Influence of Loading Density and Gender on the Welfare and Meat Quality of Horses During Transport for Slaughter
Simple Summary
Abstract
1. Introduction
2. Materials and Methods
2.1. Ethical Statement
2.2. Experimental Animals, Pre-Slaughter Conditions and Slaughter Procedure
2.3. Collection, Selection, Preparation of Blood Samples and Determination of Selected Blood Components
2.4. Evaluation of Bruises on the Carcass
2.5. Meat Quality Assessment
2.6. Statistical Analysis
3. Results
3.1. The Effects of Loading Density and Gender on Selected Blood Components of Slaughter Horses
3.2. The Effects of Loading Density and Gender on the Occurrence of Carcass Bruises of Slaughter Horses
3.3. The Effects of Loading Density and Gender on the Horsemeat Quality
4. Discussion
4.1. The Effects of Loading Density and Gender on Welfare of Slaughter Horses
4.2. The Effects of Loading Density and Gender on the Horsemeat Quality Characteristics
5. Conclusions
Author Contributions
Funding
Institutional Review Board Statement
Informed Consent Statement
Data Availability Statement
Conflicts of Interest
References
- Weeks, C.A.; McGreevy, P.; Waran, N.K. Welfare issues related to transport and handling of both trained and unhandled horses and ponies. Equine Vet. Educ. 2012, 24, 423–430. [Google Scholar] [CrossRef]
- Zappaterra, M.; Nanni Costa, L.; Felici, M.; Minero, M.; Perniola, F.; Tullio, D.; Padalino, B. Journeys, journey conditions, and welfare assessment of unbroken (unhandled) horses on arrival at a slaughterhouse in Italy. Animals 2022, 12, 2083. [Google Scholar] [CrossRef]
- Driessen, B.; Marlin, D.; Buyse, J. Horses. In Preslaughter Handling and Slaughter of Meat Animals, 1st ed.; Faucitano, L., Ed.; Wageningen Academic Publishers: Wageningen, The Netherlands, 2022; pp. 194–221. [Google Scholar] [CrossRef]
- Roy, R.C.; Cockram, M.S.; Dohoo, I.R. Welfare of horses transported to slaughter in Canada: Assessment of welfare and journey risk factors affecting welfare. Can. J. Anim. Sci. 2015, 95, 509–522. [Google Scholar] [CrossRef]
- Aune, A.; Fenner, K.; Wilson, B.; Cameron, E.; McLean, A.; McGreevy, P. Reported behavioural differences between geldings and mares challenge sex-driven stereotypes in ridden equine behaviour. Animals 2020, 10, 414. [Google Scholar] [CrossRef] [PubMed]
- Razmaitė, V.; Šveistienė, R.; Račkauskaitė, A.; Jatkauskienė, V. Effect of gender on meat quality from adult obsolescent horses. Animals 2021, 11, 2880. [Google Scholar] [CrossRef] [PubMed]
- Olczak, K.; Klocek, C. A review of aggressive bahavior in horses. J. Interdiscip. Res. 2014, 4, 62–65. [Google Scholar]
- EC Council Regulation (EC). No 1/2005 of 22 December 2004 on the protection of animals during transport and related operations and amending Directives 64/432/EEC and 93/119/EC and Regulation (EC) No 1255/97. O. J. Eur. Union 2005, L3, 1–44. [Google Scholar]
- Australian Animal Welfare Standards and Guidelines. Land Transport of Livestock. 2021. Available online: http://www.animalwelfarestandards.net.au/land-transport/ (accessed on 1 September 2024).
- Leadon, D.; Waran, N.; Herholz, C.; Klay, M. Veterinary management of horse transport. Vet. Ital. 2008, 44, 149–163. [Google Scholar]
- Marlin, D.; Kettlewell, P.; Parkin, T.; Kennedy, M.; Broom, D.; Wood, J. Welfare and health of horses transported for slaughter within the European Union Part 1: Methodology and descriptive data. Equine Vet. J. 2011, 43, 78–87. [Google Scholar] [CrossRef]
- Nivelle, B.; Vermeulen, L.; Van Beirendonck, S.; Van Thielen, J.; Driessen, B. Horse Transport to Three South American Horse Slaughterhouses: A Descriptive Study. Animals 2020, 10, 602. [Google Scholar] [CrossRef]
- Collins, M.N.; Friend, T.H.; Jousan, F.D.; Chen, S.C. Effects of density on displacement, falls, injuries, and orientation during horse transportation. Appl. Anim. Behav. Sci. 2000, 67, 169–179. [Google Scholar] [CrossRef] [PubMed]
- Iacono, C.M.; Friend, T.H.; Johnson, R.D.; Krawczel, P.D.; Archer, G.S. A preliminary study on the utilization of an onboard watering system by horses during commercial transport. Appl. Anim. Behav. Sci. 2007, 105, 227–231. [Google Scholar] [CrossRef]
- Werner, M.; Gallo, C. Effects of transport, lairage and stunning on the concentrations of some blood constituents in horses destined for slaughter. Livest. Sci. 2008, 115, 94–98. [Google Scholar] [CrossRef]
- Abubakar, A.A.; Zulkifli, I.; Goh, Y.M.; Kaka, U.; Sabow, A.B.; Imlan, J.C.; Awad, E.A.; Othman, A.H.; Raghazli, R.; Mitin, H.; et al. Effects of stocking and transport conditions on physicochemical properties of meat and acute-phase proteins in cattle. Foods 2021, 10, 252. [Google Scholar] [CrossRef]
- Brennecke, K.; Zeferino, C.P.; Soares, V.E.; Orlandi, C.; Bertipaglia, L.; Sgavioli, S.; Dian, P.H.; Amâncio, W.D. Welfare during pre-slaughter handling and carcass lesions of beef cattle submitted to different loading densities. Pesq. Vet. Bras. 2021, 40, 985–991. [Google Scholar] [CrossRef]
- Čobanović, N.; Novaković, S.; Tomašević, I.; Karabasil, N. Combined effects of weather conditions, transportation time and loading density on carcass damages and meat quality of market-weight pigs. Arch. Anim. Breed. 2021, 64, 425–435. [Google Scholar] [CrossRef]
- Urrea, V.M.; Bridi, A.M.; Ceballos, M.C.; Paranhos da Costa, M.J.; Faucitano, L. Behavior, blood stress indicators, skin lesions, and meat quality in pigs transported to slaughter at different loading densities. J. Anim. Sci. 2021, 99, skab119. [Google Scholar] [CrossRef]
- An, J.; Kim, Y.; Song, M.; Choi, J.; Yun, W.; Oh, H.; Chang, S.; Go, Y.; Song, D.; Cho, H.; et al. Effect of loading density and weather conditions on animal welfare and meat quality of slaughter pigs. J. Anim. Sci. Technol. 2023, 65, 1323. [Google Scholar] [CrossRef]
- De la Fuente, J.; Sánchez, M.; Pérez, C.; Lauzurica, S.; Vieira, C.; De Chávarri, E.G.; Díaz, M.T. Physiological response and carcass and meat quality of suckling lambs in relation to transport time and stocking density during transport by road. Anim. 2010, 4, 250–258. [Google Scholar] [CrossRef]
- Teke, B.; Ekiz, B.; Akdag, F.; Ugurlu, M.; Ciftci, G.; Senturk, B. Effects of stocking density of lambs on biochemical stress parameters and meat quality related to commercial transportation. Ann. Anim. Sci. 2014, 14, 611–621. [Google Scholar] [CrossRef]
- e Silva, F.V.; Borges, I.; Garcia, S.K.; de Sá, H.C.M.; Silva, V.L.; Araújo, A.R.; de Lima, J.A.; dos Santos Oliveira, L.L.; Matos, A.M.; Toral, F.L.B. Effect of space allowance during transport of Dorper x Santa Inês lambs on biochemical stress parameters and meat quality. Small Rumin. Res. 2023, 219, 106910. [Google Scholar] [CrossRef]
- Hussnain, F.; Mahmud, A.; Mehmood, S.; Jaspal, M.H. Meat quality and cooking characteristics in broilers influenced by winter transportation distance and crate density. J. Poult. Sci. 2020, 57, 175–182. [Google Scholar] [CrossRef] [PubMed]
- Son, J.; Kim, H.J.; Hong, E.C.; Kang, H.K. Effects of stocking density on growth performance, antioxidant status, and meat quality of finisher broiler chickens under high temperature. Antioxidants 2022, 11, 871. [Google Scholar] [CrossRef] [PubMed]
- Sarriés, M.V.; Beriain, M.J. Carcass characteristics and meat quality of male and female foals. Meat Sci. 2005, 70, 141–152. [Google Scholar] [CrossRef]
- Lorenzo, J.M.; Sarriés, M.V.; Franco, D. Sex effect on meat quality and carcass traits of foals slaughtered at 15 months of age. Animal 2013, 7, 1199–1207. [Google Scholar] [CrossRef]
- Gamboa del Real, F.J.; Carrillo Muro, O.; Aguilera Soto, J.I.; Hernández Briano, P.; Rivera Villegas, A.; Barreras Serrano, A.; Plascencia Jorquera, A.; Estrada Angulo, A.; Urías-Estrada, J.D.; Castro Pérez, B.I. Description of the main attributes (origin, gender, age, body condition, and slaughter weight) at slaughter house arrival and their impact on carcass characteristics from cull Quarter Horse. Biotecnia 2022, 24, 127–134. [Google Scholar] [CrossRef]
- Voluntary Initiative Group on Equines under the EU Platform on Animal Welfare. Guide to Good Animal Welfare Practice for the Keeping, Care, Training and Use of Horses, 2018/19, 1–33. Available online: https://food.ec.europa.eu/system/files/2022-07/aw_platform_plat-conc_guide_equidae_en.pdf (accessed on 31 August 2024).
- EC Council Regulation (EC). No 1099/2009 of 24 September 2009 on the protection of animals at the time of killing. O. J. Eur. Union 2009, L303, 1–30. [Google Scholar]
- EU. Directive 2010/63/EU of the European Parliament and of the Council of 22 September 2010 on the protection of animals used for scientific purposes. O. J. Eur. Union 2010, L276, 33–79. [Google Scholar]
- National Research Council. The Nutrient Requirements of Horses, 6th ed.; National Academies Press: Washington, DC, USA, 2007. [Google Scholar]
- Morgan, K. Thermoneutral zone and critical temperatures of horses. J. Therm. Biol. 1998, 23, 59–61. [Google Scholar] [CrossRef]
- Lisboa, B.R.F.; Silva, J.A.R.D.; Silva, W.C.D.; Barbosa, A.V.C.; Silva, L.K.X.; Lourenço-Júnior, J.D.B. Evaluation of thermoregulation of horses (Equus caballus) submitted to two methods of post-exercise cooling, in hot and humid climate conditions, in the Eastern Amazon. Front. Vet. sci. 2023, 10, 1150763. [Google Scholar] [CrossRef]
- Hussein, H.A.; Bäumer, J.; Staufenbiel, R. Validation of an automated assay for measurement of bovine plasma ceruloplasmin. Acta Vet. Scand. 2019, 61, 34. [Google Scholar] [CrossRef] [PubMed]
- Jones, G.E.; Mould, D.L. Adaptation of the guaiacol (peroxidase) test for haptoglobins to a microtitration plate system. Res. Vet. Sci. 1984, 37, 87–92. [Google Scholar] [CrossRef]
- Ellman, G.L. Tissue sulfhydryl groups. Arch. Biochem. Biophys. 1959, 82, 70–77. [Google Scholar] [CrossRef]
- Jollow, D.J.; Mitchell, J.R.; Zampaglione, N.A.; Gillette, J.R. Bromobenzene-induced liver necrosis. Protective role of glutathione and evidence for 3,4-bromo-benzene oxide as the hepatotoxic metabolite. Pharmacology 1974, 11, 151–169. [Google Scholar] [CrossRef] [PubMed]
- Witko-Sarsat, V.; Friedlander, M.; Capeillère-Blandin, C.; Nguyen-Khoa, T.; Nguyen, A.T.; Zingraff, J.; Jungers, P.; Descamps-Latscha, B. Advanced oxidation protein products as a novel marker of oxidative stress in uremia. Kidney Int. 1996, 49, 1304–1313. [Google Scholar] [CrossRef]
- Erel, O. A novel automated direct measurement method for total antioxidant capacity using a new generation, more stable ABTS radical cation. Clin. Biochem. 2004, 37, 277–285. [Google Scholar] [CrossRef]
- Erel, O. A new automated colorimetric method for measuring total oxidant status. Clin. Biochem. 2005, 38, 1103–1111. [Google Scholar] [CrossRef] [PubMed]
- Miranda-de la Lama, G.C.; González-Castro, C.A.; Gutiérrez-Piña, F.J.; Villarroel, M.; Maria, G.A.; Estévez-Moreno, L.X. Horse welfare at slaughter: A novel approach to analyse bruised carcasses based on severity, damage patterns and their association with pre-slaughter risk factors. Meat Sci. 2021, 172, 108341. [Google Scholar] [CrossRef]
- Hunt, M.C.; Acton, J.C.; Benedict, R.C.; Calkins, C.R.; Comforth, D.P.; Jeremiah, L.E.; Olson, D.G.; Salm, C.P.; Savell, J.W.; Shivas, S.D. Guidelines for Meat Colour Evaluation; American Meat Science Association and National Livestock and Meat Board: Chicago, IL, USA, 1991. [Google Scholar]
- Klauke, T.N.; Piñeiro, M.; Schulze-Geisthövel, S.; Plattes, S.; Selhorst, T.; Petersen, B. Coherence of animal health, welfare and carcass quality in pork production chains. Meat Sci. 2013, 95, 704–711. [Google Scholar] [CrossRef]
- Čobanović, N.; Grković, N.; Suvajdžić, B.; Vićić, I.; Karabasil, N. Horse carcass and meat quality–current knowledge and research gaps. Meat technol. 2023, 64, 160–165. [Google Scholar] [CrossRef]
- SPSS. Statistical Package for Social Sciences for Windows; Version S23.0; SPSS Inc., IBM Corp.: Armonk, NY, USA, 2015. [Google Scholar]
- Padalino, B. Effects of the different transport phases on equine health status, behavior, and welfare: A review. J. Vet. Behav. 2015, 10, 272–282. [Google Scholar] [CrossRef]
- Gómez-Laguna, J.; Salguero, F.J.; Pallarés, F.J.; Rodríguez-Gómez, I.M.; Barranco, I.; Carrasco, L. Acute phase proteins as biomarkers in animal health and welfare. In Acute Phase Proteins as Early Non-Specific Biomarkers of Human and Veterinary Diseases, 1st ed.; Veas, F., Ed.; IntechOpen: London, UK, 2011; pp. 259–280. [Google Scholar] [CrossRef]
- Fazio, F.; Cecchini, S.; Saoca, C.; Caputo, A.R.; Lancellotti, M.; Piccione, G. Relationship of some oxidative stress biomarkers in Jumper horses after regular training program. J. Equine Vet. Sci. 2016, 47, 20–24. [Google Scholar] [CrossRef]
- Gharehaghajlou, Y.; Raidal, S.L.; Freccero, F.; Padalino, B. Effects of Transport and Feeding Strategies Before Transportation on Redox Homeostasis and Gastric Ulceration in Horses. J. Equine Vet. Sci. 2023, 126, 104268. [Google Scholar] [CrossRef]
- Cregier, S.E. Reducing equine hauling stress: A review. J. Equine Vet. Sci. 1982, 2, 186–198. [Google Scholar] [CrossRef]
- Broom, D.M. The welfare of livestock during road transport. In Long Distance Transport and the Welfare of Farm Animals, 1st ed.; Appleby, M., Cussen, V., Garcés, L., Lambert, L., Turner, J., Eds.; CAB International: Wallingford, UK, 2008; pp. 157–181. [Google Scholar]
- Stull, C.L. Physiology, balance, and management of horses during transportation. In Proceedings of the Horse Breeders and Owner Conference, Red Deer, AB, Canada, 10–12 January 1997. [Google Scholar]
- Clark, D.K.; Friend, T.H.; Dellmeier, G. The effect of orientation during trailer transport on heart rate, cortisol and balance in horses. Appl. Anim. Behav. Sci. 1993, 38, 179–189. [Google Scholar] [CrossRef]
- Waran, N.K.; Robertson, V.; Cuddleford, D.; Kokoszko, A.; Marlin, D.J. Effects if transporting horses facing either forwards or backwards on their behaviour and heart rate. Vet. Rec. 1996, 139, 7–11. [Google Scholar] [CrossRef] [PubMed]
- Waran, N.; Leadon, D.; Friend, T. The effects of transportation on the welfare of horses. In The Welfare of Horses, 1st ed.; Waran, N., Ed.; Springer: Dordrecht, The Netherlands, 2007; pp. 125–150. [Google Scholar]
- Saslow, C.A. Understanding the perceptual world of horses. Appl. Anim. Behav. Sci. 2002, 78, 209–224. [Google Scholar] [CrossRef]
- McGreevy, P. Equine Behavior—A Guide for Veterinarians and Equine Scientists, 2nd ed.; Saunders: London, UK, 2012; p. 378. [Google Scholar]
- Broom, D.M.; Johnson, K.G. Stress and Animal Welfare, 2nd ed.; Chapman and Hall: London, UK, 2019; p. 211. [Google Scholar]
- Fazio, E.; Medica, P.; Cravana, C.; Ferlazzo, A. Cortisol response to road transport stress in calm and nervous stallions. J. Vet. Behav. 2013, 8, 231–237. [Google Scholar] [CrossRef]
- Jørgensen, G.H.M.; Borsheim, L.; Mejdell, C.M.; Søndergaard, E.; Bøe, K.E. Grouping horses according to gender—Effects on aggression, spacing and injuries. Appl. Anim. Behav. Sci. 2009, 120, 94–99. [Google Scholar] [CrossRef]
- Rouge, M.; Legendre, F.; Elkhatib, R.; Delalande, C.; Cognié, J.; Reigner, F.; Barrière, P.; Deleuze, S.; Hanoux, V.; Galéra, P.; et al. Early Castration in Horses Does Not Impact Osteoarticular Metabolism. Int. J. Mol. Sci. 2023, 24, 16778. [Google Scholar] [CrossRef]
- Cavallone, E.; Di Giancamillo, M.; Secchiero, B.; Belloli, A.; Pravettoni, D.; Rimoldi, E.M. Variations of serum cortisol in Argentine horses subjected to ship transport and adaptation stress. J. Equine Vet. Sci. 2002, 22, 541–545. [Google Scholar] [CrossRef]
- Van Dierendonck, M.C.; Spruijt, B.M. Coping in groups of domestic horses—review from a social and neurobiological perspective. Appl. Anim. Behav. Sci. 2012, 138, 194–202. [Google Scholar] [CrossRef]
- Houpt, K.A.; Wickens, C.L. Handling and transport of horses. In Livestock Handling and Transport, 5th ed.; Grandin, T., Ed.; CAB International: Wallingford, UK, 2019; pp. 315–341. [Google Scholar]
- Hartmann, E.; Søndergaard, E.; Keeling, L.J. Keeping horses in groups: A review. Appl. Anim. Behav. Sci. 2012, 136, 77–87. [Google Scholar] [CrossRef]
- Smith, J.A. Masculine behaviour in geldings. Vet. Rec. 1974, 94, 160. [Google Scholar] [CrossRef] [PubMed]
- King, S.R.; Schoenecker, K.A.; Cole, M.J. Effect of adult male sterilization on the behavior and social associations of a feral polygynous ungulate: The horse. Appl. Anim. Behav. Sci. 2022, 249, 105598. [Google Scholar] [CrossRef]
- WOAH—World Organisation for Animal Health. Available online: http://www.oie.int/international-standard-setting/terrestrial-code/accessonline/ (accessed on 20 August 2024).
- Grandin, T.; McGee, K.; Lanier, J.L. Prevalence of severe welfare problems in horses that arrive at slaughter plants. J. Am. Vet. Med. Assoc. 1999, 214, 1531–1533. [Google Scholar] [CrossRef] [PubMed]
- Aroua, M.; Fehri, N.E.; Ben Said, S.; Quattrone, A.; Agradi, S.; Brecchia, G.; Balzaretti, C.M.; Mahouachi, M.; Castrica, M. The Use of Horse and Donkey Meat to Enhance the Quality of the Traditional Meat Product (Kaddid): Analysis of Physico-Chemical Traits. Foods 2024, 13, 2974. [Google Scholar] [CrossRef]
- Warner, R.D. The eating quality of meat: IV—Water holding capacity and juiciness. In Lawrie’s Meat Science, 8th ed.; Toldra, F., Ed.; Woodhead Publishing: Sawston, UK, 2023; pp. 457–508. [Google Scholar] [CrossRef]
- Friend, T.H. Dehydration, stress, and water consumption of horses during long-distance commercial transport. J. Anim. Sci. 2000, 78, 2568–2580. [Google Scholar] [CrossRef]
- Gill, C.O. Safety and storage stability of horse meat for human consumption. Meat Sci. 2005, 71, 506–513. [Google Scholar] [CrossRef]
- Sarriés, M.V.; Beriain, M.J. Colour and texture characteristics in meat of male and female foals. Meat Sci. 2006, 74, 738–745. [Google Scholar] [CrossRef]
- Čobanović, N.; Božić, V.; Kovačević, S.; Vićić, I.; Suvajdžić, B.; Grković, N.; Dimitrijević, M.; Vasilev, D.; Karabasil, N. Influence of short-distance transportation on welfare and meat quality of horses with different health status. In Proceedings of the 69th International Congress of Meat Science and Technology ”From Tradition to Green Innovation”, Padova, Italy, 20–25 August 2023; pp. 412–413. [Google Scholar]
- Stanisławczyk, R.; Rudy, M.; Gil, M.; Duma-Kocan, P.; Żurek, J. Influence of horse age, marinating substances, and frozen storage on horse meat quality. Animals 2021, 11, 2666. [Google Scholar] [CrossRef] [PubMed]
- Neethling, N.E.; Suman, S.P.; Sigge, G.O.; Hoffman, L.C.; Hunt, M.C. Exogenous and endogenous factors influencing color of fresh meat from ungulates. Meat Muscle Biol. 2017, 1, 253–275. [Google Scholar] [CrossRef]
- Young, O.A.; West, J. Meat color. In Meat Science and Applications, 1st ed.; Hui, Y.H., Nip, W., Rogers, R., Eds.; CRC Press: Boca Raton, FL, USA, 2001; pp. 55–86. [Google Scholar]




| Shipment | 1 | 2 | 3 | 4 | 5 | 6 | 7 | 8 | 9 | 10 | 11 | 12 |
|---|---|---|---|---|---|---|---|---|---|---|---|---|
| General information | ||||||||||||
| Number of horses | 7 | 9 | 8 | 6 | 8 | 6 | 7 | 7 | 9 | 8 | 8 | 6 |
| Average live weight per horse | 315.17 | 353.79 | 329.49 | 363.13 | 344.48 | 358.45 | 338.00 | 345.50 | 296.10 | 359.79 | 338.38 | 344.58 |
| Collection centre | Ruma | Ruma | Ruma | Ruma | Ruma | Ruma | Ruma | Ruma | Ruma | Ruma | Ruma | Ruma |
| Season | Spring | Spring | Spring | Spring | Spring | Spring | Spring | Spring | Spring | Spring | Spring | Spring |
| Month | March | April | April | March | May | April | March | March | May | May | May | April |
| Loading conditions | ||||||||||||
| Loading time (minutes) | 19 | 29 | 25 | 18 | 23 | 20 | 22 | 28 | 32 | 20 | 25 | 15 |
| Loading density (kg/m2) | 183.85 | 254.73 | 210.88 | 174.30 | 220.45 | 179.22 | 189.28 | 193.48 | 213.16 | 234.86 | 216.56 | 165.40 |
| Ambient temperature at loading (°C) | 16.0 | 16.5 | 17.0 | 17.5 | 19.5 | 18.9 | 18.0 | 20.0 | 21.0 | 19.9 | 20.6 | 20.0 |
| Ambient relative humidity at loading (%) | 44.0 | 55.8 | 45.0 | 51.0 | 52.0 | 47.4 | 50.5 | 52.8 | 43.4 | 47.9 | 58.4 | 53.3 |
| Temperature–humidity index at loading | 59.94 | 60.80 | 61.21 | 62.02 | 64.70 | 63.70 | 62.66 | 65.40 | 66.13 | 62.00 | 66.54 | 65.43 |
| Transport conditions | ||||||||||||
| Transport time (minutes) | 62 | 60 | 63 | 58 | 55 | 68 | 50 | 54 | 59 | 66 | 60 | 52 |
| Transport distance (km) | 60 | 60 | 60 | 60 | 60 | 60 | 60 | 60 | 60 | 60 | 60 | 60 |
| Unloading conditions | ||||||||||||
| Waiting time (minutes) | 11 | 10 | 15 | 20 | 18 | 25 | 22 | 15 | 13 | 21 | 25 | 16 |
| Unloading time (minutes) | 24 | 35 | 30 | 22 | 28 | 20 | 25 | 30 | 38 | 25 | 27 | 22 |
| Ambient temperature at unloading (°C) | 16.5 | 16.9 | 17.5 | 18.8 | 20.5 | 20.0 | 19.1 | 20.5 | 20.5 | 20.9 | 20.0 | 20.2 |
| Ambient relative humidity at unloading (%) | 44.4 | 42.0 | 50.8 | 50.0 | 48.4 | 44.9 | 48.5 | 50.1 | 46.9 | 42.9 | 50.4 | 50.3 |
| Temperature–humidity index at unloading | 60.57 | 61.01 | 62.01 | 63.68 | 65.80 | 64.97 | 64.01 | 65.91 | 65.72 | 65.97 | 65.27 | 65.53 |
| Lairage conditions | ||||||||||||
| Lairage time (minutes) | 188 | 180 | 175 | 185 | 190 | 172 | 181 | 192 | 177 | 180 | 188 | 175 |
| Lairage density (m2/horse) | 2 | 2 | 2 | 2 | 2 | 2 | 2 | 2 | 2 | 2 | 2 | 2 |
| Lairage temperature (°C) | 16.8 | 16.2 | 16.9 | 17.8 | 19.1 | 19.5 | 18.5 | 19.5 | 19.0 | 20.0 | 19.2 | 18.9 |
| Lairage relative humidity (%) | 50.0 | 49.2 | 55.8 | 54.9 | 55.3 | 48.0 | 54.5 | 55.1 | 50.1 | 49.9 | 55.1 | 53.9 |
| Temperature–humidity index at lairage | 61.07 | 60.28 | 61.35 | 62.54 | 64.32 | 64.50 | 63.47 | 64.85 | 63.95 | 65.26 | 64.45 | 63.98 |
| Loading Density | High | Low | Main Effects | Interaction | |||||
|---|---|---|---|---|---|---|---|---|---|
| Gender | Mares | Geldings | Stallions | Mares | Geldings | Stallions | Loading Density | Gender | Loading Density × Gender |
| Number of Horses | 21 | 17 | 12 | 14 | 14 | 11 | p-Value | ||
| Stress metabolites | |||||||||
| Lactate (mmol/L) | 8.54 ± 0.71 a | 6.61 ± 0.50 b | 14.44 ± 1.72 c | 4.88 ± 0.43 d | 4.23 ± 1.19 d | 10.94 ± 0.97 e | <0.0001 | <0.0001 | 0.021 |
| Glucose (mmol/L) | 6.24 ± 0.92 a | 5.14 ± 0.27 b | 8.33 ± 1.02 c | 4.46 ± 0.14 d | 4.40 ± 0.47 d | 6.00 ± 0.60 a | <0.0001 | <0.0001 | <0.0001 |
| Acute-phase proteins | |||||||||
| Haptoglobin (g/L) | 2.39 ± 0.23 | 2.41 ± 0.18 | 2.33 ± 0.39 | 2.37 ± 0.14 | 2.32 ± 0.27 | 2.41 ± 0.08 | 0.864 | 0.952 | 0.462 |
| Ceruloplasmin (mg/dL) | 11.26 ± 0.84 a | 7.99 ± 1.49 b | 21.21 ± 3.44 c | 7.24 ± 0.49 b | 4.45 ± 1.20 d | 13.93 ± 0.88 e | <0.0001 | <0.0001 | <0.0001 |
| Oxidative stress biomarkers | |||||||||
| GSH (µM/L) | 0.42 ± 0.11 a | 0.65 ± 0.06 b | 0.10 ± 0.05 c | 0.89 ± 0.11 d | 1.64 ± 0.49 e | 0.31 ± 0.08 a | <0.0001 | <0.0001 | <0.0001 |
| AOPP (µmol/L) | 63.35 ± 2.25 a | 56.10 ± 2.97 b | 71.90 ± 3.83 c | 57.49 ± 0.88 b | 43.13 ± 5.20 d | 64.33 ± 2.06 a | <0.0001 | <0.0001 | <0.0001 |
| TAC (mmol/L) | 0.83 ± 0.34 | 0.70 ± 0.41 | 0.83 ± 0.40 | 0.73 ± 0.51 | 0.77 ± 0.53 | 0.93 ± 0.54 | 0.821 | 0.507 | 0.655 |
| TOS (µmol/L) | 84.16 ± 22.29 | 76.42 ± 22.10 | 78.87 ± 25.34 | 75.59 ± 26.39 | 71.06 ± 26.68 | 75.77 ± 24.57 | 0.285 | 0.601 | 0.914 |
| Oxidative stress index | 0.12 ± 0.06 | 0.16 ± 0.14 | 0.16 ± 0.18 | 0.31 ± 0.41 | 0.19 ± 0.21 | 0.16 ± 0.19 | 0.112 | 0.656 | 0.222 |
| Loading Density | High | Low | Main Effects | Interaction | ||||||
|---|---|---|---|---|---|---|---|---|---|---|
| Gender | Mares | Geldings | Stallions | Mares | Geldings | Stallions | Chi-square, df | Loading Density | Gender | Loading Density × Gender |
| Number of Horses | 21 | 17 | 12 | 14 | 14 | 11 | p-Value | |||
| Bruise severity (%) | ||||||||||
| No carcass bruises (grade 0) * | 47.62 a | 58.82 a | 25.00 b | 85.72 c | 92.86 c | 81.82 c | 20.02, 5 | <0.0001 | 0.2447 | 0.0012 |
| Mild carcass bruises (grade 1) | 42.86 a | 35.29 a | 16.67 ab | 7.14 b | 7.14 b | 9.09 b | 11.75, 5 | 0.0042 | 0.3827 | 0.0383 |
| Moderate carcass bruises (grade 2) | 9.52 a | 5.89 a | 58.33 b | 7.14 a | 0.00 a | 9.09 a | 24.66, 5 | 0.0599 | 0.0020 | 0.0002 |
| Bruise size (%) | ||||||||||
| Small (˂5 cm) | 28.57 | 23.53 | 0.00 | 7.14 | 7.14 | 9.09 | 7.940, 5 | 0.1353 | 0.2448 | 0.1596 |
| Medium (6–10 cm) | 23.81 | 17.65 | 16.67 | 7.14 | 0.00 | 9.09 | 5.123, 5 | 0.0599 | 0.6735 | 0.4011 |
| Large (≥10 cm) | 0.00 a | 0.00 a | 41.67 b | 0.00 a | 0.00 a | 0.00 a | 33.99, 5 | 0.0649 | 0.0005 | <0.0001 |
| Bruise shape (%) | ||||||||||
| Circular | 14.29 a | 17.65 a | 58.33 b | 0.00 a | 0.00 a | 0.00 a | 25.19, 5 | 0.0004 | 0.0440 | 0.0001 |
| Linear | 9.52 | 5.88 | 0.00 | 7.14 | 7.14 | 9.09 | 1.250, 5 | >0.9999 | 0.8187 | 0.9400 |
| Tramline | 9.52 | 5.88 | 0.00 | 7.14 | 0.00 | 9.09 | 2.466, 5 | >0.9999 | 0.6125 | 0.7817 |
| Mottled | 9.52 | 5.88 | 0.00 | 0.00 | 0.00 | 0.00 | 4.549, 5 | 0.2531 | 0.4980 | 0.4733 |
| Irregular | 9.52 | 5.88 | 16.67 | 0.00 | 0.00 | 0.00 | 5.691, 5 | 0.0649 | 0.6887 | 0.3375 |
| Anatomical region (%) | ||||||||||
| Rear limb | 4.76 | 5.88 | 0.00 | 0.00 | 0.00 | 0.00 | 2.800, 5 | 0.5020 | 0.6966 | 0.7308 |
| Abdominal wall | 4.76 a | 5.88 a | 33.33 b | 0.00 a | 0.00 a | 0.00 a | 16.47, 5 | 0.0330 | 0.0609 | 0.0056 |
| Thoracic wall | 4.76 a | 5.88 a | 41.67 b | 0.00 a | 0.00 a | 0.00 a | 22.62, 5 | 0.0167 | 0.0162 | 0.0004 |
| Front leg | 4.76 | 5.88 | 0.00 | 0.00 | 0.00 | 0.00 | 2.800, 5 | 0.5020 | 0.6966 | 0.7308 |
| Loin | 9.52 | 5.88 | 0.00 | 7.14 | 0.00 | 0.00 | 3.284, 5 | 0.6282 | 0.2789 | 0.6563 |
| Hip | 9.52 | 5.88 | 0.00 | 7.14 | 0.00 | 9.09 | 2.466, 5 | >0.9999 | 0.6125 | 0.7817 |
| Pin | 9.52 | 5.88 | 0.00 | 0.00 | 7.14 | 9.09 | 2.466, 5 | >0.9999 | 0.9459 | 0.7817 |
| Loading Density | High | Low | Main Effects | Interaction | |||||
|---|---|---|---|---|---|---|---|---|---|
| Gender | Mares | Geldings | Stallions | Mares | Geldings | Stallions | Loading Density | Gender | Loading Density × Gender |
| Number of Horses | 21 | 17 | 12 | 14 | 14 | 11 | p-Value | ||
| Physicochemical parameters | |||||||||
| Musculus longissimus lumborum | |||||||||
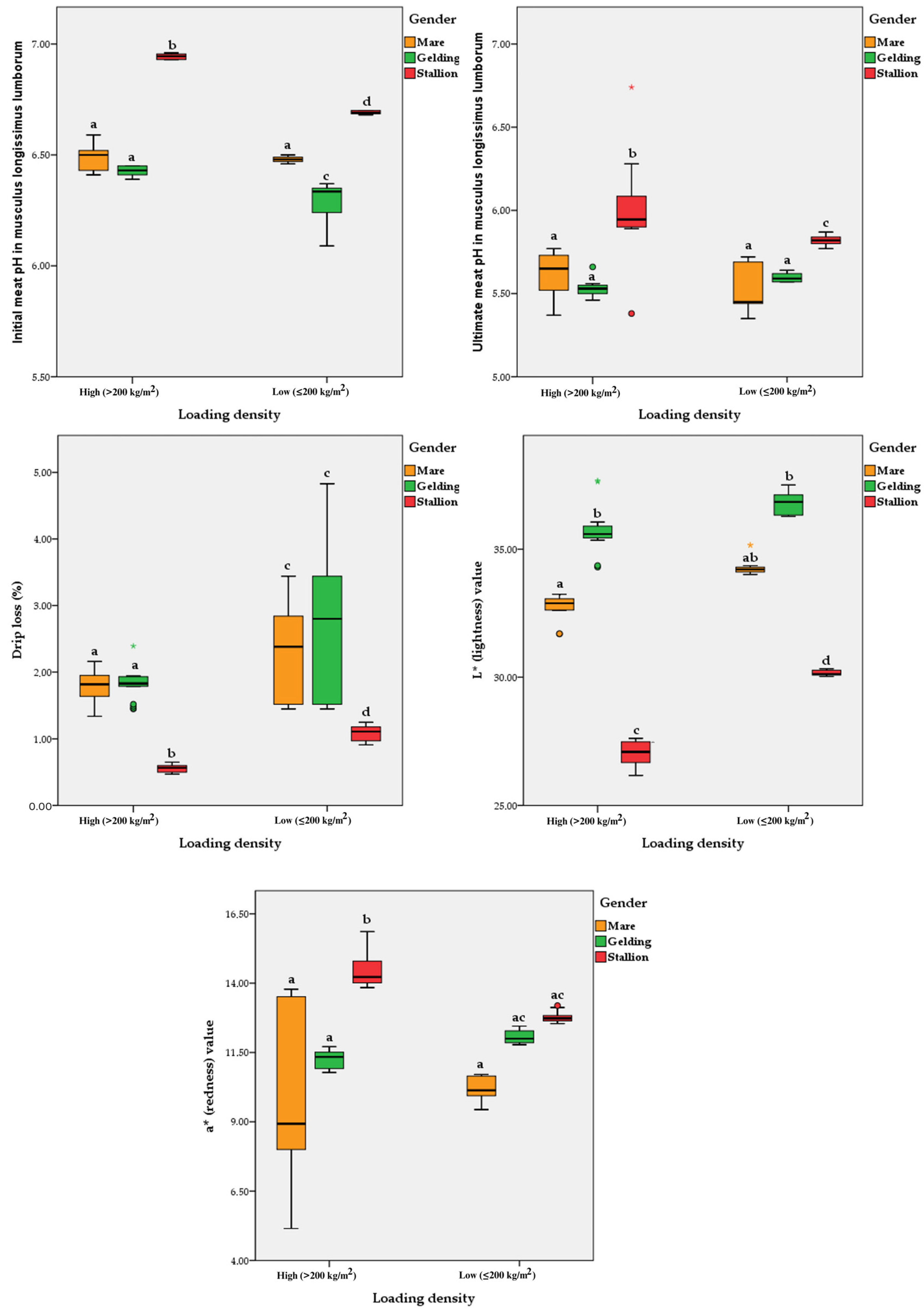
| pHi | 6.49 ± 0.06 a | 6.43 ± 0.02 a | 6.94 ± 0.22 b | 6.48 ± 0.1 a | 6.29 ± 0.09 c | 6.69 ±0.10 d | <0.0001 | <0.0001 | <0.0001 |
| Ti (°C) | 35.77 ± 2.28 | 36.02 ± 2.26 | 36.16 ± 2.52 | 36.19 ± 2.09 | 36.26 ± 2.36 | 34.91 ± 2.13 | 0.691 | 0.618 | 0.366 |
| pHu | 5.63 ± 0.12 a | 5.53 ±0.04 a | 6.00 ± 0.31 b | 5.53 ± 0.14 a | 5.59 ± 0.03 a | 5.81 ± 0.03 c | 0.021 | <0.0001 | 0.005 |
| Tu (°C) | 3.40 ± 0.88 | 3.46 ± 0.98 | 3.70 ± 1.06 | 3.63 ±0.99 | 3.57 ± 1.04 | 2.96 ±0.32 | 0.509 | 0.717 | 0.134 |
| Musculus gracilis | |||||||||
| pHi | 6.54 ± 0.13 | 6.59 ± 0.22 | 6.51 ± 0.29 | 6.54 ± 0.14 | 6.49 ± 0.17 | 6.58 ± 0.18 | 0.800 | 0.959 | 0.278 |
| Ti (°C) | 38.40 ± 0.60 | 38.24 ± 0.96 | 38.02 ± 0.65 | 37.77 ± 0.35 | 37.34 ± 1.15 | 38.11 ± 0.74 | 0.004 | 0.050 | 0.306 |
| pHu | 5.67 ± 015 | 5.73 ± 0.14 | 5.71 ± 0.16 | 5.71 ± 0.09 | 5.72 ± 0.10 | 5.71 ± 0.06 | 0.867 | 0.490 | 0.747 |
| Tu (°C) | 5.89 ± 0.77 | 5.74 ± 1.07 | 5.80 ±0.83 | 5.99 ± 0.78 | 5.69 ± 0.96 | 5.76 ± 0.83 | 0.979 | 0.581 | 0.924 |
| Musculus longissimus lumborum | |||||||||
| Water-holding capacity (%) | |||||||||
| Drip loss | 1.77 ± 0.24 a | 1.80 ± 0.23 a | 0.56 ± 0.06 b | 2.39 ± 0.70 c | 2.80 ±1.05 c | 1.09 ± 0.02 d | <0.0001 | <0.0001 | 0.050 |
| Thawing loss | 6.97 ± 1.26 a | 5.58 ± 1.63 b | 3.95 ± 1.50 c | 7.19 ± 1.67 a | 6.81 ± 1.02 | 6.80 ± 1.22 a | 0.017 | 0.069 | 0.206 |
| Cooking loss | 23.61 ± 4.11 | 26.72 ± 5.28 | 23.84 ± 2.02 | 25.38 ± 3.07 | 25.46 ± 6.78 | 26.47 ± 5.43 | 0.308 | 0.404 | 0.268 |
| Colour traits | |||||||||
| L* (lightness) value | 32.79 ± 0.42 a | 35.72 ± 0.87 b | 27.04 ± 0.52 c | 34.32 ± 0.37 ab | 36.83 ± 0.42 b | 30.17 ± 0.11 d | <0.0001 | <0.0001 | <0.0001 |
| a* (redness) value | 10.24 ± 3.04 a | 11.27 ± 0.32 ac | 14.44 ± 0.59 b | 10.23 ± 0.40 a | 12.06 ± 0.23 ac | 12.78 ± 0.21 ac | 0.383 | <0.0001 | 0.017 |
| b* (yellowness) value | 7.13 ± 1.21 a | 7.81 ± 1.13 a | 3.87 ± 1.41 b | 7.30 ± 1.35 a | 8.47 ± 1.47 c | 5.42 ± 0.75 d | 0.004 | <0.0001 | 0.132 |
| Meat quality classes | |||||||||
| Acid meat (pHu ˂ 5.4) | 9.52 | 11.76 | 8.33 | 14.29 | 14.29 | 9.09 | 0.7430 | 0.5627 | 0.9928 |
| Normal meat (5.4 ≤ pH ≤ 5.9) | 85.72 | 88.24 | 58.33 | 85.71 | 85.71 | 81.82 | 0.7817 | 0.1935 | 0.3618 |
| DFD-like meat (pH ≥ 6.0) | 4.76 a | 0.00 a | 33.33 b | 0.00 a | 0.00 a | 9.09 a | 0.2247 | 0.0035 | 0.0045 |
Disclaimer/Publisher’s Note: The statements, opinions and data contained in all publications are solely those of the individual author(s) and contributor(s) and not of MDPI and/or the editor(s). MDPI and/or the editor(s) disclaim responsibility for any injury to people or property resulting from any ideas, methods, instructions or products referred to in the content. |
© 2024 by the authors. Licensee MDPI, Basel, Switzerland. This article is an open access article distributed under the terms and conditions of the Creative Commons Attribution (CC BY) license (https://creativecommons.org/licenses/by/4.0/).
Share and Cite
Božić Jovanović, V.; Trailović, R.; Vićić, I.; Grković, N.; Radaković, M.; Karabasil, N.; Kaić, A.; Čobanović, N. Influence of Loading Density and Gender on the Welfare and Meat Quality of Horses During Transport for Slaughter. Animals 2024, 14, 3069. https://doi.org/10.3390/ani14213069
Božić Jovanović V, Trailović R, Vićić I, Grković N, Radaković M, Karabasil N, Kaić A, Čobanović N. Influence of Loading Density and Gender on the Welfare and Meat Quality of Horses During Transport for Slaughter. Animals. 2024; 14(21):3069. https://doi.org/10.3390/ani14213069
Chicago/Turabian StyleBožić Jovanović, Vesna, Ružica Trailović, Ivan Vićić, Nevena Grković, Milena Radaković, Nedjeljko Karabasil, Ana Kaić, and Nikola Čobanović. 2024. "Influence of Loading Density and Gender on the Welfare and Meat Quality of Horses During Transport for Slaughter" Animals 14, no. 21: 3069. https://doi.org/10.3390/ani14213069
APA StyleBožić Jovanović, V., Trailović, R., Vićić, I., Grković, N., Radaković, M., Karabasil, N., Kaić, A., & Čobanović, N. (2024). Influence of Loading Density and Gender on the Welfare and Meat Quality of Horses During Transport for Slaughter. Animals, 14(21), 3069. https://doi.org/10.3390/ani14213069

