Effects of Landscape Features on Bird Community in Winter Urban Parks
Abstract
Simple Summary
Abstract
1. Introduction
2. Study Area and Methods
2.1. Study Area
2.2. Bird Survey
2.3. Landscape Features
- (1)
- Waterbody area (WaA): the total area occupied by waterbody in each park, unit: ha;
- (2)
- Waterbody proportion (WaP): % cover of waterbody in each park;
- (3)
- Waterbody patch density (WaPD): Density of waterbody patches in each park;the calculated formula is: PD = NP/A
- (4)
- Waterbody shape index (WSI): relative shape complexity of the waterbody in each park;the calculated formula is: SI = P / [2 × (π × A)0.5]
- (5)
- Woodland area (WoA): the total area occupied by woodland in each park, unit: ha;
- (6)
- Woodland proportion (WoP): % cover of woodland in each park;
- (7)
- Grassland area (GrA): the total area occupied by grassland in each park, unit: ha;
- (8)
- Grassland proportion (GrP): % cover of grassland in each park;
- (9)
- Sealed surface area (SeA): the total area occupied by sealed surface in each park, unit: ha;
- (10)
- Sealed surface proportion (SeP): % cover of sealed surface in each park;
- (1)
- Park area (PA): the total area surrounded by the border of each park, unit: ha;
- (2)
- Park perimeter (PP): length of the park boundary, unit: m;
- (3)
- Park shape index (PSI): relative shape complexity of the park and calculated by the same formula as (4);
- (1)
- Distance to Fuzhou Third Ring Road (DistT): Fuzhou Third Ring Road is the boundary of the core area of the main city of Fuzhou, unit: km;
- (2)
- Distance to city center (DistC): distance from the center of the urban park to Three Lanes and Seven Alleys, the main central area of Fuzhou and an important tourist attraction in China, unit: km;
- (3)
- Distance to Fuzhou National Forest Park (DistF): distance to Fuzhou National Forest Park, which reflects the potential species sources of urban parks. The large size of Fuzhou National Forest Park and the low level of human exploitation is considered essential potential sources of birds in Fuzhou Park, unit: km;
- (4)
- Woodland proportion of 500 m (WoP500): % cover of woodland within 500 m radius buffer region of the sample boundary;
- (5)
- Sealed surface proportion of 500 m (SeP500): % cover of Sealed surface within 500 m radius buffer region of the sample boundary.
2.4. Analysis
2.4.1. α-Diversity and β-Diversity
2.4.2. Effects of Landscape Features on Bird Diversity
3. Results
3.1. Differences in Landscape Features of Urban Parks
3.2. Bird Community Composition in Urban Parks
3.3. α-Diversity and β-Diversity Varied between Different Urban Parks
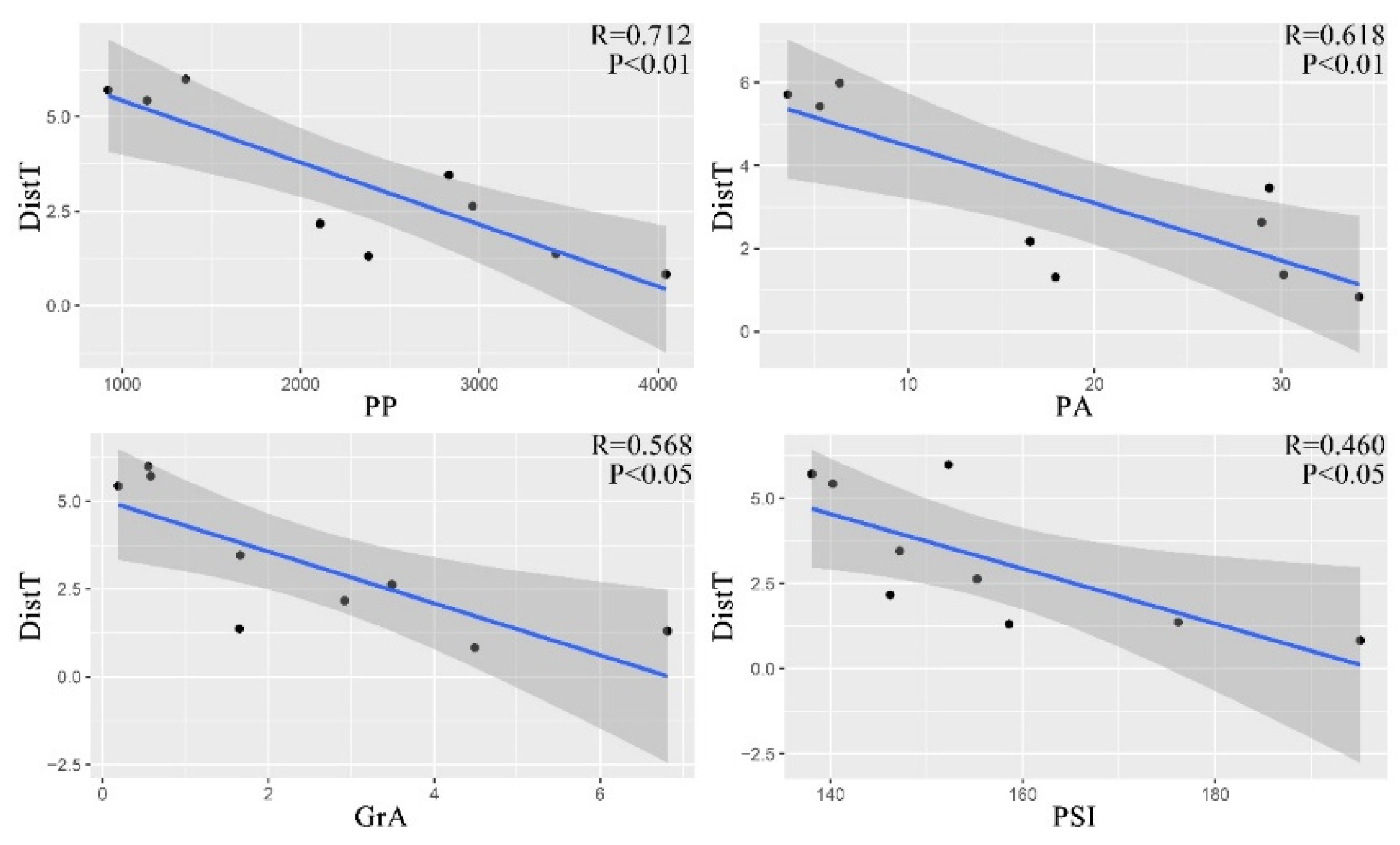
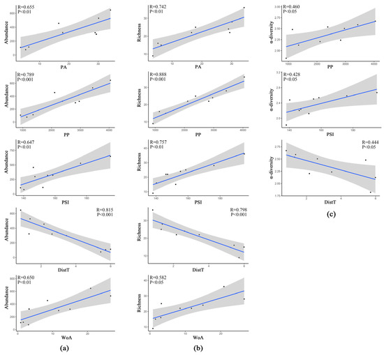
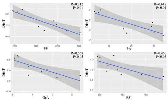
3.4. Response of Bird Diversity to Landscape Features in Urban Parks
4. Discussion
4.1. Response of Bird Communities to Landscape Features in Urban Parks
4.2. Response of Bird Communities to Patch Features in Urban Parks
4.3. Implications and Prospects
5. Conclusions
Supplementary Materials
Author Contributions
Funding
Institutional Review Board Statement
Informed Consent Statement
Data Availability Statement
Conflicts of Interest
References
- Beardsley, K.; Thorne, J.H.; Roth, N.E.; Gao, S.; McCoy, M.C. Assessing the influence of rapid urban growth and regional policies on biological resources. Landsc. Urban Plan. 2009, 93, 172–183. [Google Scholar] [CrossRef]
- Chace, J.F.; Walsh, J.J. Urban effects on native avifauna: A review. Landsc. Urban Plan. 2006, 74, 46–69. [Google Scholar] [CrossRef]
- Sol, D.; Bartomeus, I.; González Lagos, C.; Pavoine, S. Urbanisation and the loss of phylogenetic diversity in birds. Ecol. Lett. 2017, 20, 721–729. [Google Scholar] [CrossRef] [PubMed]
- Sulaiman, S.; Mohamad, N.H.N.; Idilfitri, S. Contribution of vegetation in urban parks as habitat for selective bird community. Procedia-Soc. Behav. Sci. 2013, 85, 267–281. [Google Scholar] [CrossRef]
- Ewers, R.M.; Didham, R.K. The effect of fragment shape and species’ sensitivity to habitat edges on animal population size. Conserv. Biol. 2007, 21, 926–936. [Google Scholar] [CrossRef]
- Zhao, H.; Tang, G. The research advance of urban green space spatial patterns and their functions. J. Shandong Agric. Univ. (Nat. Sci. Ed.) 2007, 38, 155–158. [Google Scholar]
- Jokimäki, J.; Suhonen, J.; Kaisanlahti-Jokimäki, M. Urban core areas are important for species conservation: A European-level analysis of breeding bird species. Landsc. Urban Plan. 2018, 178, 73–81. [Google Scholar] [CrossRef]
- Sandström, U.G.; Angelstam, P.; Mikusiński, G. Ecological diversity of birds in relation to the structure of urban green space. Landsc. Urban Plan. 2006, 77, 39–53. [Google Scholar] [CrossRef]
- Marzluff, J.M.; Bowman, R.; Donnelly, R. Avian Ecology and Conservation in an Urbanizing World; Springer Science & Business Media: Berlin/Heidelberg, Germany, 2012. [Google Scholar]
- Hostetler, M.; Holling, C.S. Detecting the scales at which birds respond to structure in urban landscapes. Urban Ecosyst. 2000, 4, 25–54. [Google Scholar] [CrossRef]
- Fernandez-Juricic, E.; Jokimäki, J. A habitat island approach to conserving birds in urban landscapes: Case studies from southern and northern Europe. Biodivers. Conserv. 2001, 10, 2023–2043. [Google Scholar] [CrossRef]
- Marzluff, J.M. Island biogeography for an urbanizing world how extinction and colonization may determine biological diversity in human-dominated landscapes. In Urban Ecology; Springer: Berlin/Heidelberg, Germany, 2008; pp. 355–371. [Google Scholar]
- Prevedello, J.A.; Vieira, M.V. Does the type of matrix matter? A quantitative review of the evidence. Biodivers. Conserv. 2010, 19, 1205–1223. [Google Scholar] [CrossRef]
- Dufrêne, M.; Legendre, P. Species assemblages and indicator species: The need for a flexible asymmetrical approach. Ecol. Monogr. 1997, 67, 345–366. [Google Scholar] [CrossRef]
- Melles, S.; Glenn, S.; Martin, K. Urban bird diversity and landscape complexity: Species–environment associations along a multiscale habitat gradient. Conserv. Ecol. 2003, 7, 5. [Google Scholar] [CrossRef]
- Xie, S.; Lu, F.; Cao, L.; Zhou, W.; Ouyang, Z. The effect oflandscape paterns on avian communities during summer months in beijing’s urban parks. Landsc. Arch. Front. 2016, 4, 10–21. [Google Scholar]
- Morelli, F.; Benedetti, Y.; Su, T.; Zhou, B.; Moravec, D.; Šímová, P.; Liang, W. Taxonomic diversity, functional diversity and evolutionary uniqueness in bird communities of Beijing’s urban parks: Effects of land use and vegetation structure. Urban Forest. Urban Green. 2017, 23, 84–92. [Google Scholar] [CrossRef]
- Schütz, C.; Schulze, C.H. Functional diversity of urban bird communities: Effects of landscape composition, green space area and vegetation cover. Ecol. Evol. 2015, 5, 5230–5239. [Google Scholar] [CrossRef]
- Laurance, W.F.; Yensen, E. Predicting the impacts of edge effects in fragmented habitats. Biol. Conserv. 1991, 55, 77–92. [Google Scholar] [CrossRef]
- Hassall, C. The ecology and biodiversity of urban ponds. Wiley Interdiscip. Rev. Water 2014, 1, 187–206. [Google Scholar] [CrossRef]
- Imai, H.; Nakashizuka, T. Environmental factors affecting the composition and diversity of avian community in mid-to late breeding season in urban parks and green spaces. Landsc. Urban Plan. 2010, 96, 183–194. [Google Scholar] [CrossRef]
- Chen, S.; Wang, S. Bird diversities and their responses to urbanization in China. In Ecology and Conservation of Birds in Urban Environments; Springer: Berlin/Heidelberg, Germany, 2017; pp. 55–74. [Google Scholar]
- Tilghman, N.G. Characteristics of urban woodlands affecting winter bird diversity and abundance. Forest. Ecol. Manag. 1987, 21, 163–175. [Google Scholar] [CrossRef]
- Fuzhou Municipal Bureau of Statistics. Fuzhou Statistical Yearbook 2022. Available online: http://tjj.fuzhou.gov.cn/zz/fztjnj/2022tjnj/indexch.htm (accessed on 6 September 2021).
- Anderson, D.R.; Laake, J.L.; Crain, B.R.; Burnham, K.P. Guidelines for Line Transect Sampling of Biological Populations. J. Wildl. Manag. 1979, 1979, 70–78. [Google Scholar] [CrossRef]
- Burnham, K.P.; Anderson, D.R.; Laake, J.L. Estimation of density from line transect sampling of biological populations. Wildl. Monogr. 1980, 72, 3–202. [Google Scholar]
- Bibby, C.J.; Burgess, N.D.; Hillis, D.M.; Hill, D.A.; Mustoe, S. Bird Census Techniques; Elsevier: Amsterdam, The Netherlands, 2000. [Google Scholar]
- MacKinnon, J.R.; MacKinnon, J.; Phillipps, K.; He, F. A Field Guide to the Birds of China; Oxford University Press: Oxford, UK, 2000. [Google Scholar]
- Xie, S.; Wang, X.; Ren, Y.; Su, Z.; Su, Y.; Wang, S.; Zhou, W.; Lu, F.; Qian, Y.; Gong, C. Factors responsible for forest and water bird distributions in rivers and lakes along an urban gradient in Beijing. Sci. Total Environ. 2020, 735, 139308. [Google Scholar] [CrossRef]
- Evans, K.L.; Newson, S.E.; Gaston, K.J. Habitat influences on urban avian assemblages. Ibis 2009, 151, 19–39. [Google Scholar] [CrossRef]
- Goddard, M.A.; Dougill, A.J.; Benton, T.G. Scaling up from gardens: Biodiversity conservation in urban environments. Trends Ecol. Evol. 2010, 25, 90–98. [Google Scholar] [CrossRef] [PubMed]
- Huang, Y.; Zhao, Y.; Li, S.; von Gadow, K. The effects of habitat area, vegetation structure and insect richness on breeding bird populations in Beijing urban parks. Urban Forest. Urban Green. 2015, 14, 1027–1039. [Google Scholar] [CrossRef]
- Kissling, W.D.; Sekercioglu, C.H.; Jetz, W. Bird dietary guild richness across latitudes, environments and biogeographic regions. Glob. Ecol. Biogeogr. 2012, 21, 328–340. [Google Scholar] [CrossRef]
- Pla, L. Bootstrap confidence intervals for the Shannon biodiversity index: A simulation study. J. Agric. Biol. Environ. Stat. 2004, 9, 42–56. [Google Scholar] [CrossRef]
- Bogich, T.L.; Barker, G.M.; Mahlfeld, K.; Climo, F.; Green, R.; Balmford, A. Fragmentation, grazing and the species–area relationship. Ecography 2012, 35, 224–231. [Google Scholar] [CrossRef]
- Oksanen, J. Vegan: An Introduction to Ordination. 2015. Available online: https://www.semanticscholar.org/paper/Vegan%3Aanintroduction-to-ordination-Oksanen/1068c673bc63d1dcae9b97cc30b6077f89a64916 (accessed on 15 May 2022).
- The R Core Team. R: A Language and Environment for Statistical Computing; R Foundation for Statistical Computing: Vienna, Austria, 2020. [Google Scholar]
- Ma, K. Measurement of biotic community diversity I α diversity (Part 2). Biodivers. Sci. 1994, 2, 231. [Google Scholar] [CrossRef]
- Chao, A.; Chiu, C. Species richness: Estimation and comparison. Wiley StatsRef Stat. Ref. Online 2016, 1, 26. [Google Scholar]
- Colwell, R.K.; Mao, C.X.; Chang, J. Interpolating, extrapolating, and comparing incidence-based species accumulation curves. Ecology 2004, 85, 2717–2727. [Google Scholar] [CrossRef]
- Hsieh, T.C.; Ma, K.H.; Chao, A. iNEXT: An R package for rarefaction and extrapolation of species diversity (H ill numbers). Methods Ecol. Evol. 2016, 7, 1451–1456. [Google Scholar] [CrossRef]
- Anderson, M.J.; Walsh, D.C. PERMANOVA, ANOSIM, and the Mantel test in the face of heterogeneous dispersions: What null hypothesis are you testing? Ecol. Monogr. 2013, 83, 557–574. [Google Scholar] [CrossRef]
- Anderson, M.J.; Ellingsen, K.E.; McArdle, B.H. Multivariate dispersion as a measure of beta diversity. Ecol. Lett. 2006, 9, 683–693. [Google Scholar] [CrossRef]
- Shapiro, S.S.; Wilk, M.B. An analysis of variance test for normality (complete samples). Biometrika 1965, 52, 591–611. [Google Scholar] [CrossRef]
- Craney, T.A.; Surles, J.G. Model-dependent variance inflation factor cutoff values. Qual. Eng. 2002, 14, 391–403. [Google Scholar] [CrossRef]
- Mazerolle, M. Improving data analysis in herpetology: Using Akaike’s Information Criterion (AIC) to assess the strength of biological hypotheses. Amphib. -Reptil. 2006, 27, 169–180. [Google Scholar] [CrossRef]
- National Forestry and Grassland Administration. List of key protected wild animals in China (Revised on 1 February 2021). Chin. J. Wildl. 2021, 42, 605–640. [Google Scholar] [CrossRef]
- Graham, C.H.; Blake, J.G. Influence of patch-and landscape-level factors on bird assemblages in a fragmented tropical landscape. Ecol. Appl. 2001, 11, 1709–1721. [Google Scholar] [CrossRef]
- Zhou, D.; Chu, L.M. How would size, age, human disturbance, and vegetation structure affect bird communities of urban parks in different seasons? J. Ornithol. 2012, 153, 1101–1112. [Google Scholar] [CrossRef]
- Zhou, D.; Fung, T.; Chu, L.M. Avian community structure of urban parks in developed and new growth areas: A landscape-scale study in Southeast Asia. Landsc. Urban Plan. 2012, 108, 91–102. [Google Scholar] [CrossRef]
- Murgui, E. Effects of seasonality on the species–area relationship: A case study with birds in urban parks. Glob. Ecol. Biogeogr. 2007, 16, 319–329. [Google Scholar] [CrossRef]
- Wilson, E.O.; MacArthur, R.H. The Theory of Island Biogeography; JSTOR: Princeton, NJ, USA, 1967. [Google Scholar]
- Chamberlain, D.E.; Gough, S.; Vaughan, H.; Vickery, J.A.; Appleton, G.F. Determinants of bird species richness in public green spaces. Bird Study 2007, 54, 87–97. [Google Scholar] [CrossRef]
- Oliver, A.J.; Hong-Wa, C.; Devonshire, J.; Olea, K.R.; Rivas, G.F.; Gahl, M.K. Avifauna richness enhanced in large, isolated urban parks. Landsc. Urban Plan. 2011, 102, 215–225. [Google Scholar] [CrossRef]
- Jokimäki, J. Occurrence of breeding bird species in urban parks: Effects of park structure and broad-scale variables. Urban Ecosyst. 1999, 3, 21–34. [Google Scholar] [CrossRef]
- Møller, A.P. Nest predation and nest site choice in passerine birds in habitat patches of different size: A study of magpies and blackbirds. Oikos 1988, 53, 215–221. [Google Scholar] [CrossRef]
- Schneider, S.C.; Fischer, J.D.; Miller, J.R. Two-sided edge responses of avian communities in an urban landscape. Urban Ecosyst. 2015, 18, 539–551. [Google Scholar] [CrossRef]
- Walcott, C.F. Changes in bird life in Cambridge, Massachusetts from 1860 to 1964. Auk 1974, 91, 151–160. [Google Scholar]
- Rosenberg, K.V.; Terrill, S.B.; Rosenberg, G.H. Value of suburban habitats to desert riparian birds. Wilson Bull. 1987, 99, 642–654. [Google Scholar]
- Von Haartman, L. The evolution of resident versus migratory habit in birds. Some considerations. Ornis Fennica 1968, 45, 7. [Google Scholar]
- Chatterjee, A.; Adhikari, S.; Barik, A.; Mukhopadhyay, S.K. The mid-winter assemblage and diversity of bird populations at Patlakhawa Protected Forest, Coochbehar, West Bengal, India. Ring 2013, 35, 31. [Google Scholar] [CrossRef]
- Jokimäki, J.; Suhonen, J.; Kaisanlahti-Jokimäki, M. Differential long-term population responses of two closely related human-associated sparrow species with respect to urbanization. Birds 2021, 2, 230–249. [Google Scholar] [CrossRef]
- Liordos, V.; Jokimäki, J.; Kaisanlahti-Jokimäki, M.; Valsamidis, E.; Kontsiotis, V.J. Niche analysis and conservation of bird species using urban core areas. Sustainability 2021, 13, 6327. [Google Scholar] [CrossRef]
- Garaffa, P.I.; Filloy, J.; Bellocq, M.I. Bird community responses along urban–rural gradients: Does the size of the urbanized area matter? Landsc. Urban Plan. 2009, 90, 33–41. [Google Scholar] [CrossRef]
- Ortega-Álvarez, R.; MacGregor-Fors, I. Living in the big city: Effects of urban land-use on bird community structure, diversity, and composition. Landsc. Urban Plan. 2009, 90, 189–195. [Google Scholar] [CrossRef]
- Jokimäki, J.; Suhonen, J. Effects of urbanization on the breeding bird species richness in Finland: A biogeographical comparison. Ornis Fennica 1993, 70, 71–77. [Google Scholar]
- Clergeau, P.; Savard, J.L.; Mennechez, G.; Falardeau, G. Bird abundance and diversity along an urban-rural gradient: A comparative study between two cities on different continents. Condor 1998, 100, 413–425. [Google Scholar] [CrossRef]
- Sorace, A. High density of bird and pest species in urban habitats and the role of predator abundance. Ornis Fennica 2002, 79, 60–71. [Google Scholar]
- Blake, J.G.; Karr, J.R. Breeding birds of isolated woodlots: Area and habitat relationships. Ecology 1987, 68, 1724–1734. [Google Scholar] [CrossRef]
- Atchison, K.A.; Rodewald, A.D. The value of urban forests to wintering birds. Nat. Area J. 2006, 26, 280–288. [Google Scholar] [CrossRef]
- Jianguo, W. Landscape ecology—Concepts and theories. Chin. J. Ecol. 2000, 2000, 42–52. [Google Scholar] [CrossRef]
- Kim, J.; Chae, J.; Koo, T. Variation in bird diversity in relation to habitat size in the urban landscape of Seoul, South Korea. Acta Ornithol. 2007, 42, 39–44. [Google Scholar] [CrossRef][Green Version]
- Rajpar, M.N.; Zakaria, M. Bird abundance and its relationship with microclimate and habitat variables in open-area and shrub habitats in Selangor, Peninsular Malaysia. JAPS J. Anim. Plant Sci. 2015, 25, 114–124. [Google Scholar]
- Tryjanowski, P.; Morelli, F.; Skórka, P.; Goławski, A.; Indykiewicz, P.; Pape Møller, A.; Mitrus, C.; Wysocki, D.; Zduniak, P. Who started first? Bird species visiting novel birdfeeders. Sci. Rep. 2015, 5, 1–6. [Google Scholar] [CrossRef]
- Horák, J. Suitability of biodiversity-area and biodiversity-perimeter relationships in ecology: A case study of urban ecosystems. Urban Ecosyst. 2016, 19, 131–142. [Google Scholar] [CrossRef]
- Shih, W. Bird diversity of greenspaces in the densely developed city centre of Taipei. Urban Ecosyst. 2018, 21, 379–393. [Google Scholar] [CrossRef]
- Ciach, M.; Fröhlich, A. Habitat type, food resources, noise and light pollution explain the species composition, abundance and stability of a winter bird assemblage in an urban environment. Urban Ecosyst. 2017, 20, 547–559. [Google Scholar] [CrossRef]
- Leveau, L.M. Artificial light at night (ALAN) is the main driver of nocturnal feral pigeon (Columba livia f. domestica) foraging in urban areas. Animals 2020, 10, 554. [Google Scholar] [CrossRef]
- Xu, W.; Fu, W.; Dong, J.; Yu, J.; Huang, P.; Zheng, D.; Chen, Z.; Zhu, Z.; Ding, G. Bird Communities Vary under Different Urbanization Types—A Case Study in Mountain Parks of Fuzhou, China. Diversity 2022, 14, 555. [Google Scholar] [CrossRef]
- Xu, W.; Yu, J.; Huang, P.; Zheng, D.; Lin, Y.; Huang, Z.; Zhao, Y.; Dong, J.; Zhu, Z.; Fu, W. Relationship between Vegetation Habitats and Bird Communities in Urban Mountain Parks. Animals 2022, 12, 2470. [Google Scholar] [CrossRef] [PubMed]







| No. | Response Variable | Urban Parks in Fuzhou | ||||||||
|---|---|---|---|---|---|---|---|---|---|---|
| Chating Park | Helin Ecological Park | Jinjishan Park | Jinshan Park | Liming Lake Park | South Park | Hot Spring Park | West Lake Park | Zuohai Park | ||
| 1 | α-Diversity | 2.48 | 2.54 | 2.59 | 2.67 | 2.12 | 1.82 | 2.20 | 2.24 | 2.50 |
| 2 | Richness | 16.00 | 25.00 | 28.00 | 36.00 | 15.00 | 9.00 | 22.00 | 22.00 | 24.00 |
| 3 | Chao1 | 16.25 | 25.60 | 28.20 | 36.75 | 15.75 | 9.00 | 22.00 | 23.20 | 25.20 |
| 4 | Completeness | 0.97 | 0.99 | 1.00 | 0.99 | 0.97 | 1.00 | 1.00 | 0.99 | 0.99 |
| 5 | Abundance | 77 | 323 | 529 | 647 | 114 | 108 | 456 | 299 | 321 |
Publisher’s Note: MDPI stays neutral with regard to jurisdictional claims in published maps and institutional affiliations. |
© 2022 by the authors. Licensee MDPI, Basel, Switzerland. This article is an open access article distributed under the terms and conditions of the Creative Commons Attribution (CC BY) license (https://creativecommons.org/licenses/by/4.0/).
Share and Cite
Huang, P.; Zheng, D.; Yan, Y.; Xu, W.; Zhao, Y.; Huang, Z.; Ding, Y.; Lin, Y.; Zhu, Z.; Chen, Z.; et al. Effects of Landscape Features on Bird Community in Winter Urban Parks. Animals 2022, 12, 3442. https://doi.org/10.3390/ani12233442
Huang P, Zheng D, Yan Y, Xu W, Zhao Y, Huang Z, Ding Y, Lin Y, Zhu Z, Chen Z, et al. Effects of Landscape Features on Bird Community in Winter Urban Parks. Animals. 2022; 12(23):3442. https://doi.org/10.3390/ani12233442
Chicago/Turabian StyleHuang, Peilin, Dulai Zheng, Yijing Yan, Weizhen Xu, Yujie Zhao, Ziluo Huang, Yinghong Ding, Yuxin Lin, Zhipeng Zhu, Ziru Chen, and et al. 2022. "Effects of Landscape Features on Bird Community in Winter Urban Parks" Animals 12, no. 23: 3442. https://doi.org/10.3390/ani12233442
APA StyleHuang, P., Zheng, D., Yan, Y., Xu, W., Zhao, Y., Huang, Z., Ding, Y., Lin, Y., Zhu, Z., Chen, Z., & Fu, W. (2022). Effects of Landscape Features on Bird Community in Winter Urban Parks. Animals, 12(23), 3442. https://doi.org/10.3390/ani12233442
