Next Article in Journal
Visual Detection of Canine Monocytic Ehrlichiosis Using Polymerase Chain Reaction-Based Lateral Flow Biosensors
Previous Article in Journal
Effects of Yeast Culture on Lamb Growth Performance, Rumen Microbiota, and Metabolites
 
 
Font Type:
Arial Georgia Verdana
Font Size:
Aa Aa Aa
Line Spacing:
Column Width:
Background:
Communication

Occurrence of Ocular Disorders in California Sea Lions Under Human Care: Comparing Freshwater and Saltwater Housing Conditions

1
Animal Physiology, Friedrich-Alexander Universität Erlangen-Nürnberg, 91058 Erlangen, Germany
2
Nuremberg Zoo, 90480 Nuremberg, Germany
3
Behavioral Ecology and Conservation Lab, Nuremberg Zoo, 90480 Nuremberg, Germany
4
Machine Learning and Data Analytics Lab, Friedrich-Alexander Universität Erlangen-Nürnberg, 91058 Erlangen, Germany
*
Author to whom correspondence should be addressed.
Animals 2025, 15(5), 739; https://doi.org/10.3390/ani15050739
Submission received: 31 December 2024 / Revised: 27 February 2025 / Accepted: 28 February 2025 / Published: 5 March 2025
(This article belongs to the Section Zoo Animals)

Simple Summary

This study investigated the ocular health of California sea lions (Zalophus californianus) at Nuremberg Zoo, comparing those housed in freshwater pools to those in saltwater. An analysis of medical records over ten years showed no significant difference in the overall occurrence of eye diseases between the two groups. However, California sea lions in freshwater experienced a peak of eye disorders in the summer, while those in saltwater had a more consistent occurrence throughout the year. These results imply that factors such as sun exposure and water quality may play a more crucial role in ocular disease development than salinity. The study highlights the need for further research to understand these dynamics and improve care for marine mammals.

Abstract

California sea lions (Zalophus californianus) are susceptible to various ocular diseases, with some literature suggesting a heightened risk for those kept in freshwater pools as opposed to saltwater. Given the potential implications of housing conditions on animal health, we wanted to analyze the ocular health of two distinct groups of California sea lions kept at Nuremberg Zoo, one housed in freshwater and the other in saltwater. Data extracted from the animals’ medical records during a ten-year period were used to compare the incidence of eye conditions and other medical conditions observed. The results revealed no significant difference in the overall occurrence of eye diseases between the two environments. However, a distinct seasonal pattern was noted: California sea lions kept in freshwater exhibited a peak in eye disorders during the summer months, while those in saltwater displayed a more uniform distribution of the occurrence of ocular diseases throughout the year. These findings suggest that sun exposure and water quality are potentially more influential factors in the development of ocular diseases in pinnipeds than salinity. Further studies are necessary to elucidate the underlying mechanisms and optimize care practices for these marine mammals.

1. Introduction

Pinnipeds are popular animals in zoos and aquariums around the world. Currently, 326 California sea lions (Zalophus californianus) are living at 64 institutions accredited by the EAZA (European Association of Zoos and Aquaria). Ensuring individual health is one of the most important factors in guaranteeing optimal welfare for animals in managed collections. Eye problems are common in these populations [1,2,3,4,5,6,7,8] and often necessitate complex medical treatments and surgical interventions, which can be challenging.
Eye disorders in pinnipeds are multifactorial, as suggested by Colitz et al. [1,2,3] and other authors [5,6]. Key parameters to consider include water salinity, disinfection methods, pH levels, and diet, as well as environmental factors such as seasonal changes, temperature, sunlight exposure and resulting UV radiation, and reflectivity of the pool wall.
In zoos, brightly painted pool walls are a significant factor in increased sunlight exposure, as they absorb UV radiation less effectively than darker surfaces [4,9]. In addition, pinnipeds under human care frequently need to look upwards during training, feeding, and presentations, which can elevate their exposure to UV radiation. Heightened social interactions within the group can lead to more frequent eyelid opening, further enhancing their sunlight exposure [9]. Collectively, these factors increase the duration that these animals spend with their eyes open, thereby boosting their sunlight exposure levels. Ocular lesions in otariids were more common in months with higher sunlight exposure and longer daylight hours [3,4]. In addition, facilities located closer to the equator report higher incidences of eye disease [3]. Even in sunny winter months snow can increase sunlight exposure, which may exacerbate the effect. Considering these findings, the German Federal Ministry of Food and Agriculture (BMEL) recommends using darker pool colors and providing shaded feeding areas to minimize sunlight exposure [10].
Some authors argue that housing sea lions in freshwater may lead to an increased risk of eye diseases [1,8], as these animals are naturally adapted to marine environments. Dunn et al. [8] found that cataracts in harbor seals were three times more common in freshwater than in saltwater. Stach and Eule [11] describe a correlation between freshwater housing and the development of corneal oedema in Zalophus. In their study of 209 pinnipeds in 25 facilities in Germany, Austria, and Switzerland, they reported that eye disease was significantly more common in animals housed exclusively in freshwater than in those with access to saltwater pools. This is in agreement with the results of Colitz et al. [1,3], who show that the occurrence of keratopathy was higher in facilities with salinity levels below 29 g/L (64%) compared to salinity levels of over 29 g/L (52.7%). The authors concluded that a higher salinity provides some protection against this disorder, and stated that keratopathy is more difficult to manage in animals housed in freshwater. The BMEL recommends that pinnipeds should be housed in seawater or water with similar salinity [10].
However, it is important to consider that pinnipeds in the wild thrive in aquatic environments with varying salinity levels. While most pinniped species are primarily marine, several have exhibited remarkable resilience in freshwater habitats, either seasonally or even constantly. Notable examples include the Baikal seal (Pusa sibirica) (Figure 1), which is uniquely adapted to live exclusively in Lake Baikal, Siberia, making it one of the few true freshwater seal species [12]. Furthermore, the ringed seal (P. hispida) has two notable subspecies that inhabit freshwater systems: the Ladoga seal (P. h. ladogensis), found in Lake Ladoga in Russia, and the Saimaa ringed seal (P. h. saimensis), which resides in Lake Saimaa in Finland. Additionally, the harbor seal (Phoca vitulina) has been observed in estuarine and riverine systems along the coasts of North America and Europe, often entering freshwater rivers to hunt for fish or haul-out on riverbanks [13]. A population of harbor seals is resident to Iliamna Lake in Alaska [14], and a subspecies of the harbor seal in Canada, the Ungava seal (P. v. mellonae), lives exclusively in freshwater [15]. The California sea lion (Zalophus californianus) and Steller sea lion (Eumetopias jubatus) have also been documented in freshwater environments, albeit temporarily, as they migrate between breeding sites and feeding areas, exploiting available resources [16]. Considering this adaptability of many pinniped species to various aquatic environments, it can also be assumed that for California sea lions under human care, freshwater might not cause problems. The occurrence of eye problems in zoos and aquariums should therefore not only be attributed to water salinity, especially considering that pinnipeds have evolved to live in a variety of aquatic ecosystems. Understanding the multifaceted factors contributing to ocular health in these animals is crucial for improving their welfare in managed settings.
The aim of the present study is to investigate the relationship between the housing conditions of two groups of California sea lions—those housed in a freshwater facility and those in a saltwater facility at Nuremberg Zoo—and the occurrence of associated ocular diseases over a ten-year period. A primary advantage of comparing animals that reside in the same zoo is that they are exposed to similar environmental factors, such as sunlight exposure and temperature, as well as the same feeding regime and supplementation. The core objective of this study is to determine the extent to which water habitat may influence the incidence of ocular problems and other disease types in these animals, and to compare our findings with the existing literature on the occurrence of eye diseases associated with different aquatic habitats.

2. Materials and Methods

2.1. Data Collection

We analyzed the medical records of 20 California sea lions (3, 17) aged at least 2 years old between 01 January 2012 and 31 December 2021. Initial descriptions and reports were made by the animal keepers. When an examination was possible, the animals were diagnosed and categorized by a veterinarian. Thus, our analysis differs from that of other authors who examined the individuals only once in different zoological institutions [8,11].
The diagnoses were divided into the categories “eye disorder” (abbreviation eye), “injuries” (abbreviation inj), “skin disease” (abbreviation skin), and “other diseases” (abbreviation misc). The category “other diseases” includes rarely occurring diseases. The number of diagnoses in each category over the course of 10 years was counted (case). The category of eye disorders included “eye squinting”, which was observed by animal keepers. Pereira Gomes et al. [17] used this behavior to score eye health in New Zealand fur seals (Arctocephalus forsteri). Therefore, “eye squinting” was categorized as a signal of negative eye health, sometimes seen as a precursor of corneal opacity. Further categories were corneal diseases (corneal opacity; keratitis), eye inflammation, and cataract. If the diagnoses only indicated “cloudy eye” or “whitish eye”, this was assessed as corneal opacity. Lens opacity was only counted if the diagnosis was “cataract”.
The diagnoses were recorded in the data sheet as an event in the month when they were first registered in the medical record. If the same diagnosis occurred after more than 30 days without a clear connection to the previously recorded event, it was counted as a new diagnosis. This was also applied if, for example, one eye was initially affected by the same disease and after more than 30 days the second eye was affected, too. If two diagnoses relating to the same organ or organ system were mentioned in one month, the more serious finding was evaluated, e.g., if “squinting eyes” and “cloudy eyes” were mentioned, this was recorded as one event under “corneal opacity”. Duration of an illness or medical treatment could not be taken from the medical records in all cases; therefore, this aspect was not addressed.

2.2. Data Analysis

As some of the individuals were moved between the facilities, died, or were newly added during the period under investigation, the number of animals in the facilities investigated was not constant over the entire period and in the monthly analysis. The number of animals kept at the same time varied between 6 and 7 individuals in each of the two enclosures.
For this reason, the number of months that each individual spent under a particular housing condition was determined. If an individual was transferred from one enclosure to the other during a month, the month of life was attributed to the enclosure in which more than half of the days of that month were spent. To be able to compare the populations, the documented cases of diseases were evaluated as the percentage of the occurrence of the respective disease in relation to the total number of months that the individuals spent under this housing condition.

2.3. Housing Conditions

Nuremberg Zoo has been keeping California sea lions since 1956. In March 2001, the enclosure “Aquapark” was opened (Figure 2A). The outdoor enclosure consists of a 500 m2 land zone and a pool with an 840 m2 surface containing 2.3 million liters of freshwater. The pool has gray concrete walls which are non-reflective and a maximum depth of 3.5 m. Two land zones are integrated in the pool, of which one is the preferred hauling area of the California sea lion group. A group of California sea lions and two female harbor seals are housed under natural light and temperature conditions. Water temperatures vary between a minimum of 3 °C in December until February and a maximum temperature of up to 24.5 °C in July, depending on the air temperatures. Water treatment is carried out by filtering (drum and sand filter), phosphate precipitation, and stabilization of the pH value and carbonate hardness by adding sodium hydrogen carbonate. There is also an approx. 100 m2 indoor area with cages to separate animals if necessary.
A second group of California sea lions was housed with bottlenose dolphins (Tursiops truncatus) in the saltwater facility “Lagune” (Lagoon), which was opened in 2011 (Figure 2B). The enclosure consists of six outdoor pools of various sizes and depths (from 0.5 m to 7 m) and an indoor area with a total water area of approximately 1900 m2, containing 7.5 million liters of saltwater. All outdoor pools have dark, non-reflective concrete walls. In contrast to the Aquapark, the water temperature does not fall below 18 °C in the winter months. Water treatment was carried out by filtering (drum and sand filter), phosphate precipitation, and stabilization of the pH value and carbonate hardness by adding sodium hydrogen carbonate. Water disinfection in the Lagoon was carried out by adding ozone, and only to a very limited extent by chlorination. The saltwater was composed of a mixture of salt brine and freshwater and had a salinity of 3.1%. The temperature, pH value, and carbonate hardness were measured in a daily protocol in both enclosures. In addition, in the Lagoon, the salinity was measured daily, and the microbiology of the water was monitored once a week. The feeding regime, food sources, and supplementation were the same for both groups. Only California sea lions in the freshwater facility were provided with additional salt supplementation.

3. Results

3.1. Population and Population Changes During the Survey Period

Twenty animals, which were all at least two years old, lived from 1 January 2012 to 31 December 2021 in Nuremberg Zoo. Of these, 17 individuals were born in Nuremberg Zoo, and 3 (B02013, B04567, and B01823) were born in other zoological institutions. The females B02013 and B04567 already came to Nuremberg in 1994 and 2002, while the male B01823 (2014) was transferred to Nuremberg Zoo during the study period at the age of 20 months. The age of the California sea lions examined ranged between 2 and 29 years. Of the 20 animals, 5 females died during the study period (2012–2021), with a mean age of 23 years 1 month (median 26 years 10 months; standard deviation 6 years 8 months). A total of 26 pups were born during the study period, of which 5 females (3 in 2013; 2 in 2017) remained in Nuremberg Zoo, and all other pups were transferred to other zoos. One male (B01823) was added to the group in the Lagoon in 2014. All diagnoses of these 6 individuals (age ≥ 2 years) are included in the analysis. During the survey period, 145 diagnoses were registered, with 29% (42 diagnoses) relating to eye diseases; 32% of the diagnoses concerned injuries, which were often bites, and the category of “other diseases” counted for another 32% of all cases. Skin diseases were diagnosed in 7% (10) of cases. Individual B05798 (*12.06.1994; 23.03.2021) showed 38 cases of eye diseases, 1 case of skin disease, 5 injuries, and 13 other diagnoses during her lifetime, which adds up to 57 diagnoses. Thus, she had more diseases than any other individual in this study. We excluded this individual, which was housed at the saltwater facility, from the data that we show in the following. The results with this animal included can be found in the Supplementary Materials (Figures S1–S3); however, inclusion of this animal did not change the overall trend of the data.
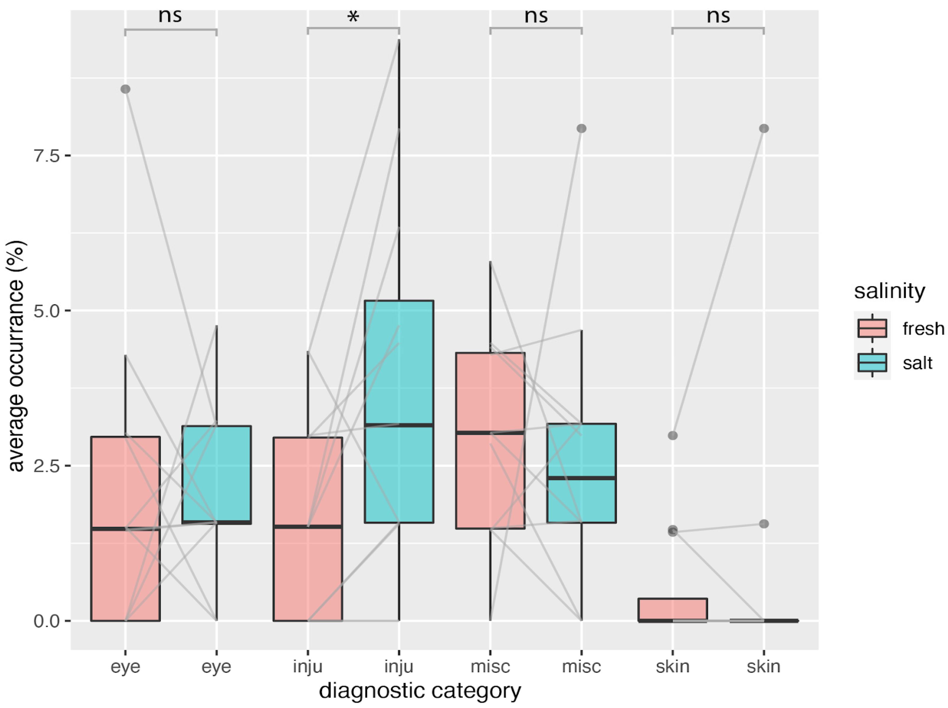
The exclusion of B05798 from the data analysis reduces the number of diagnoses in the period 2012–2021 to 129 diagnoses in 19 animals. Of these, 25% (i.e., −4%; 32 diagnoses) are attributable to eye diseases, 8% (10 diagnoses) to skin diseases, 33% (42 diagnoses) to injuries, and 35% (45 diagnoses) to miscellaneous diagnoses. The average age of animals diagnosed with eye disorders in the freshwater facility was 13.4 ± 8.8 years, while animals in the Lagoon showed an average age of 12.6 ± 6.8 years (Figure S4). In Figure 3 we plotted the occurrence of the different diagnoses corrected for the time animals spent in the saltwater or freshwater facility, respectively. Injuries were the most common diagnosis (42 cases), followed by eye diseases (32 cases) and skin diseases (10 cases). The category of other diagnoses included gastrointestinal diagnoses, reduced food intake, but also behavioral abnormalities (10 cases).

3.2. Occurrence of Diagnoses

We calculated the occurrence of specific diagnoses (expressed as a percentage per month over a ten-year period) based on the time the animals spent in each facility. For each month of the year, we derived the average occurrences of various diagnostic categories, averaged over ten years (Figure 3). We compared these occurrences across all months and diagnostic categories and found no significant difference between the saltwater and freshwater facilities for eye-related diseases (Wilcoxon signed-rank test; freshwater (Mdn = 1.5, n = 12), saltwater (Mdn = 1.6, n = 12), W+ = 42, p = 0.850, r = 0.05). Similarly, there was no significant difference in miscellaneous diagnoses between the freshwater (Mdn = 3, n = 12) and saltwater (Mdn = 2.3, n = 12) facilities (W+ = 26, p = 0.339, r = −0.3). However, we did find a significant difference in injuries between the freshwater (Mdn = 1.5, n = 12) and saltwater (Mdn = 3.1, n = 12) facilities (W+ = 49, p = 0.027, r = 0.7). The skin disease category had too few samples for a Wilcoxon signed-rank test.
To further explore whether the occurrence of different diseases varied by month, we conducted a chi-square test of independence. Figure 4A indicates that skin diseases are most frequently diagnosed in January, eye diseases peak in July, and injuries occur often in February. However, the residuals from expected values were comparatively low (maximum = 2.45); therefore, there was no significant association between diagnostic category and month for the freshwater facility (X2 = 33.097, df = 33, p = 0.4625). Figure 4B reveals that skin diseases are predominantly diagnosed in January (similar to the freshwater facility), while eye diseases show small peaks in November and May. Because the residuals in this case were comparatively high (maximum = 4.87), we found a significant association between diagnostic categories and month for the saltwater facility (X2 = 67.261, df = 33, p = 0.000393). When cumulative occurrences of diagnostic categories were directly compared between the freshwater and saltwater facility (see Figure 4C), it became evident that injuries are overrepresented in the saltwater facility, while eye diseases are somewhat above the expected value in the freshwater facility. Despite this observation, the residuals were also relatively small (maximum = 1.38), resulting in no significant association (X2 = 7.6069, df = 3, p = 0.0549).

3.3. Occurrence of Ocular Disorders

We also tested if ocular disorders were occurring more frequently during times where sunlight exposure (hours) were higher. Interestingly, we found a significant difference in the frequency of ocular disorders between fresh- and saltwater (Wilcoxon signed-rank test; W+ = 16, p = 0.003, r = −0.7). Ocular disorders were diagnosed more often during periods with higher sunlight exposure (hours) for the freshwater facility (Mdn = 256.5), whereas ocular disorders were diagnosed more often during periods with less light for the saltwater facility (Mdn = 106.2), see Figure 5.

4. Discussion

In this study, we investigated the incidence of ocular diseases in California sea lions (Zalophus californianus) at Nuremberg Zoo, specifically examining the impact of water habitat, comparing freshwater versus saltwater. Over our 10-year survey period from 1 January 2012 to 31 December 2021, we recorded 32 cases of eye diseases. These accounted for 25% of a total of 129 cases of medical records for 19 individuals examined. Our results indicate that salinity does not have a significant effect on the incidence of ocular diseases in California sea lions (Figure 4C). While we noted a trend suggesting an increase in eye problems during the summer months in the freshwater habitat, this trend was not statistically significant (Figure 4A). The freshwater enclosure is less deep, with only one third of the water volume compared to the saltwater facility; therefore, the increase is likely to be related to deteriorating water quality due to higher temperatures and longer daylight hours in summer. The saltwater facility features a superior filtration and life support system, which ensures more stable water quality throughout the year. However, the total amount of ocular diseases did not significantly differ between the salt- and freshwater facilities (Figure 3 and Figure 4).
A prevalent opinion is that the absence of seawater in certain managed populations contributes to the development of eye diseases [1,4,8]. These findings have been challenged by research that investigated other pinniped species, such as grey seals (Halichoerus grypus), which can thrive in freshwater environments [18], as well as other species that sometimes permanently inhabit freshwater [12,13,14,15]. A study in North Rona, Scotland, using ecological niche factor analysis, found that lactating female grey seals showed a clear preference for lower salinity pools. This behavior was most pronounced early in the season when thermal stress is highest, suggesting that grey seals may use freshwater pools not only for cooling but also for drinking. California sea lions have also been recorded in freshwater environments, albeit temporarily, as they migrate between breeding sites and feeding areas, exploiting available resources [16]. This evidence challenges the assumption that seawater is essential for the well-being of managed pinnipeds, suggests that freshwater may be a viable environment for some pinniped species, and questions whether salinity alone is responsible for the observed eye conditions [19].
In support of this, Gage [9] raised doubts about the effect of freshwater housing on eye disease, citing personal observations of sea lions in a northern freshwater facility with a black pool and a constant flow from an underground aquifer. None of the animals showed corneal lesions, in contrast to sea lions housed in a southern facility with natural saltwater but light blue, highly reflective pools, where many developed corneal damages. Gage [9] argued that certain freshwater environments do not cause eye disease and that other factors, such as pool color and light reflection, may be more important.
A second factor mentioned in relation to eye problems in pinnipeds under human care is their exposure to oxidizing agents. Halogens (primarily chlorine) or ozone are commonly used to treat pool water. The concentration of these agents in water systems can have a significant impact on the eye health of California sea lions. Halogens can react with organic matter (particularly nitrogen compounds) to form halogenated hydrocarbons or halogen amides, which are known to be irritating to the eyes. Halogen amides, such as mono- or dichloramines, can cause discomfort, while chlorinated hydrocarbons can cause liver damage [19]. In addition, chlorinated hydrocarbons can interfere with the cytochrome P450 enzyme system in the ciliary body of the eye, potentially causing damage there as well [20]. Colitz et al. [3] suggested that “chemicals used to disinfect enclosures and disinfection by-products may affect the preocular tear film and corneal epithelium, predisposing corneas to ulceration and secondary infection”. De Haan [21] showed a correlation between the concentration of total, free, and bound chlorine in swimming pool water and the severity of corneal lesions in California sea lions, with bound chlorine showing the most significant effect. The EAZA and EAAM (European Association for Aquatic Mammals) guidelines for the care of eared and fur seals recommend careful monitoring of water quality when using chlorine for disinfection and advise that the total chlorine concentration should not exceed 1.0 ppm [19]. When using ozone for water treatment, it is important to ensure that ozone is removed from the water as much as possible after its reaction in sealed chambers. The optimum ozone reduction potential (ORP) for treated water should exceed 700 mV, while water in contact with animals should maintain an ORP of less than 400 mV to prevent eye damage [19]. Higher ORPs in pool water can lead to conditions such as blepharospasm or epiphora [9]. In addition, Colitz [3] showed that the combination of ozone and chlorine can significantly promote the development of eye disease. Interestingly, a lower prevalence of eye diseases was reported in pinnipeds housed in water without chemical additives [5,6]. Water disinfection in the Lagoon is carried out using ozone, and to a very limited extent by adding chlorine, while at the Aquapark facility only UV light is used for disinfection. This could be a reason why we found eye disorders more evenly distributed throughout the year at the Lagoon (Figure 4 and Figure 5). Further research is needed in this area.
To assess the causes of eye problems in pinnipeds, it is essential to define the environmental challenges faced by these animals under human care compared to their wild counterparts [1,9]. As already mentioned, there is evidence that UV radiation plays a significant role. Pinniped eyes are adapted to low-light environments, particularly for foraging at depth or in murky waters with minimal light penetration. In zoos, however, pinnipeds are often fed at the surface, exposing their eyes to much higher levels of UV radiation than they would typically experience in the wild. The analysis of sunlight exposure and its correlation with the frequency of ocular diseases revealed distinct patterns between the freshwater and saltwater facilities (Figure 5). As all California sea lions were housed at Nuremberg Zoo, they experienced the same climate, were subjected to the same amount of sunlight, and also received the same diet. Therefore, one might expect a similar trend in the frequency of ocular diseases in both freshwater and saltwater facilities if sunlight exposure had a significant influence. However, it is important to note that the freshwater facility is considerably smaller, less deep, and with fewer opportunities to rest on land, which may result in fewer shaded areas for the animals. We did not assess the specific amount of shade or the locations where the California sea lions rested or were fed throughout the day, which could provide insights into their exposure to sunlight. This lack of data may limit our understanding of the full impact of sunlight exposure on the ocular health of these animals. Future studies should consider evaluating the shading patterns and resting behaviors of California sea lions to better understand the relationship between sunlight exposure and ocular disease prevalence.
Further factors influencing eye problems in pinnipeds under human care are age and sex. Like in humans and dogs, age has a significant effect on the development of eye disease in California sea lions. Colitz et al. [3,4] confirmed that animals over 20 years of age had significantly higher rates of keratopathy, and described nuclear sclerosis in animals aged 15 to 20 years and cataracts in all individuals over 26 years of age. They attributed these changes to a decline in antioxidant capacity with age [3]. Nakamura et al. [5] also found a correlation between age and lens disorders, noting that older animals had a higher incidence of such problems, while younger animals had more corneal lesions, probably due to increased activity leading to eye injuries. California sea lions in our study were aged between at least 2 years and 29 years 5 months. As we wanted to focus on adult animals, we excluded animals younger than 2 years from our study. Juveniles were regularly moved to other facilities (see Section 3.1), which made it not possible to obtain long term data. Eye disorders in the group housed in the freshwater facility occurred at an average age of 13.4 ± 8.8 years; for those housed in the saltwater facility, the average age of occurrence was 12.6 ± 6.7 years. A histogram showing the age distribution of the animals for each diagnosis is available in the Supplementary Materials (Figure S4).
The role of sex in predisposing to eye disease has also been discussed. Stach and Eule [11] found that male pinnipeds suffer from eye diseases more often than females, a finding supported by Miller et al. [7]. However, Nakamura et al. [5] found no correlation between the incidence of eye disease and sex. Aggressive behavior, particularly in males, may contribute to more eye injuries, as noted by Colitz et al. [3] and Nakamura et al. [5]. This topic could not be addressed by our study because of the limited number of males. Notable differences were observed in the distribution of eye diseases between wild individuals and those under human care. Miller et al. [7] examined enucleated eyes from 70 pinnipeds, predominantly Zalophus californianus, but also from other species. Among the animals living in the wild, 35% (13 out of 37 individuals) exhibited an eye disease, while the prevalence was significantly higher, at 81.5% (22 out of 27 animals) in pinnipeds under human care. Keratitis and pathological changes to the Descemet membrane were only documented in animals under human care. The study did not categorize individuals according to specific husbandry conditions [7].
Eye disorders in pinnipeds are multifactorial, as suggested by Colitz et al. [1,3] and other authors [5,9]. Therefore, we believe it would be a significant and unjustified limitation for guidelines to focus exclusively on the freshwater versus saltwater debate. Although the current study is preliminary and not yet conclusive, it suggests that ocular diseases occur with similar frequencies in both saltwater and freshwater facilities. We strongly encourage further research on eye conditions in pinnipeds and their causes. A comprehensive comparison of ocular conditions in pinnipeds residing in saltwater versus freshwater environments should consider a broad array of variables beyond just salinity. Regular monitoring of all factors over a 12-month period is essential to establish correlations between environmental factors and eye health. This should be combined with detailed ocular monitoring by veterinarians, including photographic documentation, to track the condition of the eyes over time rather than just assessing them when a disease is diagnosed, as it was made for this study.
We propose a systematic approach to photographing the eyes of California sea lions on a monthly basis. This process will involve the implementation of a fixed head position, alongside a defined camera angle and distance, to ensure consistency in each image captured. To mitigate issues such as light reflections on the eye, we emphasize the importance of controlling lighting conditions. Conducting the photography sessions in indoor enclosures will allow for the use of indirect lighting, which helps to diffuse harsh light and reduces glare. By carefully selecting the type of lighting and positioning it in a way that uniformly illuminates the head of the California sea lion, it will be possible to standardize the procedure. This will enhance image clarity by minimizing unwanted reflections and shadows, leading to more reliable diagnostic results. In addition to the fixed head positioning and controlled lighting, we recommend developing a standardized protocol to accommodate the animals prior to imaging. This includes familiarizing them with the setup as part of medical training sessions, which will ensure the animals are comfortable during the process, making regular imaging sessions more efficient and effective. By adhering to these methods, we aim to create a robust standard operating procedure that minimizes variability in image capture, thus facilitating accurate assessment and diagnosis of any ocular conditions present in the California sea lions, while contributing to the overall welfare of the animals involved in the study.

5. Conclusions

We suggest a holistic approach to managing the eye health of pinnipeds. Preventive strategies should include improving water filtration, closely monitoring microbial influences, measuring light exposure, and providing shaded areas. Without a comprehensive approach, ocular diseases are likely to persist in managed populations. In conclusion, it is essential to shift the focus from a rather opinion-based freshwater versus saltwater debate to a comprehensive investigation based on factual evidence. This should include an examination of all potential contributing factors, such as consistent veterinary eye examinations and photographic documentation, to ensure an accurate assessment of disease progression.

Supplementary Materials

The following supporting information can be downloaded at: https://www.mdpi.com/article/10.3390/ani15050739/s1, Figure S1. Average occurrence of certain diagnostic findings for the fresh- (red) and saltwater (green) facilities, including; Figure S2. Pearson residuals from the expected values for the average occurrences (percent per month) of certain diagnostic categories; Figure S3. Frequency of ocular diseases during different amounts of hours of sunshine; Figure S4. Distribution of age of the California sea lions which were diagnosed with an ocular disease.

Author Contributions

Conceptualization, I.B., S.H., K.B. and L.v.F.; methodology, I.B., S.H., K.B. and L.v.F.; validation, I.B., S.H. and R.S.; formal analysis, I.B., S.H. and R.S.; investigation, I.B., S.H. and R.S.; resources, K.B. and J.B.; data curation, I.B., S.H. and R.S.; writing—original draft preparation, I.B., R.S., J.B. and L.v.F.; writing—review and editing, I.B., R.S., J.B. and L.v.F.; visualization, R.S.; supervision, I.B., L.v.F. and K.B.; project administration, L.v.F., J.B. and K.B. All authors have read and agreed to the published version of the manuscript.

Funding

This research received no external funding.

Institutional Review Board Statement

Ethical review and approval were waived for this study because the observations only took place during regular or mandatory veterinary observations.

Informed Consent Statement

Not applicable.

Data Availability Statement

Data available on request from the corresponding author.

Acknowledgments

We would like to thank all the animal caretakers from the Lagoon and Aquapark facilities, especially their leads, Armin Fritz and Thorsten Krist, for their dedication, time, and effort in closely monitoring the health of the California sea lions. Their commitment to animal welfare has been invaluable to our research. We also extend our appreciation to the veterinary staff for their continuous support and expertise throughout the study.

Conflicts of Interest

The authors declare no conflicts of interest.

References

  1. Colitz, C.M. Ophthalmology of Pinnipedimorpha: Seals, Sea Lions, and Walruses. In Wild and Exotic Animal Ophthalmology; Montiani-Ferreira, F., Moore, B.A., Ben-Shlomo, G., Eds.; Springer: Cham, Switzerland, 2022. [Google Scholar] [CrossRef]
  2. Colitz, C.M.; Saville, W.J.; Renner, M.S.; McBain, J.F.; Reidarson, T.H.; Schmitt, T.L.; Nolan, E.C.; Dugan, S.J.; Knightly, F.; Rodriguez, M.M.; et al. Risk factors associated with cataracts and lens luxations in captive pinnipeds in the United States and the Bahamas. J. Am. Vet. Med. Assoc. 2010, 237, 429–436. [Google Scholar] [CrossRef] [PubMed]
  3. Colitz, C.M.; Saville, W.J.A.; Walsh, M.T.; Latson, E. Factors associated with keratopathy in captive pinnipeds. J. Am. Vet. Med. Assoc. 2019, 255, 224–230. [Google Scholar] [CrossRef] [PubMed]
  4. Colitz, C.M.; Renner, M.S.; Manire, C.A.; Doescher, B.; Schmitt, T.L.; Osborn, S.D.; Croft, L.; Olds, J.; Gehring, E.; Mergl, J.; et al. Characterization of progressive keratitis in otariids. Vet. Ophthalmol. 2010, 13, 47–53. [Google Scholar] [CrossRef] [PubMed]
  5. Nakamura, M.; Matsushiro, M.; Tsunokawa, M.; Maehara, S.; Kooriyama, T. Survey of ophthalmic disorders among captive pinnipeds in Japan. J. Vet. Med. Sci. 2021, 83, 1075–1080. [Google Scholar] [CrossRef] [PubMed]
  6. Gage, L.J. Overview of Known and Suspected Causes of Captive Pinniped Eye Problems. In Proceedings of the IAAAM, San Antonio, TX, USA, 2–6 May 2009. Poster abstract. [Google Scholar]
  7. Miller, S.; Colitz, C.M.; St Leger, J.; Dubielzig, R. A retrospective survey of the ocular histopathology of the pinniped eye with emphasis on corneal disease. Vet. Ophthalmol. 2013, 16, 119–129. [Google Scholar] [CrossRef] [PubMed]
  8. Dunn, J.L.; Overstrom, N.A.; St Alibis, D.J.; Abt, D.A. An epidemiologic survey to determine factors associated with corneal and lenticular lesions in captive harbor seals and California sea lions. In Proceedings of the IAAAM, Chattanooga, TN, USA, 1996. Poster abstract. [Google Scholar]
  9. Gage, L.J. Captive pinniped eye problems, we can do better! J. Mar. Anim. Their Ecol. 2011, 4, 25–28. [Google Scholar]
  10. BMEL (Bundesministerium für Ernährung und Landwirtschaft/German Federal Ministry of Food and Agriculture). Gutachten über die Mindestanforderungen an die Haltung von Säugetieren; BMEL: Berlin, Germany, 2020; p. 192ff. [Google Scholar]
  11. Stach, M.R.; Eule, C.J. Epidemiological Survey on Ocular Diseases of Pinnipeds—Period Prevalence and Husbandry Conditions within Central European Facilities. In Proceedings of the IAAAM, Virtual, 23–26 May 2021. Poster abstract. [Google Scholar]
  12. Parsons, E.C. An Introduction to Marine Mammal Biology and Conservation; Jones & Bartlett: Burlington, MA, USA, 2013; p. 118. ISBN 978-0-7637-8344-0. [Google Scholar]
  13. Smith, R.J.; Cox, T.M.; Westgate, A.J. Movements of Harbor Seals (Phoca Vitulina Mellonae) in Lacs des Loups Marins, Quebec. Mar. Mammal Sci. 2006, 22, 485. [Google Scholar] [CrossRef]
  14. Hauser, D.D.; Allen, C.S.; Rich, J.H.B.; Quinn, T.P. Resident harbor seals (Phoca vitulina) in Iliamna Lake, Alaska: Summer diet and partial consumption of adult sockeye salmon (Oncorhynchus nerka). Aquat. Mamm. 2008, 34, 303. [Google Scholar] [CrossRef]
  15. Enns, A.; Kraus, D.; Hebb, A. Ours to Save: The Distribution, Status and Conservation Needs of Canada’s Endemic Species; Version 1.0; Nature-Serve Canada and Nature Conservancy of Canada: Toronto, ON, Canada, 2020; p. 40. [Google Scholar]
  16. Harrison, J. Sea Lions in the Willamette. Northwest Power and Conservation Council. 2018. Available online: https://www.nwcouncil.org/news/sea-lions-willamette/ (accessed on 24 July 2023).
  17. Pereira Gomes, J.M.; Hill, M.; McDonald, G.; Lynch, M.; Eccles, C.; Eernisse, B. How the life support system can affect pinniped eye health: A case study with long-nosed fur seal (Arctocephalus forsteri). J. Zoo Aquar. Res. 2020, 8, 288–293. [Google Scholar] [CrossRef]
  18. Stewart, J.E.; Pomeroy, P.P.; Duck, C.D.; Twiss, S.D. Finescale ecological niche modeling provides evidence that lactating gray seals (Halichoerus grypus) prefer access to fresh water in order to drink. Mar. Mam. Sci. 2014, 30, 1456–1472. [Google Scholar] [CrossRef]
  19. Gulland, F.M.D.; Dierauf, L.A.; Whitman, K.L. (Eds.) CRC Handbook of Marine Mammal Medicine, 3rd ed.; CRC Press: Boca Raton, FL, USA, 2018. [Google Scholar] [CrossRef]
  20. Latson, E. By-Products of Disinfection of Water and Potential Mechanisms of Ocular and Other Organ Injury and Hemosiderosis in Marine Mammals. In Proceedings of the IAAAM, Las Vegas, NV, USA, 7–11 May 2011. Poster abstract. [Google Scholar]
  21. De Haan, K. Corneal Lesions in Captive California Sea Lions (Zalophus californius) the Diagnostic Aid of Fluorescein and the Influence of Water Quality on the Cornea. Ph.D. Thesis, Veterinary Medicine, Utrecht University, Utrecht, The Netherlands, 2011. Available online: https://studenttheses.uu.nl/handle/20.500.12932/9560 (accessed on 3 March 2025).
Figure 1. Group of Baikal Seals (Pusa sibirica) resting on a rock in Lake Baikal. This species lives exclusively in freshwater (credits: Sergey Gabdurakhmanov). Picture in Figure 1 by Sergey Gabdurakhmanov from Mountain View, USA—Nerpa (Pusa sibirica), CC BY 2.0. Available online: https://en.m.wikipedia.org/wiki/File:Nerpa_(Pusa_sibirica)_(3636069368).jpg (accessed on 3 February 2025).
Figure 1. Group of Baikal Seals (Pusa sibirica) resting on a rock in Lake Baikal. This species lives exclusively in freshwater (credits: Sergey Gabdurakhmanov). Picture in Figure 1 by Sergey Gabdurakhmanov from Mountain View, USA—Nerpa (Pusa sibirica), CC BY 2.0. Available online: https://en.m.wikipedia.org/wiki/File:Nerpa_(Pusa_sibirica)_(3636069368).jpg (accessed on 3 February 2025).
Animals 15 00739 g001
Figure 2. The two different facilities at Nuremberg Zoo where California sea lions are kept; the blue circles indicate the pool areas. (A) Freshwater facility “Aquapark”. (B) Saltwater facility “Lagune”. The red line represents 10 m. Images: Google Earth, Landsat/Copernicus (23 August 2017).
Figure 2. The two different facilities at Nuremberg Zoo where California sea lions are kept; the blue circles indicate the pool areas. (A) Freshwater facility “Aquapark”. (B) Saltwater facility “Lagune”. The red line represents 10 m. Images: Google Earth, Landsat/Copernicus (23 August 2017).
Animals 15 00739 g002
Figure 3. Average occurrence of certain diagnostic findings for the fresh- (red) and saltwater (green) facilities. For each month, we calculated the average occurrence of specific diagnoses over a ten-year period, adjusted for the total number of months each individual lived in the facility. Each boxplot displays the variation in the occurrences for the different months of the year, which are connected with a gray line in between the fresh- and saltwater category. Note that some lines are double, which is not always visible. X-axis labels: eye = eye disease, inju = injuries, skin = skin disease, and misc = other diagnoses. * = statistically significant (p < 0.05), ns = statistically not significant.
Figure 3. Average occurrence of certain diagnostic findings for the fresh- (red) and saltwater (green) facilities. For each month, we calculated the average occurrence of specific diagnoses over a ten-year period, adjusted for the total number of months each individual lived in the facility. Each boxplot displays the variation in the occurrences for the different months of the year, which are connected with a gray line in between the fresh- and saltwater category. Note that some lines are double, which is not always visible. X-axis labels: eye = eye disease, inju = injuries, skin = skin disease, and misc = other diagnoses. * = statistically significant (p < 0.05), ns = statistically not significant.
Animals 15 00739 g003
Figure 4. Pearson residuals from the expected values for the average occurrences (percent per month) of certain diagnostic categories. Values are based on the time the animals lived in the respective facility. Positive residuals are indicated in blue and specify an attraction (positive association) between the corresponding row and column variables. Negative residuals are indicated in red and imply a repulsion (negative association) between the corresponding row and column variables. The size of the circle is proportional to the amount of the cell contribution. (A) Residual plot for the freshwater facility. (B) Residual plot for the saltwater facility; note that the residuals are very high compared to the other plots. (C) Residual plot directly comparing salt- and freshwater facilities.
Figure 4. Pearson residuals from the expected values for the average occurrences (percent per month) of certain diagnostic categories. Values are based on the time the animals lived in the respective facility. Positive residuals are indicated in blue and specify an attraction (positive association) between the corresponding row and column variables. Negative residuals are indicated in red and imply a repulsion (negative association) between the corresponding row and column variables. The size of the circle is proportional to the amount of the cell contribution. (A) Residual plot for the freshwater facility. (B) Residual plot for the saltwater facility; note that the residuals are very high compared to the other plots. (C) Residual plot directly comparing salt- and freshwater facilities.
Animals 15 00739 g004
Figure 5. Frequency of ocular disorders during different amounts of hours of sunshine. The saltwater facility is indicated in blue; the freshwater facility is indicated in gray. The dashed lines indicate the mean values. If UV radiation had an influence on the occurrence of ocular diseases, there should be a similar distribution for fresh- and saltwater.
Figure 5. Frequency of ocular disorders during different amounts of hours of sunshine. The saltwater facility is indicated in blue; the freshwater facility is indicated in gray. The dashed lines indicate the mean values. If UV radiation had an influence on the occurrence of ocular diseases, there should be a similar distribution for fresh- and saltwater.
Animals 15 00739 g005
Disclaimer/Publisher’s Note: The statements, opinions and data contained in all publications are solely those of the individual author(s) and contributor(s) and not of MDPI and/or the editor(s). MDPI and/or the editor(s) disclaim responsibility for any injury to people or property resulting from any ideas, methods, instructions or products referred to in the content.

Share and Cite

MDPI and ACS Style

Brehm, I.; Herzner, S.; Baumgartner, K.; Beckmann, J.; Simon, R.; von Fersen, L. Occurrence of Ocular Disorders in California Sea Lions Under Human Care: Comparing Freshwater and Saltwater Housing Conditions. Animals 2025, 15, 739. https://doi.org/10.3390/ani15050739

AMA Style

Brehm I, Herzner S, Baumgartner K, Beckmann J, Simon R, von Fersen L. Occurrence of Ocular Disorders in California Sea Lions Under Human Care: Comparing Freshwater and Saltwater Housing Conditions. Animals. 2025; 15(5):739. https://doi.org/10.3390/ani15050739

Chicago/Turabian Style

Brehm, Ingrid, Silas Herzner, Katrin Baumgartner, Jörg Beckmann, Ralph Simon, and Lorenzo von Fersen. 2025. "Occurrence of Ocular Disorders in California Sea Lions Under Human Care: Comparing Freshwater and Saltwater Housing Conditions" Animals 15, no. 5: 739. https://doi.org/10.3390/ani15050739

APA Style

Brehm, I., Herzner, S., Baumgartner, K., Beckmann, J., Simon, R., & von Fersen, L. (2025). Occurrence of Ocular Disorders in California Sea Lions Under Human Care: Comparing Freshwater and Saltwater Housing Conditions. Animals, 15(5), 739. https://doi.org/10.3390/ani15050739

Note that from the first issue of 2016, this journal uses article numbers instead of page numbers. See further details here.

Article Metrics

Back to TopTop