Natural Spawning, Early Development, and First Successful Hatchery Production of the Vermiculated Angelfish (Chaetodontoplus mesoleucus), Exploring the Influence of Temperature and Salinity
Simple Summary
Abstract
1. Introduction
2. Materials and Methods
2.1. Broodstock Rearing and Spawning
2.2. Egg Data Collection
2.3. Observations and Measurements of Fertilized Eggs, Larvae, and Juveniles
2.4. Effects of Temperature on Hatch Rate, Time to 50% Hatch, Hatching Period Duration, and Deformity Rate
2.5. Effects of Salinity on Hatch Rate and Deformity Rate
2.6. Statistical Analyses
3. Results
3.1. Embryonic Development
3.2. Yolk Sac and Oil Globule Utilization
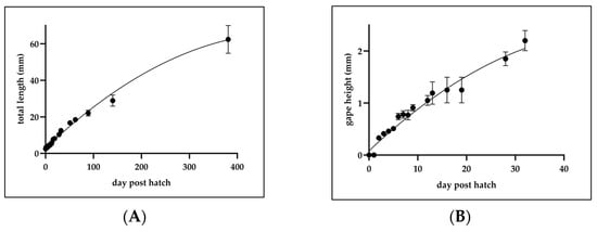
3.3. Development of Larvae and Juveniles
3.4. Effects of Temperature on Hatch Rate, Time to 50% Hatch, Hatching Period Duration, and Deformity Rate
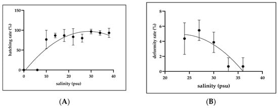
3.5. Effects of Salinity on Hatch Rate and Deformity Rate
4. Discussion
4.1. Early Development
4.2. Effects of Temperature on Hatching and Larval Development
4.3. Effects of Salinity on Hatch Rate and Deformity Rate
5. Conclusions
Supplementary Materials
Author Contributions
Funding
Institutional Review Board Statement
Informed Consent Statement
Data Availability Statement
Acknowledgments
Conflicts of Interest
References
- Kunzmann, A.; Randall, J.; Suprihanto, I. Checklist of the shore fishes of the Mentawai Islands, Nias Island and the Padang region of West Sumatra. NAGA ICLARM Q. 1999, 22, 4–10. [Google Scholar]
- Kilonzo, D.; Heinen, H. Proceedings of the CITES Technical Workshop on Marine Ornamental Fishes, Brisbane, Australia, 7–10 May 2024. Available online: https://cites.org/sites/default/files/eng/prog/marine_ornamental_fishes/workshops/brisbane_052024/CITES%20marine%20ornamental%20fishes%20workshop%20-%20OATA-OFI%20paper%20(Final).pdf (accessed on 29 May 2025).
- Martínez-Rodríguez, I.; González-Rodríguez, B.; Abdo-de la Parra, I.; Duncan, N. Temperature, salinity affect egg survival and hatching rate in bullseye puffer. Glob. Aquac. Advocate 2003, 6, 28–29. [Google Scholar]
- Olivotto, I.; Holt, S.A.; Carnevali, O.; Holt, G.J. Spawning, early development, and first feeding in the lemonpeel angelfish Centropyge flavissimus. Aquaculture 2006, 253, 270–278. [Google Scholar] [CrossRef]
- Palmtag, M.R. The marine ornamental species trade. In Marine Ornamental Species Aquaculture; John Wiley & Sons Ltd.: Chichester, England, 2017; pp. 3–14. [Google Scholar]
- Moon, S.Y.; Lee, W.; Soh, H.Y. A new species of Bestiolina (Crustacea: Copepoda: Calanoida) from the Yellow Sea, with notes on the zoogeography of the genus. Proc. Biol. Soc. Wash. 2010, 123, 32–46. [Google Scholar] [CrossRef]
- Callan, C.K.; Burgess, A.I.; Rothe, C.R.; Touse, R. Development of improved feeding methods in the culture of yellow tang, Zebrasoma flavescens. J. World Aquac. Soc. 2018, 49, 493–503. [Google Scholar] [CrossRef]
- Danilowicz, B.S.; Brown, C.L. Rearing methods for two damselfish species: Dascyllus albisella (Gill) and D. aruanus (L.). Aquaculture 1992, 106, 141–149. [Google Scholar] [CrossRef]
- Holt, G. Research on culturing the early life history stages of marine ornamental species. In Marine Ornamental Species: Collection, Culture and Conservation; Cato, J.C., Brown, C.L., Eds.; Iowa State Press: Ames, IA, USA, 2003. [Google Scholar]
- Fujita, S. Egg development and hatched larvae of a chaetodontid fish, Chaetodontoplus septentrionalis (Temminck et Schlegel). Bull. Japan. Soc. Sci. Fish. 1960, 26, 227–229. [Google Scholar] [CrossRef]
- Olivier, K. World trade in ornamental species. In Marine Ornamental Species: Collection, Culture & Conservation; Iowa State Press: Ames, IA, USA, 2003; pp. 49–63. [Google Scholar]
- Samat, N.A.; Yusoff, F.M.; Rasdi, N.W.; Karim, M. Enhancement of live food nutritional status with essential nutrients for improving aquatic animal health: A review. Animals 2020, 10, 2457. [Google Scholar] [CrossRef]
- Melaku, S.; Geremew, A.; Getahun, A.; Mengestou, S.; Belay, A. Challenges and prospects of using live feed substitutes for larval fish. Fish. Aquat. Sci. 2024, 27, 475–487. [Google Scholar] [CrossRef]
- Peck, M.A.; Reglero, P.; Takahashi, M.; Catalán, I.A. Life cycle ecophysiology of small pelagic fish and climate-driven changes in populations. Prog. Oceanogr. 2013, 116, 220–245. [Google Scholar] [CrossRef]
- Peck, M.A.; Buckley, L.J.; Bengtson, D.A. Effects of temperature and body size on the swimming speed of larval and juvenile Atlantic cod (Gadus morhua): Implications for individual-based modelling. Environ. Biol. Fishes 2006, 75, 419–429. [Google Scholar] [CrossRef]
- Wexler, J.B.; Margulies, D.; Scholey, V.P. Temperature and dissolved oxygen requirements for survival of yellowfin tuna, Thunnus albacares, larvae. J. Exp. Mar. Biol. Ecol. 2011, 404, 63–72. [Google Scholar] [CrossRef]
- Pankhurst, N.W.; Munday, P.L. Effects of climate change on fish reproduction and early life history stages. Mar. Freshw. Res. 2011, 62, 1015–1026. [Google Scholar] [CrossRef]
- Blaxter, J. The effect of temperature on larval fishes. Neth. J. Zool. 1991, 42, 336–357. [Google Scholar] [CrossRef]
- Hioki, S.; Suzuki, K. Spawning behavior, eggs, and larvae of the angelfish, Chaetodontoplus mesoleucus, in the aquarium. J. Sch. Mar. Sci. Technol. Tokai Univ. 1995, 39, 195–205. [Google Scholar]
- Leu, M.-Y.; Liou, C.-H.; Fang, L.-S. Embryonic and larval development of the malabar grouper, Epinephelus malabaricus (Pisces: Serranidae). JMBA-J. Mar. Biol. Assoc. UK 2005, 85, 1249–1254. [Google Scholar]
- Williams, K.; Papanikos, N.; Phelps, R.P.; Shardo, J.D. Development, growth, and yolk utilization of hatchery-reared red snapper Lutjanus campechanus larvae. Mar. Ecol. Prog. Ser. 2004, 275, 231–239. [Google Scholar] [CrossRef]
- Leu, M.Y.; Liou, C.H.; Wang, W.H.; Yang, S.D.; Meng, P.J. Natural spawning, early development and first feeding of the semicircle angelfish [Pomacanthus semicirculatus (Cuvier, 1831)] in captivity. Aquac. Res. 2009, 40, 1019–1030. [Google Scholar] [CrossRef]
- Hart, P.R.; Purser, G. Effects of salinity and temperature on eggs and yolk sac larvae of the greenback flounder (Rhombosolea tapirina Günther, 1862). Aquaculture 1995, 136, 221–230. [Google Scholar] [CrossRef]
- Gracia-López, V.; Kiewek-Martínez, M.; Maldonado-García, M. Effects of temperature and salinity on artificially reproduced eggs and larvae of the leopard grouper Mycteroperca rosacea. Aquaculture 2004, 237, 485–498. [Google Scholar] [CrossRef]
- Leu, M.Y.; Meng, P.J.; Huang, C.S.; Tew, K.S.; Kuo, J.; Liou, C.H. Spawning behaviour, early development and first feeding of the bluestriped angelfish [Chaetodontoplus septentrionalis (Temminck & Schlegel, 1844)] in captivity. Aquac. Res. 2010, 41, e39–e52. [Google Scholar]
- Arai, H. Spawning behavior and early ontogeny of a pomacanthid fish, Chaetodontoplus duboulayi, in an aquarium. Jpn. J. Ichthyol. 1994, 41, 181–187. [Google Scholar]
- Koenigbauer, S.; Höök, T. Increased offspring provisioning by large female fish and consequences for reproductive efficiency. Ecol. Evol. 2023, 13, e10555. [Google Scholar] [CrossRef] [PubMed]
- Takatsu, K.; Delarue, C.; Heller, N.; Saboret, G.; Brodersen, J. Relationships between egg size and maternal size, life history forms, and habitats of Greenlandic Arctic charr (Salvelinus alpinus). Environ. Biol. Fishes 2023, 106, 923–932. [Google Scholar] [CrossRef]
- Garrido, S.; Ben-Hamadou, R.; Santos, A.M.P.; Ferreira, S.; Teodósio, M.; Cotano, U.; Irigoien, X.; Peck, M.A.; Saiz, E.; Re, P. Born small, die young: Intrinsic, size-selective mortality in marine larval fish. Sci. Rep. 2015, 5, 17065. [Google Scholar] [CrossRef]
- Leu, M.Y.; Sune, Y.H.; Meng, P.J. First results of larval rearing and development of the bluestriped angelfish Chaetodontoplus septentrionalis (Temminck & Schlegel) from hatching through juvenile stage with notes on its potential for aquaculture. Aquac. Res. 2015, 46, 1087–1100. [Google Scholar]
- McMahon, S.J.; Munday, P.L.; Donelson, J.M. Energy use, growth and survival of coral reef snapper larvae reared at elevated temperatures. Coral Reefs 2023, 42, 31–42. [Google Scholar] [CrossRef]
- Willis-Norton, E.M. Impacts of Global Environmental Change on Fish and Fisheries of the Northeastern Pacific Ocean. Ph.D. Thesis, University of California, Santa Cruz, CA, USA, September 2022. [Google Scholar]
- Cingi, S.; Keinänen, M.; Vuorinen, P. Elevated water temperature impairs fertilization and embryonic development of whitefish Coregonus lavaretus. J. Fish Biol. 2010, 76, 502–521. [Google Scholar] [CrossRef]
- Dionísio, G.; Campos, C.; Valente, L.; Conceição, L.; Cancela, M.; Gavaia, P.J. Effect of egg incubation temperature on the occurrence of skeletal deformities in Solea senegalensis. J. Appl. Ichthyol. 2012, 28, 471–476. [Google Scholar] [CrossRef]
- Yoo, H.-K.; Kim, W.-J.; Lim, H.-J.; Byun, S.-G.; Yamamoto, J.; Sakurai, Y. The effect of low temperature on the early life stages of the walleye Pollock, Gadus chalcogrammus—A laboratory study. J. Mar. Sci. Eng. 2021, 9, 818. [Google Scholar] [CrossRef]
- Kesner-Reyes, K.; Garilao, C.; Kaschner, K.; Barile, J.; Froese, R. AquaMaps: Algorithm and Data Sources for Marine Organisms. FishBase. Available online: https://www.fishbase.org (accessed on 31 May 2025).
- Bromage, N.; Bruce, M.; Basavaraja, N.; Rana, K.; Shields, R.; Young, C.; Dye, J.; Smith, P.; Gillespie, M.; Gamble, J. Egg quality determinants in finfish the role of overripening with special reference to the timing of stripping in the Atlantic halibut Hippoglossus hippoglossus. J. World Aquac. Soc. 1994, 25, 13–21. [Google Scholar] [CrossRef]
- Park, J.W.; Yoo, H.K.; Jung, H.K.; Park, H.J.; Bae, K.M.; Kang, C.-K.; Lee, C.I. Effects of water temperature changes on the early life stages (egg and larvae) of walleye Pollock (Gadus chalcogrammus)–Laboratory experiments and field applications. J. Exp. Mar. Biol. Ecol. 2024, 571, 151980. [Google Scholar] [CrossRef]
- Politis, S.N.; Dahlke, F.T.; Butts, I.A.; Peck, M.A.; Trippel, E.A. Temperature, paternity and asynchronous hatching influence early developmental characteristics of larval Atlantic cod, Gadus morhua. J. Exp. Mar. Biol. Ecol. 2014, 459, 70–79. [Google Scholar] [CrossRef]
- Soman, M.; Chadha, N.K.; Madhu, K.; Madhu, R.; Sawant, P.B.; Francis, B. Optimization of temperature improves embryonic development and hatching efficiency of false clown fish, Amphiprion ocellaris Cuvier, 1830 under captive condition. Aquaculture 2021, 536, 736417. [Google Scholar] [CrossRef]
- Mikhailenko, V. Salinity-stress-induced changes in the resistance of embryos of the White Sea herring Clupea pallasi marisalbi to freshwater. Russ. J. Mar. Biol. 2000, 26, 370–372. [Google Scholar] [CrossRef]
- Shi, Z.; Huang, X.; Fu, R.; Wang, H.; Luo, H.; Chen, B.; Liu, M.; Zhang, D. Salinity stress on embryos and early larval stages of the pomfret Pampus punctatissimus. Aquaculture 2008, 275, 306–310. [Google Scholar] [CrossRef]
- Watanabe, W.O.; Feeley, M.W.; Ellis, S.C.; Ellis, E.P. Light intensity and salinity effects on eggs and yolk sac larvae of the summer flounder. N. Am. J. Aquac. 1998, 60, 9–19. [Google Scholar] [CrossRef]
- Estudillo, C.B.; Duray, M.N.; Marasigan, E.T.; Emata, A.C. Salinity tolerance of larvae of the mangrove red snapper (Lutjanus argentimaculatus) during ontogeny. Aquaculture 2000, 190, 155–167. [Google Scholar] [CrossRef]
- Dhaneesh, K.; Devi, K.N.; Kumar, T.A.; Balasubramanian, T.; Tissera, K. Breeding, embryonic development and salinity tolerance of Skunk clownfish Amphiprion akallopisos. J. King Saud Univ.-Sci. 2012, 24, 201–209. [Google Scholar] [CrossRef]
- Fyhn, H.J.; Finn, R.N.; Reith, M.; Norberg, B. Yolk protein hydrolysis and oocyte free amino acids as key features in the adaptive evolution of teleost fishes to seawater. Sarsia 1999, 84, 451–456. [Google Scholar] [CrossRef]
- Nour, A.; Zaki, M.; Abdel-Rahim, M.; Mabrouk, H. Factors affecting swim-bladder inflation, survival and growth performance of gilthead seabream Sparus aurata larvae: 2-water salinity. Egypt. J. Aquat. Res. 2004, 30, 418–428. [Google Scholar]
- Politis, S.N.; Mazurais, D.; Servili, A.; Zambonino-Infante, J.-L.; Miest, J.J.; Tomkiewicz, J.; Butts, I.A. Salinity reduction benefits European eel larvae: Insights at the morphological and molecular level. PLoS ONE 2018, 13, e0198294. [Google Scholar] [CrossRef] [PubMed]
- Berlinsky, D.L.; Taylor, J.C.; Howell, R.A.; Bradley, T.M.; Smith, T.I. The effects of temperature and salinity on early life stages of black sea bass Centropristis striata. J. World Aquac. Soc. 2004, 35, 335–344. [Google Scholar] [CrossRef]








| Developmental Stage | Duration Time | Key Morphological Characteristic |
|---|---|---|
| Zygote period | ||
| Fertilized egg | Newly fertilized; blastodisc appears; one oil globule; 0.93 ± 0.02 mm in diameter | |
| Cleavage period | ||
| 2-cell | 40 min pf | 1st cleavage; dividing the blastodisc into 2 blastomeres |
| 4-cell | 50 min pf | 2nd cleavage; perpendicular to the first |
| 8-cell | 1 h 2 min pf | 3rd cleavage |
| 16-cell | 1 h 14 min pf | 4th cleavage |
| 32-cell | 1 h 27 min pf | 5th cleavage |
| 64-cell | 1 h 38 min pf | 6th cleavage |
| Blastula period | ||
| High | 1 h 58 min pf | Epiboly process began |
| 30%-epiboly | 7 h 10 min pf | Epiboly comes to 30% |
| Gastrula | ||
| 70%-epiboly | 8 h 3 min pf | Epiboly comes to 70%; embryonic shield appears; differentiation of embryonic axis occurs |
| Embryonic development | ||
| Neurula | 8 h 55 min pf | Blastopore closes; tail bud appears |
| Embryo | 9 h 38 min pf | Myomeres and optical lens appear |
| 10 h 12 min pf | Melanophores occur on embryo; otic vesicle appears | |
| 15 h 48 min pf | Heart is discernible; auditory vesicles are developed | |
| Before hatching | 21 h 50 min pf | Tail separates from yolk and spins freely |
| Free yolk-sac larvae | 21 h 55 min pf | Hatching begins; larva is free from the membrane |
| Developmental Stage | Duration Time | Key Morphological Characteristic |
|---|---|---|
| Larval period | ||
| Yolk-sac | 0 dph | 26 myomeres; one big yolk sac; 2.50 ± 0.07 mm LT |
| 1 dph | Alimentary canal appears but is not yet functional; yolk reduces in size; melanophores scatter along the entire body and the dorsal and ventral finfolds behind the anus; 3.32 ± 0.06 mm LT | |
| 2 dph | Mouth opening appears but is not yet functional; melanophores scatter along the entire body; eyes, mouth and digestive tract were in development; 3.31 ± 0.05 mm LT | |
| 3 dph | Yolk is completely absorbed; functional mouth appears and begins feeding; 3.26 ± 0.10 mm LT | |
| Preflexion | 6 dph | Body becomes deeper; swim bladder appears; short spinules begin to form on the head; 4.31 ± 0.13 mm LT |
| 8 dph | Soft rays of the dorsal and anal fins appear; 4.60 ± 0.31 mm LT | |
| Flexion | 9 dph | Notochord end becomes flexed; 4.61 ± 0.30 mm LT |
| Postflexion | 12 dph | Hypural bones assume a vertical position; 5.25 ± 0.37 mm LT |
| Transformation | 19 dph | Yellow areas appear above the head and base of the caudal fin; pelvic fin spines appear; 7.71 ± 0.51 mm LT |
| Juvenile period | ||
| Juvenile | 28 dph | Fin ray counts attain an adult complement; 10.32 ± 0.31 mm LT |
| 32 dph | Full juvenile coloration is apparent with white area in the middle, and yellow areas appearing on the mouth, tail, caudal fin, dorsal fin, and pectoral fin; 12.50 ± 0.44 mm mm LT |
Disclaimer/Publisher’s Note: The statements, opinions and data contained in all publications are solely those of the individual author(s) and contributor(s) and not of MDPI and/or the editor(s). MDPI and/or the editor(s) disclaim responsibility for any injury to people or property resulting from any ideas, methods, instructions or products referred to in the content. |
© 2025 by the authors. Licensee MDPI, Basel, Switzerland. This article is an open access article distributed under the terms and conditions of the Creative Commons Attribution (CC BY) license (https://creativecommons.org/licenses/by/4.0/).
Share and Cite
Sun, Y.-H.; Lin, Y.-R.; Hsieh, H.-Y.; Meng, P.-J. Natural Spawning, Early Development, and First Successful Hatchery Production of the Vermiculated Angelfish (Chaetodontoplus mesoleucus), Exploring the Influence of Temperature and Salinity. Animals 2025, 15, 1657. https://doi.org/10.3390/ani15111657
Sun Y-H, Lin Y-R, Hsieh H-Y, Meng P-J. Natural Spawning, Early Development, and First Successful Hatchery Production of the Vermiculated Angelfish (Chaetodontoplus mesoleucus), Exploring the Influence of Temperature and Salinity. Animals. 2025; 15(11):1657. https://doi.org/10.3390/ani15111657
Chicago/Turabian StyleSun, Yu-Hsuan, Yu-Ru Lin, Hung-Yen Hsieh, and Pei-Jie Meng. 2025. "Natural Spawning, Early Development, and First Successful Hatchery Production of the Vermiculated Angelfish (Chaetodontoplus mesoleucus), Exploring the Influence of Temperature and Salinity" Animals 15, no. 11: 1657. https://doi.org/10.3390/ani15111657
APA StyleSun, Y.-H., Lin, Y.-R., Hsieh, H.-Y., & Meng, P.-J. (2025). Natural Spawning, Early Development, and First Successful Hatchery Production of the Vermiculated Angelfish (Chaetodontoplus mesoleucus), Exploring the Influence of Temperature and Salinity. Animals, 15(11), 1657. https://doi.org/10.3390/ani15111657

