Tiletamine/Zolazepam and Ketamine with Dexmedetomidine (TKD) Cocktail Is as Effective as Tiletamine/Zolazepam and Ketamine with Xylazine (TKX) in Providing Pig General Anesthesia
Abstract
Simple Summary
Abstract
1. Introduction
2. Materials and Methods
2.1. Animals
2.2. Experimental Design
2.3. Anesthesia and Surgical Procedure
2.4. Anesthetic Monitoring and Assessments
2.5. Statistical Analysis
3. Results
3.1. Duration Parameters
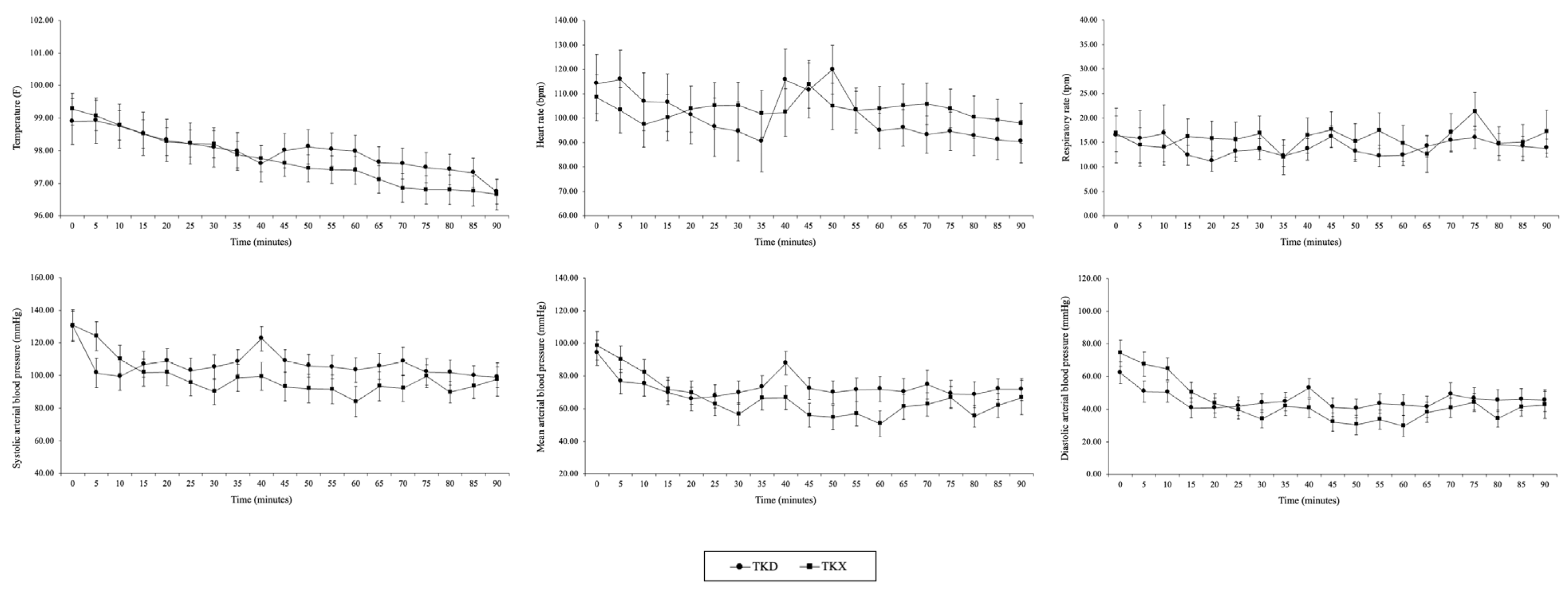
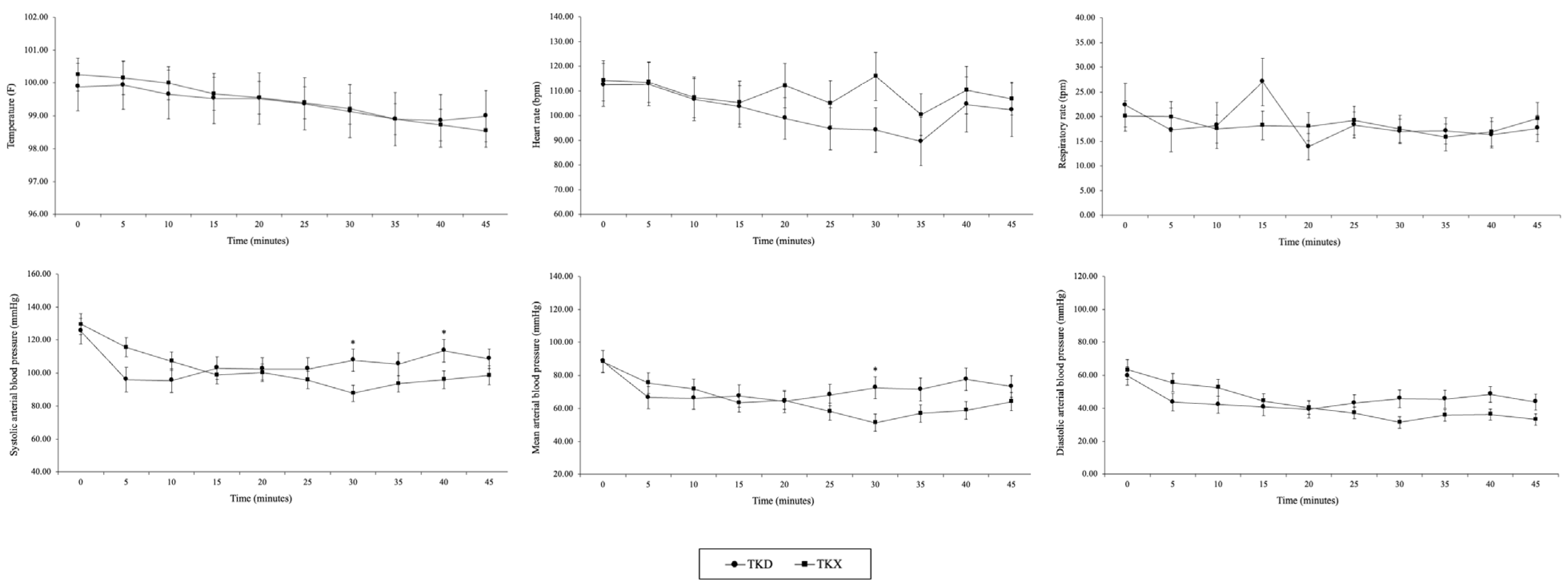
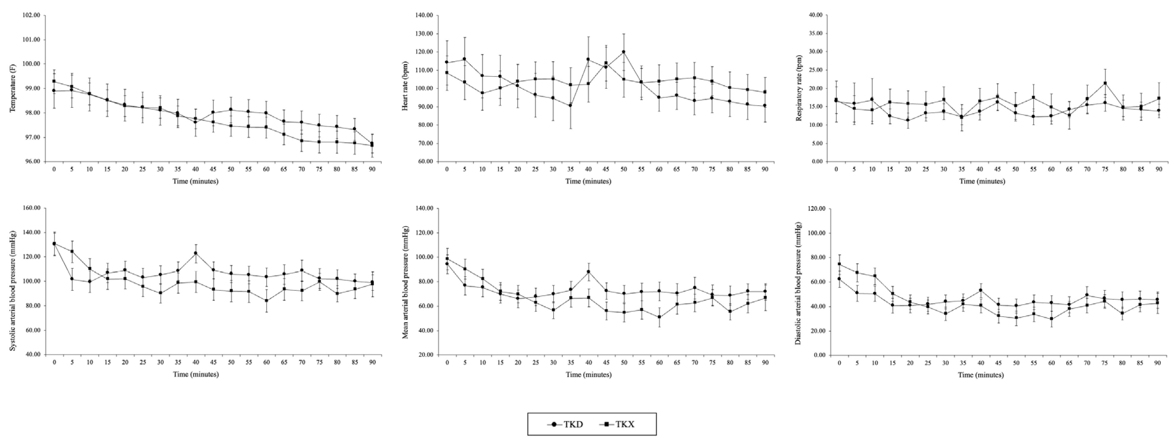
3.2. Physiological Parameters
3.3. Isoflurane Concentration
4. Discussion
5. Conclusions
Author Contributions
Funding
Institutional Review Board Statement
Informed Consent Statement
Data Availability Statement
Acknowledgments
Conflicts of Interest
References
- Chang, L.J.; Ko, J.C.; Weil, A.B.; Weng, H.Y. Comparison of anesthetic and cardiorespiratory effects of tiletamine-zolazepam-detomidine-butorphanol, tiletamine-zolazepam-xylazine-butorphanol, and ketamine-detomidine-butorphanol in pigs. J. Am. Vet. Med. Assoc. 2021, 258, 883–891. [Google Scholar] [CrossRef] [PubMed]
- Zhang, Z.; Bai, H.; Zhang, B.; Shen, M.; Gao, L. Comparison of cardiorespiratory and anesthetic effects of ketamine-midazolam-xylazine-sufentanil and tiletamine-zolazepam-xylazine in miniature pigs. PLoS ONE 2022, 17, e0271325. [Google Scholar] [CrossRef] [PubMed]
- Ko, J.C.; Williams, B.L.; Smith, V.L.; McGrath, C.J.; Jacobson, J.D. Comparison of telazol, telazol-ketamine, telazol-xylazine, and telazol-ketamine-xylazine as chemical restraint and anesthetic induction combination in swine. Lab. Anim. Sci. 1993, 43, 476–480. [Google Scholar] [PubMed]
- Raušer, P.; Lexmaulová, L.; Srnec, R.; Lorenzová, J.; Kecová, H.; Crha, M.; Fichtel, T.; Novotná, R.; Dvořák, M.; Nečas, A. Changes of vital parameters after administration of butorphanol during tiletamine-zolazepam-ketamine-xylazine anaesthesia for joint surgery in miniature pigs. Acta Vet. Brno 2008, 77, 251–256. [Google Scholar] [CrossRef][Green Version]
- Pawson, P.; Forsyth, S. Anesthetic agents. In Small Animal Clinical Pharmacology; Elsevier: Amsterdam, The Netherlands, 2008; pp. 83–112. [Google Scholar]
- Kumar, A.; Mann, H.J.; Remmel, R.P. Pharmacokinetics of tiletamine and zolazepam (Telazol®) in anesthetized pigs. J. Vet. Pharmacol. Ther. 2006, 29, 587–589. [Google Scholar] [CrossRef]
- Lin, H.C.; Thurmon, J.C.; Benson, G.J.; Tranquilli, W.J. Review: Telazol—A review of its pharmacology and use in veterinary medicine. J. Vet. Pharmacol. Ther. 1993, 16, 383–418. [Google Scholar] [CrossRef]
- Costea, R.; Ene, I.; Pavel, R. Pig sedation and anesthesia for medical research. Animals 2023, 13, 3807. [Google Scholar] [CrossRef]
- Willeford, B.V.; Davison, S.E.; Meyer, R.E. Injectable anesthetics. In Anesthesia and Analgesia in Laboratory Animals; Elsevier: Amsterdam, The Netherlands, 2023; pp. 47–86. [Google Scholar]
- Meyer, R.E.; Fish, R.E. Pharmacology of injectable anesthetics, sedatives, and tranquilizers. In Anesthesia and Analgesia in Laboratory Animals; Elsevier: Amsterdam, The Netherlands, 2008; pp. 27–82. [Google Scholar]
- Lester, P.A.; Moore, R.M.; Shuster, K.A.; Myers, D.D. Anesthesia and analgesia. In The Laboratory Rabbit, Guinea Pig, Hamster, and Other Rodents; Elsevier: Amsterdam, The Netherlands, 2012; pp. 33–56. [Google Scholar]
- Limprasutr, V.; Sharp, P.; Jampachaisri, K.; Pacharinsak, C.; Durongphongtorn, S. Tiletamine/zolazepam and dexmedetomidine with tramadol provide effective general anesthesia in rats. Anim. Model Exp. Med. 2021, 4, 40–46. [Google Scholar] [CrossRef]
- Saha, D.C.; Saha, A.C.; Malik, G.; Astiz, M.E.; Rackow, E.C. Comparison of cardiovascular effects of tiletamine-zolazepam, pentobarbital, and ketamine-xylazine in male rats. J. Am. Assoc. Lab. Anim. Sci. 2007, 46, 74–80. [Google Scholar]
- Flecknell, P.; Lofgren, J.L.S.; Dyson, M.C.; Marini, R.R.; Michael Swindle, M.; Wilson, R.P. Preanesthesia, anesthesia, analgesia, and euthanasia. In Laboratory Animal Medicine; Elsevier: Amsterdam, The Netherlands, 2015; pp. 1135–1200. [Google Scholar]
- Di Franco, C.; Evangelista, F.; Briganti, A. Multiple uses of dexmedetomidine in small animals: A mini review. Front. Vet. Sci. 2023, 10, 1135124. [Google Scholar] [CrossRef]
- Pan, S.Y.; Liu, G.; Lin, J.H.; Jin, Y.P. Efficacy and safety of dexmedetomidine premedication in balanced anesthesia: A systematic review and meta-analysis in dogs. Animals 2021, 11, 3254. [Google Scholar] [CrossRef] [PubMed]
- Weerink, M.A.S.; Struys, M.M.R.F.; Hannivoort, L.N.; Barends, C.R.M.; Absalom, A.R.; Colin, P. Clinical pharmacokinetics and pharmacodynamics of dexmedetomidine. Clin. Pharmacokinet. 2017, 56, 893–913. [Google Scholar] [CrossRef] [PubMed]
- Gertler, R.; Brown, H.C.; Mitchell, D.H.; Silvius, E.N. Dexmedetomidine: A novel sedative-analgesic agent. Bayl. Univ. Med. Cent. Proc. 2001, 14, 13–21. [Google Scholar] [CrossRef] [PubMed]
- Bunnag, N.; Akaraphutiporn, E.; Durongphongtorn, S.; Soontornvipart, K.; Sharp, P.; Pacharinsak, C.; Wangdee, C. Assessment of a combination of tiletamine/zolazepam, ketamine, and dexmedetomidine for anesthesia of swine (Sus Domesticus). J. Am. Assoc. Lab. Anim. Sci. 2023, 62, 423–429. [Google Scholar] [CrossRef] [PubMed]
- Papich, M.G. Xylazine hydrochloride. In Saunders Handbook of Veterinary Drugs; Elsevier: Amsterdam, The Netherlands, 2016; pp. 850–852. [Google Scholar]
- Peter, D.C.; Kenneth, W.H.; Stanley, H.D.; Walter, G. General systemic states. In Veterinary Medicine; Elsevier: Amsterdam, The Netherlands, 2017; pp. 43–112. [Google Scholar]
- Ilkiw, J.E.; Farver, T.B.; Suter, C.; Mcneal, D.; Steffey, E.P. The effect of intravenous administration of variable-dose flumazenil after fixed-dose ketamine and midazolam in healthy cats. J. Vet. Pharmacol. Ther. 2002, 25, 181–188. [Google Scholar] [CrossRef] [PubMed]
- Lee, J.Y.; Kim, M.C. Anesthesia of growing pigs with tiletamine-zolazepam and reversal with flumazenil. J. Vet. Med. Sci. 2012, 74, 335–339. [Google Scholar] [CrossRef]
- Sakaguchi, M.; Nishimura, R.; Sasaki, N.; Ishiguro, T.; Tamura, H.; Takeuchi, A. Anesthesia induced in pigs by use of a combination of medetomidine, butorphanol, and ketamine and its reversal by administration of atipamezole. Am. J. Vet. Res. 1996, 57, 529–534. [Google Scholar] [CrossRef]
- Muir, W.W. Drug interactions, analgesic protocols and their consequences, and analgesic drug antagonism. In Handbook of Veterinary Pain Management; Elsevier: Amsterdam, The Netherlands, 2015; pp. 335–355. [Google Scholar]
- Jirkof, P.; Lofgren, J. Anesthesia and analgesia in laboratory rodents. In Anesthesia and Analgesia in Laboratory animals; Elsevier: Amsterdam, The Netherlands, 2023; pp. 287–356. [Google Scholar]
- Flecknell, P. Basic principles of anaesthesia. In Laboratory Animal Anaesthesia; Elsevier: Amsterdam, The Netherlands, 2016; pp. 1–75. [Google Scholar]
- Lee, J.; Hong, S.; Lee, S.; Kim, Y.; Kim, M. Immobilization with ketamine HCl and tiletamine-zolazepam in Cynomolgus monkeys. J. Vet. Sci. 2003, 4, 187–191. [Google Scholar] [CrossRef]
- Johard, E.; Tidholm, A.; Ljungvall, I.; Häggström, J.; Höglund, K. Effects of sedation with dexmedetomidine and buprenorphine on echocardiographic variables, blood pressure and heart rate in healthy cats. J. Feline Med. Surg. 2018, 20, 554–562. [Google Scholar] [CrossRef]
- Kaur, M.; Singh, P. Current role of dexmedetomidine in clinical anesthesia and intensive care. Anesth. Essays Res. 2011, 5, 128. [Google Scholar] [CrossRef]
- Tortorici, M.A.; Kochanek, P.M.; Poloyac, S.M. Effects of hypothermia on drug disposition, metabolism, and response: A focus of hypothermia-mediated alterations on the cytochrome P450 enzyme system. Crit. Care Med. 2007, 35, 2196–2204. [Google Scholar] [CrossRef] [PubMed]
- Pottie, R.; Dart, C.; Perkins, N.; Hodgson, D. Effect of hypothermia on recovery from general anaesthesia in the dog. Aust. Vet. J. 2007, 85, 158–162. [Google Scholar] [CrossRef] [PubMed]
- Muir, W.W.; Gadawski, J.E.; Grosenbaugh, D.A. Cardiorespiratory effects of a tiletamine/zolazepam-ketamine-detomidine combination in horses. Am. J. Vet. Res. 1999, 60, 770–774. [Google Scholar] [CrossRef] [PubMed]
- Ilkiw, J.E. Balanced anesthetic techniques in dogs and cats. Clin. Technol. Small Anim. Pract. 1999, 14, 27–37. [Google Scholar] [CrossRef]
- Kathy, W.C.; Cynthia, M.T.; Leslie, W.H. Anaesthesia of the cat. In Veterinary Anaesthesia; Elsevier: Amsterdam, The Netherlands, 2014; pp. 499–534. [Google Scholar]
- Pleym, H.; Spigset, O.; Kharasch, E.D.; Dale, O. Gender differences in drug effects: Implications for anesthesiologists. Acta Anaesthesiol. Scand. 2003, 47, 241–259. [Google Scholar] [CrossRef]


| Observed Parameters (Induction Phase) | Time (min) after Anesthetic Drug Administration | p-Value | |
|---|---|---|---|
| TKD Group | TKX Group | ||
| Sternal recumbency | 1.14 (1.05–1.35) | 1.04 (0.79–1.55) | 0.970 |
| Lateral recumbency | 1.82 (1.49–2.36) | 1.59 (1.40–2.16) | 0.820 |
| Loss of withdrawal reflex | 2.90 (2.55–6.80) | 3.68 (3.36–4.70) | 0.597 |
| Loss of jaw tone | 5.04 (2.71–7.55) | 4.03 (3.55–5.13) | 0.880 |
| Loss of palpebral reflex | 5.75 (3.62–9.99) | 4.85 (4.28–7.88) | 0.821 |
| Observed Parameters (Recovery Phase) | Time (min) after Atipamezole Administration | |||||
|---|---|---|---|---|---|---|
| Short-Term Anesthesia (45-min) | p-Value | Long-Term Anesthesia (90-min) | p-Value | |||
| TKD Group | TKX Group | TKD Group | TKX Group | |||
| Return of palpebral reflex | 3.0 (2.0–9.0) | 7.0 (5.0–13.0) | 0.347 | 2.0 (2.0–8.0) | 15.0 (8.0–16.0) | 0.138 |
| Return of jaw tone | 10.0 (3.0–14.0) | 6.0 (6.0–8.0) | 0.916 | 7.0 (3.0–9.0) | 7.0 (7.0–10.0) | 0.597 |
| Return of withdrawal reflex | 12.0 (7.0–24.0) | 11.0 (6.0–19.0) | 0.753 | 10.0 (3.0–14.0) | 17.0 (12.0–20.0) | 0.251 |
| Return to sternal recumbency | 18.0 (8.0–39.0) | 35.0 (25.0–35.0) | 0.600 | 18.0 (17.0–32.0) | 28.0 (17.0–100.0) | 0.530 |
| Able to stand | 84.0 (71.0–88.0) | 81.0 (69.0–171.0) | 0.917 | 39.0 (26.0–96.0) | 147.0 (100.0–221.0) | 0.117 |
| Able to walk | 84.0 (74.0–110.0) | 87.0 (81.0–188.0) | 0.754 | 58.0 (37.0–97.0) | 149.0 (101.0–223.0) | 0.175 |
| Observed Group | Average Usage of Isoflurane Concentration (%) | p-Value | |
|---|---|---|---|
| TKD Group | TKX Group | ||
| Short-term anesthesia (45-min) | 0.18 (0.18–0.65) | 0.60 (0.33–1.00) | 0.249 |
| Long-term anesthesia (90-min) | 0.45 (0.39–0.54) | 0.16 (0.12–0.37) | 0.151 |
Disclaimer/Publisher’s Note: The statements, opinions and data contained in all publications are solely those of the individual author(s) and contributor(s) and not of MDPI and/or the editor(s). MDPI and/or the editor(s) disclaim responsibility for any injury to people or property resulting from any ideas, methods, instructions or products referred to in the content. |
© 2024 by the authors. Licensee MDPI, Basel, Switzerland. This article is an open access article distributed under the terms and conditions of the Creative Commons Attribution (CC BY) license (https://creativecommons.org/licenses/by/4.0/).
Share and Cite
Akaraphutiporn, E.; Durongphongtorn, S.; Jampachaisri, K.; Sharp, P.; Pacharinsak, C.; Wangdee, C. Tiletamine/Zolazepam and Ketamine with Dexmedetomidine (TKD) Cocktail Is as Effective as Tiletamine/Zolazepam and Ketamine with Xylazine (TKX) in Providing Pig General Anesthesia. Animals 2024, 14, 2881. https://doi.org/10.3390/ani14192881
Akaraphutiporn E, Durongphongtorn S, Jampachaisri K, Sharp P, Pacharinsak C, Wangdee C. Tiletamine/Zolazepam and Ketamine with Dexmedetomidine (TKD) Cocktail Is as Effective as Tiletamine/Zolazepam and Ketamine with Xylazine (TKX) in Providing Pig General Anesthesia. Animals. 2024; 14(19):2881. https://doi.org/10.3390/ani14192881
Chicago/Turabian StyleAkaraphutiporn, Ekkapol, Sumit Durongphongtorn, Katechan Jampachaisri, Patrick Sharp, Cholawat Pacharinsak, and Chalika Wangdee. 2024. "Tiletamine/Zolazepam and Ketamine with Dexmedetomidine (TKD) Cocktail Is as Effective as Tiletamine/Zolazepam and Ketamine with Xylazine (TKX) in Providing Pig General Anesthesia" Animals 14, no. 19: 2881. https://doi.org/10.3390/ani14192881
APA StyleAkaraphutiporn, E., Durongphongtorn, S., Jampachaisri, K., Sharp, P., Pacharinsak, C., & Wangdee, C. (2024). Tiletamine/Zolazepam and Ketamine with Dexmedetomidine (TKD) Cocktail Is as Effective as Tiletamine/Zolazepam and Ketamine with Xylazine (TKX) in Providing Pig General Anesthesia. Animals, 14(19), 2881. https://doi.org/10.3390/ani14192881

