 0.533 | 0.00 | P | 0.729 | 0.00 | P | 0.5 |
| Friendly to Other Penguins | 0.565 | M | 0.005 | 0.744 | M | 0.01 | 0.34 | P | 0.313 | 0.481 | P | 0.081 |
| Friendly to Keepers * | 0.672 | M | 0.000 | 0.815 | G | 0.002 | 0.431 | P | 0.255 | 0.589 | M | 0.03 |
| Friendly to Familiar People | 0.164 | P | 0.150 | 0.000 | P | 0.5 | 0.96 | E | 0.001 | 0.003 | P | 0.502 |
| Friendly to Unfamiliar People | 0.000 | P | 0.588 | 0.000 | P | 0.5 | 0.64 | M | 0.120 | 0.000 | P | 0.57 |
| Friendly to Observer ** | 0.674 | M | 0.000 | 0.838 | G | 0.001 | 0.675 | M | 0.099 | 0.527 | M | 0.056 |
| Fearful of Other Prenguins | 0.000 | P | 0.603 | 0.000 | P | 0.5 | 0.000 | P | 0.500 | 0.000 | P | 0.625 |
| Fearful of Familiar People | 0.015 | P | 0.481 | 0.000 | P | 0.5 | 0.00 | P | 0.5 | 0.398 | P | 0.139 |
| Fearful of Unfamiliar People | 0.000 | P | 0.677 | 0.00 | P | 0.5 | 0.00 | P | 0.5 | 0.00 | P | 0.722 |
| Fearful of Keepers | 0.042 | P | 0.466 | 0.00 | P | 0.5 | 0.00 | P | 0.875 | 0.600 | M | 0.002 |
| Fearful of You | 0.149 | P | 0.306 | 0.00 | P | 0.5 | 0.000 | P | 0.790 | 0.843 | G | 0.000 |
| Insecure | 0.315 | P | 0.118 | 0.00 | P | 0.571 | 0.585 | M | 0.154 | 0.185 | P | 0.330 |
| Playful ** | 0.634 | M | 0.001 | 0.618 | M | 0.47 | 0.548 | M | 0.178 | 0.647 | M | 0.014 |
| Self-Assured | 0.246 | P | 0.188 | 0.00 | P | 0.792 | 0.625 | M | 0.129 | 0.259 | P | 0.260 |
| Smart | 0.342 | P | 0.095 | 0.225 | P | 0.327 | 0.855 | G | 0.017 | 0.310 | P | 0.213 |
| Solitary | 0.559 | M | 0.006 | 0.037 | P | 0.474 | 0.906 | E | 0.006 | 0.718 | M | 0.004 |
| Tense | 0.713 | M | 0.000 | 0.000 | P | 0.690 | 0.993 | E | 0.000 | 0.890 | G | 0.000 |
| Timid/Shy | 0.000 | P | 0.589 | 0.000 | P | 0.754 | 0.676 | M | 0.098 | 0.495 | P | 0.073 |
| Vocal: Aggressive ** | 0.703 | M | 0.000 | 0.772 | G | 0.014 | 0.822 | G | 0.027 | 0.586 | M | 0.031 |
| Vocal: Non Aggressive | 0.440 | P | 0.035 | 0.681 | M | 0.024 | 0.908 | E | 0.005 | 0.000 | P | 0.544 |
| Trait | Gentoo Penguin | Northern Rockhopper Penguin | ||||||||||
|---|---|---|---|---|---|---|---|---|---|---|---|---|
| Female | Male | Female | Male | |||||||||
| CA | Strength | p Value | CA | Strength | p Value | CA | Strength | p Value | CA | Strength | p Value | |
| Active | 0.853 | G | 0.017 | 0.000 | P | 0.785 | 0.963 | E | 0.000 | 0.852 | G | 0.004 |
| Aggressive to Other Penguin | 0.876 | G | 0.011 | 0.930 | E | 0.003 | 0.203 | P | 0.370 | 0.354 | P | 0.263 |
| Aggressive to Familiar People | 0.190 | P | 0.402 | 0.000 | P | 0.563 | 0.000 | P | 0.703 | 0.629 | M | 0.078 |
| Aggressive to Keepers | 0.726 | G | 0.070 | 0.920 | E | 0.004 | 0.119 | P | 0.427 | 0.847 | G | 0.005 |
| Aggressive to Unfamiliar People | 0.286 | P | 0.347 | 0.000 | P | 0.543 | 0.000 | P | 0.849 | 0.699 | M | 0.044 |
| Aggressive to Observer | 0.878 | G | 0.011 | 0.936 | E | 0.002 | 0.107 | P | 0.434 | 0.835 | G | 0.006 |
| Calm | 0.542 | M | 0.182 | 0.510 | M | 0.203 | 0.560 | M | 0.119 | 0.441 | P | 0.200 |
| Cooperative | 0.711 | M | 0.078 | 0.671 | M | 0.101 | 0.485 | P | 0.168 | 0.000 | P | 0.759 |
| Curious | 0.963 | E | 0.000 | 0.331 | P | 0.319 | 0.853 | M | 0.004 | 0.721 | M | 0.035 |
| Dominant | 0.560 | M | 0.171 | 0.212 | P | 0.390 | 0.114 | P | 0.430 | 0.000 | P | 0.652 |
| Eccentric | 0.000 | P | 0.500 | 0.000 | P | 0.500 | 0.000 | P | 0.500 | 0.000 | P | 0.500 |
| Excitable | 0.000 | P | 0.543 | 0.000 | P | 0.500 | 0.000 | P | 0.500 | 0.000 | P | 0.500 |
| Friendl to Other Penguins | 0.857 | G | 0.016 | 0.689 | M | 0.091 | 0.769 | G | 0.020 | 0.042 | P | 0.475 |
| Friendly to Keepers | 0.547 | M | 0.179 | 0.902 | E | 0.006 | 0.834 | G | 0.007 | 0.400 | P | 0.230 |
| Friendly to Familiar People | 0.000 | P | 0.500 | 0.000 | P | 0.500 | 0.000 | P | 0.500 | 0.000 | P | 0.500 |
| Friendly to Unfamiliar People | 0.000 | P | 0.500 | 0.000 | P | 0.500 | 0.000 | P | 0.618 | 0.000 | P | 0.500 |
| Friendly to Observer | 0.606 | M | 0.141 | 0.906 | E | 0.006 | 0.665 | M | 0.059 | 0.450 | P | 0.193 |
| Fearful of Other Prenguins | 0.000 | P | 0.500 | 0.000 | P | 0.500 | 0.000 | P | 0.686 | 0.000 | P | 0.500 |
| Fearful of Familiar People | 0.000 | P | 0.500 | 0.000 | P | 0.500 | 0.554 | M | 0.0123 | 0.000 | P | 0.500 |
| Fearful of Unfamiliar People | 0.000 | P | 0.500 | 0.000 | P | 0.500 | 0.000 | P | 0.681 | 0.021 | P | 0.500 |
| Fearful of Keepers | 0.000 | P | 0.500 | 0.000 | P | 0.500 | 0.750 | G | 0.026 | 0.000 | P | 0.500 |
| Fearful of Observer | 0.000 | P | 0.500 | 0.000 | P | 0.500 | 0.875 | G | 0.002 | 0.000 | P | 0.500 |
| Insecure | 0.000 | P | 0.725 | 0.060 | P | 0.471 | 0.000 | P | 0.623 | 0.000 | P | 0.500 |
| Playful | 0.623 | M | 0.130 | 0.574 | M | 0.162 | 0.536 | M | 0.134 | 0.721 | M | 0.035 |
| Self-Assured | 0.000 | P | 0.951 | 0.000 | P | 0.648 | 0.000 | P | 0.692 | 0.683 | M | 0.051 |
| Smart | 0.765 | G | 0.051 | 0.061 | P | 0.471 | 0.773 | G | 0.019 | 0.000 | P | 0.717 |
| Solitary | 0.075 | P | 0.463 | 0.000 | P | 0.500 | 0.761 | G | 0.022 | 0.652 | M | 0.066 |
| Tense | 0.066 | P | 0.500 | 0.910 | E | 0.001 | 0.910 | E | 0.001 | 0.868 | G | 0.003 |
| Timid/Shy | 0.000 | P | 0.500 | 0.000 | P | 0.702 | 0.385 | P | 0.240 | 0.696 | M | 0.045 |
| Vocal: Aggressive | 0.784 | G | 0.042 | 0.625 | M | 0.129 | 0.000 | P | 0.607 | 0.807 | G | 0.011 |
| Vocal: Non Aggressive | 0.000 | P | 0.621 | 0.862 | M | 0.015 | 0.000 | P | 0.697 | 0.515 | M | 0.148 |
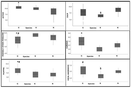
| Pairwise Comparisons—ACTIVE | |||
| W | p | ||
| Gentoo penguin | King penguin | −1.15 | 0.415 |
| Gentoo penguin | Northern rockhopper penguin | −3.98 | 0.005 |
| King penguin | Northern rockhopper penguin | −1.83 | 0.195 |
| Pairwise Comparisons—CALM | |||
| W | p | ||
| Gentoo penguin | King penguin | −2.16 | 0.127 |
| Gentoo penguin | Northern rockhopper penguin | 2.49 | 0.078 |
| King penguin | Northern rockhopper penguin | 3.90 | 0.006 |
| Pairwise Comparisons—CURIOUS | |||
| W | p | ||
| Gentoo penguin | King penguin | −2.255 | 0.111 |
| Gentoo penguin | Northern rockhopper penguin | −3.251 | 0.022 |
| King penguin | Northern rockhopper penguin | −0.226 | 0.873 |
| Pairwise Comparisons—FRIENDLY TO OTHER PENGUINS | |||
| W | p | ||
| Gentoo penguin | King penguin | 3.300 | 0.020 |
| Gentoo penguin | Northern rockhopper penguin | 3.109 | 0.024 |
| King penguin | Northern rockhopper penguin | 1.805 | 0.191 |
| Pairwise Comparisons—PLAYFUL | |||
| W | p | ||
| Gentoo penguin | King penguin | −3.10 | 0.028 |
| Gentoo penguin | Northern rockhopper penguin | −4.07 | 0.004 |
| King penguin | Northern rockhopper penguin | −0.32 | 0.819 |
| Pairwise Comparisons—VOCAL: AGGRESSIVE | |||
| W | p | ||
| Gentoo penguin | King penguin | −3.99 | 0.005 |
| Gentoo penguin | Northern rockhopper penguin | −1.72 | 0.225 |
| King penguin | Northern rockhopper penguin | 3.48 | 0.014 |
© 2019 by the authors. Licensee MDPI, Basel, Switzerland. This article is an open access article distributed under the terms and conditions of the Creative Commons Attribution (CC BY) license (http://creativecommons.org/licenses/by/4.0/).
Share and Cite
Quintavalle Pastorino, G.; Preziosi, R.; Faustini, M.; Curone, G.; Albertini, M.; Nicoll, D.; Moffat, L.; Pizzi, R.; Mazzola, S. Comparative Personality Traits Assessment of Three Species of Communally Housed Captive Penguins. Animals 2019, 9, 376. https://doi.org/10.3390/ani9060376
Quintavalle Pastorino G, Preziosi R, Faustini M, Curone G, Albertini M, Nicoll D, Moffat L, Pizzi R, Mazzola S. Comparative Personality Traits Assessment of Three Species of Communally Housed Captive Penguins. Animals. 2019; 9(6):376. https://doi.org/10.3390/ani9060376
Chicago/Turabian StyleQuintavalle Pastorino, Giovanni, Richard Preziosi, Massimo Faustini, Giulio Curone, Mariangela Albertini, Dawn Nicoll, Lorna Moffat, Romain Pizzi, and Silvia Mazzola. 2019. "Comparative Personality Traits Assessment of Three Species of Communally Housed Captive Penguins" Animals 9, no. 6: 376. https://doi.org/10.3390/ani9060376
APA StyleQuintavalle Pastorino, G., Preziosi, R., Faustini, M., Curone, G., Albertini, M., Nicoll, D., Moffat, L., Pizzi, R., & Mazzola, S. (2019). Comparative Personality Traits Assessment of Three Species of Communally Housed Captive Penguins. Animals, 9(6), 376. https://doi.org/10.3390/ani9060376

