The Effects of Electrolytic Technology Toothbrush Application on the Clinical Parameters and Bacteria Associated with Periodontal Disease in Dogs
Abstract
Simple Summary
Abstract
1. Introduction
2. Materials and Methods
2.1. Ethical Committee
2.2. Study Population Inclusion and Exclusion Criteria
2.3. Procedure
2.4. Toothbrush Design
2.5. Clinical Examination and Sampling
2.6. qPCR
2.7. Statistical Analysis
3. Results
3.1. Clinical Parameters
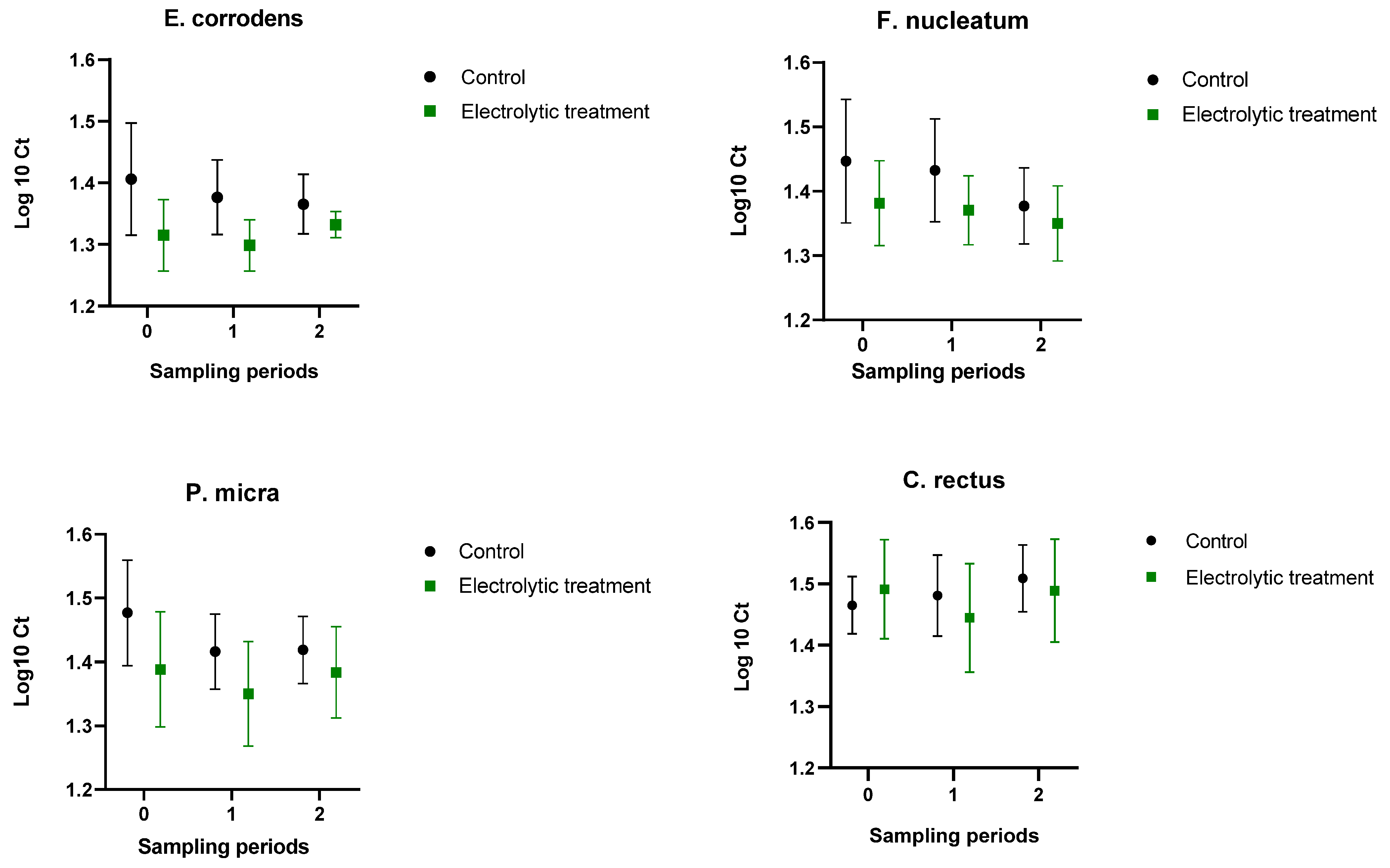
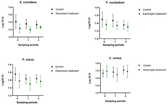
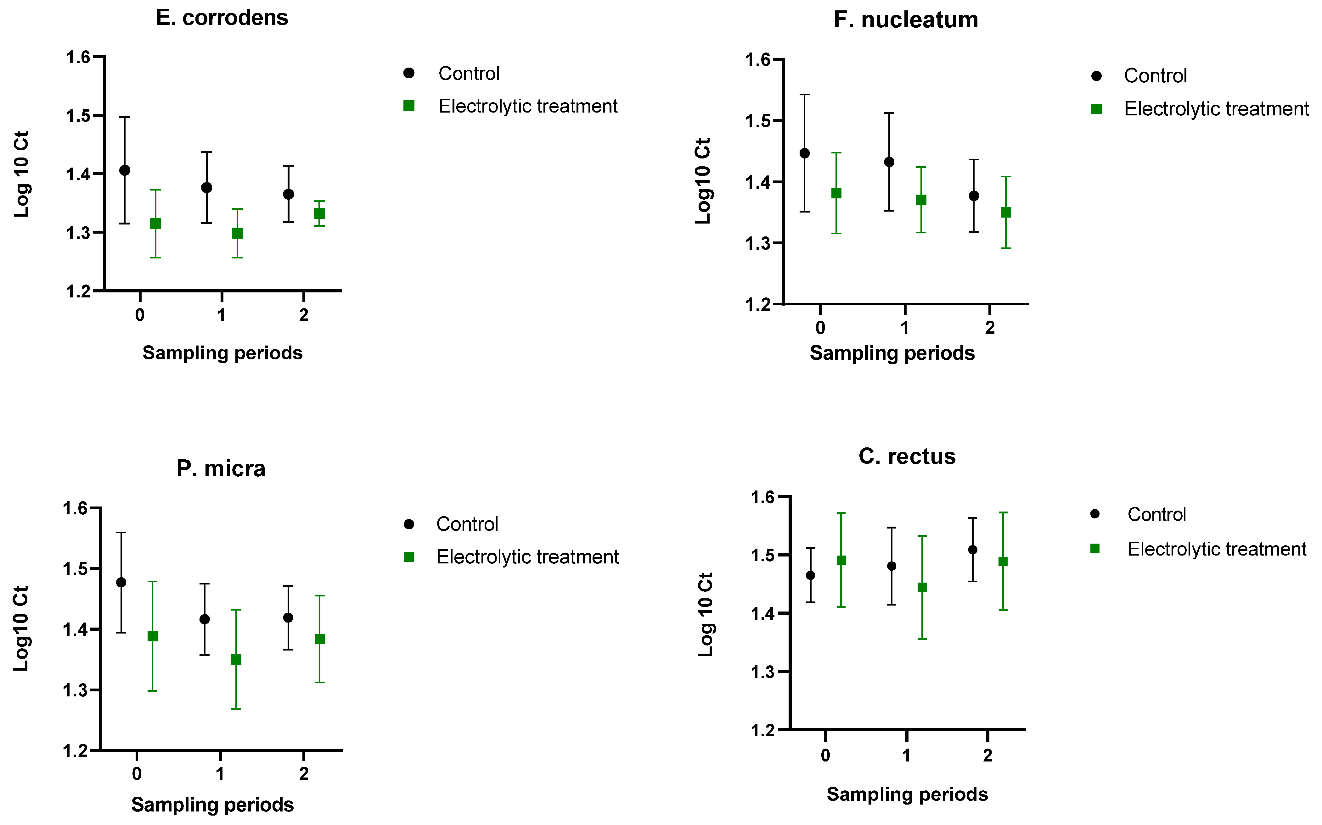
3.2. Bacterial Quantification
3.2.1. Eikenella corrodens
3.2.2. Fusobacterium nucleatum
3.2.3. Parvimonas micra
3.2.4. Campylobacter rectus
3.3. Source of Variation in the Results
3.3.1. Clinical Parameters
3.3.2. Bacterial Abundance
4. Discussion
5. Conclusions
Supplementary Materials
Author Contributions
Funding
Institutional Review Board Statement
Informed Consent Statement
Data Availability Statement
Conflicts of Interest
References
- Kwon, D.; Bae, K.; Kim, H.; Kim, S.H.; Lee, D.; Lee, J.H. Treponema denticola as a prognostic biomarker for periodontitis in dogs. PLoS ONE 2022, 17, e0262859. [Google Scholar] [CrossRef]
- Kato, Y.; Shirai, M.; Murakami, M.; Mizusawa, T.; Hagimoto, A.; Wada, K.; Nomura, R.; Nakano, K.; Ooshima, T.; Asai, F. Molecular detection of human periodontal pathogens in oral swab specimens from dogs in japan. J. Vet. Dent. 2011, 28, 84–89. [Google Scholar] [CrossRef]
- Uraz, A.; Karaduman, B.; Isler, S.C.; Gonen, S.; Cetiner, D. Ozone application as adjunctive therapy in chronic periodontitis: Clinical, microbiological and biochemical aspects. J. Dent. Sci. 2019, 14, 27–37. [Google Scholar] [CrossRef] [PubMed]
- Kornman, K.S. Mapping the pathogenesis of periodontitis: A new look. J. Periodontol. 2008, 79, 1560–1568. [Google Scholar] [CrossRef]
- Olsen, L.; Brissman, A.; Wiman, S.; Eriksson, F.; Kaj, C.; Brunius Enlund, K. Improved oral health and adaptation to treatment in dogs using manual or ultrasonic toothbrush or textile of nylon or microfiber for active dental home care. Animals 2021, 11, 2481. [Google Scholar] [CrossRef]
- Ahmad, P.; Siqueira, W.L. Mass spectrometry-based proteomics profiling of dogs with and without oral diseases: A systematic review. BMC Oral Health 2024, 24, 369. [Google Scholar] [CrossRef] [PubMed]
- Wallis, C.; Holcombe, L.J. A review of the frequency and impact of periodontal disease in dogs. J. Small Anim. Pract. 2020, 61, 529–540. [Google Scholar] [CrossRef]
- Niemiec, B.; Gawor, J.; Nemec, A.; Clarke, D.; McLeod, K.; Tutt, C.; Gioso, M.; Steagall, P.V.; Chandler, M.; Morgenegg, G.; et al. World small animal veterinary association global dental guidelines. J. Small Anim. Pract. 2020, 61, E36–E161. [Google Scholar] [CrossRef] [PubMed]
- Rawlinson, J.E.; Goldstein, R.E.; Reiter, A.M.; Attwater, D.Z.; Harvey, C.E. Association of periodontal disease with systemic health indices in dogs and the systemic response to treatment of periodontal disease. J. Am. Vet. Med. Assoc. 2011, 238, 601–609. [Google Scholar] [CrossRef] [PubMed]
- Bonello, D.; Squarzoni, P. Effect of a mucoadhesive gel and dental scaling on gingivitis in dogs. J. Vet. Dent. 2008, 25, 28–32. [Google Scholar]
- Do, K.H.; Park, H.E.; Kang, M.S.; Kim, J.T.; Yeu, J.E.; Lee, W.K. Effects of weissella cibaria cmu on halitosis and calculus, plaque, and gingivitis indices in beagles. J. Vet. Dent. 2019, 36, 135–142. [Google Scholar] [CrossRef] [PubMed]
- Kim, S.H.; Choi, D.S.; Jang, I.; Cha, B.K.; Jost-Brinkmann, P.G.; Song, J.S. Microbiologic changes in subgingival plaque before and during the early period of orthodontic treatment. Angle Orthod 2012, 82, 254–260. [Google Scholar] [CrossRef]
- Kang, M.S.; Oh, J.S.; Lee, H.C.; Lim, H.S.; Lee, S.W.; Yang, K.H.; Choi, N.K.; Kim, S.M. Inhibitory effect of lactobacillus reuteri on periodontopathic and cariogenic bacteria. J. Microbiol. 2011, 49, 193–199. [Google Scholar] [CrossRef] [PubMed]
- Brukner, I.; Longtin, Y.; Oughton, M.; Forgetta, V.; Dascal, A. Assay for estimating total bacterial load: Relative qpcr normalisation of bacterial load with associated clinical implications. Diagn. Microbiol. Infect. Dis. 2015, 83, 1–6. [Google Scholar] [CrossRef]
- Tadokoro, K.; Yamaguchi, T.; Kawamura, K.; Shimizu, H.; Egashira, T.; Minabe, M.; Yoshino, T.; Oguchi, H. Rapid quantification of periodontitis-related bacteria using a novel modification of invader plus technologies. Microbiol. Res. 2010, 165, 43–49. [Google Scholar] [CrossRef]
- Yimam, M.; Brownell, L.; Do, S.G.; Lee, Y.C.; Kim, D.S.; Seo, K.; Jeong, M.; Kim, S.; Jia, Q. Protective effect of up446 on ligature-induced periodontitis in beagle dogs. Dent. J. 2019, 7, 33. [Google Scholar] [CrossRef]
- Heitz-Mayfield, L.J.; Lang, N.P. Surgical and nonsurgical periodontal therapy. Learned and unlearned concepts. Periodontol 2000 2013, 62, 218–231. [Google Scholar] [CrossRef]
- Schmalz, G.; Müller, M.; Schmickler, J.; Rinke, S.; Haak, R.; Mausberg, R.F.; Ziebolz, D. Influence of manual and power toothbrushes on clinical and microbiological findings in initial treatment of periodontitis—a randomized clinical study. Am. J. Dent. 2017, 30, 44–50. [Google Scholar]
- Whyte, A.; Whyte, J.; Monteagudo, L.V.; Garcia-Barrios, A.; Tejedor, M.T. Periodontal and dental status in packs of spanish dogs. Animals 2021, 11, 1082. [Google Scholar] [CrossRef] [PubMed]
- Ikawa, T.; Mizutani, K.; Sudo, T.; Kano, C.; Ikeda, Y.; Akizuki, T.; Kobayashi, H.; Izumi, Y.; Iwata, T. Clinical comparison of an electric-powered ionic toothbrush and a manual toothbrush in plaque reduction: A randomized clinical trial. Int. J. Dent. Hyg. 2021, 19, 93–98. [Google Scholar] [CrossRef]
- Zheng, S.; Bawazir, M.; Dhall, A.; Kim, H.E.; He, L.; Heo, J.; Hwang, G. Implication of surface properties, bacterial motility, and hydrodynamic conditions on bacterial surface sensing and their initial adhesion. Front. Biotechnol. 2021, 9, 643722. [Google Scholar] [CrossRef]
- Ansai, T.; Kasai, S.; Nakayama, C.; Hamasaki, T.; Awano, S.; Akifusa, S. Effectiveness of an ionic toothbrush with a lithium battery in the removal of dental plaque. J. Kyushu Dent. Soc. 2000, 54, 321–325. [Google Scholar] [CrossRef]
- Shindo, K.; Tanne, K. Effect of electronic toothbrush with lithium battery on plaque control for patients with multibracket appliances in use. J. Chu Shikoku Orthod. Soc. 1996, 8, 1–6. [Google Scholar]
- Silva, C.; Requicha, J.; Dias, I.; Bastos, E.; Viegas, C. Genomic medicine in canine periodontal disease: A systematic review. Animals 2023, 13, 2463. [Google Scholar] [CrossRef]
- Bellows, J. Small Animal Dental Equipment, Materials and Techniques A Primer; Blackwell Publishing: Oxford, UK, 2004. [Google Scholar]
- Petsie. Available online: https://petsie.pet/ (accessed on 3 April 2024).
- Hopwood, D.A.; Bibb, J.M.; Chater, K.F.; Kieser, T.; Bruton, C.J.; Kieser, H.M.; Lydiate, K.M.; Smith, C.P.; Ward, J.M.; Schrempf, H. Genetic Manipulation of Streptomyces. A Laboratory Manual; The John Innes Foundation: Norwich, UK, 1985. [Google Scholar]
- Harvey, C.E.; Shofer, F.S.; Laster, L. Association of age and body weight with periodontal disease in north american dogs. J. Vet. Dent. 2020, 11, 94–105. [Google Scholar] [CrossRef]
- Sakarnyte, L.; Mockeliunas, R.; Siugzdiniene, R.; Merkeviciene, L.; Virgailis, M.; Dailidaviciene, J.; Streimikyte-Mockeliune, Z.; Ruzauskas, M. Microbial composition of extracted dental alveoli in dogs with advanced periodontitis. Microorganisms 2024, 12, 1455. [Google Scholar] [CrossRef]
- Van Swol, R.L.; Van Scotter, D.E.; Pucher, J.J.; Dentino, A.R. Clinical evaluation of an ionic toothbrush in the removal of established plaque and reduction of gingivitis. Quintessence Int. 1996, 27, 389–394. [Google Scholar]
- Stevanović, O.; Dobrijević, M.; Vujanić, D.; Nedić, D. Ostoperative wound infection of hard palate with klebsiella pneumoniae in a dog: Case report. Vet. J. Repub. Srp. 2019, 19, 302–305. [Google Scholar]


| Score | Grade | Reference | |
|---|---|---|---|
| Plaque index (PI) | 0 | No plaque | [16] |
| 1 | A film of plaque adhering to the free gingival margin and adjacent area of the tooth (not more than 1 mm) | ||
| 2 | Can be seen with the naked eye (less than 1/2 of crown) | ||
| 3 | Abundance of soft matter within the gingival pocket and/or on the tooth and gingival margin (more than 1/2 of crown) | ||
| Gingival index (GI) | 0 | Absence of inflammation | [16] |
| 1 | Mild inflammation—slight change in color of gingival margin and little change in texture | ||
| 2 | Moderate inflammation—moderate glazing, redness, edema, and hypertrophy; bleeding on pressure | ||
| 3 | Severe inflammation—marked redness and hypertrophy, spontaneous bleeding and ulceration | ||
| Calculus index (CI) | 0 | No calculus | [5] |
| 1 | Supragingival or calculus that extends only slightly below the free gingival margin | ||
| 2 | Moderate amount of supra- and/or subgingival calculus or only subgingival calculus | ||
| 3 | Abundant supragingival and/or subgingival calculus | ||
| Bleeding on probing (BOP) | 0 | Absence of bleeding within 10 s following probing | [16] |
| 1 | Presence of bleeding within 10 s following probing |
| Primer Sequence 5′–3′ | Primer | Amplicon Product Size |
|---|---|---|
| GCGAAGTAGTGAGCGAAGAG | Campy.rectus F | 119 |
| GCCTGCGCCATTTACGATA | Campy.rectus R | |
| AGGCGACGAAGGACGTGTAA | Eikk.corr F | 69 |
| ATCACCGGATCAAAGCTCTATTG | Eikk.corr R | |
| GACATCTTAGGAATGAGACAGAGATG | Fus.nucle F | 73 |
| CAGCCATGCACCACCTGTCT | Fus.nucle R | |
| AAACGACGATTAATACCACATGAGAC | Par.micr F | 201 |
| ACTGCTGCCTCCCGTAGGA | Par.micr R | |
| GCAAGAACGTGATGACGGGA | Prev.nig F | 79 |
| ATTTCGCAGTCTTTGGGATCTTT | Prev.nig R |
| Sampling Period | Control | Electrolytic Treatment | |
|---|---|---|---|
| Gingival index | 0 | 0.72 ± 0.55 | 0.55 ± 0.44 |
| 1 | 0.33 ± 0.59 | 0.44 ± 0.39 | |
| 2 | 0.21 ± 0.32 | 0.31 ± 0.46 | |
| Calculus index | 0 | 0.75 ± 0.45 | 0.55 ± 0.55 |
| 1 | 0.83 ± 0.41 | 0.50 ± 0.56 | |
| 2 | 0.54 ± 0.6 | 0.38 ± 0.58 | |
| Plaque index | 0 | 0.97 ± 0.62 | 0.95 ± 0.95 |
| 1 | 0.53 ± 0.58 a | 0.44 ± 0.44 | |
| 2 | 1.21 ± 0.43 a | 1 ± 1 | |
| Bleeding on probing | 0 | 0.16 ± 0.35 | 0 ± 0 |
| 1 | 0.17 ± 0.36 | 0 ± 0 | |
| 2 | 0.18 ± 0.32 | 0.25 ± 0.25 |
| Sampling Period | Control | Electrolytic Treatment | Electrolytic Treatment vs. Control | |
|---|---|---|---|---|
| Eikenella corrodens | 1 | −0.98 | −2.73 | −1.53 |
| 2 | −0.58 | −3.20 | −0.66 | |
| Fusobacterium nucleatum | 1 | 1.09 | −4.48 | −1.09 |
| 2 | −1.95 | −5.64 | −3.32 | |
| Parvimonas micra | 1 | −4.22 | −1.78 | 5.36 |
| 2 | −2.65 | −2.69 | 2.88 | |
| Campylobacter rectus | 1 | 0.21 | −1.02 | −4.26 |
| 2 | 3.67 | −0.07 | −6.77 |
| Clinical Parameter | Source of Variation | % of Total Variation | p Value |
|---|---|---|---|
| Gingival index | Interaction | 2.607 | 0.1224 |
| Sampling period | 6.542 | 0.0083 | |
| Toothbrush type | 1.837 | 0.4836 | |
| Dogs’ individual variation | 64.60 | <0.0001 | |
| Calculus index | Interaction | 0.5939 | 0.5007 |
| Sampling period | 1.907 | 0.1442 | |
| Toothbrush type | 19.70 | 0.0276 | |
| Dogs’ individual variation | 61.70 | <0.0001 | |
| Plaque index | Interaction | 0.6316 | 0.6618 |
| Sampling period | 19.78 | <0.0001 | |
| Toothbrush type | 3.012 | 0.3064 | |
| Dogs’ individual variation | 48.91 | 0.0005 | |
| Bleeding on probing | Interaction | 2.142 | 0.4902 |
| Sampling period | 3.043 | 0.3573 | |
| Toothbrush type | 2.874 | 0.2705 | |
| Dogs’ individual variation | 40.03 | 0.1433 |
| Bacteria | Source of Variation | % of Total Variation | p Value |
|---|---|---|---|
| E. corrodens | Interaction | 2.953 | 0.2058 |
| Sampling period | 1.688 | 0.3871 | |
| Toothbrush type | 22.07 | 0.0057 | |
| Dogs’ individual variation | 40.34 | 0.0093 | |
| F. nucleatum | Interaction | 1.154 | 0.5612 |
| Sampling period | 7.075 | 0.0436 | |
| Toothbrush type | 10.19 | 0.0690 | |
| Dogs’ individual variation | 45.99 | 0.0058 | |
| P. micra | Interaction | 1.853 | 0.2545 |
| Sampling period | 6.497 | 0.0222 | |
| Toothbrush type | 15.36 | 0.0491 | |
| Dogs’ individual variation | 54.21 | <0.0001 | |
| C. rectus | Interaction | 3.950 | 0.1410 |
| Sampling period | 4.960 | 0.1017 | |
| Toothbrush type | 0.5541 | 0.8010 | |
| Dogs’ individual variation | 74.01 | <0.0001 |
Disclaimer/Publisher’s Note: The statements, opinions and data contained in all publications are solely those of the individual author(s) and contributor(s) and not of MDPI and/or the editor(s). MDPI and/or the editor(s) disclaim responsibility for any injury to people or property resulting from any ideas, methods, instructions or products referred to in the content. |
© 2024 by the authors. Licensee MDPI, Basel, Switzerland. This article is an open access article distributed under the terms and conditions of the Creative Commons Attribution (CC BY) license (https://creativecommons.org/licenses/by/4.0/).
Share and Cite
Zdravković, N.; Stanisavljević, N.; Malešević, M.; Vukotić, G.; Stevanović, T.; Bošnjak, I.; Ninković, M. The Effects of Electrolytic Technology Toothbrush Application on the Clinical Parameters and Bacteria Associated with Periodontal Disease in Dogs. Animals 2024, 14, 3067. https://doi.org/10.3390/ani14213067
Zdravković N, Stanisavljević N, Malešević M, Vukotić G, Stevanović T, Bošnjak I, Ninković M. The Effects of Electrolytic Technology Toothbrush Application on the Clinical Parameters and Bacteria Associated with Periodontal Disease in Dogs. Animals. 2024; 14(21):3067. https://doi.org/10.3390/ani14213067
Chicago/Turabian StyleZdravković, Nemanja, Nemanja Stanisavljević, Milka Malešević, Goran Vukotić, Tatjana Stevanović, Ivan Bošnjak, and Milan Ninković. 2024. "The Effects of Electrolytic Technology Toothbrush Application on the Clinical Parameters and Bacteria Associated with Periodontal Disease in Dogs" Animals 14, no. 21: 3067. https://doi.org/10.3390/ani14213067
APA StyleZdravković, N., Stanisavljević, N., Malešević, M., Vukotić, G., Stevanović, T., Bošnjak, I., & Ninković, M. (2024). The Effects of Electrolytic Technology Toothbrush Application on the Clinical Parameters and Bacteria Associated with Periodontal Disease in Dogs. Animals, 14(21), 3067. https://doi.org/10.3390/ani14213067

