Next Article in Journal
Specificity of Key Sex Determination Genes in a Mammal with Ovotestes: The European Mole Talpa europaea
Next Article in Special Issue
Correction: Wang et al. Effects of Heat-Treated Bifidobacterium longum CECT-7347 Combined with Fibersol-2 on the Intestinal Health of Cats Submitted to an Abrupt Dietary Change: A Randomized Controlled Study. Animals 2024, 14, 2179
Previous Article in Journal
Trace Elements in Hermann’s Tortoises (Testudo hermanni) According to Sex, Season, and Sampling Region in Central Europe
Previous Article in Special Issue
Pig-Derived Probiotic Bacillus tequilensis YB-2 Alleviates Intestinal Inflammation and Intestinal Barrier Damage in Colitis Mice by Suppressing the TLR4/NF-κB Signaling Pathway
 
 
Correction published on 13 September 2024, see Animals 2024, 14(18), 2668.
Font Type:
Arial Georgia Verdana
Font Size:
Aa Aa Aa
Line Spacing:
Column Width:
Background:
Article

Effects of Heat-Treated Bifidobacterium longum CECT-7347 Combined with Fibersol-2 on the Intestinal Health of Cats Submitted to an Abrupt Dietary Change: A Randomized Controlled Study

1
College of Veterinary Medicine, China Agricultural University, Beijing 100193, China
2
ADM (Shanghai) Management Co., Ltd., Shanghai 200131, China
*
Authors to whom correspondence should be addressed.
Animals 2024, 14(15), 2179; https://doi.org/10.3390/ani14152179
Submission received: 20 June 2024 / Revised: 13 July 2024 / Accepted: 22 July 2024 / Published: 26 July 2024 / Corrected: 13 September 2024

Abstract

Simple Summary

Diet significantly influences feline intestinal health, and abrupt dietary changes can disrupt the gastrointestinal balance. Incorporating functional additives, like heat-treated Bifidobacterium longum CECT-7347 combined with Fibersol-2, may ameliorate feline gastrointestinal functionality. Heat-treated Bifidobacterium longum exhibits anti-inflammatory, antioxidant, and intestinal barrier-enhancing properties. Fibersol-2, widely employed in human foods, enhances colonic mucosal barrier function and increases intestinal microbiota diversity. In this study, we investigated the effects of providing or not providing heat-treated Bifidobacterium longum CECT-7347 combined with Fibersol-2 on intestinal barrier integrity, intestinal inflammation, and intestinal microbiota composition in cats undergoing abrupt dietary change. Our study demonstrates that supplementing heat-treated Bifidobacterium longum CECT-7347 combined with Fibersol-2 improved the intestinal health of adult cats subjected to abrupt dietary change.

Abstract

Abrupt dietary change can disrupt the intestinal balance in felines. This study aimed to assess the impact of heat-treated Bifidobacterium longum CECT-7347 combined with Fibersol-2 on the intestinal health of adult cats before and after dietary change. We selected 24 British shorthair cats, dividing them into two groups. From day 1 to day 14, the control group received a lower protein (33%) concentration (LPF) diet, while the treated group received the same LPF diet supplemented with 0.16% functional additives, consisting of Bifidobacterium longum CECT-7347 combined with Fibersol-2. Subsequently, from day 15 to day 28, the control group transitioned to a higher protein (40%) concentration (HPF) diet, while the treated group received the same HPF diet supplemented with 0.16% functional additives. Blood and fresh feces were collected on day 0, 14, 17, 21, and 28 of the experiment. The results suggest that the use of heat-treated Bifidobacterium longum CECT-7347 combined with Fibersol-2 may improve gastrointestinal function in cats by reducing serum LPS levels and fecal pH, while increasing fecal sIgA levels. In addition, the functional additive regulates the fecal microbiota and its function, promoting intestinal homeostasis and colonization with beneficial bacteria such as Blautia. Furthermore, on day 28, there was a significant difference in fecal microbiota beta diversity between the two groups. In summary, the addition of heat-treated Bifidobacterium longum CECT-7347 combined with Fibersol-2 contributes to improving the intestinal health of adult cats affected by abrupt dietary change.

1. Introduction

Abrupt change in cat dietary patterns may trigger inflammation and disrupt the intestinal microbiota, especially when cats transition to high-protein diets. Since cats are carnivorous animals, commercial cat foods often contain high levels of protein [1]. Employing a gradual transition approach over a span of seven days when introducing a new cat food regimen has been shown to mitigate the occurrence of gastrointestinal disturbances. Nevertheless, the prevalence of feline diarrhea resulting from dietary change persists, primarily due to challenges in owner compliance and inherent individual variations among cats.
Extensive research has focused on probiotic microorganisms for treating intestinal disorders [2,3]. Furthermore, probiotic microorganisms also show promise in managing metabolic conditions like obesity and diabetes by influencing the composition of the intestinal microbiota [4]. However, against the backdrop of rising antimicrobial resistance, the role of probiotics in alleviating gastrointestinal diseases in pets has been repeatedly highlighted, though their efficacy is often determined by specific strains [5,6]. Additionally, it is imperative to recognize that the safety concerns associated with probiotics should not be underestimated. A study [7] observed that, in patients with predicted severe acute pancreatitis, the probiotic group demonstrated a heightened risk of mortality. Furthermore, probiotic strains can directly cause bacteremia [8]. Therefore, in recent years, some scholars have directed their efforts towards exploring the potential roles of inactivated probiotics, also known as paraprobiotics [9]. Bifidobacterium spp. is a widely studied probiotic playing a crucial role in human intestinal health by contributing to various beneficial processes, including enhancement of lactose digestion, manifestation of anti-cancer activity, reduction of serum cholesterol levels, synthesis of B-complex vitamins, and facilitation of calcium absorption [10]. Pasteurized yogurt containing heat-treated Bifidobacterium longum has shown mitigative effects on allergic airway inflammation by altering the structure and function of the intestinal microbiota [11]. Additionally, heat-treated Bifidobacterium longum exhibits inhibitory effects on proliferation and promotes apoptosis of human colon cancer cells [12]. Compared to probiotics, paraprobiotics not only address the safety concerns associated with the use of live microbial cells but also have an extended shelf life. Currently, there are no studies reporting the effects of heat-treated Bifidobacterium longum on the intestinal microbiota and intestinal barrier in cats.
Prebiotics, mainly plant-derived oligosaccharides, resistant starch, and other compounds, serve as fermentation substrates in the gastrointestinal tract. They promote the growth of beneficial microorganisms and contribute to overall intestinal health [13]. Fibersol-2, a resistant maltodextrin (RMD) with prebiotic properties, is a non-viscous, soluble, and fermentable dietary fiber produced from corn starch [13]. Fibersol-2 not only reduces blood glucose, postprandial insulin levels, triglycerides, and serum cholesterol levels, but also promotes intestinal health. It accelerates the transit of feces and stimulates the growth of various beneficial bacteria, indirectly inhibiting the proliferation of potential pathogenic microorganisms [14]. Research indicates that, for adults with insufficient dietary fiber intake, the administration of 25 g of RMD resulted in a 38% increase in the quantity of Bifidobacteria in the stool. The stool volume also increased, and participants did not exhibit noticeable gastrointestinal discomfort symptoms [15]. Nathaniel D. Fastinger, PhD and colleagues [16] also observed that the addition of Fibersol-2 significantly increased the abundance of fecal Bifidobacterium in a healthy population.
The impact of heat-treated Bifidobacterium longum and Fibersol-2 on intestinal health has been extensively studied. However, there is limited research assessing their effects on the intestinal microbiota and immune function in cats. This study marks the first attempt to combine heat-treated Bifidobacterium longum CECT-7347 with Fibersol-2 in cats, aiming at exploring their influence on the intestinal health of cats undergoing an abrupt dietary change. It is anticipated that this combination could potentially serve as a dietary management tool to improve feline intestinal health.

2. Materials and Methods

2.1. Diets

The functional additives (ADM (Shanghai) Management Co., Ltd., Shanghai, China) contain heat-treated Bifidobacterium longum CECT-7347 and Fibersol-2. The exact proportions of each component in the formulation are proprietary. The experiment evaluated two different diets with or without the functional additives over two periods. The first diet was a commercial diet for adult cats with a lower protein concentration (33%) (LPF). The second diet was a commercial diet for adult cats with a higher protein concentration (40%) (HPF). The composition and nutritional components of the diets for both groups are detailed in Table 1 and Table 2.

2.2. Animals and Groups

Twenty-four British shorthair cats that had not received antibiotics in the past three months and showed no gastrointestinal symptoms were selected from Shanchong Shuifu Pet Nutrition Research Center in Fangshan District, Beijing, China. All cats had been regularly dewormed and immunized, with good overall health. Each cat was housed in a separate cage within the same room. They had free access to food, with fresh food and water provided at 9 a.m. each day, and litter changed at 8 p.m. daily. The cats were divided into two groups, each consisting of 12 cats (6 males and 6 females in each group). The age, weight, and body condition score (BCS) did not exhibit significant differences among the groups (p > 0.05). Group allocations are detailed in Table 3. Throughout the experiment, one female cat each from the control and treated groups was excluded: one due to food refusal and the other due to neurological symptoms resulting from an aural polyp. Prior to the commencement of the experiment, all cats were fed an LPF diet for 10 days, designated as the pre-feeding phase. From day 1 to day 14, the control group received the LPF diet, while the treated group received the LPF diet supplemented with 0.16% functional additives. Subsequently, from day 15 to day 28, the control group transitioned to an HPF diet, while the treated group received an HPF diet supplemented with 0.16% functional additives. The experimental design and a timeline of events are shown in Figure 1.

2.3. Sample Collection

On days 0, 14, 17, 21, and 28 of the experiment, 2 mL of blood was collected from the medial vein of the hind limbs into non-heparinized blood collection tubes at room temperature. The tubes were allowed to stand for 30 min before being centrifuged at 3000× g revolutions per minute for 10 min. The supernatant was then transferred to a 1.5 mL centrifuge tube. Samples were stored at −80 °C in a freezer for future use.
On days 0, 14, 17, 21, and 28 of the experiment, fresh feces were collected, and a portion was extracted. The portion was used for pH and fecal dry matter (DM) evaluation. The remaining feces were placed into a sterile fecal collection tubes and stored at −80 °C in a freezer for future use.

2.4. Plasma Parameters and Fecal Parameters Measurement

On days 0, 14, 17, 21, and 28 of the experiment, fresh feces were collected to analyze fecal pH, DM, and fecal score (FS). The Waltham® Fecal Score system (Appendix A) was used, with grades 2–3 indicating good fecal status and grades 3.5 and above indicating excessive fecal moisture. Measurements of pH were conducted using a pH meter (Shenzhen Yage Technology Co., Ltd., Shenzhen, China). Fresh feces (0.5 g) were weighed into a 15 mL centrifuge tube, and 9.5 mL deionized water was added. The sample was centrifuged at 3000× g rpm for 5 min after being mixed thoroughly, and the supernatant was poured into a disposable plastic cup. For fresh fecal DM measurement, 5 g fresh feces was dried at 121 °C on a HNB-50T (Xiamen Senbi Technology Co., Ltd., Fujian, China) baking tray.
On days 0, 14, 17, 21, and 28 of the experiment, serum was collected for measurements of lipopolysaccharide (LPS) and diamine oxidase (DAO) using feline-specific commercial ELISA kits (Jiangsu Enzyme-Free Industry Co., Ltd., Taizhou, China). Calprotectin (CALP), secretary immunoglobulin A (sIgA), and myeloperoxidase (MPO) were measured using feline-specific commercial ELISA kits (Jiangsu Enzyme-Free Industry Co., Ltd.)

2.5. Microbiome and Functional Analysis

Fecal DNA was extracted using an E.Z.N.A.® soil DNA kit (Omega Engineering, Norwalk, CT, USA) following the manufacturer’s instructions. The quality of the extracted genomic DNA was evaluated by 1% agarose gel electrophoresis. The concentration and purity were assessed using a NanoDrop 2000 microspectrophotometer (Thermo Fisher Scientific, Waltham, MA, USA).
On days 14, 17, and 28, the 16S rRNA gene was amplified with region-specific primers (338F: ACTCCTACGGGAGGCAGCAG and 806R: GGACTACHVGGGTWTCTAAT). The PCR reaction was performed using 25 μL of output from the AxyPrep DNA Gel Purification Kit (AXYGEN, Union City, CA USA), with the following conditions: initial denaturation at 95 °C for 3 min (1 cycle), followed by 30 cycles of denaturation at 95 °C for 30 s, annealing at 55 °C for 30 s, and elongation at 72 °C for 45 s; with a final extension step at 72 °C for 10 min, and holding at 10 °C until halted by the user. Library construction using a TruSeqTM DNA Sample Prep Kit (Illumina, Inc., San Diego, CA, USA) followed by paired-end sequencing using an Illumina Paired-End 300 (PE300) platform (Majorbio, Shanghai, China) were performed according to the standard protocols from the manufacturers.
Bioinformatics analysis of the sequencing data was carried out as follows: the paired-end reads obtained from Illumina sequencing were spliced based on overlap relationships. Sequence quality was controlled and filtered, and the samples were differentiated for Operational Taxonomic Unit (OTU) clustering analysis and species taxonomic analysis.

2.6. Calculations and Statistical Analysis

Alpha (α) diversity metrics for the microbiome results were evaluated using the ACE, Chao, Shannon, Simpson, and Sobs indicesby Mothur 1.30.2 software. we employed the Bray–Curtis distance algorithm for beta (β) diversity analysis via Principal Coordinate Analysis (PCoA) and performed differential analysis using Adonis. Relative abundance and differential analyses of community structure were conducted at the phylum and genus levels based on taxonomic information. Due to non-normal distribution, median values (upper quartile, lower quartile) were used. The Scheirer–Ray–Hare test was applied for two-factor analysis of variance. We used Linear Discriminant Analysis Effect Size (LEfSe) to distinguish differential taxa at the genus level and higher taxonomic levels, setting the Linear Discriminant Analysis (LDA) score to greater than 4.0. PICRUSt2 2.2.0 was utilized to predict metabolic pathways at Pathway Level 3.
The main statistical analyses were performed using IBM SPSS 27.0. Two-way ANOVA was used to analyze the differences in intestinal inflammation and intestinal immune indicators between groups. Data conforming to a normal distribution pattern were expressed as mean ± standard deviation, while non-normally distributed data and hierarchical information were expressed as median (upper quartile, lower quartile). Graphing was performed using GraphPad Prism 9.0 software. Statistical significance was defined as 0.01 ≤ p < 0.05, highly significant as p < 0.01, and a significant trend as 0.05 ≤ p < 0.10.

3. Results

3.1. FS, DM, Fecal pH, LPS, DAO, CALP, MPO, and sIgA

3.1.1. Before Changing the Feed

Table 4 presents the results of FS, DM, fecal pH, LPS, DAO, CALP, MPO, and sIgA. SIgA exhibited no significant differences either within or among the groups. However, it is noteworthy that the longitudinal comparison of fecal pH in the treated group revealed a trend with a p-value of 0.05 (p < 0.1), suggesting potential differences in cats consuming cat food containing functional additives for 14 days compared to baseline. On the 14th day, serum LPS significantly decreased in the treated group (p < 0.01) and showed a significant reduction compared to the control group (p < 0.05).

3.1.2. After Changing the Feed

As shown in Figure 2A,B, DM and FS did not differ statistically among days or between the control and treated group. There was an increase in fecal pH after the diet change (Figure 2C). Significant differences in fecal pH are observed on days 17, 21, and 28 compared to the pre-transition period (day 14). On day 28, fecal sIgA in the control group and the treated group was significantly higher than that on day 14 (p < 0.05); fecal sIgA in the treated group was significantly higher than that in the control group (p < 0.05). Serum LPS levels significantly increased on day 17 and day 21 compared to day 14 but decreased by day 28, showing no statistical difference compared to day 14. Serum DAO levels did not show statistically significant differences among days or between both groups (Figure 2F). Fecal CALP levels did not differ between the control and treated groups, but cats in both groups exhibited a significant increase in CALP values on day 17 compared to day 14 (Figure 2G). Fecal MPO levels did not show statistically significant differences among days or between both groups (Figure 2H).

3.2. Fecal Microbiome Composition Profiling

As shown in Table 5, dietary change altered the microbial α diversity indices in both the control and treated groups. Compared to day 14, the richness and diversity of the intestinal microbiota significantly increased on days 17 and 28 (p < 0.05). However, there were no significant differences in α diversity indices between the control and treated groups (p > 0.05).
The results of the PCoA (Figure 3) analysis indicated significant differences within groups, suggesting a pronounced intervention effect of sudden dietary change on the feline intestinal microbiota. On days 14 and 17, the microbial communities of both the control and treated groups were not fully separated into distinct clusters, but by day 28 they showed clear separation (p < 0.05). Most samples from both groups clustered together, except for a few, indicating a significant intervention effect of additive treatment on the feline intestinal microbiota in the later stages of the experiment.
As depicted in Figure 4 and Table 6, at the phylum level there are notable differences in microbial composition both within and between groups. The predominant taxa in each group are primarily concentrated in the phyla Firmicutes, Actinobacteria, Bacteroidetes, Cyanobacteria, and Proteobacteria. Firmicutes, in particular, stands out as the most abundant, with proportions exceeding 60% across all groups, followed by Actinobacteria. Following the dietary change, both groups of cats exhibited a notable increase in the relative abundance of Bacteroidetes compared to before the change. Moreover, the treated group showed a significantly higher relative abundance of Actinobacteria in their feces compared to the control group. At the genus level, ten predominant bacterial taxa were identified in each group (Table 7). Compared to before the dietary change, there was a significant decrease in the relative abundance of g_unclassified_f_Peptostreptococcaceae and a notable increase in Subdoligranulum in both groups after the change. Additionally, the treated group exhibited a significantly higher relative abundance of Blautia in their feces compared to the control (Figure 5).
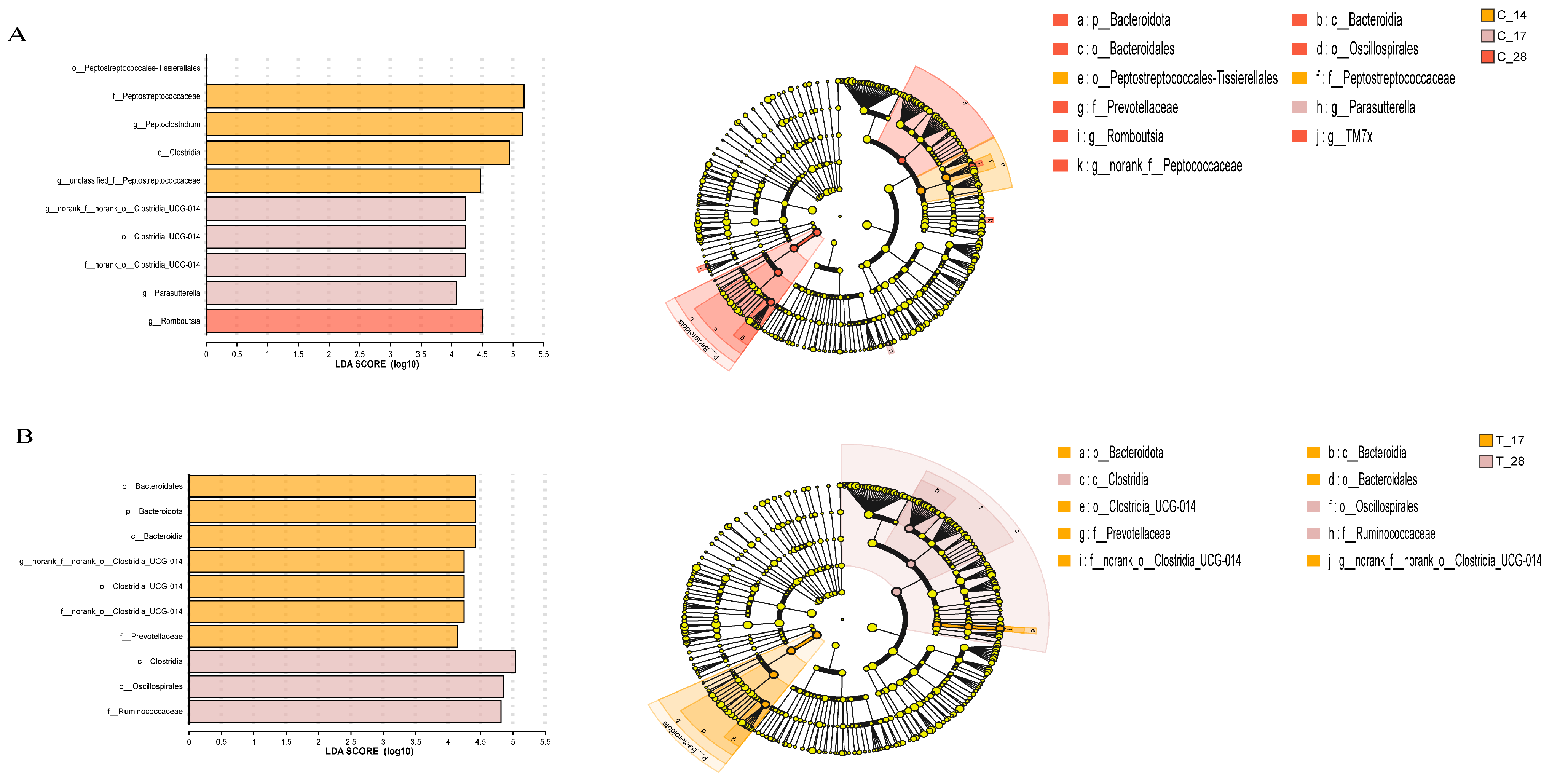
To further investigate the differential taxon abundance within and between the two groups, LEfSe was used to compare the bacterial taxa abundance in fecal samples (Figure 6 and Figure 7). In group C_14, f_Peptostreptococcaceae and o_Peptostreptococcales_Tissierellales were prevalent, and g_Parasutterella was enriched in C_17, while o_Oscillospirales, p_Bacteroidota, c_Bacteroidia, o_Bacteroidales, f_Prevotellaceae, g_Rombo-utsia, g_TM7x, and g_norank_f_Peptococcaceae were observed to be more abundant in C_28 (Figure 6A). o_Bacteroidales, p_Bacteroidota, c_Bacteroidia, _norank_f_norank_o_Clostridia_UCG-014, o_Clostridia_UCG-014, f_norank_o_Clostridia_UCG-014, f_Prevotellaceae, and g_Prevotella were pronounced in T_17, while c_Clostridia, o_Oscillospirales, and f_Ruminococcaceae were more predominant in T_28 (Figure 6B). On day 17, compared to the control group, the treated group showed higher relative abundance of f_Lachnospiraceae, o_Lachnospirales, g_Blautia, g_Catenibacillus, and g_Sutterella (Figure 7A). Additionally, no taxa in the control group exhibited LDA values exceeding 4.0. c_Bacilli, g_Solobacterium, g_Romboutsia, g_Anaerofustis, and o_Eubacteriales were enriched in C_28, while c_Clostridia, o_Lachnospirales, f_Lachnospiraceae g_Peptoclostridium, and g_Blautia were significantly more abundant in T_28 (Figure 7B).

3.3. Functional Genes

The presence or absence of functional additives resulted in different expressions of functional genes (p < 0.05). As shown in Figure 8, when evaluating only the effects of the diets, an enrichment in epithelial cell signaling in Helicobacter pylori infection, NOD-like receptor signaling pathway, Salmonella infection, and peptidoglycan biosynthesis pathway were observed in the feces of control group on day 14, while the treated group exhibited enrichment mainly in glycerolipid metabolism, fructose and mannose metabolism, pentose phosphate, and the peptidoglycan biosynthesis pathway. On day 17, the control group showed enrichment in pathways related to arachidonic acid metabolism, D-glutamine and D-glutamate metabolism, and aminoacyl-tRNA biosynthesis, whereas the treated group displayed enrichment mainly in the arginine biosynthesis, quorum sensing, and ABC transporters pathways. Furthermore, on day 28, an enrichment in pathways such as the citrate cycle and aminoacyl-tRNA biosynthesis pathways was observed in the control group, while the treated group demonstrated enrichment mainly in the pentose and glucuronate interconversion and propanoate metabolism pathways.

4. Discussion

We investigated the effects of heat-treated Bifidobacterium longum CECT-7347 combined with Fibersol-2 on gastrointestinal tract stability in adult cats undergoing a diet transition from an LPF diet to an HPF diet. The hypothesis of the study was that the treated group, receiving heat-treated Bifidobacterium longum CECT-7347 combined with Fibersol-2, would exhibit a greater ability to adapt to the new diet composition. Our results showed that, before the diet transition, all indices except for LPS were unaffected by supplementation of functional additives. After the abrupt dietary change, all measurements except for pH, LPS, and sIgA concentration remained unchanged, and the functional additives significantly increased the abundance of beneficial bacteria like Actinobacteria and Blautia in the treated group.
In the present study, the pH values of feces significantly increased in both groups of cats after abrupt dietary change, which is consistent with results observed in humans and dogs [17,18]. This may be attributed to the association between high pH values and protein hydrolysis metabolism [19]. However, Taís Silvino and colleagues [20] reached the opposite conclusion, and the decrease in fecal pH observed in dogs on the HPF diet was accompanied by a decrease in the fecal concentration of short-chain fatty acids (SCFAs). In our study, while both groups showed a rise in fecal pH, the treated group displayed a notably lower fecal pH compared to the control group, possibly explained by the higher levels of Blautia. Blautia, a beneficial bacterium, produces organic acids such as lactic acid, thereby regulating intestinal pH levels [21].
CALP and MPO are commonly utilized as markers for intestinal inflammation [21,22]. Our findings indicate that MPO did not exhibit statistically significant differences, which may be attributed to its poor stability in feces. Another plausible explanation could be the lack of direct correlation between MPO activity and its expression levels. Selecting assays that assess enzymatic activity rather than relying on available sandwich ELISA might provide a more accurate evaluation of intestinal inflammatory status [22]. In the early stages following dietary change (day 17), both groups of treated animals exhibited a significant increase in fecal CALP levels, suggesting onset of intestinal inflammation due to the dietary change [23], with no differences observed between the groups. Notably, different concentrations of Bifidobacterium longum significantly affected CALP measurements [24], indicating that higher additive doses do not necessarily result in better anti-inflammatory effects. This suggests that further experiments are needed to determine the optimal dosage of functional additives for significantly alleviating intestinal inflammation. Consistent with our results, children also showed a significant increase in CALP after short-term RMD treatment [25]. RMD mainly improves animal health by modulating the composition of the gut microbiota. In our experiment, the use of functional additives did improve the composition of the gut microbiota, but this did not include microbes with obvious anti-inflammatory effects, except for Blautia, which has some anti-inflammatory properties but seems insufficient to counteract the intestinal inflammation caused by abrupt dietary change [26].
Under normal conditions, LPS remains primarily within the intestine, confined by the intestinal barrier. If this barrier is compromised or permeability increases, LPS may enter the bloodstream, resulting in elevated serum levels [27,28]. During the initial phase of dietary transition, the levels of LPS significantly increased in both groups, possibly due to disruption of intestinal barrier function caused by dietary change [29]. Throughout the entire experiment, the levels of LPS in the treated group were significantly lower than those in the control group, indicating that the additives could significantly reduce the levels of LPS in feline plasma, thereby accelerating restoration of intestinal barrier function impaired by dietary transition. Consistent with our findings, Dong-Yun Lee isolated Lactobacillus plantarum NK151 and Bifidobacterium longum NK173 from a human fecal bacteria collection, which inhibited Escherichia coli LPS production [30]. Additionally, resistant dextrin has beneficial effects in improving disruption of the intestinal epithelial barrier [31,32]. On the other hand, the ratio of Gram-positive to Gram-negative bacteria in the intestine also influences the detectable levels of LPS [27]. Subsequent analysis of intestinal microbiota revealed a consistent correlation between changes in the abundance of Bacteroidetes and variations in LPS concentration. Therefore, we speculate that functional additives may improve intestinal microbiota composition, thereby restoring intestinal mucosal barrier function and suppressing serum LPS levels [33,34].
sIgA stands as a cornerstone within mucosal immunity, acting as a pivotal defense mechanism against infections and playing an indispensable role in protecting the body from pathogen infiltration [35]. Our study revealed that fecal sIgA in the treated group was significantly higher than that in the control group (p < 0.05). Consistent with our findings, [36] demonstrates that the intake of grain-derived RS by cats enhances sIgA production. Experiments conducted in human infants [37] and mice [23] also indicate a positive impact of Bifidobacterium on sIgA production. In conclusion, cats may benefit from the use of heat-treated Bifidobacterium longum in combination with Fibersol-2 to support intestinal immune function.
Upon analyzing the α and β diversity, it becomes evident that, following the dietary change, both groups exhibited a notable increase in the richness and evenness of their fecal microbiota. Moreover, significant disparities in the intestinal microbiota structure were observed, attributed to dietary modification and functional additives, aligning with prior research [19,38]; specifically, a high-protein diet may stimulate microbes to utilize mucin as a nutrient source, thereby increasing the availability of specific substrates such as amino acids, dipeptides, and their metabolites. This process could enhance the diversity and richness of the intestinal microbiota [19].
The phylum Firmicutes, representing more than 60% of the bacteria in feline feces, stands as the dominant bacterial phylum, consistent with the findings of previous research [39]. However, contrary to previous studies [40,41], the lower abundance of Bacteroidetes observed in this study may be influenced by dietary differences. Following the dietary change, there was a decline in the abundance of the Firmicutes phylum, while Bacteroidetes exhibited an opposite trend. This shift could be attributed to the potential contribution of a high-protein diet, which may increase the availability of substrates favoring the growth of Bacteroidetes over Firmicutes [19,42]. However, on day 28, we observed an increasing trend in the relative abundance of Firmicutes, which could be explained by the effect of RMD, as indicated by previous research [43,44], Another possible factor is the production of lactate by Bifidobacterium longum, which can be utilized by members of Lachnospiraceae, thereby stimulating their proliferation [45].
Actinobacteria [46], particularly Bifidobacterium [47], plays a pivotal role in maintaining intestinal equilibrium and fortifying intestinal barrier function. In this study, Collinsella, rather than Bifidobacterium, emerged as the dominant genus within the Actinobacteria phylum in the feces of cats. In patients with irritable bowel syndrome (IBS), the abundance of Collinsella typically decreases [48], while it increases in individuals with improved symptoms, often accompanied by a reduction in pain [49]. In cats, there is evidence suggesting that Collinsella is linked to improved fecal scores following a therapeutic response to diet [50]. Although the cats in our study did not show significant diarrhea after the dietary transition, changes in pH, CALP, and LPS levels suggest an imbalance in the intestinal tract post-transition. However, the use of functional additives helped alleviate intestinal disruption.
Blautia is a beneficial bacterium that produces organic acids like lactic acid, contributing to intestinal pH regulation and inhibiting harmful bacterial growth. It plays a role in regulating host health and alleviating metabolic syndrome [51]. Previous studies have confirmed a negative correlation between the levels of intestinal Blautia and obesity [52,53]. In individuals effectively losing weight, Blautia becomes a dominant genus of bacteria [54]. Blautia may assist in weight loss by regulating intestinal regulatory T cells and producing SCFAs, thus alleviating obesity-related inflammation [55]. Similarly, analysis of the fecal and mucosal microbial communities in patients diagnosed with inflammatory bowel disease and colorectal cancer consistently indicate a marked decrease in Blautia abundance [55,56]. Therefore, the significant increase in Blautia abundance observed in this experiment suggests superior intestinal health status in the treated group compared to the control group. It is worth noting that not all inflammatory bowel diseases are negatively correlated with Blautia abundance; studies have reported higher levels of Blautia in patients with IBS. Due to the fact that patients with IBS are often advised to modulate carbohydrate intake, such as following diets low in fermentable oligosaccharides, disaccharides, monosaccharides, and polyols [57], which typically include indigestible carbohydrates [58], it is likely that the higher levels of Blautia observed in patients with IBS are due to Blautia’s ability to ferment resistant starch as a substrate [59].
Further analysis using LEfSe indicated an increase in Parasutterella abundance in the control group following the dietary transition. Parasutterella is associated with the onset and progression of conditions such as IBS and chronic inflammation [60]. Beneficial bacteria [51] such as Lachnospiraceae, Lachnospirales, and Blautia were enriched in the treated group, indicating a possible protective effect of the functional additives against potential pathogenic bacteria and promoting colonization with beneficial bacteria.
In the present study, functional analysis of the intestinal microbiome identified upregulation of genes related to colonization by pathogenic bacteria, such as epithelial cell signaling in Helicobacter pylori infection and Salmonella infection, only in the control group. Salmonella has been verified as a pathogenic factor that contributes to chronic inflammation and carcinogenesis [61]. Helicobacter pylori is implicated in colorectal cancer [62] and gastric carcinogenesis [63]. Moreover, pathways implicated in inflammation, such as arachidonic acid metabolism [64], alongside those pertinent to the establishment of pathogenic bacterial populations, such as D-glutamine and D-glutamate metabolism, exhibited heightened activation [65].
Conversely, in the treated group, the upregulated genes primarily pertained to lipid biosynthesis, carbohydrate metabolism and uptake, and amino acid biosynthesis. On day 28, genes associated with propionate metabolism were enriched in the treated group. Propionate plays a vital role in maintaining intestinal homeostasis by enhancing mucin secretion, strengthening intestinal barrier function, protecting the intestinal mucosa [66], and inhibiting the expression of virulence invasion genes of Salmonella [67]. These genes may contribute to improving gastrointestinal function. However, given the intricate interactions within the gastrointestinal tract, it is imperative to conduct additional metagenomic studies to gain a deeper understanding of these mechanisms.

5. Conclusions

Throughout the experiment, abrupt dietary change in cats resulted in intestinal inflammation, compromised intestinal barrier function, and led to dysbiosis. However, the use of heat-treated Bifidobacterium longum combined with Fibersol-2 ameliorated gastrointestinal functionality in cats by reducing serum LPS and fecal pH levels, while increasing fecal sIgA levels. Furthermore, the functional additive also regulated the intestinal microbiota and its functionality, fostering intestinal homeostasis and colonization with beneficial bacteria such as Blautia. In summary, the addition of heat-treated Bifidobacterium longum combined with Fibersol-2 contributes to improving the intestinal health of adult cats affected by abrupt dietary change. However, further studies with longer experimental periods and more replicates are necessary to validate these potential impacts.

Author Contributions

Study conceptualization, Z.X. and S.C.; investigation and methodology, S.G., Q.P., L.T. and F.W.; data curation, F.W. and S.G.; project administration, supervision, and validation, Z.X. and S.C.; writing original draft, F.W. writing-review and editing, Z.X., S.C. and S.G. All authors have read and agreed to the published version of the manuscript.

Funding

The authors extend their appreciation to the ADM (Shanghai) Management Co., Ltd. for funding this research.

Institutional Review Board Statement

The study was conducted in accordance with the Declaration of Helsinki and approved by the Laboratory Animal Welfare and Animal Experimental Ethical Review Committee of China Agriculture University under permit No. Aw31503202-2-1.

Informed Consent Statement

Not applicable.

Data Availability Statement

The original contributions presented in the study are included in the article, further inquiries can be directed to the corresponding author.

Conflicts of Interest

Authors Qianqian Peng and Lili Tan are employed by ADM (Shanghai) Management Co., Ltd. The funders had no role in the collection, analyses, or interpretation of data; in the writing of the manuscript; or in the decision to publish the results. The authors declare no conflicts of interest.

Appendix A

FSDetails
1Hard dry and crumbly; bullet-like
1.5Hard and dry
2Well formed; does not leave a mark when picked up; kickable
2.5Well formed, with a slightly moist surface, which leaves a mark when picked up; almost sticky to touch
3Moist, beginning to lose form, leaving a definite mark when picked up
3.5Very moist, but still has some definite form
4The majority, if not all the form is lost; poor consistency; viscous
4.5Diarrhea, with some areas of consistency
5Watery diarrhea

References

  1. Plantinga, E.A.; Bosch, G.; Hendriks, W.H. Estimation of the dietary nutrient profile of free-roaming feral cats: Possible implications for nutrition of domestic cats. Br. J. Nutr. 2011, 106, S35–S48. [Google Scholar] [CrossRef] [PubMed]
  2. Deng, P.; Swanson, K.S. Gut microbiota of humans, dogs and cats: Current knowledge and future opportunities and challenges. Br. J. Nutr. 2015, 113 (Suppl. 1), S6–S17. [Google Scholar] [CrossRef] [PubMed]
  3. Taverniti, V.; Guglielmetti, S. The immunomodulatory properties of probiotic microorganisms beyond their viability (ghost probiotics: Proposal of paraprobiotic concept). Genes Nutr. 2011, 6, 261–274. [Google Scholar] [CrossRef]
  4. Ben Othman, M.; Sakamoto, K. Effect of inactivated intake on obese diabetes model mice (TSOD). Food Res. Int. 2020, 129, 108792. [Google Scholar] [CrossRef] [PubMed]
  5. Matei, M.C.; Buza, V.; Neagu, D.; Popovici, C.P.; Szakacs, A.R.; Ștefanut, L.C. Does the probiotic combination of bacillus subtilis, bacillus licheniformis And pediococcus acidilactici influence the biochemical parameters on healthy dogs? A pilot study. Lucr. Ştiinţifice Ser. Med. Vet. 2020, 53, 36–47. [Google Scholar]
  6. Matei, M.C.; Haab, H.; Buz, V.; Lațiu, C.; Szakacs, A.R.; Ștefănuț, L.C. Are probiotics an effective treatment in acute enteropathies in dogs? A literature review. Anim. Biol. Anim. Husb. 2021, 13, 4–13. [Google Scholar]
  7. Besselink, M.G.; van Santvoort, H.C.; Buskens, E.; Boermeester, M.A.; van Goor, H.; Timmerman, H.M.; Nieuwenhuijs, V.B.; Bollen, T.L.; van Ramshorst, B.; Witteman, B.J.; et al. Probiotic prophylaxis in predicted severe acute pancreatitis: A randomised, double-blind, placebo-controlled trial. Lancet 2008, 371, 651–659. [Google Scholar] [CrossRef]
  8. Yelin, I.; Flett, K.B.; Merakou, C.; Mehrotra, P.; Stam, J.; Snesrud, E.; Hinkle, M.; Lesho, E.; McGann, P.; McAdam, A.J.; et al. Genomic and epidemiological evidence of bacterial transmission from probiotic capsule to blood in ICU patients. Nat. Med. 2019, 25, 1728–1732. [Google Scholar] [CrossRef]
  9. Sawada, D.; Sugawara, T.; Ishida, Y.; Aihara, K.; Aoki, Y.; Takehara, I.; Takano, K.; Fujiwara, S. Effect of continuous ingestion of a beverage prepared with CP2305 inactivated by heat treatment on the regulation of intestinal function. Food Res. Int. 2016, 79, 33–39. [Google Scholar] [CrossRef]
  10. Prasanna, P.H.P.; Grandison, A.S.; Charalampopoulos, D. Bifidobacteria in milk products: An overview of physiological and biochemical properties, exopolysaccharide production, selection criteria of milk products and health benefits. Food Res. Int. 2014, 55, 247–262. [Google Scholar] [CrossRef]
  11. Niu, X.K.; Yin, X.D.; Wu, X.Y.; Zhang, Q.; Jiang, Y.Y.; He, J.J.; Zhao, Y.Y.; Zhang, C.; Ren, Y.M.; Lai, M.X.; et al. Heat-Killed BBMN68 in Pasteurized Yogurt Alleviates Mugwort Pollen-Induced Allergic Airway Responses through Gut Microbiota Modulation in a Murine Model. Foods 2023, 12, 2049. [Google Scholar] [CrossRef] [PubMed]
  12. Zhang, Y.; Cao, T.; Wang, Y.; Yang, R.; Han, Y.; Li, S.; Liu, D.; Yue, Y.; Cao, Y.; Li, B.; et al. Effects of Viable and Heat-Inactivated Bifidobacterium longum D42 on Proliferation and Apoptosis of HT-29 Human Colon Cancer Cells. Foods 2024, 13, 958. [Google Scholar] [CrossRef] [PubMed]
  13. Wlodarczyk, M.; Slizewska, K. Efficiency of Resistant Starch and Dextrins as Prebiotics: A Review of the Existing Evidence and Clinical Trials. Nutrients 2021, 13, 3808. [Google Scholar] [CrossRef] [PubMed]
  14. So, E.Y.; Ouchi, M.; Cuesta-Sancho, S.; Olson, S.L.; Reif, D.; Shimomura, K.; Ouchi, T. Tumor suppression by resistant maltodextrin, Fibersol-2. Cancer Biol. Ther. 2015, 16, 460–465. [Google Scholar] [CrossRef]
  15. Burns, A.M.; Solch, R.J.; Dennis-Wall, J.C.; Ukhanova, M.; Nieves, C.; Mai, V.; Christman, M.C.; Gordon, D.T.; Langkamp-Henken, B. In healthy adults, resistant maltodextrin produces a greater change in fecal bifidobacteria counts and increases stool wet weight: A double-blind, randomized, controlled crossover study. Nutr. Res. 2018, 60, 33–42. [Google Scholar] [CrossRef]
  16. Fastinger, N.D.; Karr-Lilienthal, L.K.; Spears, J.K.; Swanson, K.S.; Zinn, K.E.; Nava, G.M.; Ohkuma, K.; Kanahori, S.; Gordon, D.T.; Fahey, G.C. A novel resistant maltodextrin alters gastrointestinal tolerance factors, fecal characteristics, and fecal microbiota in healthy adult humans. J. Am. Coll. Nutr. 2008, 27, 356–366. [Google Scholar] [CrossRef] [PubMed]
  17. Hang, I.; Heilmann, R.M.; Grützner, N.; Suchodolski, J.S.; Steiner, J.M.; Atroshi, F.; Sankari, S.; Kettunen, A.; de Vos, W.M.; Zentek, J.; et al. Impact of diets with a high content of greaves-meal protein or carbohydrates on faecal characteristics, volatile fatty acids and faecal calprotectin concentrations in healthy dogs. BMC Vet. Res. 2013, 9, 201. [Google Scholar] [CrossRef] [PubMed]
  18. Szurkowska, J.; Wiacek, J.; Laparidis, K.; Karolkiewicz, J. A Comparative Study of Selected Gut Bacteria Abundance and Fecal pH in Bodybuilders Eating High-Protein Diet and More Sedentary Controls. Nutrients 2021, 13, 4093. [Google Scholar] [CrossRef]
  19. Badri, D.V.; Jackson, M.I.; Jewell, D.E. Dietary Protein and Carbohydrate Levels Affect the Gut Microbiota and Clinical Assessment in Healthy Adult Cats. J. Nutr. 2021, 151, 3637–3650. [Google Scholar] [CrossRef]
  20. Bastos, T.S.; Souza, C.M.M.; Legendre, H.; Richard, N.; Pilla, R.; Suchodolski, J.S.; de Oliveira, S.G.; Lesaux, A.A.; Félix, A.P. Effect of Yeast Saccharomyces cerevisiae as a Probiotic on Diet Digestibility, Fermentative Metabolites, and Composition and Functional Potential of the Fecal Microbiota of Dogs Submitted to an Abrupt Dietary Change. Microorganisms 2023, 11, 506. [Google Scholar] [CrossRef]
  21. Khaki-Khatibi, F.; Qujeq, D.; Kashifard, M.; Moein, S.; Maniati, M.; Vaghari-Tabari, M. Calprotectin in inflammatory bowel disease. Clin. Chim. Acta 2020, 510, 556–565. [Google Scholar] [CrossRef] [PubMed]
  22. Hanning, N.; De Man, J.G.; De Winter, B.Y. Measuring Myeloperoxidase Activity as a Marker of Inflammation in Gut Tissue Samples of Mice and Rat. Bio Protoc. 2023, 13, e4758. [Google Scholar] [CrossRef] [PubMed]
  23. Abrantes, F.A.; Nascimento, B.B.; Andrade, M.E.R.; de Barros, P.A.V.; Cartelle, C.T.; Martins, F.S.; Nicoli, J.R.; Arantes, R.M.E.; Generoso, S.V.; Fernandes, S.O.A.; et al. Treatment with Bifidobacterium longum 5(1A) attenuates intestinal damage and inflammatory response in experimental colitis. Benef. Microbes 2020, 11, 47–57. [Google Scholar] [CrossRef] [PubMed]
  24. Bosheva, M.; Tokodi, I.; Krasnow, A.; Pedersen, H.K.; Lukjancenko, O.; Eklund, A.C.; Grathwohl, D.; Sprenger, N.; Berger, B.; Cercamondi, C.I.; et al. Infant Formula With a Specific Blend of Five Human Milk Oligosaccharides Drives the Gut Microbiota Development and Improves Gut Maturation Markers: A Randomized Controlled Trial. Front. Nutr. 2022, 9, 920362. [Google Scholar] [CrossRef] [PubMed]
  25. Ordiz, M.I.; May, T.D.; Mihindukulasuriya, K.; Martin, J.; Crowley, J.; Tarr, P.I.; Ryan, K.; Mortimer, E.; Gopalsamy, G.; Maleta, K.; et al. The effect of dietary resistant starch type 2 on the microbiota and markers of gut inflammation in rural Malawi children. Microbiome 2015, 3, 37. [Google Scholar] [CrossRef] [PubMed]
  26. Hosomi, K.; Saito, M.; Park, J.; Murakami, H.; Shibata, N.; Ando, M.; Nagatake, T.; Konishi, K.; Ohno, H.; Tanisawa, K.; et al. Oral administration of Blautia wexlerae ameliorates obesity and type 2 diabetes via metabolic remodeling of the gut microbiota. Nat. Commun. 2022, 13, 4477. [Google Scholar] [CrossRef] [PubMed]
  27. Guerville, M.; Boudry, G. Gastrointestinal and hepatic mechanisms limiting entry and dissemination of lipopolysaccharide into the systemic circulation. Am. J. Physiol. Gastrointest. Liver Physiol. 2016, 311, G1–G15. [Google Scholar] [CrossRef] [PubMed]
  28. Hollander, D.; Kaunitz, J.D. The “Leaky Gut”: Tight Junctions but Loose Associations? Dig. Dis. Sci. 2020, 65, 1277–1287. [Google Scholar] [CrossRef]
  29. Liao, P.; Yang, K.; Huang, H.; Xin, Z.; Jian, S.; Wen, C.; He, S.; Zhang, L.; Deng, B. Abrupt Dietary Change and Gradual Dietary Transition Impact Diarrheal Symptoms, Fecal Fermentation Characteristics, Microbiota, and Metabolic Profile in Healthy Puppies. Animals 2023, 13, 1300. [Google Scholar] [CrossRef]
  30. Lee, D.Y.; Shin, Y.J.; Kim, J.K.; Jang, H.M.; Joo, M.K.; Kim, D.H. Alleviation of cognitive impairment by gut microbiota lipopolysaccharide production-suppressing Lactobacillus plantarum and Bifidobacterium longum in mice. Food Funct. 2021, 12, 10750–10763. [Google Scholar] [CrossRef] [PubMed]
  31. Perreau, C.; Thabuis, C.; Verstrepen, L.; Ghyselinck, J.; Marzorati, M. Ex Vivo Colonic Fermentation of NUTRIOSE(®) Exerts Immuno-Modulatory Properties and Strong Anti-Inflammatory Effects. Nutrients 2023, 15, 4229. [Google Scholar] [CrossRef] [PubMed]
  32. Hann, M.; Zeng, Y.; Zong, L.; Sakurai, T.; Taniguchi, Y.; Takagaki, R.; Watanabe, H.; Mitsuzumi, H.; Mine, Y. Anti-Inflammatory Activity of Isomaltodextrin in a C57BL/6NCrl Mouse Model with Lipopolysaccharide-Induced Low-Grade Chronic Inflammation. Nutrients 2019, 11, 2791. [Google Scholar] [CrossRef] [PubMed]
  33. Alisi, A.; Bedogni, G.; Baviera, G.; Giorgio, V.; Porro, E.; Paris, C.; Giammaria, P.; Reali, L.; Anania, F.; Nobili, V. Randomised clinical trial: The beneficial effects of VSL#3 in obese children with non-alcoholic steatohepatitis. Aliment. Pharmacol. Ther. 2014, 39, 1276–1285. [Google Scholar] [CrossRef]
  34. Vallianou, N.; Christodoulatos, G.S.; Karampela, I.; Tsilingiris, D.; Magkos, F.; Stratigou, T.; Kounatidis, D.; Dalamaga, M. Understanding the Role of the Gut Microbiome and Microbial Metabolites in Non-Alcoholic Fatty Liver Disease: Current Evidence and Perspectives. Biomolecules 2021, 12, 56. [Google Scholar] [CrossRef]
  35. Li, Y.; Jin, L.; Chen, T. The Effects of Secretory IgA in the Mucosal Immune System. Biomed. Res. Int. 2020, 2020, 2032057. [Google Scholar] [CrossRef]
  36. Jackson, M.I.; Waldy, C.; Jewell, D.E. Dietary resistant starch preserved through mild extrusion of grain alters fecal microbiome metabolism of dietary macronutrients while increasing immunoglobulin A in the cat. PLoS ONE 2020, 15, e0241037. [Google Scholar] [CrossRef] [PubMed]
  37. Xiao, L.; Gong, C.; Ding, Y.; Ding, G.; Xu, X.; Deng, C.; Ze, X.; Malard, P.; Ben, X. Probiotics maintain intestinal secretory immunoglobulin A levels in healthy formula-fed infants: A randomised, double-blind, placebo-controlled study. Benef. Microbes 2019, 10, 729–739. [Google Scholar] [CrossRef]
  38. Summers, S.; Quimby, J.; Gagné, J.; Lappin, M. The Effect of Dietary Protein Concentration on the Fecal Microbiome and Serum Concentrations of Gut-Derived Uremic Toxins in Healthy Adult Cats. Vet. Sci. 2023, 10, 497. [Google Scholar] [CrossRef]
  39. Deusch, O.; O’Flynn, C.; Colyer, A.; Morris, P.; Allaway, D.; Jones, P.G.; Swanson, K.S. Deep Illumina-based shotgun sequencing reveals dietary effects on the structure and function of the fecal microbiome of growing kittens. PLoS ONE 2014, 9, e101021. [Google Scholar] [CrossRef]
  40. Ritchie, L.E.; Steiner, J.M.; Suchodolski, J.S. Assessment of microbial diversity along the feline intestinal tract using 16S rRNA gene analysis. FEMS Microbiol. Ecol. 2008, 66, 590–598. [Google Scholar] [CrossRef]
  41. Bai, H.; Liu, T.; Wang, S.; Gong, W.; Shen, L.; Zhang, S.; Wang, Z. Identification of Gut Microbiome and Metabolites Associated with Acute Diarrhea in Cats. Microbiol. Spectr. 2023, 11, e0059023. [Google Scholar] [CrossRef] [PubMed]
  42. Honneffer, J.B.; Minamoto, Y.; Suchodolski, J.S. Microbiota alterations in acute and chronic gastrointestinal inflammation of cats and dogs. World J. Gastroenterol. 2014, 20, 16489–16497. [Google Scholar] [CrossRef] [PubMed]
  43. Moreno-Pérez, D.; Bressa, C.; Bailén, M.; Hamed-Bousdar, S.; Naclerio, F.; Carmona, M.; Pérez, M.; González-Soltero, R.; Montalvo-Lominchar, M.G.; Carabaña, C.; et al. Effect of a Protein Supplement on the Gut Microbiota of Endurance Athletes: A Randomized, Controlled, Double-Blind Pilot Study. Nutrients 2018, 10, 337. [Google Scholar] [CrossRef] [PubMed]
  44. Sun, Y.; Zhang, S.; Nie, Q.; He, H.; Tan, H.; Geng, F.; Ji, H.; Hu, J.; Nie, S. Gut firmicutes: Relationship with dietary fiber and role in host homeostasis. Crit. Rev. Food Sci. Nutr. 2023, 63, 12073–12088. [Google Scholar] [CrossRef] [PubMed]
  45. Belenguer, A.; Duncan, S.H.; Calder, A.G.; Holtrop, G.; Louis, P.; Lobley, G.E.; Flint, H.J. Two routes of metabolic cross-feeding between Bifidobacterium adolescentis and butyrate-producing anaerobes from the human gut. Appl. Environ. Microbiol. 2006, 72, 3593–3599. [Google Scholar] [CrossRef] [PubMed]
  46. Binda, C.; Lopetuso, L.R.; Rizzatti, G.; Gibiino, G.; Cennamo, V.; Gasbarrini, A. Actinobacteria: A relevant minority for the maintenance of gut homeostasis. Dig. Liver Dis. 2018, 50, 421–428. [Google Scholar] [CrossRef] [PubMed]
  47. Turroni, F.; van Sinderen, D.; Ventura, M. Genomics and ecological overview of the genus Bifidobacterium. Int. J. Food Microbiol. 2011, 149, 37–44. [Google Scholar] [CrossRef] [PubMed]
  48. Kassinen, A.; Krogius-Kurikka, L.; Mäkivuokko, H.; Rinttilä, T.; Paulin, L.; Corander, J.; Malinen, E.; Apajalahti, J.; Palva, A. The fecal microbiota of irritable bowel syndrome patients differs significantly from that of healthy subjects. Gastroenterology 2007, 133, 24–33. [Google Scholar] [CrossRef]
  49. Gargari, G.; Mantegazza, G.; Cremon, C.; Taverniti, V.; Valenza, A.; Barbaro, M.R.; Marasco, G.; Duncan, R.; Fiore, W.; Ferrari, R.; et al. Collinsella aerofaciens as a predictive marker of response to probiotic treatment in non-constipated irritable bowel syndrome. Gut Microbes 2024, 16, 2298246. [Google Scholar] [CrossRef]
  50. Ramadan, Z.; Xu, H.; Laflamme, D.; Czarnecki-Maulden, G.; Li, Q.J.; Labuda, J.; Bourqui, B. Fecal microbiota of cats with naturally occurring chronic diarrhea assessed using 16S rRNA gene 454-pyrosequencing before and after dietary treatment. J. Vet. Intern. Med. 2014, 28, 59–65. [Google Scholar] [CrossRef]
  51. Liu, X.; Mao, B.; Gu, J.; Wu, J.; Cui, S.; Wang, G.; Zhao, J.; Zhang, H.; Chen, W. Blautia-a new functional genus with potential probiotic properties? Gut Microbes 2021, 13, 1875796. [Google Scholar] [CrossRef]
  52. Zhu, L.; Baker, S.S.; Gill, C.; Liu, W.; Alkhouri, R.; Baker, R.D.; Gill, S.R. Characterization of gut microbiomes in nonalcoholic steatohepatitis (NASH) patients: A connection between endogenous alcohol and NASH. Hepatology 2013, 57, 601–609. [Google Scholar] [CrossRef]
  53. Ozato, N.; Saito, S.; Yamaguchi, T.; Katashima, M.; Tokuda, I.; Sawada, K.; Katsuragi, Y.; Kakuta, M.; Imoto, S.; Ihara, K.; et al. Blautia genus associated with visceral fat accumulation in adults 20–76 years of age. NPJ Biofilms Microbiomes 2019, 5, 28. [Google Scholar] [CrossRef]
  54. Song, M.Y.; Kim, B.S.; Kim, H. Influence of Panax ginseng on obesity and gut microbiota in obese middle-aged Korean women. J. Ginseng Res. 2014, 38, 106–115. [Google Scholar] [CrossRef] [PubMed]
  55. Chen, W.; Liu, F.; Ling, Z.; Tong, X.; Xiang, C. Human intestinal lumen and mucosa-associated microbiota in patients with colorectal cancer. PLoS ONE 2012, 7, e39743. [Google Scholar] [CrossRef]
  56. Chen, L.; Wang, W.; Zhou, R.; Ng, S.C.; Li, J.; Huang, M.; Zhou, F.; Wang, X.; Shen, B.; Michael, A.K.; et al. Characteristics of fecal and mucosa-associated microbiota in Chinese patients with inflammatory bowel disease. Medicine 2014, 93, e51. [Google Scholar] [CrossRef] [PubMed]
  57. Halmos, E.P.; Power, V.A.; Shepherd, S.J.; Gibson, P.R.; Muir, J.G. A diet low in FODMAPs reduces symptoms of irritable bowel syndrome. Gastroenterology 2014, 146, 67–75.e65. [Google Scholar] [CrossRef]
  58. Gibson, P.R.; Varney, J.; Malakar, S.; Muir, J.G. Food components and irritable bowel syndrome. Gastroenterology 2015, 148, 1158–1174.e1154. [Google Scholar] [CrossRef]
  59. Laverde Gomez, J.A.; Mukhopadhya, I.; Duncan, S.H.; Louis, P.; Shaw, S.; Collie-Duguid, E.; Crost, E.; Juge, N.; Flint, H.J. Formate cross-feeding and cooperative metabolic interactions revealed by transcriptomics in co-cultures of acetogenic and amylolytic human colonic bacteria. Environ. Microbiol. 2019, 21, 259–271. [Google Scholar] [CrossRef] [PubMed]
  60. Chen, Y.J.; Wu, H.; Wu, S.D.; Lu, N.; Wang, Y.T.; Liu, H.N.; Dong, L.; Liu, T.T.; Shen, X.Z. Parasutterella, in association with irritable bowel syndrome and intestinal chronic inflammation. J. Gastroenterol. Hepatol. 2018, 33, 1844–1852. [Google Scholar] [CrossRef] [PubMed]
  61. Zha, L.; Garrett, S.; Sun, J. Salmonella Infection in Chronic Inflammation and Gastrointestinal Cancer. Diseases 2019, 7, 28. [Google Scholar] [CrossRef] [PubMed]
  62. Ralser, A.; Dietl, A.; Jarosch, S.; Engelsberger, V.; Wanisch, A.; Janssen, K.P.; Middelhoff, M.; Vieth, M.; Quante, M.; Haller, D.; et al. Helicobacter pylori promotes colorectal carcinogenesis by deregulating intestinal immunity and inducing a mucus-degrading microbiota signature. Gut 2023, 72, 1258–1270. [Google Scholar] [CrossRef] [PubMed]
  63. Nabavi-Rad, A.; Yadegar, A.; Sadeghi, A.; Aghdaei, H.A.; Zali, M.R.; Klionsky, D.J.; Yamaoka, Y. The interaction between autophagy, Helicobacter pylori, and gut microbiota in gastric carcinogenesis. Trends Microbiol. 2023, 31, 1024–1043. [Google Scholar] [CrossRef] [PubMed]
  64. Rahman, M.M.; Borthakur, A.; Afroz, S.; Arthur, S.; Sundaram, U. Unique Regulation of Intestinal Villus Epithelial Cl(-)/HCO(3)(-) Exchange by Cyclooxygenase Pathway Metabolites of Arachidonic Acid in a Mouse Model of Spontaneous Ileitis. Int. J. Mol. Sci. 2021, 22, 4171. [Google Scholar] [CrossRef] [PubMed]
  65. Dai, X.; Gu, Y.; Guo, J.; Huang, L.; Cheng, G.; Peng, D.; Hao, H. Clinical Breakpoint of Apramycin to Swine Salmonella and Its Effect on Ileum Flora. Int. J. Mol. Sci. 2022, 23, 1424. [Google Scholar] [CrossRef]
  66. Duan, C.; Wu, J.; Wang, Z.; Tan, C.; Hou, L.; Qian, W.; Han, C.; Hou, X. Fucose promotes intestinal stem cell-mediated intestinal epithelial development through promoting Akkermansia-related propanoate metabolism. Gut Microbes 2023, 15, 2233149. [Google Scholar] [CrossRef]
  67. Lawhon, S.D.; Maurer, R.; Suyemoto, M.; Altier, C. Intestinal short-chain fatty acids alter Salmonella typhimurium invasion gene expression and virulence through BarA/SirA. Mol. Microbiol. 2002, 46, 1451–1464. [Google Scholar] [CrossRef]
Figure 1. Experimental design and timeline. British shorthair cats were divided into two groups. Body weight data, serum, and feces samples were collected on day 0, day 14, day 17, day 21, and day 28.
Figure 1. Experimental design and timeline. British shorthair cats were divided into two groups. Body weight data, serum, and feces samples were collected on day 0, day 14, day 17, day 21, and day 28.
Animals 14 02179 g001
Figure 2. (A) DM, (B) FS, (C) Fecal pH, (D) sIgA, (E) LPS, (F) DAO, (G) CALP, (H) MPO in cats with or without functional additives; The red line indicates the changes in the parameters for the control group cats, while the green line indicates the changes in the parameters for the treated group cats.; Different superscript letters indicated significant difference (p < 0.05), while the same superscript letters indicated no significant difference (p > 0.05).
Figure 2. (A) DM, (B) FS, (C) Fecal pH, (D) sIgA, (E) LPS, (F) DAO, (G) CALP, (H) MPO in cats with or without functional additives; The red line indicates the changes in the parameters for the control group cats, while the green line indicates the changes in the parameters for the treated group cats.; Different superscript letters indicated significant difference (p < 0.05), while the same superscript letters indicated no significant difference (p > 0.05).
Animals 14 02179 g002
Figure 3. (A) PCoA of the composition of the bacterial communities of the control and treated groups on day 14. (B) PCoA of the composition of the bacterial communities of the control and treated groups on day 17. (C) PCoA of the composition of the bacterial communities of the control and treated groups on day 28. (D) PCoA of the composition of the bacterial communities of the control group on day 14, day17 and day 28. (E) PCoA of the composition of the bacterial communities of the treated group on day 14, day17 and day 28; C_14, cats of the control group on day 14, C_17, cats of the control group on day 17, C_28, cats of the control group on day 28, T_14, cats of the treated group on day 14, T_17, cats of the treated group on day 17, T_28, cats of the treated group on day 28. Each dot represents an animal. p-values between PCoA analyses are from ANOSIM analysis.
Figure 3. (A) PCoA of the composition of the bacterial communities of the control and treated groups on day 14. (B) PCoA of the composition of the bacterial communities of the control and treated groups on day 17. (C) PCoA of the composition of the bacterial communities of the control and treated groups on day 28. (D) PCoA of the composition of the bacterial communities of the control group on day 14, day17 and day 28. (E) PCoA of the composition of the bacterial communities of the treated group on day 14, day17 and day 28; C_14, cats of the control group on day 14, C_17, cats of the control group on day 17, C_28, cats of the control group on day 28, T_14, cats of the treated group on day 14, T_17, cats of the treated group on day 17, T_28, cats of the treated group on day 28. Each dot represents an animal. p-values between PCoA analyses are from ANOSIM analysis.
Animals 14 02179 g003
Figure 4. Firmicutes (A), Actinobacteria (B), and Bacteroidetes (C) in both groups on day 14, 17, and 28.
Figure 4. Firmicutes (A), Actinobacteria (B), and Bacteroidetes (C) in both groups on day 14, 17, and 28.
Animals 14 02179 g004
Figure 5. Peptoclostridium (A), Collinsella (B), Blautia (C), g__unclassified_f__Peptostreptococcaceae (D), and Subdoligranulum (E) in both groups after the change. a,b Different superscript letters indicated significant difference (p < 0.05), while the same superscript letters indicated no significant difference (p > 0.05).
Figure 5. Peptoclostridium (A), Collinsella (B), Blautia (C), g__unclassified_f__Peptostreptococcaceae (D), and Subdoligranulum (E) in both groups after the change. a,b Different superscript letters indicated significant difference (p < 0.05), while the same superscript letters indicated no significant difference (p > 0.05).
Animals 14 02179 g005
Figure 6. (A) Analysis of multilevel species differences of control group on day14, day 17 and day 28; (B) Analysis of multilevel species differences of treated group on day 17 and day 28; C_14, cats of the control group on day 14, C_17, cats of the control group on day 17, T_17, cats of the treated group on day 17, C_28, cats of the control group on day 28, T_28, cats of the treated group on day 28.
Figure 6. (A) Analysis of multilevel species differences of control group on day14, day 17 and day 28; (B) Analysis of multilevel species differences of treated group on day 17 and day 28; C_14, cats of the control group on day 14, C_17, cats of the control group on day 17, T_17, cats of the treated group on day 17, C_28, cats of the control group on day 28, T_28, cats of the treated group on day 28.
Animals 14 02179 g006
Figure 7. (A) Analysis of multilevel species differences between groups on day 17; (B) Analysis of multilevel species differences between groups on day 28; T_17, cats of the treated group on day 17, C_28, cats of the control group on day 28, T_28, cats of the treated group on day 28.
Figure 7. (A) Analysis of multilevel species differences between groups on day 17; (B) Analysis of multilevel species differences between groups on day 28; T_17, cats of the treated group on day 17, C_28, cats of the control group on day 28, T_28, cats of the treated group on day 28.
Animals 14 02179 g007
Figure 8. Differential analysis diagram of KEGG level 3 metabolic pathways on (A) day 14, (B) day 17 and (C) day 28; C_14, cats of the control group on day 14, T_14, cats of the treated group on day 14, C_17, cats of the control group on day 17, T_17, cats of the treated group on day 17, C_28, cats of the control group on day 28, T_28, cats of the treated group on day 28.
Figure 8. Differential analysis diagram of KEGG level 3 metabolic pathways on (A) day 14, (B) day 17 and (C) day 28; C_14, cats of the control group on day 14, T_14, cats of the treated group on day 14, C_17, cats of the control group on day 17, T_17, cats of the treated group on day 17, C_28, cats of the control group on day 28, T_28, cats of the treated group on day 28.
Animals 14 02179 g008
Table 1. Basic diet composition and nutritional level of the LPF diet.
Table 1. Basic diet composition and nutritional level of the LPF diet.
DietItemContent (%)Item *Content (%)
LPFcorn41.65CP33
chicken oil8.94EE17.2
fish oil1Ash5.8
chicken meat powder36.97TDF1.9
sugar beet pulp2Ca0.9
calcium hydrogen phosphate1.24P0.9
calcium carbonate0.5Tau0.2
sodium chloride0.2
multivitamins and minerals5
chicken hydrolysates2.5
total100
* CP: crude protein; EE: ether extract; TDF: total dietary fiber; Ca: calcium; P: phosphorus; Tau: taurine.
Table 2. Basic diet composition and nutritional level of the HPF diet.
Table 2. Basic diet composition and nutritional level of the HPF diet.
DietItemContent (%)Item *Content (%)
HPFcorn21.96CP40
chicken oil8.62EE17.4
soybean meal15Ash12.5
chicken meat powder46.72TDF2.4
sodium chloride0.2Ca1.4
multivitamins and minerals5P1.1
chicken hydrolysates2.5Tau0.2
total100
* CP: crude protein; EE: ether extract; TDF: total dietary fiber; Ca: calcium; P: phosphorus; Tau: taurine.
Table 3. Experimental cat group information.
Table 3. Experimental cat group information.
N (Female/Male)Age 1 (Month)Weight 2 (kg)BCS 3
Control12 (6:6)14 (13, 22.5)3.44 (3.01, 4.40)5 (4, 5)
Treated12 (6:6)15.5 (13, 33.25)3.29 (2.97, 3.74)5 (4.25, 5)
p/0.380.320.51
1 Age, 2 weight, and 3 BCS score are expressed as medians (upper quartile, lower quartile); 3 BCS, body condition score.
Table 4. Comparison of FS, DM, fecal pH, LPS, DAO, CALP, MPO, and sIgA levels between and within groups.
Table 4. Comparison of FS, DM, fecal pH, LPS, DAO, CALP, MPO, and sIgA levels between and within groups.
TargetDayControlTreated
FS 1Day 02.5 (2.5, 2.5)2.5 (2.5, 2.5)
Day 142.5 (2.5, 2.5)2.5 (2.5, 2.5)
DM 2 (%)Day 041.50 ± 3.6541.85 ± 5.03
Day 1441.98 ± 2.2842.98 ± 4.22
pH Day 06.63 ± 0.186.60 ± 0.12
Day 146.60 ± 0.226.54 ± 0.14
LPS 3 (ng/L)Day 0251.93 ± 12.92252.62 ± 13.13
Day 14241.81 ± 13.97226.65 ± 13.17 *,#
DAO 4 (IU/L)Day 0153.57 ± 7.77152.25 ± 8.78
Day 14155.73 ± 5.51151.67 ± 6.79
CALP 5 (pg/mL)Day 0335.25 ± 22.78337.37 ± 20.89
Day 14337.47 ± 26.53324.50 ± 39.84
MPO 6 (pg/mL)Day 0113.01 ± 6.19111.69 ± 6.60
Day 14116.85 ± 6.40113.23 ± 5.65
sIgA 7 (μg/mL)Day 04.70 ± 0.234.72 ± 0.75
Day 144.75 ± 0.224.78 ± 0.28
1 FS: fecal score, 2 DM: fecal dry matter, 3 LPS: lipopolysaccharide, 4 DAO: diamine oxidase, 5 CALP: calprotectin, 6 MPO: myeloperoxidase, 7 sIgA: secretary immunoglobulin A, * compared with the control group, p < 0.05; # means p < 0.01 compared with day 0 of the experiment.
Table 5. Comparison of α diversity indices.
Table 5. Comparison of α diversity indices.
IndexGroupDay 14Day 17Day 28p-Values
TimeTimeTime*Group
ACEC267.98 ± 86.18 b312.91 ± 51.18 a324.38 ± 75.11 a<0.050.690.96
T244.56 ± 87.86 b322.73 ± 82.31 a342.18 ± 100.68 a
ChaoC267.88 ± 84.58 b310.99 ± 54.42 a329.49 ± 77.30 a<0.010.980.67
T242.92 ± 87.92 b321.28 ± 82.77 a347.03 ± 105.92 a
ShannonC2.61 ± 0.54 b3.13 ± 0.27 a3.03 ± 0.43 a<0.010.970.57
T2.42 ± 0.48 b3.25 ± 0.40 a3.08 ± 0.48 a
SimpsonC0.16(0.11, 0.26) a0.10(0.08, 0.11) b0.10(0.07, 0.17) b<0.010.880.41
T0.19(0.14, 0.31) a0.09(0.06, 0.11) b0.10(0.08, 0.13) b
SobsC227.00 ± 72.49 b272.13 ± 44.29 a273.13 ± 61.89 a<0.050.990.7
T207.00 ± 73.35 b277.75 ± 71.72 a288.50 ± 78.63 a
a,b Different superscript letters indicated a significant difference (p < 0.05), while the same superscript letters indicated no significant difference (p > 0.05); data conforming to normal distribution are represented by the mean ± standard deviation, while data not conforming to normal distribution are represented by the median (upper quartile, lower quartile).
Table 6. The phyla that have a relative abundance of over 5%.
Table 6. The phyla that have a relative abundance of over 5%.
Phylum LevelRelative Abundance/%
CT
Day 14
Firmicutes83.99 (80.42, 91.69)82.25 (72.71, 86.04)
Actinobacteriota9.93 (6.20, 16.93)15.15 (12.26, 24.38)
Bacteroidota1.41 (0.43, 4.58)1.38 (1.01, 1.63)
Day 17
Firmicutes78.08 (74.21, 83.92)69.11 (61.95, 77.98)
Actinobacteriota13.04 (7.36, 18.90)20.23 (16.34, 28.66)
Bacteroidota4.67 (4.11, 8.45)5.92 (3.63, 9.59)
Day 28
Firmicutes75.46 (58.94, 85.38)83.18 (75.18, 91.46)
Actinobacteriota11.19 (6.50, 18.71)11.10 (6.64, 20.42)
Bacteroidota4.67 (3.51, 10.32)1.71 (1.39, 3.89)
Table 7. The genera that have a relative abundance of over 5%.
Table 7. The genera that have a relative abundance of over 5%.
Genus LevelRelative Abundance/%
CT
Day 14
Peptoclostridium28.22 (10.61, 48.29)15.05 (6.38, 48.28)
Collinsella8.16 (5.76, 15.24)12.12 (10.75, 22.81)
Blautia6.29 (2.65, 26.41)8.25 (4.44, 15.40)
g__unclassified_f__Peptostreptococcaceae7.23 (0.64, 13.30)2.77 (0.07, 7.65)
Day 17
Peptoclostridium13.54 (1.69, 22.06)12.53 (6.82, 15.50)
Collinsella10.87 (5.64, 16.84)17.42 (13.76, 23.97)
Blautia6.81 (4.26, 9.13)16.31 (13.01, 19.77)
Subdoligranulum9.89 (1.24, 21.70)6.13 (3.92, 13.75)
Day 28
Peptoclostridium9.12 (2.82, 13.67)21.86 (15.63, 28.31)
Collinsella10.05 (4.80, 15.43)10.36 (5.70, 19.11)
Blautia6.34 (3.26, 12.53)14.52 (8.76, 26.19)
Subdoligranulum9.41 (6.28, 21.76)3.83 (2.02, 19.72)
Disclaimer/Publisher’s Note: The statements, opinions and data contained in all publications are solely those of the individual author(s) and contributor(s) and not of MDPI and/or the editor(s). MDPI and/or the editor(s) disclaim responsibility for any injury to people or property resulting from any ideas, methods, instructions or products referred to in the content.

Share and Cite

MDPI and ACS Style

Wang, F.; Gao, S.; Peng, Q.; Tan, L.; Chen, S.; Xia, Z. Effects of Heat-Treated Bifidobacterium longum CECT-7347 Combined with Fibersol-2 on the Intestinal Health of Cats Submitted to an Abrupt Dietary Change: A Randomized Controlled Study. Animals 2024, 14, 2179. https://doi.org/10.3390/ani14152179

AMA Style

Wang F, Gao S, Peng Q, Tan L, Chen S, Xia Z. Effects of Heat-Treated Bifidobacterium longum CECT-7347 Combined with Fibersol-2 on the Intestinal Health of Cats Submitted to an Abrupt Dietary Change: A Randomized Controlled Study. Animals. 2024; 14(15):2179. https://doi.org/10.3390/ani14152179

Chicago/Turabian Style

Wang, Fan, Siyuan Gao, Qianqian Peng, Lili Tan, Siyu Chen, and Zhaofei Xia. 2024. "Effects of Heat-Treated Bifidobacterium longum CECT-7347 Combined with Fibersol-2 on the Intestinal Health of Cats Submitted to an Abrupt Dietary Change: A Randomized Controlled Study" Animals 14, no. 15: 2179. https://doi.org/10.3390/ani14152179

APA Style

Wang, F., Gao, S., Peng, Q., Tan, L., Chen, S., & Xia, Z. (2024). Effects of Heat-Treated Bifidobacterium longum CECT-7347 Combined with Fibersol-2 on the Intestinal Health of Cats Submitted to an Abrupt Dietary Change: A Randomized Controlled Study. Animals, 14(15), 2179. https://doi.org/10.3390/ani14152179

Note that from the first issue of 2016, this journal uses article numbers instead of page numbers. See further details here.

Article Metrics

Back to TopTop