Effect of Replacing Alfalfa Hay with Common Vetch Hay in Sheep Diets on Growth Performance, Rumen Fermentation and Rumen Microbiota
Abstract
Simple Summary
Abstract
1. Introduction
2. Materials and Methods
2.1. Study Site, Common Vetch Harvest, and Hay Production
2.2. Study Animals, Experimental Design, and Growth Performance
2.3. Ruminal Fluid Collection and Fermentation Analysis
2.4. Ruminal Fluid DNA Extraction, Microbial Sequencing and Analysis
2.5. In Vitro Digestibility
2.6. Calculations and Statistical Analysis
3. Results
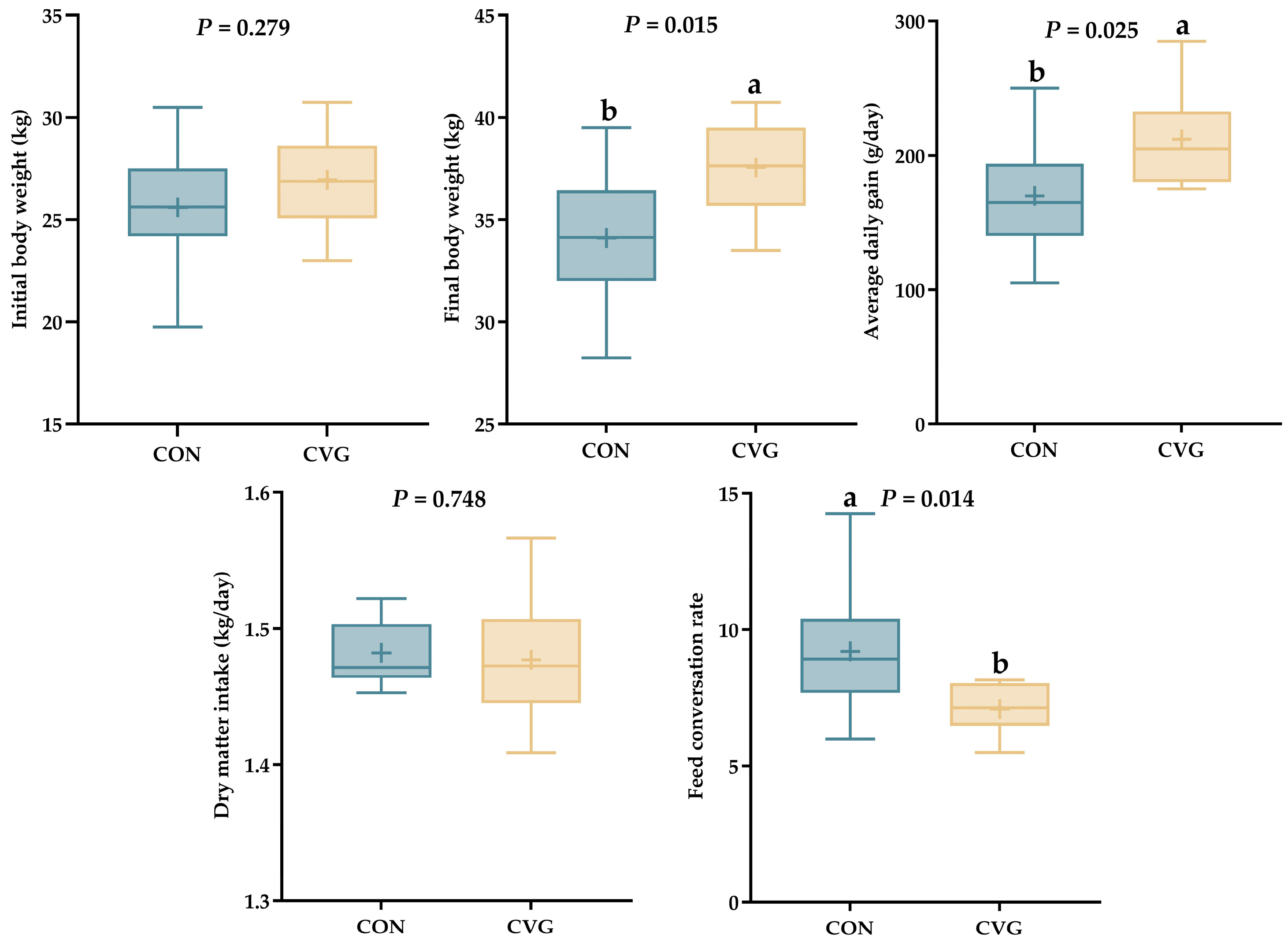
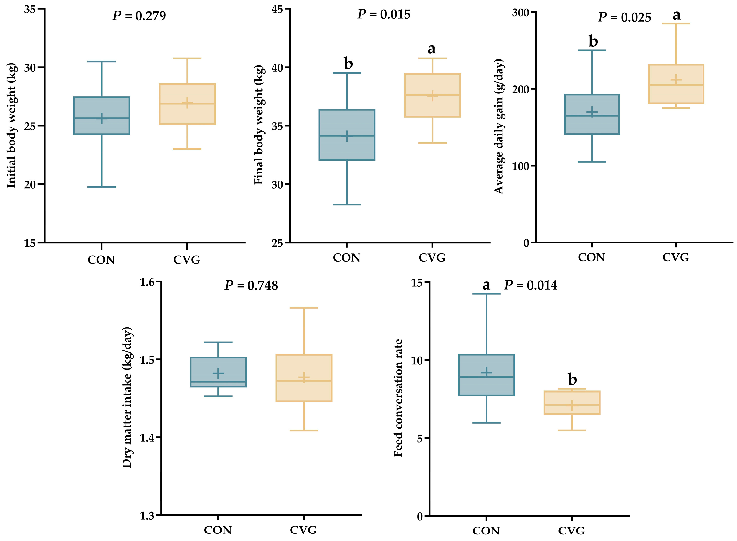
3.1. Hay In Vitro Digestibility and Growth Performances
3.2. Ruminal Fermentation Characteristics
3.3. Methane Emission
3.4. Ruminal Microbial Community Composition
3.4.1. Alpha Diversity and Relative Abundance of Bacteria
3.4.2. Correlation Analysis
4. Discussion
4.1. Hay In Vitro Digestibility and Growth Performances
4.2. Ruminal Fermentation Characteristics
4.3. Methane Emission
4.4. Ruminal Microbial Community Composition
5. Conclusions
Supplementary Materials
Author Contributions
Funding
Institutional Review Board Statement
Informed Consent Statement
Data Availability Statement
Acknowledgments
Conflicts of Interest
References
- National Bureau of Statistics of the People’s Republic of China, National Data: Agriculture. Available online: https://data.stats.gov.cn/easyquery.htm?cn=C01 (accessed on 30 November 2023).
- Li, S.B.; Li, X.; Ma, Q.L.; Wang, Z.Y.; Fang, F.; Zhang, D.Q. Consumer preference, behaviour and perception about lamb meat in China. Meat Sci. 2022, 192, 108878. [Google Scholar] [CrossRef]
- Touno, E.; Kaneko, M.; Uozumi, S.; Kawamoto, H.; Deguchi, S. Evaluation of feeding value of forage soybean silage as a substitute for wheat bran in sheep. Anim. Sci. J. 2014, 85, 46–52. [Google Scholar] [CrossRef]
- Zhang, X.; Wang, H.; Guo, X. Comparative analysis of rumen fermentation parameters and bacterial profiles during adaption to different fattening stages in beef cattle fed TMR with various forage silage. Anim. Feed Sci. Technol. 2021, 278, 115006. [Google Scholar] [CrossRef]
- General Administration of Customs of the People’s Republic of China. Analysis of China’s Forage and Fodder Imports in 2022: Alfalfa Hay Imports Increased by 36.2%. Available online: https://www.163.com/dy/article/HV547S6U051481OF.html (accessed on 30 November 2023). (In Chinese).
- Huang, Y.F.; Matthew, C.; Li, F.; Nan, Z.B. Common vetch varietal differences in hay nutritive value, ruminal fermentation, nutrient digestibility and performance of fattening lambs. Animal 2021, 15, 100244. [Google Scholar] [CrossRef]
- Huang, Y.F.; Matthew, C.; Zhang, Z.X.; Nan, Z.B. Morphological fractions, chemical composition and in vitro digestibility of stover of four common vetch varieties grown on the Tibetan plateau. J. Anim. Physiol. Anim. Nutr. 2019, 103, 1646–1656. [Google Scholar] [CrossRef] [PubMed]
- Chen, W.; Wang, Y.H.; Lv, X.; Yu, G.S.; Wang, Q.K.; Li, H.K.; Wang, J.L.; Zhang, X.D.; Liu, Q.L. Physicochemical, structural and functional properties of protein isolates and major protein fractions from common vetch (Vicia sativa L.). Int. J. Biol. Macromol. 2022, 216, 487–497. [Google Scholar] [CrossRef]
- Du, W.C.; Hou, F.J.; Tsunekawa, A.; Kobayashi, N.; Ichinohe, T.; Peng, F. Effects of the diet inclusion of common vetch hay versus alfalfa hay on the body weight gain, nitrogen utilization efficiency, energy balance, and enteric methane emissions of crossbred Simmental cattle. Animals 2019, 9, 983. [Google Scholar] [CrossRef] [PubMed]
- Chen, X.G. Economic potential of biomass supply from crop residues in China. Appl. Energy 2016, 166, 141–149. [Google Scholar] [CrossRef]
- Xu, Y.; Aung, M.; Sun, Z.Y.; Zhou, Y.Q.; Xue, T.H.; Cheng, X.M.; Cheng, Y.F.; Hao, L.Z.; Zhu, W.Y.; Degen, A. Ensiling of rice straw enhances the nutritive quality, improves average daily gain, reduces in vitro methane production and increases ruminal bacterial diversity in growing Hu lambs. Anim. Feed Sci. Technol. 2023, 295, 115513. [Google Scholar] [CrossRef]
- Chen, X.; Ma, Y.; Khan, M.Z.; Xiao, J.; Alugongo, G.M.; Li, S.; Wang, Y.; Cao, Z.A. Combination of lactic acid bacteria and molasses improves fermentation quality, chemical composition, physicochemical structure, in vitro degradability and rumen microbiota colonization of rice straw. Front. Vet. Sci. 2022, 9, 900764. [Google Scholar] [CrossRef]
- Liu, M.J.; Wang, Y.; Wang, Z.J.; Ge, G.T.; Jia, Y.S.; Du, S. Effects of replacing alfalfa hay with oat hay in fermented total mixed ration on growth performance and rumen microbiota in lambs. Fermentation 2023, 9, 9. [Google Scholar] [CrossRef]
- Gao, X.; Hou, M.J.; Fu, X.Y.; Wang, H.C.; Shang, Z.H.; Zhu, H.D. Effect of replacing corn straw by sweet sorghum silage or whole plant corn silage in sheep diets on rumen fermentation and bacterial flora. Animal 2023, 17, 100906. [Google Scholar] [CrossRef] [PubMed]
- Bujňáková, D.; Kucková, K.; Váradyová, Z.; Plachá, I.; Strompfová, V.; Bohm, J.; Micenková, L.; Čobanová, K. Effects of dietary zinc and/or an herbal mixture on intestinal microbiota and barrier integrity in lambs. Agriculture 2023, 13, 1819. [Google Scholar] [CrossRef]
- Belanche, A.; Doreau, M.; Edwards, J.E.; Moorby, J.M.; Pinloche, E.; Newbold, C.J. Shifts in the rumen microbiota due to the type of carbohydrate and level of protein ingested by dairy cattle are associated with changes in rumen fermentation. J. Nutr. 2012, 142, 1684–1692. [Google Scholar] [CrossRef] [PubMed]
- Lv, F.; Wang, X.; Pang, X.; Liu, G. Effects of supplementary feeding on the rumen morphology and bacterial diversity in lambs. Peer J. 2020, 8, e9353. [Google Scholar] [CrossRef] [PubMed]
- Zened, A.; Combes, S.; Cauquil, L.; Mariette, J.; Klopp, C.; Bouchez, O.; Troegeler-Meynadier, A.; Enjalbert, F. Microbial ecology of the rumen evaluated by 454 GS FLX pyrosequencing is affected by starch and oil supplementation of diets. FEMS Microbiol. Ecol. 2013, 83, 504–514. [Google Scholar] [CrossRef] [PubMed]
- IPCC. Climate Change 2007: Mitigation of Climate Change. Contribution of Working Group III to the Fourth Assessment Report of the Intergovernmental Panel on Climate Change; Cambridge University Press: Cambridge, UK; New York, NY, USA, 2007. [Google Scholar]
- Hassanat, F.; Gervais, R.; Benchaar, C. Methane production, ruminal fermentation characteristics, nutrient digestibility, nitrogen excretion, and milk production of dairy cows fed conventional or brown midrib corn silage. J. Dairy Sci. 2016, 100, 2625–2636. [Google Scholar] [CrossRef]
- Huang, Y.F.; Matthew, C.; Li, F.; Nan, Z.B. Comparative effects of stovers of four varieties of common vetch on growth performance, ruminal fermentation, and nutrient digestibility of growing lambs. Animals 2020, 10, 596. [Google Scholar] [CrossRef]
- Sciences, C.A.O.A.; Agriculture, M.O. Nutrient Requirements of Meat-Type Sheep and Goat; China Agri: Beijing, China, 2022; pp. 1–30. [Google Scholar]
- Di Marco, O. Estimacion´ de calidad de los forrajes. Producir XXI Bs. As. 2011, 20, 24–30. [Google Scholar]
- Hristov, A.N.; Ivan, M.; Rode, L.M.; Mcallister, T.A. Fermentation characteristics and ruminal ciliate protozoal populations in cattle fed medium- or high-concentrate barley-based diets. J. Anim. Sci. 2021, 79, 515–524. [Google Scholar] [CrossRef]
- Li, Z.W.; Wang, X.E.; Wang, W.; An, R.; Wang, Y.X.; Ren, Q.C.; Xuan, J.J. Benefits of tributyrin on growth performance, gastrointestinal tract development, ruminal bacteria and volatile fatty acid formation of weaned Small-Tailed Han lambs. Anim. Nutr. 2023, 15, 187–196. [Google Scholar] [CrossRef] [PubMed]
- Edgar, R.C. Uparse: Highly accurate otu sequences from microbial amplicon reads. Nat. Methods 2013, 10, 996–998. [Google Scholar] [CrossRef] [PubMed]
- Quast, C.; Pruesse, E.; Yilmaz, P.; Gerken, J.; Schweer, T.; Yarza, P.; Peplies, J.; Glöckner, F.O. The SILVA ribosomal RNA gene database project: Improved data processing and web-based tools. Nucleic Acids Res. 2013, 41, 590–596. [Google Scholar] [CrossRef]
- Van Soest, P.J.; Robertson, J.B.; Lewis, B.A. Methods for dietary fibre, neutral detergent fibre, and non-starch polysaccharides in relation to animal nutrition. J. Dairy Sci. 1991, 74, 3583–3597. [Google Scholar] [CrossRef]
- Ramin, M.; Huhtanen, P. Development of equations for predicting methane emissions from ruminants. J. Dairy Sci. 2013, 96, 1–18. [Google Scholar] [CrossRef] [PubMed]
- Ramos, S.C.; Jeong, C.D.; Mamuad, L.L.; Kim, S.H.; Kang, S.H.; Kim, E.T.; Cho, Y.I.; Lee, S.S.; Lee, S.S. Diet transition from high-forage to high-concentrate alters rumen bacterial community composition, epithelial transcriptomes and ruminal fermentation parameters in dairy cows. Animals 2021, 11, 838. [Google Scholar] [CrossRef]
- Karimizadeh, E.; Chaji, M.; Mohammadabadi, T. Effects of physical form of diet on nutrient digestibility, rumen fermentation, rumination, growth performance and protozoa population of finishing lambs. Anim. Nutr. 2017, 3, 139–144. [Google Scholar] [CrossRef] [PubMed]
- Peng, K.; Shirley, D.C.; Xu, Z.J.; Huang, Q.Q.; McAllister, T.A.; Chaves, A.V.; Acharya, S.; Liu, C.L.; Wang, S.X.; Wang, Y.X. Effect of purple prairie clover (Dalea purpurea Vent.) hay and its condensed tannins on growth performance, wool growth, nutrient digestibility, blood metabolites and ruminal fermentation in lambs fed total mixed rations. Anim. Feed Sci. Technol. 2016, 222, 100–110. [Google Scholar] [CrossRef]
- Niyigena, V.; Coffey, K.P.; Coblentz, W.K.; Philipp, D.; Althaber, C.; Diaz Gomez, J.; Rhein, R.T.; Pruden, M.C. Intake, digestibility rumen fermentation and nitrogen balance in lambs offered alfalfa and tall fescue-mixtures harvested and ensiled after a frost. Anim. Feed Sci. Technol. 2022, 286, 115268. [Google Scholar] [CrossRef]
- Battelli, M.; Colombini, S.; Crovetto, G.M.; Galassi, G.; Abeni, F.; Petrera, F.; Manfredi, M.T.; Rapetti, L. Condensed tannins fed to dairy goats: Effects on digestibility, milk production, blood parameters, methane emission, and energy and nitrogen balances. J. Dairy Sci. 2024, 107, 3614–3630. [Google Scholar] [CrossRef]
- Battelli, M.; Colombini, S.; Parma, P.; Galassi, G.; Crovetto, G.M.; Spanghero, M.; Pravettoni, D.; Zanzani, S.A.; Manfredi, M.T.; Rapetti, L. In vitro effects of different levels of quebracho and chestnut tannins on rumen methane production, fermentation parameters, and microbiota. Front. Vet. Sci. 2023, 10, 1178288. [Google Scholar] [CrossRef]
- Soltan, Y.A.; Hashema, N.M.; Morsyb, A.S.; El-Azraka, K.M.; Nour El-Dina, A.; Sallama, S.M. Comparative effects of Moringa oleifera root bark and monensin supplementations on ruminal fermentation, nutrient digestibility and growth performance of growing lambs. Anim. Feed Sci. Technol. 2018, 235, 189–201. [Google Scholar] [CrossRef]
- Eckard, R.J.; Grainger, C.; De Klein, C.A.M. Options for the abatement of methane and nitrous oxide from ruminant production. Livest. Sci. 2010, 130, 47–56. [Google Scholar] [CrossRef]
- Wang, S.Q.; Chai, J.M.; Zhao, G.H.; Zhang, N.F.; Cui, K.; Bi, Y.L.; Ma, T.; Tu, Y.; Diao, Q.Y. The temporal dynamics of rumen microbiota in early weaned lambs. Microorganisms 2022, 10, 144. [Google Scholar] [CrossRef] [PubMed]
- Trabi, E.B.; Seddik, H.E.; Xie, F.; Lin, L.; Mao, S.Y. Comparison of the rumen bacterial community, rumen fermentation and growth performance of fattening lambs fed low-grain, pelleted or non-pelleted high grain total mixed ration. Anim. Feed Sci. Technol. 2019, 253, 1–12. [Google Scholar] [CrossRef]
- Li, L.; Sun, X.; Luo, J.; Chen, T.; Xi, Q.; Zhang, Y.; Sun, J. Effects of herbal tea residue on growth performance, meat quality, muscle metabolome, and rumen microbiota characteristics in finishing steers. Front. Microbiol. 2022, 12, 821293. [Google Scholar] [CrossRef] [PubMed]
- Wang, X.; Huang, X.; Zhang, Z.; Duan, Z. Effect of Caragana korshinskii Kom. as a partial substitution for sheep forage on intake, digestibility, growth, carcass features, and the rumen bacterial community. Trop. Anim. Health Prod. 2022, 54, 190. [Google Scholar] [CrossRef] [PubMed]
- Ramírez-Restrepo, C.A.; Tan, C.; O’Neill, C.J.; López-Villalobos, N.; Padmanabha, J.; Wang, J.k.; McSweeney, C.S. Methane production, fermentation characteristics, and microbial profiles in the rumen of tropical cattle fed tea seed saponin supplementation. Anim. Feed Sci. Technol. 2016, 216, 58–67. [Google Scholar] [CrossRef]
- Yin, X.J.; Duan, C.H.; Ji, S.K.; Tian, P.Z.; Ju, S.S.; Yan, H.; Zhang, Y.J.; Liu, Y.Q. Average daily gain in lambs weaned at 60 days of age is correlated with rumen and rectum microbiota. Microorganisms 2023, 11, 348. [Google Scholar] [CrossRef]
- Guo, C.Y.; Ji, S.K.; Yan, H.; Wang, Y.J.; Liu, J.J.; Cao, Z.J.; Yang, H.J.; Zhang, W.J.; Li, S.L. Dynamic change of the gastrointestinal bacterial ecology in cows from birth to adulthood. Microbiology 2020, 9, e1119. [Google Scholar] [CrossRef]
- Huang, S.; Ji, S.; Suen, G.; Wang, F.; Li, S. The rumen bacterial community in dairy cows is correlated to production traits during freshening period. Front. Microbiol. 2021, 12, 630605. [Google Scholar] [CrossRef] [PubMed]
- Zhou, Y.L.; Sun, L.; Cheng, Q.M.; Li, Y.C.; Chen, J.X.; Zhao, B.; Qian, C.; Li, B.; Yu, H.R.; Liu, M.; et al. Effect of pelleted alfalfa or native grass total mixed ration on the rumen bacterial community and growth performance of lambs on the Mongolian Plateau. Small Rumin. Res. 2022, 207, 106610. [Google Scholar] [CrossRef]
- Yang, B.; Le, J.; Wu, P.; Liu, J.; Guan, L.L.; Wang, J. Alfalfa intervention alters rumen microbial community development in hu lambs during early life. Front. Microbiol. 2018, 9, 574. [Google Scholar] [CrossRef]
- Tanca, A.; Fraumene, C.; Manghina, V.; Palomba, A.; Abbondio, M.; Deligios, M.; Pagnozz, D.; Addis, M.F.; Uzzau, S. Diversity and functions of the sheepfaecal microbiota: A multi-omic characterization. Microb. Biotechnol. 2017, 10, 541–554. [Google Scholar] [CrossRef]
- Wu, Q.C.; Li, W.J.; Wang, W.K.; Wang, Y.L.; Zhang, F.; Lv, L.K.; Yang, H.J. Foxtail millet (Setaria italica L.) silage compared peanut vine hay (Arachis hypogaea L.) exhibits greater feed efficiency via enhancing nutrient digestion and promoting rumen fermentation more efficiently in feedlotting lambs. Small Rumin. Res. 2022, 215, 106704. [Google Scholar] [CrossRef]
- Guo, W.; Guo, X.J.; Xu, L.N.; Shao, L.W.; Zhu, B.C.; Liu, H.; Wang, Y.J.; Gao, K.Y. Effect of whole-plant corn silage treated with lignocellulose-degrading bacteria on growth performance, rumen fermentation, and rumen microflora in sheep. Animal 2022, 16, 100576. [Google Scholar] [CrossRef]
- Stevenson, D.M.; Weimer, P.J. Dominance of prevotella and low abundance of classical ruminal bacterial species in the bovine rumen revealed by relative quantification real-time PCR. Appl. Microbiol. Biotechnol. 2007, 75, 165–174. [Google Scholar] [CrossRef]
- Ozbayram, E.G.; Kleinsteuber, S.; Nikolausz, M. Biotechnological utilization of animal gut microbiota for valorization of lignocellulosic biomass. Appl. Microbiol. Biotechnol. 2020, 104, 489–508. [Google Scholar] [CrossRef] [PubMed]
- Feizi, L.K.; Zad, S.S.; Jalali, S.A.H.; Rafee, H.; Jazi, M.B.; Sadeghi, K.; Kowsar, R. Fermented soybean meal affects the ruminal fermentation and the abundance of selected bacterial species in Holstein calves: A multilevel analysis. Sci. Rep. 2020, 10, 12062. [Google Scholar] [CrossRef]






| Title | Diet 1 | Common Vetch Hay | Alfalfa Hay | |
|---|---|---|---|---|
| CON | CVG | |||
| Ingredients | ||||
| Alfalfa | 40.00 | 0.00 | ||
| Common vetch | 0.00 | 40.00 | ||
| Brittle culm rice stover | 20.00 | 20.00 | ||
| Corn | 28.00 | 28.00 | ||
| Wheat bran | 2.91 | 6.60 | ||
| Cottonseed meal | 5.40 | 1.85 | ||
| Salt | 0.70 | 0.70 | ||
| Calcium carbonate | 1.10 | 1.00 | ||
| Calcium bicarbonate | 0.89 | 0.85 | ||
| Mineral-vitamin premix 2 | 1.00 | 1.00 | ||
| F:C ratio 3 | 40:60 | 40:60 | ||
| Chemical composition 4 | ||||
| Dry matter, % | 89.81 | 89.52 | 93.10 | 92.51 |
| Crude protein, % DM | 14.10 | 14.63 | 20.82 | 17.24 |
| Neutral detergent fiber, % DM | 35.57 | 35.47 | 34.21 | 36.14 |
| Acid detergent fiber, % DM | 23.76 | 22.06 | 23.09 | 27.42 |
| Ash, % DM | 8.47 | 10.97 | 15.63 | 9.77 |
| Calcium, % DM | 0.90 | 0.89 | 0.39 | 0.28 |
| Phosphorus, % DM | 0.50 | 0.51 | 0.26 | 0.25 |
| Metabolizable energy (MJ/kg) 5 | 13.40 | 13.40 | ||
| Items | Diet 1 | SEM | p-Value | |
|---|---|---|---|---|
| CON | CVG | |||
| pH | 5.86 | 6.05 | 0.102 | 0.406 |
| NH3-N (mg/mL) | 17.36 a | 13.29 b | 0.975 | 0.032 |
| Total VFA (mmol L−1) | 56.59 | 61.23 | 2.77 | 0.460 |
| Acetate (% molar) | 71.73 a | 67.45 b | 0.839 | 0.005 |
| Propionate (% molar) | 19.44 | 17.27 | 0.711 | 0.158 |
| Butyrate (% molar) | 4.66 b | 11.38 a | 1.10 | <0.001 |
| Valerate (% molar) | 2.12 a | 0.95 b | 0.194 | <0.001 |
| Isobutyrate (% molar) | 1.34 | 1.26 | 0.083 | 0.674 |
| Isovalerate (% molar) | 0.71 b | 1.69 a | 0.212 | 0.017 |
| Acetate: Propionate | 3.75 | 3.94 | 0.139 | 0.547 |
| Items | Diet 1 | SEM | p-Value | |
|---|---|---|---|---|
| CON | CVG | |||
| L/day 2 | ||||
| Minimum | 55.32 | 55.16 | 0.23 | 0.883 |
| Maximum | 88.61 | 88.41 | 0.28 | 0.884 |
| L·kg−1·ADG−1 | ||||
| Minimum | 343.65 a | 265.01 b | 16.43 | 0.015 |
| Maximum | 550.60 a | 425.08 b | 26.42 | 0.016 |
| Items | Diet 1 | SEM | p-Value | |
|---|---|---|---|---|
| CON | CVG | |||
| OTUs | 1057 | 1071 | 16.77 | 0.926 |
| Chao1 | 1353.62 | 1372.55 | 14.22 | 0.912 |
| Simpson’s index | 0.95 | 0.87 | 0.009 | 0.317 |
| Shannon index | 6.40 | 5.44 | 0.175 | 0.278 |
| Goods_coverage (%) | 99.34 | 99.28 | 0.013 | 0.503 |
Disclaimer/Publisher’s Note: The statements, opinions and data contained in all publications are solely those of the individual author(s) and contributor(s) and not of MDPI and/or the editor(s). MDPI and/or the editor(s) disclaim responsibility for any injury to people or property resulting from any ideas, methods, instructions or products referred to in the content. |
© 2024 by the authors. Licensee MDPI, Basel, Switzerland. This article is an open access article distributed under the terms and conditions of the Creative Commons Attribution (CC BY) license (https://creativecommons.org/licenses/by/4.0/).
Share and Cite
Ren, C.; Zhang, X.; Wei, H.; Wang, S.; Wang, W.; He, L.; Lu, Y.; Zhang, K.; Zhang, Z.; Wang, G.; et al. Effect of Replacing Alfalfa Hay with Common Vetch Hay in Sheep Diets on Growth Performance, Rumen Fermentation and Rumen Microbiota. Animals 2024, 14, 2182. https://doi.org/10.3390/ani14152182
Ren C, Zhang X, Wei H, Wang S, Wang W, He L, Lu Y, Zhang K, Zhang Z, Wang G, et al. Effect of Replacing Alfalfa Hay with Common Vetch Hay in Sheep Diets on Growth Performance, Rumen Fermentation and Rumen Microbiota. Animals. 2024; 14(15):2182. https://doi.org/10.3390/ani14152182
Chicago/Turabian StyleRen, Chunhuan, Xiaoan Zhang, Huiqing Wei, Sunze Wang, Wenjie Wang, Li He, Yuan Lu, Kefan Zhang, Zijun Zhang, Guanjun Wang, and et al. 2024. "Effect of Replacing Alfalfa Hay with Common Vetch Hay in Sheep Diets on Growth Performance, Rumen Fermentation and Rumen Microbiota" Animals 14, no. 15: 2182. https://doi.org/10.3390/ani14152182
APA StyleRen, C., Zhang, X., Wei, H., Wang, S., Wang, W., He, L., Lu, Y., Zhang, K., Zhang, Z., Wang, G., & Huang, Y. (2024). Effect of Replacing Alfalfa Hay with Common Vetch Hay in Sheep Diets on Growth Performance, Rumen Fermentation and Rumen Microbiota. Animals, 14(15), 2182. https://doi.org/10.3390/ani14152182

