The Usefulness of Serum Brain Damage Biomarkers in Detection and Evaluation of Hypoxic Ischemic Encephalopathy in Calves with Perinatal Asphyxia
Abstract
Simple Summary
Abstract
1. Introduction
2. Materials and Methods
2.1. Healthy Calves
2.2. Calves with Asphyxia
2.3. Clinical Examination and Neurological Status
2.4. Criteria for Definition of Respiratory Distress Syndrome (RDS)
2.5. Collection of Blood Samples
2.5.1. Blood Gas and Chemistry Analysis
2.5.2. Complete Blood Count Analysis
2.5.3. Evaluation of Brain-Related Biomarkers
2.6. Histopathology
2.7. Immunohistochemistry (IHC)
2.8. Statistical Analysis
3. Results
3.1. Clinical Findings
Neurological Status
3.2. Blood Gas and CBC Analysis
3.3. Brain-Related Biomarkers Analysis
3.4. Correlation Analysis
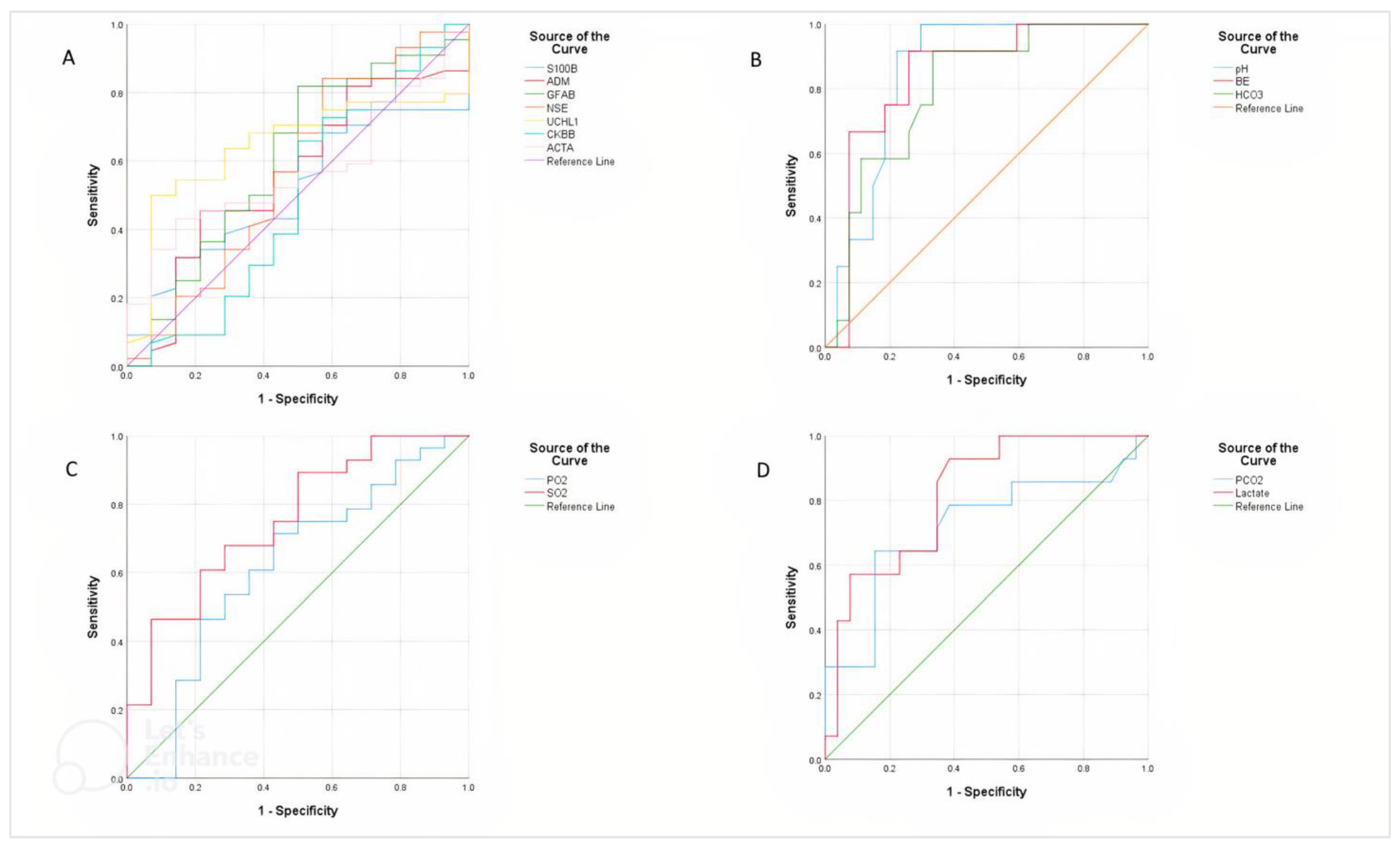
3.5. Prognostic Indicators Analysis
3.5.1. Survival Probability
3.5.2. Neurological Status Score
3.5.3. Brain-Related Biomarker
3.5.4. Blood Gases and Chemistry
3.6. Pathological Findings
3.6.1. Macroscopic Findings
3.6.2. Microscopic Findings
3.6.3. Immunohistochemical
4. Discussion
5. Conclusions
Supplementary Materials
Author Contributions
Funding
Institutional Review Board Statement
Informed Consent Statement
Data Availability Statement
Conflicts of Interest
References
- Bleul, U. Respiratory distress syndrome in calves. Vet. Clin. N. Am. Food Anim. 2009, 25, 179–193. [Google Scholar] [CrossRef] [PubMed]
- Ok, M.; Yıldız, R.; Traş, B.; Başpınar, N.; Akar, A. Oxidative stress and acute phase response status during treatment in premature calves with respiratory distres syndrome. J. Hell. Vet. Med. Soc. 2021, 72, 3246–3256. [Google Scholar]
- Ider, M.; Naseri, A.; Ok, M.; Gulersoy, E.; Bas, T.M.; Uney, K.; Parlak, T.M.; Abdelaziz, A. Serum sRAGE and sE-selectin levels are useful biomarkers of lung injury and prediction of mortality in calves with perinatal asphyxia. Theriogenology 2022, 181, 113–118. [Google Scholar] [CrossRef] [PubMed]
- Shalak, L.; Perlman, J.M. Hypoxic-ischemic brain injury in the term infant-current concepts. Early Hum. Dev. 2004, 80, 125–141. [Google Scholar] [CrossRef] [PubMed]
- Cotten, C.M.; Shankaran, S. Hypothermia for hypoxic-ischemic encephalopathy. Expert Rev. Obstet. Gynecol. 2010, 5, 227–239. [Google Scholar] [CrossRef] [PubMed]
- Badr Zahr, L.K.; Purdy, I. Brain injury in the infant: The old, the new, and the uncertain. J. Perinat. Neonatal Nurs. 2006, 20, 163–175. [Google Scholar] [CrossRef] [PubMed]
- Gazzolo, D.; Abella, R.; Marinoni, E.; Di Iorio, R.; Li Volti, G.; Galvano, F.; Sabatini, M. New markers of neonatal neurology. J. Matern-Fetal Neonatal Med. 2009, 22, 57–61. [Google Scholar] [CrossRef]
- Bennet, L.; Booth, L.; Gunn, A.J. Potential biomarkers for hypoxic–ischemic encephalopathy. Semin. Fetal Neonatal Med. 2010, 15, 253–260. [Google Scholar] [CrossRef]
- Douglas-Escobar, M.V.; Weiss, M.D. Biomarkers of brain injury in the premature infant. Front. Neurol. 2013, 3, 185–193. [Google Scholar] [CrossRef]
- Bersani, I.; Auriti, C.; Ronchetti, M.P.; Prencipe, G.; Gazzolo, D.; Dotta, A. Use of early biomarkers in neonatal brain damage and sepsis: State of the art and future perspectives. BioMed Res. Int. 2015, 2015, 253520. [Google Scholar] [CrossRef]
- Siman, R.; Toraskar, N.; Dang, A.; McNeil, E.; McGarvey, M.; Plaum, J.; Maloney, E.; Grady, M.S. A panel of neuron-enriched proteins as markers for traumatic brain injury in humans. J. Neurotrauma 2009, 26, 1867–1877. [Google Scholar] [CrossRef] [PubMed]
- Ringger, N.C.; Giguere, S.; Morresey, P.R.; Yang, C.; Shaw, G. Biomarkers of brain injury in foals with hypoxic-ischemic encephalopathy. J. Vet. Intern. Med. 2011, 25, 132–137. [Google Scholar] [CrossRef] [PubMed]
- Rickmann, M.; Wolff, J.R. S100 protein expression in subpopulations of neurons of rat brain. Neuroscience 1995, 67, 977–991. [Google Scholar] [CrossRef]
- Blennow, M.; Sävman, K.; Ilves, P.; Thoresen, M.; Rosengren, L. Brain-specific proteins in the cerebrospinal fluid of severely asphyxiated newborn infants. Acta Paediatr. 2001, 90, 1171–1175. [Google Scholar] [CrossRef] [PubMed]
- Di Iorio, R.; Marinoni, E.; Lituania, M.; Serra, G.; Letizia, C.; Cosmi, E.V.; Gazzolo, D. Adrenomedullin increases in term asphyxiated newborns developing intraventricular hemorrhage. Clin. Biochem. 2004, 37, 1112–1116. [Google Scholar] [CrossRef] [PubMed]
- Mukerji, S.S.; Katsman, E.A.; Wilber, C.; Haner, N.A.; Selman, W.R.; Hall, A.K. Activin is a neuronal survival factor that is rapidly increased after transient cerebral ischemia and hypoxia in mice. J. Cereb. Blood Flow Metab. 2007, 27, 1161–1172. [Google Scholar] [CrossRef]
- Massaro, A.N.; Chang, T.; Kadom, N.; Tsuchida, T.; Scafidi, J.; Glass, P.; McCarter, R.; Baumgart, S.; Vezina, G.; Nelson, K.B. Biomarkers of brain injury in neonatal encephalopathy treated with hypothermia. J. Pediatr. 2012, 161, 434–440. [Google Scholar] [CrossRef]
- Celtik, C.; Acunbaş, B.; Öner, N.; Pala, O. Neuron-specific enolase as marker of the severity and outcomeof hypoxic ischemic encephalopathy. Brain Dev. 2004, 26, 398–402. [Google Scholar] [CrossRef]
- Lv, H.; Wang, Q.; Wu, S.; Yang, L.; Ren, P.; Yang, Y.; Gao, J.; Li, L. Neonatal hypoxic ischemic encephalopathy-related biomarkers in serum and cerebrospinal fluid. Clin. Chim. Acta 2015, 450, 282–297. [Google Scholar] [CrossRef]
- Ennen, C.S.; Huisman, T.A.; Savage, W.J.; Northington, F.J.; Jennings, J.M.; Everett, A.D.; Graham, E.M. Glial fibrillary acidic protein as a biomarker for neonatal hypoxicischemic encephalopathy treated with whole-body cooling. Am. J. Obstet. Gynecol. 2011, 205, 251–257. [Google Scholar] [CrossRef]
- Sweet, D.G.; Bell, A.H.; McClure, G.; Wallace, I.J.; Shields, M.D. Comparison between creatine kinase brain isoenzyme (CKBB) activity and Sarnat score for prediction of adverse outcome following perinatal asphyxia. J. Perinat. Med. 1999, 27, 478–483. [Google Scholar] [CrossRef] [PubMed]
- Mohri, M.; Sharifi, K.; Eidi, S. Hematology and serum biochemistry of Holstein dairy calves: Age related changes and comparison with blood composition in adults. Res. Vet. Sci. 2007, 83, 30–39. [Google Scholar] [CrossRef] [PubMed]
- Probo, M.; Giordano, A.; Moretti, P.; Opsomer, G.; Fiems, L.O.; Veronesi, M.C. Mode of delivery is associated with different hematological profiles in the newborn calf. Theriogenology 2012, 77, 865–872. [Google Scholar] [CrossRef] [PubMed]
- Dillane, P.; Krump, L.; Kennedy, A.; Sayers, R.G.; Sayers, G.P. Establishing blood gas ranges in healthy bovine neonates differentiated by age, sex, and breed type. J. Dairy Sci. 2018, 101, 3205–3212. [Google Scholar] [CrossRef] [PubMed]
- Yildiz, R.; Ok, M. Clinical efficacy of combinations of nebulised fluticasone, salbutamol and furosemide on lung function in premature calves with respiratory distress syndrome. Vet. Med. 2017, 62, 541–552. [Google Scholar] [CrossRef]
- Ider, M.; Naseri, A.; Ok, M.; Uney, K.; Erturk, A.; Durgut, M.K.; Parlak, T.M.; Ismaıloglu, N.; Kapar, M.M. Biomarkers in premature calves with and without respiratory distress syndrome. J. Vet. Intern. Med. 2021, 35, 2524–2533. [Google Scholar] [CrossRef] [PubMed]
- Ok, M.; Yıldız, R.; Traş, B.; Başpınar, N.; Akar, A. Effect of nebulized formeterol, ipratropium bromid, and furosemid in combination combination with fluticasone propionate on arterial blood gases prematüre calves with respiratory distres syndrome. J. Hell. Vet. Med. Soc. 2020, 71, 2011–2018. [Google Scholar] [CrossRef]
- Luna, L.G. Manual of Histologic Staining Methods of the Armed Forces Institute of Pathology, 3rd ed.; McGraw-Hill: New York, NY, USA, 1968. [Google Scholar]
- Bleul, U.; Lejeune, B.; Schwantag, S.; Kähn, W. Blood gas and acid-base analysis of arterial blood in 57 newborn calves. Vet. Rec. 2007, 2161, 688–691. [Google Scholar] [CrossRef] [PubMed]
- Hanrahan, J.D.; Sargentoni, J.; Azzopardi, D. Cerebral metabolism within 18 hours of birthasphyxia: A proton magnetic resonance spectroscopy study. Pediatr. Res. 1996, 39, 584–590. [Google Scholar] [CrossRef]
- Palmer, C.; Roberts, R.L.; Young, P.I. Timing of neutrophil depletion influences long-term neuroprotection in neonatal rat hypoxic-ischemic brain injury. Pediatr. Res. 2004, 55, 549–556. [Google Scholar] [CrossRef]
- Bleul, U.T.; Bircher, B.M.; Kahn, W.K. Effect of intranasal oxygen administration on blood gas variables and outcome in neonatal calves with respiratory distress syndrome: 20 cases (2004–2006). J. Am. Vet. Med. Assoc. 2008, 233, 289–293. [Google Scholar] [CrossRef] [PubMed]
- Namusoke, H.; Nannyonga, M.M.; Ssebunya, R.; Nakibuuka, V.K.; Mworozi, E. Incidence and short term outcomes of neonates with hypoxic ischemic encephalopathy in a Peri Urban teaching hospital, Uganda: A prospective cohort study. Matern. Health Neonatol. Perinatol. 2018, 4, 6. [Google Scholar] [CrossRef] [PubMed]
- Balikçi, E.; Yıldız, A. Effects on arterial blood gases and some clinical parameters of caffeine, atropine sulphate or doxapram hydrochloride in calves with neonatal asphyxia. Rev. Med. Vet. 2009, 160, 282–287. [Google Scholar]
- Bleul, U.; Götz, E. The effect of lactic acidosis on the generation and compensation of mixed respiratory-metabolic acidosis in neonatal calves. Vet. Rec. 2013, 172, 528–534. [Google Scholar] [CrossRef]
- Szenci, O. Role of acid-base disturbances in perinatal mortality of calves: Review. Vet. Bull. 2003, 73, 7–14. [Google Scholar] [CrossRef]
- Murray, P.G.; Stewart, M.J. Use of nasal continuous positive airway pressure during retrieval of neonates with acute respiratory distress. Pediatrics 2008, 121, 754–758. [Google Scholar] [CrossRef]
- Bergeron, M.; Yu, A.Y.; Semenza, G.L.; Ferrireo, D.M.; Sharp, F.R. Role of hypoxia-inducible factor-1 in hypoxia-induced ischemic tolerance in neonatal rat brain. Ann. Neurol. 2000, 48, 285–296. [Google Scholar] [CrossRef]
- Bergeron, M.; Yu, A.Y.; Solway, K.E.; Semenza, G.L.; Sharp, F.R. Induction of hypoxia-inducible factor-1 (HIF-1) and its target genes following focal ischaemia in rat brain. Eur. J. Neurosci. 1999, 11, 4159–4170. [Google Scholar] [CrossRef]
- Demirel, S.H.; Çetinkaya, S. Hypoxia-inducible factor-1: Physiological and pathological response to hypoxia of cell. Sakarya Med. J. 2014, 4, 171–177. [Google Scholar] [CrossRef]
- Barranco, R.; Bonsignore, A.; Ventura, F. Immunohistochemistry in postmortem diagnosis of acute cerebral hypoxia and ischemia: A systematic review. Medicine 2021, 25, 26486. [Google Scholar] [CrossRef]
- Schuijt, G. Iatrogenic fractures of ribs and vertebrae during delivery in perinatally dying calves: 235 cases (1978–1988). J. Am. Vet. Med. Assoc. 1990, 197, 1196–1202. [Google Scholar] [PubMed]
- Yildiz, R.; Aydogdu, U.; Guzelbektes, H.; Coskun, A.; Sen, I. Venous lactate, pH and partial pressure of carbon dioxide levels as prognostic indicators in 110 premature calves with respiratory distress syndrome. Vet. Rec. 2017, 180, 611. [Google Scholar] [CrossRef] [PubMed]
- Chawla, D. Biomarkers for Prognostication in Hypoxic-Ischemic Encephalopathy. Indian J. Pediatr. 2020, 87, 777–778. [Google Scholar] [CrossRef] [PubMed]
- Chen, C.; Qin, H.; Tan, J.; Hu, Z.; Zeng, L. The Role of Ubiquitin-Proteasome Pathway and Autophagy-Lysosome Pathway in Cerebral Ischemia. Oxid. Med. Cell. Longev. 2020, 2020, 5457049. [Google Scholar] [CrossRef] [PubMed]
- Kecskes, Z.; Dunster, K.R.; Colditz, P.B. NSE and S100 after hypoxia in the newborn pig. Pediatr. Res. 2005, 58, 953–957. [Google Scholar] [CrossRef] [PubMed]
- Matuszczak, E.; Tylicka, M.; Komarowska, M.D.; Debek, W.; Hermanowicz, A. Ubiquitin carboxy-terminal hydrolase L1—Physiology and pathology. Cell Biochem. Funct. 2020, 38, 533–540. [Google Scholar] [CrossRef]
- Zeng, S.; Huang, Y.; Zhong, T.; Huang, T.; Dong, X.; Zhu, H.; Ouyang, F. The expression and clinical value of ubiquitin carboxyl-terminal hydrolase L1 in the blood of neonates with hypoxic ischemic encephalopathy. Transl. Pediatr. 2021, 10, 2063–2068. [Google Scholar] [CrossRef]
- Yang, Z.; Xu, H.; Sura, L.; Arja, R.D.; Patterson, R.L.; Rossignol, C.; Albayram, M.; Rajderkar, D.; Ghosh, S.; Wang, K.; et al. Combined GFAP, NFL, Tau, and UCH-L1 panel increases prediction of outcomes in neonatal encephalopathy. Pediatr. Res. 2022. [Google Scholar] [CrossRef]
- Gazzolo, D.; Vinesi, P.; Bartocci, M.; Geloso, M.C.; Bonacci, W.; Serra, G.; Haglid, K.G.; Michetti, F. Elevated S100 blood level as an early indicator of intraventricular hemorrhage in preterm infants, correlation with cerebral Doppler velocimetry. J. Neurol. Sci. 1999, 170, 32–35. [Google Scholar] [CrossRef]
- Nagdyman, N.; Kömen, W.; Ko, H.K.; Müller, C.; Obladen, M. Early biochemical indicators of hypoxic-ischemic encephalopathy after birth asphyxia. Pediatr. Res. 2001, 49, 502–506. [Google Scholar] [CrossRef]
- Santotoribio, J.D.; Cañavate-Solano, C.; Quintero-Prado, R.; González-Macías, C.; Soto-Pazos, E.; Vilar-Sanchez, Á.; Mesa-Suárez, P.; Ramos-Ramos, V.; Cuadros-Muñoz, J.F.; Mayor-Reyes, M.; et al. Neuroapoptosis in newborns with respiratory acidosis at birth. Clin. Biochem. 2019, 74, 69–72. [Google Scholar] [CrossRef] [PubMed]
- Fakher, H.; El-Shafey, R.; Diab, A.; Abdelmaksoud, S.; Abdel Raziq, H. Lactate and S100 Protein as Early Biochemical Indicators of Birth Neonatal Asphyxia Caused by Intrauterine Umbilical Cord Strangulation: A Medicolegal View. Zagazig J. Forensic Med. Toxicol. 2022, 20, 132–145. [Google Scholar] [CrossRef]
- Li, F.J.; Zheng, S.R.; Wang, D.M. Adrenomedullin: An important participant in neurological diseases. Neural Regen. Res. 2020, 15, 1199–1207. [Google Scholar] [PubMed]
- Somay, G.; Halac, G.U.; Uslu, E.; Aydin, S. Plasma adrenomedullin in acute ischemic stroke. Neurosciences 2007, 12, 351–353. [Google Scholar]
- Zhang, H.; Tang, B.; Yin, C.G.; Chen, Y.; Meng, Q.L.; Jiang, L.; Wang, W.P.; Niu, G.Z. Plasma adrenomedullin levels are associated with longterm outcomes of acute ischemic stroke. Peptides 2014, 52, 44–48. [Google Scholar] [CrossRef]
- Serrano-Ponz, M.; Rodrigo-Gasque, C.; Siles, E.; Martinez-Lara, E.; Ochoa-Callejero, L.; Martinez, A. Temporal profiles of blood pressure, circulating nitric oxide, and adrenomedullin as predictors of clinical outcome in acute ischemic stroke patients. Mol. Med. Rep. 2016, 13, 3724–3734. [Google Scholar] [CrossRef]
- Mitome-Mishima, Y.; Miyamoto, N.; Tanaka, R.; Shimosawa, T.; Oishi, H.; Arai, H.; Hattori, N.; Urabe, T. Adrenomedullin deficiency and aging exacerbate ischemic white matter injury after prolonged cerebral hypoperfusion in mice. BioMed Res. Int. 2014, 2014, 861632. [Google Scholar] [CrossRef]
- Mahmoodazdeh, A.; Shafiee, S.M.; Sisakht, M.; Khoshdel, Z.; Takhshid, M.A. Adrenomedullin protects rat dorsal root ganglion neurons against doxorubicin-induced toxicity by ameliorating oxidative stress. Iran. J. Basic Med. Sci. 2020, 23, 1197–1206. [Google Scholar]
- Ferriero, D.M. Neonatal brain injury. N. Engl. J. Med. 2004, 351, 1985–1995. [Google Scholar] [CrossRef]
- Buonocore, G.; Groenendaal, F. Anti-oxidant strategies. Semin. Fetal Neonatal Med. 2007, 12, 287–295. [Google Scholar] [CrossRef]
- Florio, P.; Perrone, S.; Luisi, S.; Vezzosi, P.; Longini, M.; Marzocchi, B.; Petraglia, F.; Buonocore, G. Increased plasma concentrations of activin a predict intraventricular hemorrhage in preterm newborns. Clin. Chem. 2006, 52, 1516–1521. [Google Scholar] [CrossRef] [PubMed]
- O’Sullivan, M.P.; Denihan, N.; Sikora, K.; Finder, M.; Ahearne, C.; Clarke, G.; Hallberg, B.; Boylan, G.B.; Murray, D.M. Activin A and Acvr2b mRNA from Umblical Cord Blood Are Not Reliable Markers of Mild or Moderate Neonatal Hypoxic-Ischemic Encephalopathy. Neuropediatrics 2021, 52, 261–267. [Google Scholar] [PubMed]
- Su, X.; Huang, L.; Xiao, D.; Qu, Y.; Mu, D. Research Progress on the Role and Mechanism of Action of Activin A in Brain Injury. Front. Neurosci. 2018, 12, 697. [Google Scholar] [CrossRef] [PubMed]
- Florio, P.; Abella, R.; Marinoni, E.; Di Iorio, R.; Li Volti, G.; Galvano, F.; Pongiglione, G.; Frigiola, A.; Pinzauti, S.; Petraglia, F.; et al. Biochemical markers of perinatal brain damage. Front. Biosci. 2010, 2, 47–72. [Google Scholar] [CrossRef]
- Zaigham, M.; Lundberg, F.; Hayes, R.; Undén, J.; Olofsson, P. Umbilical cord blood concentrations of ubiquitin carboxy-terminal hydrolase L1 (UCH-L1) and glial fibrillary acidic protein (GFAP) in neonates developing hypoxic-ischemic encephalopathy. J. Matern. Neonatal Med. 2016, 29, 1822–1828. [Google Scholar] [CrossRef] [PubMed]
- Noorishakdam, M.; Savabieh, S.; Sahirifi, M.E. Biomarkers of hypoxic-ischemia encephalopathy in newborns. World J. Peri Neonatol. 2020, 3, 28–36. [Google Scholar]
- Wals, P.; Jedeiken, R.; Ellis, G.; Primhak, R.; Makela, S.K. Assessment of neurologic outcome in asphyxiadet term infants by used of serial CK-BB isoenzymes measurement. J. Pediatr. 1982, 101, 988–992. [Google Scholar] [CrossRef]
- Becker, M.; Menzel, K. Brain-typical creatine kinase in the serum of newborn infants with perinatal brain damage. Acta Pediatr. Scand. 1978, 67, 177–180. [Google Scholar] [CrossRef]





| Score | 3 | 2 | 1 |
|---|---|---|---|
| Position | Normal gait | Sternal position | Lateral recumbency |
| Mental status | Alertness and responsive to environment | Depression | Comatose |
| Pupillary light reflex (PLR) | Normal PLR | Slow PLR | Unresponsive mydriasis |
| Corneal reflex (CR) | Normal CR | Slow CR | Unresponsive |
| Responsive to auditory stimuli | Responsive to auditory stimuli | Decrease responsive to auditory stimuli | Unresponsive |
| Level of consciousness | Responsive | Delirium | Unresponsive |
| Sucking reflex | Strong | Weak | Absence |
| Tonus of muscles | Normal | Hypotonia | Atonia |
| Variable | Time of Evaluation (Hours) | ||||
|---|---|---|---|---|---|
| Admission (nH: 10, nA: 25) | 24 (nH: 10, nA: 12) | 48 (nH: 10, nA: 12) | 72 (nH: 10, nA: 12) | ||
| Score | Healthy | 24 | 24 | 24 | 24 |
| Asphyxia | 12.00 a (8–20) | 22.00 b (15–24) | 24.00 b (16–24) | 24.00 b (22–24) | |
| p-Value | 0.000 | 0.001 | |||
| Variable | Time of Evaluation (Hours) | ||||
|---|---|---|---|---|---|
| Admission (nH: 10, nA: 25) | 24 (nH: 10, nA: 12) | 48 (nH: 10, nA: 12) | 72 (nH: 10, nA: 12) | ||
| pH | Healthy | 7.43 (7.40–7.57) | 7.43 (7.35–7.50) | 7.46 (7.39–7.70) | |
| Asphyxia | 7.21 (6.75–7.41) a | 7.44 (7.41–7.45) ab | 7.46 (7.35–7.50) b | 7.39 (7.30–7.45) ab | |
| p-Value | 0.000 | ||||
| PaCO2 (mmHg) | Healthy | 41.10 (25.10–48.50) | 37.45 (27.40–46.30) | 37.40 (34.30–46.80) | 33.40 (17.20–46.40) |
| Asphyxia | 55.50 (35.80–89.10) a | 36.80 (27.90–40.00) b | 40.40 (30.10–55.40) b | 40.30 (38.30–51.20) ab | |
| p-Value | 0.000 | ||||
| PaO2 (mmHg) | Healthy | 49.20 (23.40–97.10) | 52.05 (23.10–68.50) | 49.05 (25.20–80.40) | 61.20 (28.70–150) |
| Asphyxia | 32.80 (18.60–69.60) | 60.30 (57.70–62.90) | 39.80 (23.70–65.60) | 34.50 (20.70–57.10) | |
| p-Value | 0.008 | ||||
| SO2 (%) | Healthy | 96.45 (58.90–101.30) | 96.20 (56.20–98.80) | 94.70 (56.80–99.90) | 95.85 (65.60–101.50) |
| Asphyxia | 77.10 (4.10–97.40) a | 98.40 (98.30–99.20) b | 91.70 (34.30–100.00) ab | 85.20 (44.80–96.40) ab | |
| p-Value | 0.000 | ||||
| K (mmol/L) | Healthy | 4.35 (3.90–4.80) | 4.50 (3.90–4.5) | 4.30 (3.90–5.00) | 4.30 (2.90–5.50) |
| Asphyxia | 4.05 (2.60–6.13) | 4.00 (3.40–4.00) | 4.00 (2.60–4.50) | 4.00 (3.90–4.10) | |
| p-Value | |||||
| Na (mmol/L) | Healthy | 146.50 (140–153) | 144.50 (141–157) | 146.00 (141–152) | 149.50 (141–167) |
| Asphyxia | 147.00 (136–159) | 149.00 (145–161) | 147.00 (139–164) | 149 (149–151) | |
| p-Value | |||||
| Ca (mmol/L) | Healthy | 1.03 (0.68–1.28) | 0.90 (0.46–1.17) | 0.90 (0.63–1.30) | 0.75 (0.55–1.17) |
| Asphyxia | 1.00 (0.59–1.44) | 1.10 (1.03–1.17) | 0.94 (0.51–1.15) | 0.85 (0.74–1.17) | |
| p-Value | |||||
| Cl (mmol/L) | Healthy | 103.00 (100–115) | 104.00 (99–107) | 102.50 (98–106) | 106.50 (99–114) |
| Asphyxia | 103.00 (87–110) | 104.00 (100–112) | 102.00 (91–111) | 108.00 (100–111) | |
| p-Value | |||||
| Glu (mg/dL) | Healthy | 103.00 (54–137) | 111.00 (91–138) | 108.00 (76–123) | 107.00 (78–139) |
| Asphyxia | 75.00 (0–264) | 76.00 (65–121) | 105.00 (72–138) | 66.00 (56–115) | |
| p-Value | |||||
| Lac (mmol/L) | Healthy | 4.00 (2.60–5.20) a | 3.30 (1.80–4.00) ab | 2.05 (1.10–4.60) b | 1.85 (0.90–2.90) b |
| Asphyxia | 7.90 (1.60–29.00) a | 9.10 (7.50–10.70) ab | 2.10 (1.20–5.00) b | 3.00 (0.70–7.00) ab | |
| p-Value | 0.001 | ||||
| BE (mmol/L) | Healthy | 0.25 (−7.20–5.40) | 1.25 (−1.40–6.20) | 1.10 (−1.20–6.20) | 1.15 (−6.40–6.80) |
| Asphyxia | −5.60 (−18.00–1.80) a | −1.70 (−4.90–3.50) ab | 4.70 (−3.70–14.80) b | −1.50 (−3.90–1.40) ab | |
| p-Value | 0.002 | ||||
| HCO3 (mmol/L) | Healthy | 25.25 (17–30) | 25.20 (22.60–30.50) | 25.60 (23.20–30.40) | 24.55 (17.60–31.00) |
| Asphyxia | 23.40 (14.00–27.90) a | 23.00 (19.10–27.60) ab | 28.00 (20.90–38.00) b | 25.00 (23.40–27.90) ab | |
| p-Value | |||||
| Variable | Time of Evaluation (Hours) | ||||
|---|---|---|---|---|---|
| 0.saat (nH: 10, nA: 25) | 24.saat (nH: 10, nA: 12) | 48.saat (nH: 10, nA: 12) | 72.saat (nH: 10, nA: 12) | ||
| UCHL1 (ng/L) | Healthy | 815.25 (504.94–1066.98) a | 784.71 (414.73–1103.11) ab | 703.77 (454.14–918.44) ab | 558.81 (33.13–922.01) b |
| Asphyxia | 1918.42 (1267.64–3092.14) | 1679.87 (1296.22–6336.06) | 1428.56 (1261.93–4400.46) | 1751.06 (1199.29–5237.30) | |
| p-Value | 0.000 | 0.000 | 0.000 | 0.000 | |
| S100B (ng/mL) | Healthy | 12.99 (8.33–20.97) a | 9.16 (6.47–13.71) b | 9.85 (6.37–11.29) ab | 8.76 (5.79–13.80) b |
| Asphyxia | 30.34 (19.76–46.25) | 30.24 (24.79–106.76) | 26.56 (21.59–88.16) | 63.99 (23.82–89.13) | |
| p-Value | 0.000 | 0.000 | 0.000 | 0.000 | |
| ADM (pg/mL) | Healthy | 156.89 (92.21–305.80) | 200.51 (53.59–320.89) | 204.85 (69.32–378.92) | 202.27 (124.67–317.82) |
| Asphyxia | 144.96 (19.51–287.69) | 128.01 (100.49–183.49) | 152.45 (28.91–534.59) | 147.80 (107.97–247.20) | |
| p-Value | 0.010 | ||||
| ACTA (pg/mL) | Healthy | 6713.74 (4177.42–7207.84) a | 5531.27 (3479.30–7493.42) ab | 4640.49 (2393.00–6395.36) ab | 4314.41 (2599.97–5721.20) b |
| Asphyxia | 4256.21 (2087.61–8596.39) a | 5068.65 (3946.66–7062.84) a | 2269.94 (331.93–5536.58) b | 2565.06 (1211.90–3577.87) b | |
| p-Value | 0.031 | 0.008 | 0.001 | ||
| NSE (ng/mL) | Healthy | 4.10 (2.14–8.77) | 5.69 (2.06–9.88) | 5.05 (2.30–10.05) | 5.01 (3.38–8.95) |
| Asphyxia | 3.48 (0.90–5.49) | 2.94 (2.07–4.14) | 3.50 (0.83–6.30) | 3.67 (2.42–4.54) | |
| p-Value | 0.020 | 0.024 | 0.002 | ||
| GFAP (ng/mL) | Healthy | 3.57 (0.39–7.23) | 3.62 (0.38–7.37) | 3.96 (0.91–6.60) | 2.98 (2.36–5.84) |
| Asphyxia | 3.54 (0.34–6.22) | 2.74 (1.84–4.04) | 3.68 (0.52–9.08) | 4.16 (2.10–5.38) | |
| p-Value | |||||
| CK-B (ng/mL) | Healthy | 7.14 (4.21–9.68) | 8.05 (4.00–11.85) | 7.09 (1.81–11.46) | 8.08 (3.70–12.18) |
| Asphyxia | 3.39 (0.40–17.69) | 5.44 (2.93–17.10) | 4.90 (2.41–13.49) | 2.77 (0.51–13.49) | |
| p-Value | 0.021 | 0.024 | |||
| Variable | UCHL1 | S100B | ADM | ACTA | NSE | GFAP | CK-B | Neurological Status Score |
|---|---|---|---|---|---|---|---|---|
| PaCO2 | 0.117 | 0.031 | 0.178 | 0.220 | 0.096 | 0.113 | 0.147 | −0.657 ** |
| PaO2 | 0.028 | 0.278 | −0.201 | 0.042 | −0.013 | −0.238 | −0.188 | 0.328 * |
| SO2 | 0.001 | 0.323 * | −0.230 | 0.020 | −0.138 | −0.271 | −0.115 | 0.507 ** |
| Lactate | 0.235 | 0.155 | 0.159 | 0.143 | 0.196 | 0.165 | 0.139 | −0.626 ** |
| Neurological status score | −0.161 | 0.068 | −0.004 | −0.497 ** | 0.051 | 0.007 | 0.063 | 1.00 |
| Variable | AUC | Standard Error | p-Value | Asymptotic 95% Confidence Interval | Sensitivity | Specificity | Cut-Off Value | |
|---|---|---|---|---|---|---|---|---|
| Lower Band | Upper Bound | |||||||
| PaO2 | 0.617 | 0.098 | 0.220 | 0.426 | 0.809 | 60 | 65 | 35.60 |
| SO2 | 0.755 | 0.079 | 0.008 | 0.601 | 0.909 | 67 | 72 | 78.75 |
| PaCO2 | 0.720 | 0.093 | 0.023 | 0.537 | 0.902 | 71 | 66 | 50 |
| Lactate | 0.820 | 0.067 | 0.001 | 0.690 | 0.951 | 85 | 66 | 6.4 |
| pH | 0.853 | 0.060 | 0.000 | 0.735 | 0.971 | 91 | 78 | 7.29 |
| HCO3 | 0.801 | 0.073 | 0.003 | 0.659 | 0.943 | 83 | 67 | 24.15 |
| BE | 0.843 | 0.067 | 0.001 | 0.711 | 0.974 | 91 | 75 | −2.45 |
Publisher’s Note: MDPI stays neutral with regard to jurisdictional claims in published maps and institutional affiliations. |
© 2022 by the authors. Licensee MDPI, Basel, Switzerland. This article is an open access article distributed under the terms and conditions of the Creative Commons Attribution (CC BY) license (https://creativecommons.org/licenses/by/4.0/).
Share and Cite
Ok, M.; Naseri, A.; Ates, M.B.; Ider, M.; Uney, K.; Sevinc, M.; Hatipoglu, F.; Yildiz, R.; Erturk, A.; Baspinar, N.; et al. The Usefulness of Serum Brain Damage Biomarkers in Detection and Evaluation of Hypoxic Ischemic Encephalopathy in Calves with Perinatal Asphyxia. Animals 2022, 12, 3223. https://doi.org/10.3390/ani12223223
Ok M, Naseri A, Ates MB, Ider M, Uney K, Sevinc M, Hatipoglu F, Yildiz R, Erturk A, Baspinar N, et al. The Usefulness of Serum Brain Damage Biomarkers in Detection and Evaluation of Hypoxic Ischemic Encephalopathy in Calves with Perinatal Asphyxia. Animals. 2022; 12(22):3223. https://doi.org/10.3390/ani12223223
Chicago/Turabian StyleOk, Mahmut, Amir Naseri, Mehmet Burak Ates, Merve Ider, Kamil Uney, Mutlu Sevinc, Fatih Hatipoglu, Ramazan Yildiz, Alper Erturk, Nuri Baspinar, and et al. 2022. "The Usefulness of Serum Brain Damage Biomarkers in Detection and Evaluation of Hypoxic Ischemic Encephalopathy in Calves with Perinatal Asphyxia" Animals 12, no. 22: 3223. https://doi.org/10.3390/ani12223223
APA StyleOk, M., Naseri, A., Ates, M. B., Ider, M., Uney, K., Sevinc, M., Hatipoglu, F., Yildiz, R., Erturk, A., Baspinar, N., & Iyigun, S. S. (2022). The Usefulness of Serum Brain Damage Biomarkers in Detection and Evaluation of Hypoxic Ischemic Encephalopathy in Calves with Perinatal Asphyxia. Animals, 12(22), 3223. https://doi.org/10.3390/ani12223223

