Residue Elimination Patterns and Determination of the Withdrawal Times of Seven Antibiotics in Eggs of Taihang Chickens
Simple Summary
Abstract
1. Introduction
2. Materials and Methods
2.1. Animals
2.2. Drugs and Reagents
2.3. Experimental Design
2.4. Sample Preparation
2.5. Liquid Chromatography–Mass Spectrometry Conditions
2.6. Method Validation
3. Results
3.1. Method Validation
3.2. Residue Elimination Rules
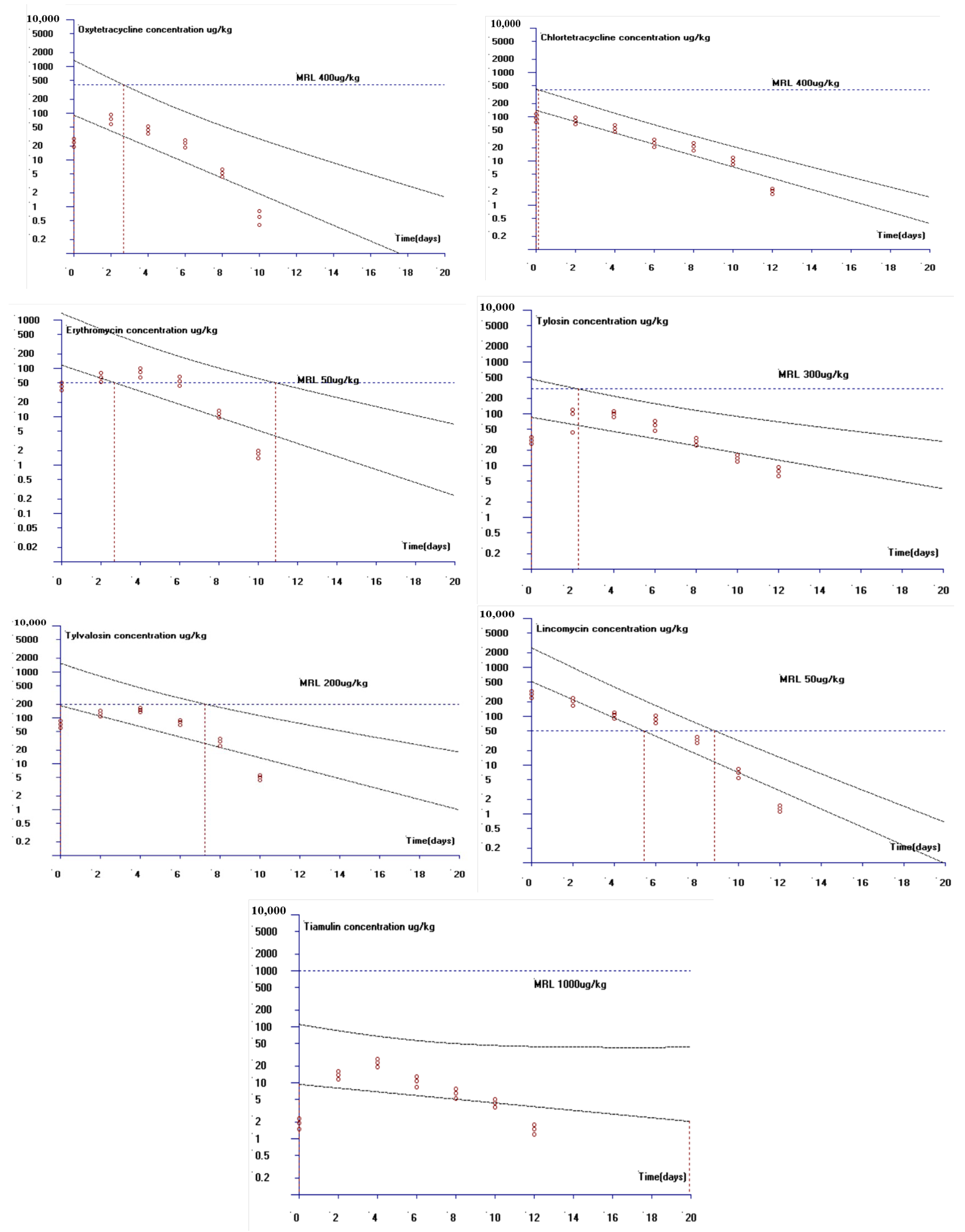
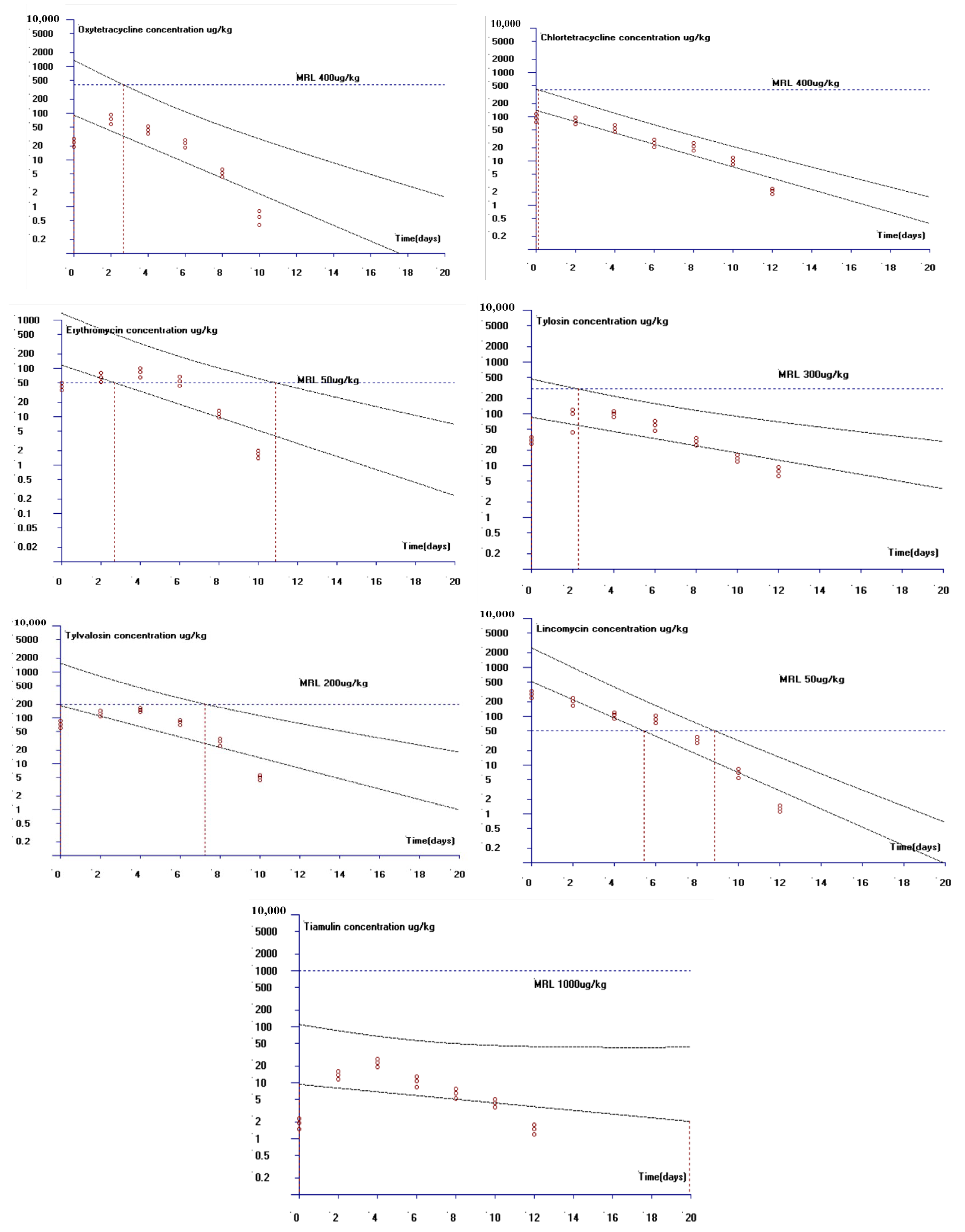
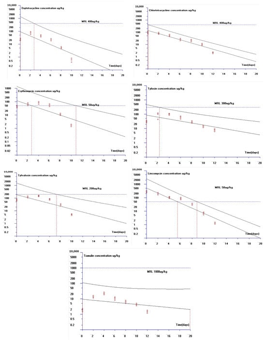
3.2.1. Elimination Rules of Oxytetracycline, Chlortetracycline, and Their Main Metabolites
3.2.2. Elimination of Erythromycin, Tylosin, Tylvalosin, and Their Main Metabolites
3.2.3. Elimination of Lincomycin and Its Main Metabolites
3.2.4. Elimination of Tiamulin and Its Main Metabolites
3.3. WDTs and MRLs
4. Discussion
5. Conclusions
Supplementary Materials
Author Contributions
Funding
Institutional Review Board Statement
Informed Consent Statement
Data Availability Statement
Acknowledgments
Conflicts of Interest
References
- Chen, J.; Ying, G.G.; Deng, W.J. Antibiotic Residues in Food: Extraction, Analysis, and Human Health Concerns. J. Agric. Food Chem. 2019, 67, 7569–7586. [Google Scholar] [CrossRef] [PubMed]
- Muaz, K.; Riaz, M.; Akhtar, S.; Park, S.; Ismail, A. Antibiotic Residues in Chicken Meat: Global Prevalence, Threats, and Decontamination Strategies: A Review. J. Food Prot. 2018, 81, 619–627. [Google Scholar] [CrossRef] [PubMed]
- GB 31650-2019; National Food Safety Standard—Maximum Residue Limits for Veterinary Drugs in Foods. China Agriculture Press: Beijing, China, 2019.
- Goetting, V.; Lee, K.A.; Tell, L.A. Pharmacokinetics of veterinary drugs in laying hens and residues in eggs: A review of the literature. J. Vet. Pharmacol. Ther. 2011, 34, 521–556. [Google Scholar] [CrossRef] [PubMed]
- Kodimalar, K.; Rajini, R.A.; Ezhilvalavan, S.; Sarathchandra, G. A survey of chlortetracycline concentration in feed and its residue in chicken egg in commercial layer farms. J. Biosci. 2014, 39, 425–431. [Google Scholar] [CrossRef]
- Patel, T.; Marmulak, T.; Gehring, R.; Pitesky, M.; Clapham, M.O.; Tell, L.A. Drug residues in poultry meat: A literature review of commonly used veterinary antibacterials and anthelmintics used in poultry. J. Vet. Pharmacol. Ther. 2018, 41, 761–789. [Google Scholar] [CrossRef]
- Chiesa, L.M.; Nobile, M.; Panseri, S.; Arioli, F. Suitability of feathers as control matrix for antimicrobial treatments detection compared to muscle and liver of broilers. Food Control 2018, 91, 268–275. [Google Scholar] [CrossRef]
- Goudah, A.; El Sooud, K.A.; El-Aty, A.M.A. Pharmacokinetics and tissue residue profiles of erythromycin in broiler chickens after different routes of administration. DTW. Dtsch. Tierarztl. Wochenschr. 2004, 111, 162–165. [Google Scholar]
- Hornish, R.E.; Gosline, R.E.; Nappier, J.M. Comparative metabolism of lincomycin in the swine, chicken, and rat. Drug Metab. Rev. 1987, 18, 177–214. [Google Scholar] [CrossRef]
- Cao, C.; Liu, Y.; Zhang, G.; Dong, J.; Xu, N.; Zhou, S.; Yang, Y.; Yang, Q.; Ai, X. Temperature-Dependent Residue Depletion Regularities of Tiamulin in Nile Tilapia (Oreochromis niloticus) Following Multiple Oral Administrations. Front. Vet. Sci. 2021, 8, 1–8. [Google Scholar] [CrossRef]
- Messier, S.; Higgins, R.; Moore, C. Minimal inhibitory concentrations of five antimicrobials against Treponema hyodysenteriae and Treponema innocens. J. Vet. Diagn. Investig. 1990, 2, 330–333. [Google Scholar] [CrossRef]
- Han, H.; Sun, Y.; Fan, Y.; Zhang, H.; Yang, J.; Chi, R.; Gao, Y.; Liu, J.; Li, K.; Li, W.; et al. Microbial Diversity and Community Composition of Duodenum Microbiota of High and Low Egg-Yielding Taihang Chickens Identified Using 16S rRNA Amplicon Sequencing. Life 2022, 12, 1–5. [Google Scholar] [CrossRef] [PubMed]
- Zhang, R.; Wang, W.; Zhang, Z.; Wang, D.; Ding, H.; Liu, H.; Zang, S.; Zhou, R. Genome-wide re-sequencing reveals selection signatures for important economic traits in Taihang chickens. Poult. Sci. 2024, 103, 104240. [Google Scholar] [CrossRef] [PubMed]
- Fan, Y.; Wu, X.; Li, Y.; Han, H.; Zhang, Y.; Yang, J.; Liu, Y. Effect of polymorphisms in the 5′-flanking sequence of MC1R on feather color in Taihang chickens. Poult. Sci. 2022, 101, 1–2. [Google Scholar] [CrossRef] [PubMed]
- Li, X.; Chen, L.; Yue, H.; Feng, H.; Xu, E.; Wei, X.; Han, X.; Deng, L.; Li, Z. Depletion of florfenicol and florfenicol amine in eggs of laying hens and growing pullets after oral administration. Food Addit. Contam. Part A 2020, 37, 1449–1458. [Google Scholar] [CrossRef]
- Zhao, W.; Jiang, R.; Guo, W.; Guo, C.; Li, S.; Wang, J.; Wang, S.; Li, Y. Screening and Analysis of Multiclass Veterinary Drug Residues in Animal Source Foods using UPLC-Q-Exactive Orbitrap/MS. Bull. Environ. Contam. Toxicol. 2021, 107, 228–238. [Google Scholar] [CrossRef]
- Verdon, E.; Couedor, P.; Sanders, P. Multi-residue monitoring for the simultaneous determination of five nitrofurans (furazolidone, furaltadone, nitrofurazone, nitrofurantoine, nifursol) in poultry muscle tissue through the detection of their five major metabolites (AOZ, AMOZ, SEM, AHD, DNSAH) by liquid chromatography coupled to electrospray tandem mass spectrometry--in-house validation in line with Commission Decision 657/2002/EC. Anal. Chim. Acta 2007, 586, 336–347. [Google Scholar] [CrossRef]
- Kan, C.A.; Petz, M. Residues of Veterinary Drugs in Eggs and Their Distribution between Yolk and White. J. Agric. Food Chem. 2000, 48, 6397–6403. [Google Scholar] [CrossRef]
- Kolanović, B.S.; Bilandžić, N.; Kos, B.; Šušković, J.; Cvetnić, L.; Varenina, I.; Luburić, Đ.B.; Varga, I.; Pavliček, D.; Lugomer, M.D.; et al. Distribution and elimination of levamisole in eggs and tissues after oral administration to laying hens, determined by LC-MS/MS. Food Addit. Contam. Part A 2019, 36, 729–739. [Google Scholar] [CrossRef]
- Donoghue, D.J.; Hairston, H. Oxytetracycline transfer into chicken egg yolk or albumen. Poult. Sci. 1999, 78, 343–345. [Google Scholar] [CrossRef]
- GB 31613.2-2021; National Food Safety Standard—Determination of Tylvalosin and 3-Acetyltylosin Residues in Swine and Chicken Tissues by Liquid Chromatography-Tandem Mass Spectrometry Method. China Agriculture Press: Beijing, China, 2021.
- FURUSAWA, N. Spiramycin, Oxytetracycline and Sulphamonomethoxine Contents of Eggs and Egg-Forming Tissues of Laying Hens. J. Vet. Med. Ser. A 1999, 46, 599–603. [Google Scholar] [CrossRef]
- Muñoz, R.; Cornejo, J.; Maddaleno, A.; Araya-Jordán, C.; Iragüen, D.; Pizarro, N.; Martín, B.S. Withdrawal Times of Oxytetracycline and Tylosin in Eggs of Laying Hens after Oral Administration. J. Food Prot. 2014, 77, 1017–1021. [Google Scholar] [CrossRef] [PubMed]
- Commission of Chinese Veterinary Pharmacopoeia. Veterinary Drug Quality Standards; 2020 Commission of Chinese Veterinary Pharmacopoeia: Beijing, China, 2020. [Google Scholar]
- de Assis, D.C.; da Silva, G.R.; Lanza, I.P.; Ribeiro, A.C.; Lana, Â.M.; Lara, L.J.; de Figueiredo, T.C.; Cançado, S.V. Evaluation of the Presence and Levels of Enrofloxacin, Ciprofloxacin, Sulfaquinoxaline and Oxytetracycline in Broiler Chickens after Drug Administration. PLoS ONE 2016, 11, e0166402. [Google Scholar] [CrossRef] [PubMed]
- Hu, H.; Qiu, J.; Li, R.; Li, D.; Wang, Q.; Wang, Q.; Ma, Y.; Yang, W.; Xu, R.; Liu, L.; et al. Comparative study of the plasma pharmacokinetics and tissue residues of trimethoprim in silky fowls and 817 broilers after single oral administration. Poult. Sci. 2023, 102, 1–3. [Google Scholar] [CrossRef]
- Yuan, L.; Chou, W.-C.; Richards, E.D.; Tell, L.A.; Baynes, R.E.; Davis, J.L.; Riviere, J.E.; Lin, Z. A web-based interactive physiologically based pharmacokinetic (iPBPK) model for meloxicam in broiler chickens and laying hens. Food Chem. Toxicol. 2022, 168, 111332. [Google Scholar] [CrossRef]
- Bogialli, S.; Ciampanella, C.; Curini, R.; Di Corcia, A.; Laganà, A. Development and validation of a rapid assay based on liquid chromatography–tandem mass spectromtetry for determining macrolide antibiotic residues in eggs. J. Chromatogr. A 2009, 1216, 6810–6815. [Google Scholar] [CrossRef]
- Gbylik-Sikorska, M.; Lebkowska-Wieruszewska, B.; Gajda, A.; Nowacka-Kozak, E.; Lisowski, A.; Posyniak, A. Transfer of enrofloxacin, ciprofloxacin, and lincomycin into eggshells and residue depletion in egg components after multiple oral administration to laying hens. Poult. Sci. 2021, 100, 101341. [Google Scholar] [CrossRef]
- Shao, H.-T.; Gao, L.; Li, H.-T.; Zhang, M.; Chen, J.-C.; Duan, M.-H.; Li, Z.-E.; Dai, Y.; Li, X.-P.; Yang, F. Egg residue and depletion of meloxicam in Jing Hong laying hens following multiple oral doses. Poult. Sci. 2023, 102, 1–4. [Google Scholar] [CrossRef]
- Wang, J.; Zang, S.; Wang, C.; Li, Q.; Xi, Y.; Yuan, N.; Li, L. Comparison on Digestive Tract Clearance Speed of Taihang and Hy-line Layers. China Poult. 2010, 32, 26–27. [Google Scholar] [CrossRef]
- European Commission. Commission regulation (EU) on pharmacologically active substances and their classification regarding maximum residue limits in foodstuffs of animal origin. 37/2010/EC. Off. J. Eur. Union L 2010, 15, 1–72. [Google Scholar]
- Souza, M.J.; Bailey, J.; White, M.; Gordon, K.; Gerhardt, L.; Cox, S.K. Pharmacokinetics and Egg Residues of Meloxicam After Multiple Day Oral Dosing in Domestic Chickens. J. Avian Med. Surg. 2018, 32, 8–12. [Google Scholar] [CrossRef]


| Group | Formulation | Administration |
|---|---|---|
| Oxytetracycline | 50% oxytetracycline hydrochloride soluble powder | Mixed feeding: 1.0 g of 50% oxytetracycline hydrochloride soluble powder was added to each kilogramme of basal ration for 5 days. |
| Chlortetracycline | 20% chlortetracycline hydrochloride soluble powder | Mixed feeding: 4.0 g of 20% chlortetracycline hydrochloride soluble powder was added to each kilogramme of basal ration for 5 days. |
| Erythromycin | 5% erythromycin thiocyanate soluble powder | Mixed feeding: 5.0 g of 5% erythromycin thiocyanate soluble powder was added to each kilogramme of basal ration for 5 days. |
| Tylosin | 50% tylosin tartrate soluble powder | Mixed feeding: 2.0 g of 50% tylosin tartrate soluble powder was added to each kilogramme of basal ration for 5 days. |
| Tylvalosin | 20% tylvalosin tartrate soluble powder | Mixed feeding: 3.0 g of 20% tylvalosin tartrate soluble powder was added to each kilogramme of basal ration for 5 days. |
| Lincomycin | 5% lincomycin hydrochloride soluble powder | Mixed feeding: 6.0 g of 5% lincomycin hydrochloride soluble powder was added to each kilogramme of basal ration for 10 days. |
| Tiamulin | 45% tiamulin fumarate soluble powder | Mixed feeding: 1.11 g of 45% tiamulin fumarate soluble powder was added to each kilogramme of basal ration for 3 days. |
| Analyte | Retention Time/min | Precursor Ion (m/z) | Daughter Ion (m/z) | Collision Voltage/V | Cone Voltage/V |
|---|---|---|---|---|---|
| Oxytetracycline | 2.59 | 460.8 | 200.7 425.8 | 44 20 | 2 |
| Chlortetracycline | 3.30 | 478.8 | 153.7 443.8 | 26 20 | 34 |
| Erythromycin A | 3.48 | 734.2 | 158.1 576.2 | 30 18 | 30 |
| Tylosin A | 3.52 | 916.2 | 145.1 174.1 | 35 35 | 20 |
| Tylvalosin | 3.79 | 1042.7 | 109.1 174.1 | 45 45 | 30 |
| Lincomycin | 2.13 | 407.0 | 126.2 359.2 | 22 16 | 30 |
| Tiamulin | 3.61 | 494.4 | 119.0 192.1 | 25 19 | 10 |
| Residual Marker | Regression Equation | R2 Correlation Coefficient | LOD (µg/kg) | LOQ (µg/kg) |
|---|---|---|---|---|
| Oxytetracycline | y = 3517.59x − 2130.43 | 0.9958 | 0.5 | 2.0 |
| Chlortetracycline | y = 3242.91x − 1900.16 | 0.9969 | 0.5 | 2.0 |
| Erythromycin A | y = 3357.56x − 2557.44 | 0.9951 | 0.5 | 2.0 |
| Tylosin A | y = 1040.77x − 327.193 | 0.9977 | 1 | 5.0 |
| Tylvalosin | y = 11,357.9x − 2472.89 | 0.9993 | 0.2 | 1.0 |
| Lincomycin | y = 28,955.9x + 3765.47 | 0.9993 | 0.2 | 1.0 |
| Tiamulin | y = 67,247.6x + 11453 | 0.9978 | 0.2 | 1.0 |
| Analyte | Matrix | Spiked Concentration (μg/kg) | Recovery (%) (n = 6) | Intra-day RSD (%) (n = 6) | Inter-day RSD (%) (n = 6) | CCα (μg/kg) | CCβ (μg/kg) |
|---|---|---|---|---|---|---|---|
| Oxytetracycline | Whole egg | 10 | 77 | 3.2 | 4.3 | 0.305 | 0.511 |
| Yolk | 10 | 75 | 3.5 | 3.7 | 0.288 | 0.488 | |
| Albumen | 10 | 75 | 3.6 | 2.7 | 0.279 | 0.457 | |
| Chlortetracycline | Whole egg | 10 | 71 | 2.5 | 2.0 | 0.304 | 0.493 |
| Yolk | 10 | 74 | 4.0 | 3.3 | 0.253 | 0.486 | |
| Albumen | 10 | 73 | 3.8 | 2.9 | 0.266 | 0.442 | |
| Erythromycin A | Whole egg | 10 | 78 | 2.6 | 3.5 | 0.331 | 0.476 |
| Yolk | 10 | 81 | 1.8 | 3.8 | 0.345 | 0.439 | |
| Albumen | 10 | 80 | 2.9 | 3.1 | 0.324 | 0.469 | |
| Tylosin A | Whole egg | 10 | 72 | 2.3 | 2.8 | 0.319 | 0.457 |
| Yolk | 10 | 70 | 2.6 | 2.2 | 0.247 | 0.472 | |
| Albumen | 10 | 71 | 3.7 | 3.6 | 0.322 | 0.432 | |
| Tylvalosin | Whole egg | 10 | 82 | 3.5 | 4.5 | 0.318 | 0.421 |
| Yolk | 10 | 81 | 3.1 | 4.1 | 0.316 | 0.414 | |
| Albumen | 10 | 85 | 1.9 | 2.6 | 0.308 | 0.407 | |
| Lincomycin | Whole egg | 10 | 90 | 2.2 | 2.8 | 0.302 | 0.422 |
| Yolk | 10 | 88 | 2.7 | 3.2 | 0.254 | 0.418 | |
| Albumen | 10 | 92 | 2.6 | 2.4 | 0.337 | 0.434 | |
| Tiamulin | Whole egg | 10 | 98 | 2.2 | 1.8 | 0.266 | 0.491 |
| Yolk | 10 | 97 | 3.3 | 1.9 | 0.238 | 0.503 | |
| Albumen | 10 | 99 | 3.8 | 2.3 | 0.223 | 0.401 |
| Veterinary Drug | 31650 MRLs | CAC MRL | EU MRL | Chinese Veterinary Pharmacopoeia Withdrawal Time | Recommended WDT in Taihang Chicken Eggs |
|---|---|---|---|---|---|
| Oxytetracycline | 400 μg/kg | 400 μg/kg | 200 μg/kg | 5 days | 3 |
| Chlortetracycline | 400 μg/kg | 400 μg/kg | 200 μg/kg | 7 days | 1 |
| Erythromycin | 50 μg/kg | 50 μg/kg | 150 μg/kg | 3 days | 11 |
| Tylosin | 300 μg/kg | 300 μg/kg | 200 μg/kg | 1 days | 3 |
| Tylvalosin | 200 μg/kg | 200 μg/kg | 5 days | 8 | |
| Lincomycin | 50 μg/kg | 50 μg/kg | 5 days | 9 | |
| Tiamulin | 1000 μg/kg | 1000 μg/kg | 5 days | 0 |
Disclaimer/Publisher’s Note: The statements, opinions and data contained in all publications are solely those of the individual author(s) and contributor(s) and not of MDPI and/or the editor(s). MDPI and/or the editor(s) disclaim responsibility for any injury to people or property resulting from any ideas, methods, instructions or products referred to in the content. |
© 2024 by the authors. Licensee MDPI, Basel, Switzerland. This article is an open access article distributed under the terms and conditions of the Creative Commons Attribution (CC BY) license (https://creativecommons.org/licenses/by/4.0/).
Share and Cite
Chen, H.; Wu, X.; Cui, S.; Li, Y.; Mu, Y.; Gao, J.; Liu, H.; Liu, J. Residue Elimination Patterns and Determination of the Withdrawal Times of Seven Antibiotics in Eggs of Taihang Chickens. Animals 2024, 14, 3701. https://doi.org/10.3390/ani14243701
Chen H, Wu X, Cui S, Li Y, Mu Y, Gao J, Liu H, Liu J. Residue Elimination Patterns and Determination of the Withdrawal Times of Seven Antibiotics in Eggs of Taihang Chickens. Animals. 2024; 14(24):3701. https://doi.org/10.3390/ani14243701
Chicago/Turabian StyleChen, Huan, Xiajun Wu, Shasha Cui, Yandong Li, Yingli Mu, Jinduo Gao, Huage Liu, and Juxiang Liu. 2024. "Residue Elimination Patterns and Determination of the Withdrawal Times of Seven Antibiotics in Eggs of Taihang Chickens" Animals 14, no. 24: 3701. https://doi.org/10.3390/ani14243701
APA StyleChen, H., Wu, X., Cui, S., Li, Y., Mu, Y., Gao, J., Liu, H., & Liu, J. (2024). Residue Elimination Patterns and Determination of the Withdrawal Times of Seven Antibiotics in Eggs of Taihang Chickens. Animals, 14(24), 3701. https://doi.org/10.3390/ani14243701

