Evaluation of Two Injection Techniques in Combination with the Local Anesthetics Lidocaine and Mepivacaine for Piglets Undergoing Surgical Castration
Abstract
Simple Summary
Abstract
1. Introduction
2. Materials and Methods
2.1. Animals
2.2. Distribution Study
2.3. Injection Pressure and Injection Time
2.4. Castration Study
2.5. Anesthesia
2.6. Nociceptive Measurements
2.7. Injection
2.8. Castration
2.9. Fos Protein Expression
2.10. Data and Statistical Analysis
3. Results
3.1. Distribution
3.2. Injection Pressure and Injection Time
3.3. Group Homogeneity
3.4. Blood Pressure and Heart Rate
3.4.1. Interdigital Pinch
3.4.2. Injection
3.4.3. Castration
3.5. Nocifensive Movements
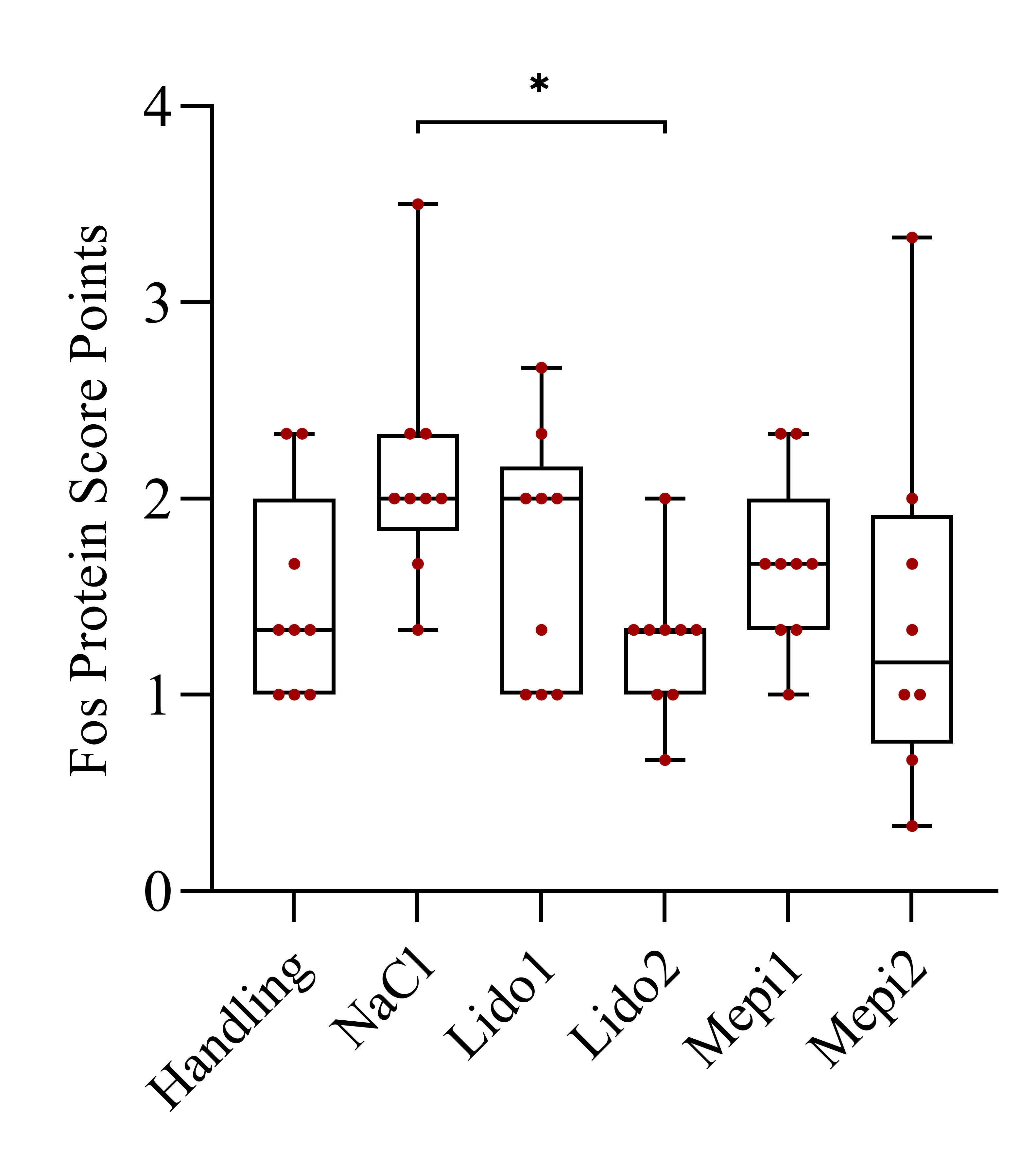
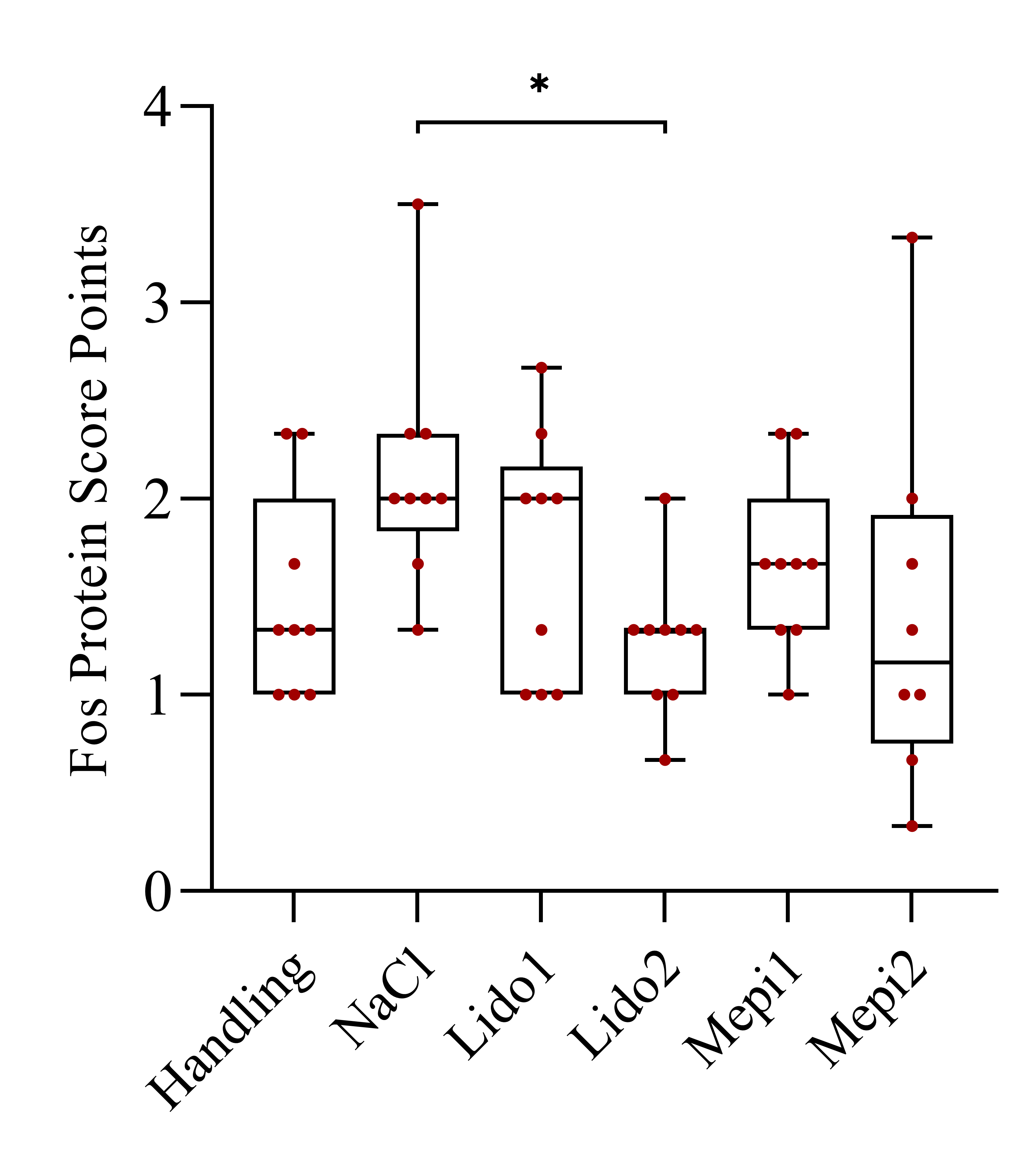
3.6. Fos Protein Expression
4. Discussion
5. Conclusions
Author Contributions
Funding
Institutional Review Board Statement
Informed Consent Statement
Data Availability Statement
Acknowledgments
Conflicts of Interest
Appendix A

Appendix B

References
- Horn, T.; Marx, G.; von Borell, E. Behavior of piglets during castration with and without local anesthesia. Dtsch. Tierarztl. Wochenschr. 1999, 106, 271–274. [Google Scholar] [PubMed]
- McGlone, J.J.; Hellman, J.M. Local and General Anesthetic Effects on Behavior and Performance of Two- and Seven-Week-Old Castrated and Uncastrated Piglets. J. Anim. Sci. 1988, 66, 3049–3058. [Google Scholar] [CrossRef] [PubMed]
- Aluwe, M.; Tuyttens, F.A.; Millet, S. Field experience with surgical castration with anaesthesia, analgesia, immunocastration and production of entire male pigs: Performance, carcass traits and boar taint prevalence. Animal 2015, 9, 500–508. [Google Scholar] [CrossRef] [PubMed]
- Weiler, U.; Isernhagen, M.; Stefanski, V.; Ritzmann, M.; Kress, K.; Hein, C.; Zols, S. Penile Injuries in Wild and Domestic Pigs. Animals 2016, 6, 25. [Google Scholar] [CrossRef]
- Bunger, B.; Schrader, L.; Schrade, H.; Zacharias, B. Agonistic behaviour, skin lesions and activity pattern of entire male, female and castrated male finishing pigs. Appl. Anim. Behav. Sci. 2015, 171, 64–68. [Google Scholar] [CrossRef]
- Bartongade, P.A. Meat and Fat Quality in Boars, Castrates and Gilts. Livest. Prod. Sci. 1987, 16, 187–196. [Google Scholar] [CrossRef]
- Council Directive 2008/120/EC of 18 December 2008 Laying Down Minimum Standards for the Protection of Pigs. 2009, pp. 5–13. Available online: https://eur-lex.europa.eu/legal-content/EN/TXT/PDF/?uri=CELEX:32008L0120&from=EN (accessed on 13 March 2022).
- De Briyne, N.; Berg, C.; Blaha, T.; Temple, D. Pig castration: Will the EU manage to ban pig castration by 2018? Porc. Health Manag. 2016, 2, 29. [Google Scholar] [CrossRef]
- CASTRUM Consortium; European Commission, Directorate-General for Health and Food Safety. Pig Castration: Methods of Anaesthesia and Analgesia for all Pigs and Other Alternatives for Pigs Used in Traditional Products; Publications Office: Luxembourg, 2017. [Google Scholar] [CrossRef]
- Skade, L.; Kristensen, C.S.; Nielsen, M.B.F.; Diness, L.H. Effect of two methods and two anaesthetics for local anaesthesia of piglets during castration. Acta Vet. Scand. 2021, 63, 1. [Google Scholar] [CrossRef]
- Hansson, M.; Lundeheim, N.; Nyman, G.; Johansson, G. Effect of local anaesthesia and/or analgesia on pain responses induced by piglet castration. Acta Vet. Scand. 2011, 53, 34. [Google Scholar] [CrossRef]
- Kluivers-Poodt, M.; Houx, B.B.; Robben, S.R.; Koop, G.; Lambooij, E.; Hellebrekers, L.J. Effects of a local anaesthetic and NSAID in castration of piglets, on the acute pain responses, growth and mortality. Animal 2012, 6, 1469–1475. [Google Scholar] [CrossRef]
- Kluivers-Poodt, M.; Zonderland, J.J.; Verbraak, J.; Lambooij, E.; Hellebrekers, L.J. Pain behaviour after castration of piglets; effect of pain relief with lidocaine and/or meloxicam. Animal 2013, 7, 1158–1162. [Google Scholar] [CrossRef] [PubMed]
- Haga, H.A.; Ranheim, B. Castration of piglets: The analgesic effects of intratesticular and intrafunicular lidocaine injection. Vet. Anaesth. Analg. 2005, 32, 1–9. [Google Scholar] [CrossRef] [PubMed]
- Zankl, A.; Ritzmann, M.; Zols, S.; Heinritzi, K. The efficacy of local anaesthetics administered prior to castration of male suckling piglets. Dtsch. Tierarztl. Wochenschr. 2007, 114, 418–422. [Google Scholar] [PubMed]
- Courboulay, V.; Hémonic, A.; Gadonna, M.; Prunier, A. Castration under analgesia or local anesthesia: Impact on pain and labour demand. In Proceedings of the Annual Meeting European Federation of Animal Science, Crete Island, Greece, 23–27 August 2010. [Google Scholar]
- Hofmann, K.; Rauh, A.; Harlizius, J.; Weiss, C.; Scholz, T.; Schulze-Horsel, T.; Escribano, D.; Ritzmann, M.; Zols, S. Pain and distress responses of suckling piglets to injection and castration under local anaesthesia with procaine and lidocaine—Part 1: Cortisol, chromogranin A, wound healing, weights, losses. Tierarztl. Prax. Ausg. G Grosstiere/Nutztiere 2019, 47, 87–96. [Google Scholar] [CrossRef]
- Rauh, A.; Hofmann, K.; Harlizius, J.; Weiss, C.; Numberger, J.; Scholz, T.; Schulze-Horsel, T.; Otten, W.; Ritzmann, M.; Zols, S. Pain and distress response of suckling piglets to injection and castration under local anaesthesia with procaine and licocaine—Part 2: Defence behaviour, catecholamines, coordination of movements. Tierarztl. Prax. Ausg. G Grosstiere/Nutztiere 2019, 47, 160–170. [Google Scholar] [CrossRef]
- Saller, A.M.; Werner, J.; Reiser, J.; Senf, S.; Deffner, P.; Abendschon, N.; Weiss, C.; Fischer, J.; Schorwerth, A.; Miller, R.; et al. Local anesthesia in piglets undergoing castration-A comparative study to investigate the analgesic effects of four local anesthetics on the basis of acute physiological responses and limb movements. PLoS ONE 2020, 15, e0236742. [Google Scholar] [CrossRef]
- Abendschon, N.; Senf, S.; Deffner, P.; Miller, R.; Grott, A.; Werner, J.; Saller, A.M.; Reiser, J.; Weiss, C.; Zablotski, Y.; et al. Local Anesthesia in Piglets Undergoing Castration-A Comparative Study to Investigate the Analgesic Effects of Four Local Anesthetics Based on Defensive Behavior and Side Effects. Animals 2020, 10, 1752. [Google Scholar] [CrossRef]
- Yun, J.; Ollila, A.; Valros, A.; Larenza-Menzies, P.; Heinonen, M.; Oliviero, C.; Peltoniemi, O. Behavioural alterations in piglets after surgical castration: Effects of analgesia and anaesthesia. Res. Vet. Sci. 2019, 125, 36–42. [Google Scholar] [CrossRef]
- Perez-Pedraza, E.; Mota-Rojas, D.; Ramirez-Necoechea, R.; Guerrero-Legarreta, I.; Martinez-Burnes, J.; Lezama-Garcia, K.; Mora-Medina, P.; Rosas, M.; Martinez, V.; Gonzalez-Lozano, M. Effect of the number of incisions and use of local anesthesia on the physiological indicators of surgically-castrated piglets. Int. J. Vet. Sci. Med. 2018, 6, 159–164. [Google Scholar] [CrossRef]
- Hug, P.J.; Cap, V.H.; Honegger, J.; Schupbach-Regula, G.; Schwarz, A.; Bettschart-Wolfensberger, R. Optimization of analgesia for piglet castration under isoflurane anaesthesia with parenteral butorphanol, meloxicam or intratesticular lidocaine. Schweiz Arch. Tierheilkd. 2018, 160, 461–467. [Google Scholar] [CrossRef]
- Telles, F.G.; Luna, S.P.L.; Teixeira, G.; Berto, D.A. Long-term weight gain and economic impact in pigs castrated under local anaesthesia. J. Anim. Sci. 2016, 1–2, 36–39. [Google Scholar] [CrossRef]
- Barticciotto, L.S.; Luna, S.P.L.; de Sá Lorena, S.E.R.; Telles, F.G.; Berto, D.A. Weight gain, behavioral and cortisol changes after orchiectomy with or without local anaesthesia in piglets. Semin. Cienc. Agrar. 2016, 37, 1307–1315. [Google Scholar] [CrossRef][Green Version]
- Bonastre, C.; Mitjana, O.; Tejedor, M.T.; Calavia, M.; Yuste, A.G.; Ubeda, J.L.; Falceto, M.V. Acute physiological responses to castration-related pain in piglets: The effect of two local anesthetics with or without meloxicam. Animal 2016, 10, 1474–1481. [Google Scholar] [CrossRef] [PubMed]
- Maršálek, P.; Svoboda, M.; Bernardy, J.; Večerek, V. Concentrations of neopterin, biopterin, and cortisol associated with surgical castration of piglets with lidocaine. Czech J. Anim. Sci. 2015, 60, 473–478. [Google Scholar] [CrossRef]
- Leidig, M.S.; Hertrampf, B.; Failing, K.; Schumann, A.; Reiner, G. Pain and discomfort in male piglets during surgical castration with and without local anaesthesia as determined by vocalisation and defence behaviour. Appl. Anim. Behav. Sci. 2009, 116, 174–178. [Google Scholar] [CrossRef]
- Gutzwiller, A. Kastration von Ferkeln unter Lokalanästhesie. Agrar. Schweiz 2003, 10, 10–13. [Google Scholar]
- Lomax, S.; Harris, C.; Windsor, P.A.; White, P.J. Topical anaesthesia reduces sensitivity of castration wounds in neonatal piglets. PLoS ONE 2017, 12, e0187988. [Google Scholar] [CrossRef] [PubMed]
- Hancock, T.M.; Caulkett, N.A.; Pajor, E.A.; Grenwich, L. An investigation of the effects of intratesticular alfaxalone and lidocaine during castration in piglets. Vet. Anaesth. Analg. 2018, 45, 858–864. [Google Scholar] [CrossRef]
- Rittershaus, D. Topische Anästhesieverfahren zur Schmerzreduktion bei der Saugferkelkastration Inaugural. Ph.D. Thesis, University of Veterinary Medicine Hannover, Hannover, Germany, 2009. [Google Scholar]
- Ranheim, B.; Haga, H.A.; Ingebrigtsen, K. Distribution of radioactive lidocaine injected into the testes in piglets. J. Vet. Pharmacol. Ther. 2005, 28, 481–483. [Google Scholar] [CrossRef]
- White, R.G.; Deshazer, J.A.; Tressler, C.J.; Borcher, G.M.; Davey, S.; Waninge, A.; Parkhurst, A.M.; Milanuk, M.J.; Clemens, E.T. Vocalization and Physiological-Response of Rigs during Castration with or without a Local-Anesthetic. J. Anim. Sci. 1995, 73, 381–386. [Google Scholar] [CrossRef]
- Sutherland, M.A.; Backus, B.L.; Brooks, T.A.; McGlone, J.J. The effect of needle-free administration of local anesthetic on the behavior and physiology of castrated pigs. J. Vet. Behav. 2017, 21, 71–76. [Google Scholar] [CrossRef]
- Sienkiewicz, W. Sources of the porcine testis innervation. Andrologia 2010, 42, 395–403. [Google Scholar] [CrossRef] [PubMed]
- Nickel, E.; Nickel, R.; Schummer, A.; Seiferle, E. Lehrbuch der Anatomie der Haustiere Band 4, 4th ed.; Parey Verlag: Stuttgart, Germany, 2004; p. 550. [Google Scholar]
- Taylor, A.; McLeod, G. Basic pharmacology of local anaesthetics. BJA Educ. 2020, 20, 34–41. [Google Scholar] [CrossRef] [PubMed]
- Nickel, R.; Schummer, A.; Seiferle, E. Lehrbuch der Anatomie der Haustiere. Band II: Eingeweide, 9th ed.; Parey Verlag: Stuttgart, Germany, 2004; p. 504. [Google Scholar]
- Vermeylen, K.; Hermans, M.; Soetens, F.; Vereecke, E.; Steinfeldt, T.; Groen, G.; Hadzic, A.; Van de Velde, M. Opening Injection Pressure Is Higher in Intraneural Compared With Perineural Injections During Simulated Nerve Blocks of the Lower Limb in Fresh Human Cadavers. Reg. Anesth. Pain Med. 2017, 42, 362–367. [Google Scholar] [CrossRef] [PubMed]
- Gupta, J.; Park, S.S.; Bondy, B.; Felner, E.I.; Prausnitz, M.R. Infusion pressure and pain during microneedle injection into skin of human subjects. Biomaterials 2011, 32, 6823–6831. [Google Scholar] [CrossRef]
- Strazar, R.; Lalonde, D. Minimizing injection pain in local anesthesia. CMAJ 2012, 184, 2016. [Google Scholar] [CrossRef]
- Hockett, D.; Kress, L.; Mac Donald, R.; Krenzischek, D.A.; Maheshwari, A. Effectiveness of Buffered Lidocaine for Local Anesthesia During Liver Biopsy. Gastroenterol. Nurs. 2021, 44, 172–176. [Google Scholar] [CrossRef]
- Taylor, A.A.; Weary, D.M. Vocal responses of piglets to castration: Identifying procedural sources of pain. Appl. Anim. Behav. Sci. 2000, 70, 17–26. [Google Scholar] [CrossRef]
- Ahmad, A.H.; Ismail, Z. c-fos and its Consequences in Pain. Malays. J. Med. Sci. 2002, 9, 3–8. [Google Scholar]
- Nyborg, P.Y.; Sørig, A.; Lykkegaard, K.; Svendsen, O. Nociception efter kastration af juvenile grise målt ved kvantitativ bestemmelse af c-Fos udtrykkende neuroner i rygmarvens dorsalhorn. Dan. Veterinærtidsskrift 2000, 83, 6–17. [Google Scholar]
- Reiser, J.; Kreuzer, M.; Werner, J.; Saller, A.M.; Fischer, J.; Senf, S.; Deffner, P.; Abendschön, N.; Groll, T.; Weiß, C.; et al. Pain-induced changes in electroencephalographic activity and FOS protein expression in piglets undergoing castration under isoflurane anesthesia. 2022, to be submitted.
- Jennings, E.; Fitzgerald, M. C-fos can be induced in the neonatal rat spinal cord by both noxious and innocuous peripheral stimulation. Pain 1996, 68, 301–306. [Google Scholar] [CrossRef]
- Haga, H.A.; Tevik, A.; Moerch, H. Electroencephalographic and cardiovascular indicators of nociception during isoflurane anaesthesia in pigs. Vet. Anaesth. Analg. 2001, 28, 126–131. [Google Scholar] [CrossRef] [PubMed]






| Anatomical Structures | Distribution | Accumulation | Score |
|---|---|---|---|
| Scrotal skin | n.a. | no | 0 |
| n.a. | yes | 1 | |
| Testis | − | − | 0 |
| + | + | 1 | |
| + | ++ | 2 | |
| ++ | + | ||
| ++ | ++ | 3 | |
| Testicular sheath | − | − | 0 |
| + | + | 1 | |
| + | ++ | 2 | |
| ++ | + | ||
| ++ | ++ | 3 | |
| Spermatic cord | − | − | 0 |
| + | + | 1 | |
| ++ | ++ | 2 | |
| Maximum score per testis | 9 | ||
| Maximum score per piglet | 18 | ||
| Handling | NaCl | Lido1 | Lido2 | Mepi1 | Mepi2 | |
|---|---|---|---|---|---|---|
| n per group | 9 | 9 | 7 | 9 | 9 | 9 |
| Injection method | Sham | One-step F | One-step F | Two-step | One-step F | Two-step |
| Injection solution | - | NaCl | Lidocaine 2% | Lidocaine 2% | Mepivacaine 2% | Mepivacaine 2% |
| Injection volume | - | 0.6 mL | 0.6 mL | 0.4 + 0.2 mL | 0.6 mL | 0.4 + 0.2 mL |
| Castration | Sham | Yes | Yes | Yes | Yes | Yes |
| Handling | NaCl | Lido1 | Lido2 | Mepi1 | Mepi2 | |
|---|---|---|---|---|---|---|
| Age (days) | 4.78 ± 0.79 | 5.44 ± 1.17 | 4.57 ± 1.36 | 4.22 ± 1.13 | 5 ± 1.33 | 4.89 ± 1.45 |
| Weight (kg) | 2.01 ± 0.51 | 2.32 ± 0.69 | 2.37 ± 0.41 | 2.04 ± 0.43 | 1.98 ± 0.38 | 2.21 ± 0.50 |
| Local anesthetic dosing (mg/kg) * | 10.4 ± 1.65 | 13.8 ± 3.07 | 12.01 ± 2.80 | 12.61 ± 2.5 | ||
| End-tidal Isoflurane–injection (Vol %) | 1.46 ± 0.38 | 1.32 ± 0.26 | 1.4 ± 0.20 | 1.39 ± 0.44 | 1.38 ± 0.18 | 1.57 ± 0.38 |
| End-tidal Isoflurane–castration (Vol %) | 1.52 ± 0.48 | 1.31 ± 0.26 | 1.46 ± 0.22 | 1.38 ± 0.44 | 1.39 ± 0.16 | 1.62 ± 0.38 |
| Handling | NaCl | Lido1 | Lido2 | Mepi1 | Mepi2 | ||
|---|---|---|---|---|---|---|---|
| Injection | |||||||
| Score | mean | 0.1 a | 0.8 | 1.3 | 0.8 a | 7.1 b | 2.7 |
| SD | 0.3 | 1.6 | 2.1 | 2.2 | 6.5 | 3.2 | |
| Animals without nocifensive movements | n | 8/9 | 5/9 | 4/7 | 8/9 | 3/9 | 4/9 |
| Skin incision | |||||||
| Score | mean | 0 | 5.1 | 0 | 1.7 | 3.1 | 2.1 |
| SD | 0 | 6.7 | 0 | 3.1 | 8.8 | 4.0 | |
| Animals without nocifensive movements | n | 9/9 | 5/9 | 7/7 | 6/9 | 8/9 | 6/9 |
| Cutting of the spermatic cord | |||||||
| Score | mean | 0 a | 10.9 b | 0.9 a | 0.1 a | 0.7 a | 0 a |
| SD | 0 | 8.7 | 2.1 | 0.3 | 1.9 | 0 | |
| Animals without nocifensive movements | n | 9/9 | 1/9 | 6/7 | 8/9 | 8/9 | 9/9 |
Publisher’s Note: MDPI stays neutral with regard to jurisdictional claims in published maps and institutional affiliations. |
© 2022 by the authors. Licensee MDPI, Basel, Switzerland. This article is an open access article distributed under the terms and conditions of the Creative Commons Attribution (CC BY) license (https://creativecommons.org/licenses/by/4.0/).
Share and Cite
Werner, J.; Saller, A.M.; Reiser, J.; Senf, S.; Deffner, P.; Abendschön, N.; Fischer, J.; Grott, A.; Miller, R.; Zablotski, Y.; et al. Evaluation of Two Injection Techniques in Combination with the Local Anesthetics Lidocaine and Mepivacaine for Piglets Undergoing Surgical Castration. Animals 2022, 12, 1028. https://doi.org/10.3390/ani12081028
Werner J, Saller AM, Reiser J, Senf S, Deffner P, Abendschön N, Fischer J, Grott A, Miller R, Zablotski Y, et al. Evaluation of Two Injection Techniques in Combination with the Local Anesthetics Lidocaine and Mepivacaine for Piglets Undergoing Surgical Castration. Animals. 2022; 12(8):1028. https://doi.org/10.3390/ani12081028
Chicago/Turabian StyleWerner, Julia, Anna M. Saller, Judith Reiser, Steffanie Senf, Pauline Deffner, Nora Abendschön, Johannes Fischer, Andrea Grott, Regina Miller, Yury Zablotski, and et al. 2022. "Evaluation of Two Injection Techniques in Combination with the Local Anesthetics Lidocaine and Mepivacaine for Piglets Undergoing Surgical Castration" Animals 12, no. 8: 1028. https://doi.org/10.3390/ani12081028
APA StyleWerner, J., Saller, A. M., Reiser, J., Senf, S., Deffner, P., Abendschön, N., Fischer, J., Grott, A., Miller, R., Zablotski, Y., Steiger, K., Bergmann, S., Erhard, M. H., Ritzmann, M., Zöls, S., & Baumgartner, C. (2022). Evaluation of Two Injection Techniques in Combination with the Local Anesthetics Lidocaine and Mepivacaine for Piglets Undergoing Surgical Castration. Animals, 12(8), 1028. https://doi.org/10.3390/ani12081028

