Efficacy of a Biocidal Paint in Controlling Alphitobius diaperinus (Panzer) (Coleoptera: Tenebrionidae) and Improving the Quality of Air and Litter in Poultry Houses
Abstract
Simple Summary
Abstract
1. Introduction
2. Materials and Methods
- (i)
- chemical—permethrin (0.04% by weight),
- (ii)
- optical—a mixture of ultramarine and violet 23 (0.004% by weight)
- (i)
- zinc pyrithione (0.12 % by weight),
- (ii)
- 1,2-benzisothiazol-3(2H)-one (0.05% by weight).
2.1. Location of A. diaperinus
2.2. Microbiological Contamination
2.3. Microclimate Conditions and the Physicochemical Parameters of Litter
2.4. Statistical Analysis
3. Results
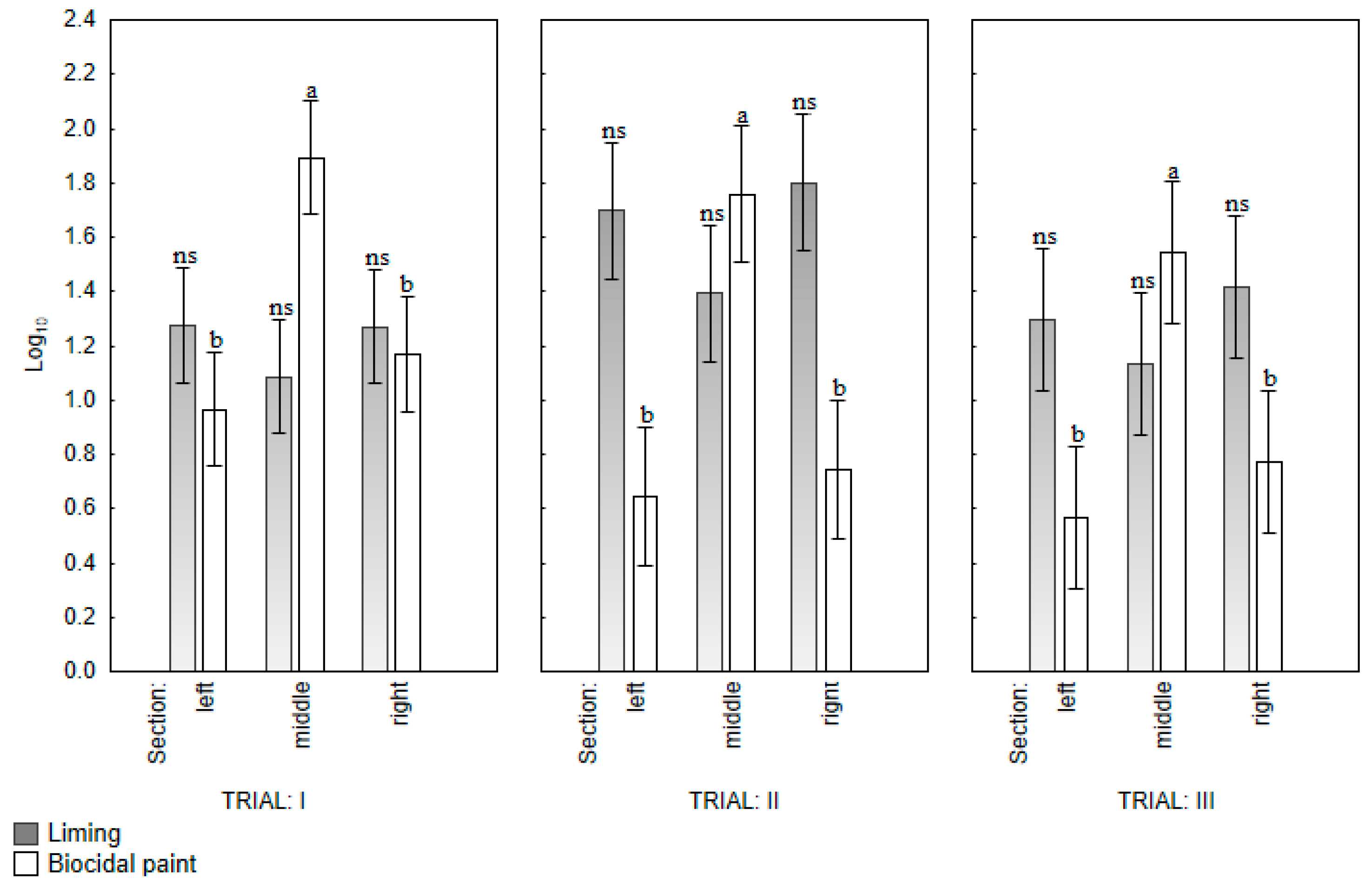
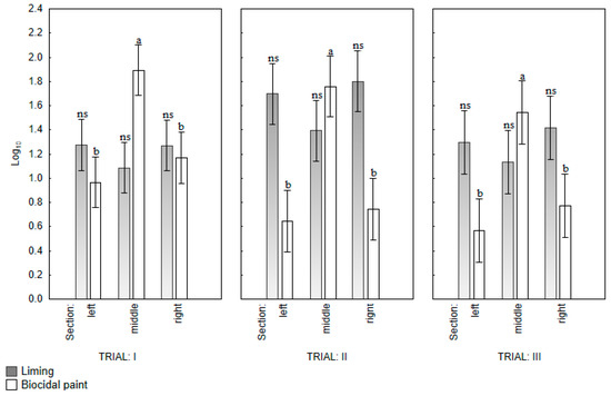
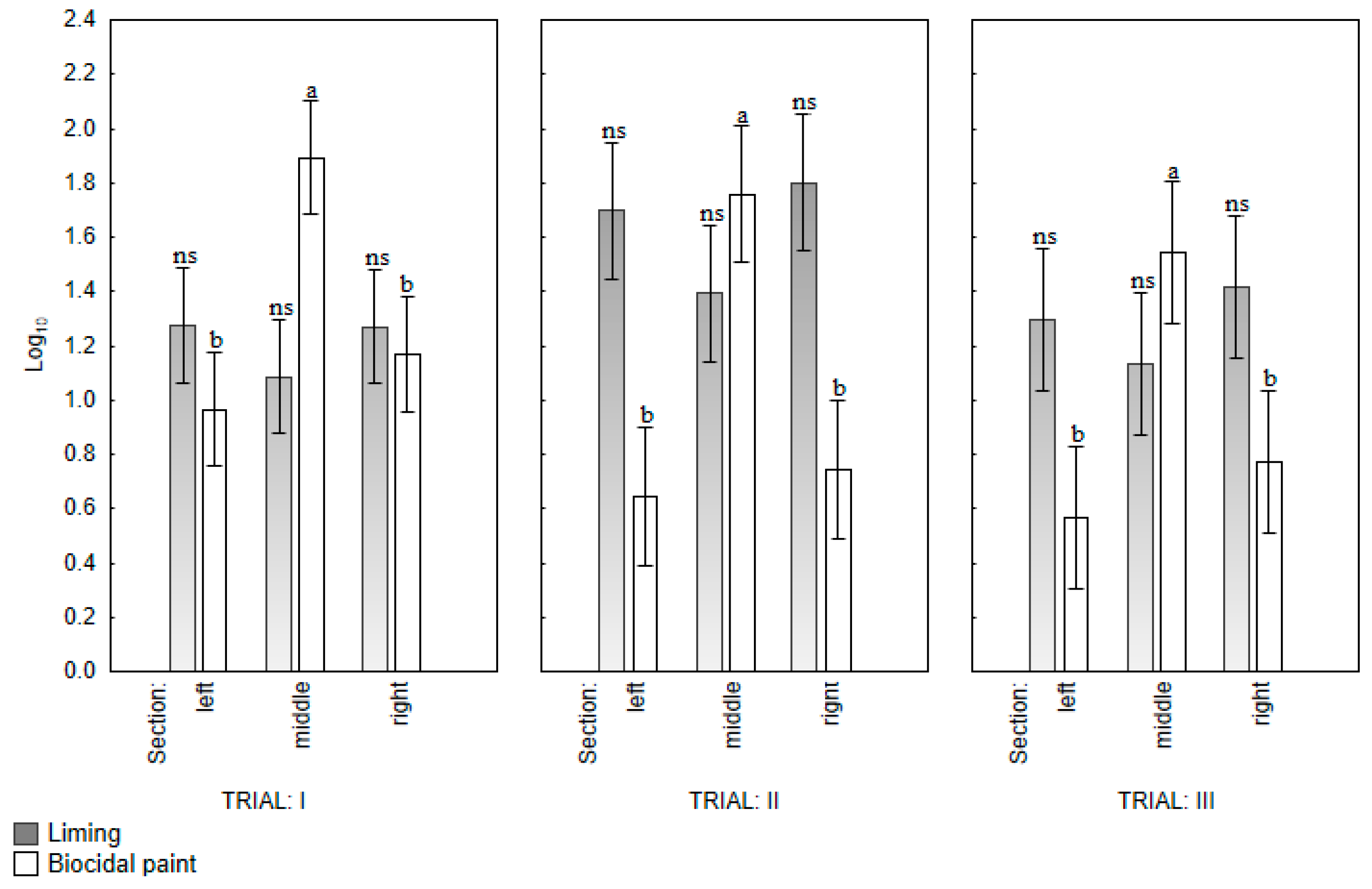
3.1. Location of A. diaperinus
3.2. Microbiological Contamination
3.3. Microclimate Conditions and the Physicochemical Parameters of Litter
3.3.1. Temperature, Relative Humidity, and NH3 Concentration in the Air
3.3.2. Litter Temperature and Moisture Content, NH3 Concentration and pH
4. Discussion
4.1. Location of A. diaperinus
4.2. Microbiological Contamination
4.3. Microclimate Conditions and the Physicochemical Parameters of Litter
5. Conclusions
Author Contributions
Funding
Institutional Review Board Statement
Informed Consent Statement
Data Availability Statement
Acknowledgments
Conflicts of Interest
References
- Huber, K.; Gouilloud, L.; Zenner, L. A preliminary study of natural and experimental infection of the lesser mealworm Alphitobius diaperinus (Coleoptera: Tenebrionidae) with Histomonas meleagridis (Protozoa: Sarcomastigophora). Avian Pathol. 2007, 36, 279–282. [Google Scholar] [CrossRef] [PubMed][Green Version]
- Hess, J.B.; Macklin, K.S.; McCrea, B.A. Litter beetle (Alphitobius diaperinus Panzer) counts in broiler houses treated with a range of insecticides. J. Appl. Anim. Res. 2008, 33, 127–131. [Google Scholar] [CrossRef]
- Roche, A.J.; Cox, N.A.; Richardson, L.J.; Buhr, R.J.; Cason, J.A.; Fairchild, B.D.; Hinkle, N.C. Transmission of Salmonella to broilers by contaminated larval and adult lesser mealworms, Alphitobius diaperinus (Coleoptera: Tenebrionidae). Poult. Sci. 2009, 88, 44–48. [Google Scholar] [CrossRef] [PubMed]
- Mituniewicz, T.; Dzik, S. Characteristics of lesser mealworm Alphitobius diaperinus (Panzer) (Coleoptera: Tenebrionidae). Vet. Med. Sci. Pract. 2020, 76, 145–149. [Google Scholar] [CrossRef]
- Lambkin, T.A. Baseline responses of adult Alphitobius diaperinus (Panzer) (Coleoptera: Tenebrionidae) to fenitrothion and susceptibility status of populations in Queensland and New South Wales, Australia. J. Econ. Entomol. 2005, 98, 938–942. [Google Scholar] [CrossRef]
- Chernaki-Leffer, A.M.; Almeida, L.M.; Sosa-Gomez, D.R.; Anjos, A.; Vogado, K.M. Population fluctuation and spatial distribution of Alphitobius diaperinus (Panzer) (Coleoptera; Tenebrionidae) in a poultry house, Cascavel, Parana state, Brazil. Braz. J. Biol. 2007, 67, 209–213. [Google Scholar] [CrossRef]
- Voris, J.C.; Meyer, J.A.; Pfost, R.; Woodbury, R. Temperature affects lesser mealworm populations in turkey brooder houses. Calif. Agric. 1994, 48, 18–21. [Google Scholar] [CrossRef]
- Kaufman, P.E.; Reasor, C.; Murray, K.D.; Waldron, J.K.; Rutz, D.A. Evaluation of a barrier to inhibit lesser mealworm (Coleoptera: Tenebrionidae) and Dermestidae movement in high-rise, caged-layer poultry facilities. J. Econ. Entomol. 2005, 98, 1744–1749. [Google Scholar] [CrossRef]
- Rice, S.J.; Lambkin, T.A. A new culture method for lesser mealworm, Alphitobius diaperinus. J. Appl. Entomol. 2009, 133, 67–72. [Google Scholar] [CrossRef]
- Singh, N. Chemical Ecology, Population Dynamics and Insecticide Susceptibility of Lesser Mealworm Alphitobius Diaperinus (Panzer) (Coleoptera: Tenebrionidae); University of Arkansas: Fayetteville, AR, USA, 2011. [Google Scholar]
- Champan, J.S. Biocide resistant mechanisms. Int. Biodetecterior. Biodegrad. 2003, 51, 133–138. [Google Scholar] [CrossRef]
- Nechyporenko, O.L.; Berezovskyy, A.V.; Fotina, T.I.; Petrov, R.V.; Fotin, A.I. Efficiency of complex disinfecting measures in the conditions of poultry farming. Sci. Messenger Lviv. Natl. Univ. Vet. Med. Biotechnol. 2018, 92, 165–168. [Google Scholar] [CrossRef][Green Version]
- Crump, J.A.; Griffin, P.M.; Angulo, F.J. Bacterial contamination of animal feed and its relationship to human foodborne illness. Clin. Infect. Dis. 2002, 35, 859–865. [Google Scholar] [CrossRef] [PubMed]
- Alali, W.Q.; Hofacre, C.L. Preharvest food safety in broiler chicken production. Microbiol. Spectrum 2016, 4, 69–86. [Google Scholar] [CrossRef] [PubMed]
- Scallan, E.; Hoekstra, R.M.; Angulo, F.J.; Tauxe, R.V.; Widdowson, M.A.; Roy, S.L.; Jones, J.L.; Griffin, P.M. Foodborne illness acquired in the United States: Major pathogens. Emerg. Infect. Dis. 2011, 17, 15–17. [Google Scholar] [CrossRef]
- EFSA and ECDC (European Food Safety Authority and European Centre for Disease Prevention and Control). The European Union One Health 2020 Zoonoses Report. EFSA J. 2021, 19, 6971. [Google Scholar] [CrossRef]
- Lee, S.A.; Adhikari, A.; Grinshpun, S.A.; McKay, R.; Shukla, R.; Reponen, T. Personal exposure to airborne dust and microorganisms in agricultural environments. J. Occup. Environ. Hyg. 2006, 3, 118–130. [Google Scholar] [CrossRef]
- Vučemilo, M.; Matković, K.; Vinković, B.; Jakšić, S.; Granić, K.; Mas, N. The effect of animal age on air pollutant concentration in a broiler house. Czech J. Anim. Sci. 2007, 52, 170–174. [Google Scholar] [CrossRef]
- Bródka, K.; Kozajda, A.; Buczyńska, A.; Szadkowska-Stańczyk, I. The variability of bacteria aerosol in poultry houses depending on selected factors. Int. J. Occup. Med. Environ. Health 2012, 25, 281–293. [Google Scholar] [CrossRef]
- Oppliger, A.; Charriere, N.; Droz, P.-O.; Rinsoz, T. Exposure to Bioaerosols in Poultry Houses at Different Stages of Fattening; Use of Real-time PCR for Airborne Bacterial Quantification. Ann. Occup. Hyg. 2008, 52, 405–412. [Google Scholar] [CrossRef]
- Witkowska, D.; Sowińska, J. The effectiveness of peppermint and thyme essential oil mist in reducing bacterial contamination in broiler houses. Poult. Sci. 2013, 92, 2834–2843. [Google Scholar] [CrossRef]
- Fries, R.; Akcan, M.; Bandick, N.; Kobe, A. Microflora of two different types of poultry litter. Br. Poult. Sci. 2005, 46, 668–672. [Google Scholar] [CrossRef] [PubMed]
- Mituniewicz, T.; Sowińska, J.; Wójcik, A.; Iwańczuk-Czernik, K.; Witkowska, D.; Banaś, J. Effect of disinfectants on physicochemical parameters of litter, microbiological quality of poultry house air, health status and performance of broiler chickens. Pol. J. Environ. Stud. 2008, 17, 745–750. [Google Scholar]
- Witkowska, D.; Chorąży, Ł.; Mituniewicz, T.; Makowski, W. Microbiological contamination of litter and air during rearing of broiler chickens. Water–Environ. Rural. Areas 2010, 10, 201–210. (In Polish) [Google Scholar]
- Wójcik, A.; Chorąży, Ł.; Mituniewicz, T.; Witkowska, D.; Iwańczuk-Czernik, K.; Sowińska, J. Microbial air contamination in poultry houses in the summer and winter. Pol. J. Environ. Stud. 2010, 19, 1045–1050. [Google Scholar]
- Lopes, M.; Roll, V.F.B.; Leite, F.L.; Dai Prá, M.A.; Xavier, E.G.; Heres, T.; Valente, B.S. Quicklime treatment and stirring of different poultry litter substrates for reducing pathogenic bacteria counts. Poult. Sci. 2013, 92, 638–644. [Google Scholar] [CrossRef]
- Bodi, S.G.; Garcia, A.V.; García, S.V.; Orenga, C.M. Litter aeration and spread of Salmonella in broilers. Poult. Sci. 2013, 92, 2005–2011. [Google Scholar] [CrossRef]
- Al Homidan, A.; Robertson, J.F.; Petchey, A.M. Review of the effect of ammonia and dust concentrations on broiler performance. World’s Poult. Sci. J. 2003, 59, 340–349. [Google Scholar] [CrossRef]
- Dzik, S.; Mituniewicz, T. Effectiveness of biocidal paint containing permethrin, ultramarine and violet 23 against Alphitobius diaperinus (Panzer) (Coleoptera: Tenebrionidae) in laboratories and poultry houses. Animals 2020, 10, 1461. [Google Scholar] [CrossRef]
- Maertens, H.; De Reu, K.; Van Weyenberg, S.; Van Coillie, E.; Meyer, E.; Van Meirhaeghe, H. Evaluation of the hygienogram scores and related data obtained after cleaning and disinfection of poultry houses in Flanders during the period 2007 to 2014. Poult. Sci. 2018, 97, 620–627. [Google Scholar] [CrossRef]
- Bissinger, B.W.; Apperson, C.S.; Watson, D.W.; Arellano, C.; Sonenshine, D.E.; Roe, R.M. Novel field assays and the comparative repellency of BioUD®, DEET and permethrin against Amblyomma americanum. Med. Vet. Entomol. 2011, 25, 217–226. [Google Scholar] [CrossRef]
- Fankhauser, B.B.; Dumont, P.; Hunter, J.S.; McCall, J.W.; Kaufmann, C.; Mathis, A.; Young, D.R.; Carroll, S.P.; McCall, S.; Chester, S.T.; et al. Repellent and insecticidal efficacy of a new combination of fipronil and permethrin against three mosquito species (Aedes albopictus, Aedes aegypti and Culex pipiens) on dogs. Parasites Vectors 2015, 8, 64. [Google Scholar] [CrossRef] [PubMed][Green Version]
- Pham, T.B.; Hoang, T.H.C.; Pham, V.H.; Nguyen, V.C.; Nguyen, T.V.; Vu, D.C.; Pham, V.H.; Bui, H. Detection of permethrin pesticide using silver nano-dendrites SERS on optical fibre fabricated by laser-assisted photochemical method. Sci. Rep. 2019, 9, 12590. [Google Scholar] [CrossRef] [PubMed]
- PubChem. Available online: https://pubchem.ncbi.nlm.nih.gov (accessed on 28 January 2022).
- Hartley, D.; Kidd, H. The Agrochemicals Handbook; Royal Society of Chemistry: Nottingham, UK, 1983. [Google Scholar]
- Zaim, M.; Aitio, A.; Nakashima, N. Safety of pyrethroid-treated mosquito nets. Med. Vet. Entomol. 2000, 14, 1–5. [Google Scholar] [CrossRef] [PubMed]
- Mosqueira, B.; Chabi, J.; Chandre, F.; Akogbeto, M.; Hougard, J.M.; Carnevale, P.; Mas-Coma, S. Efficacy of an insecticide paint against malaria vectors and nuisance in West Africa—Part 2: Field evaluation. Malar. J. 2010, 9, 341. [Google Scholar] [CrossRef] [PubMed]
- Xiang, Y.; Yuan, Q.; Vogt, N.; Looger, L.L.; Jan, Y.L.; Jan, Y.N. Light-avoidance-mediating photoreceptors tile the Drosophila larval body wall. Nature 2010, 468, 921–926. [Google Scholar] [CrossRef]
- Cronin, T.W.; Bok, M.J. Photoreception and vision in the ultraviolet. J. Exp. Biol. 2016, 219, 2790–2801. [Google Scholar] [CrossRef]
- Sharkey, C.R.; Fujimoto, M.S.; Lord, N.P.; Shin, S.; McKenna, D.D.; Suvorov, A.; Martin, G.J.; Bybee, S.M. Overcoming the loss of blue sensitivity through opsin duplication in the largest animal group, beetles. Sci. Rep. 2017, 7, 8. [Google Scholar] [CrossRef]
- Abd Ali, S.A.Z.; Joubert, A.; Andrès, Y. Evaluation of Antimicrobial Effect of Zinc Pyrithione against Airborne Fungi and Bacteria Growth Collected onto New and Loaded HVAC Fibrous Filters. Processes 2021, 9, 1528. [Google Scholar] [CrossRef]
- Blanchard, C.; Brooks, L.; Ebsworth-Mojica, K.; Didione, L.; Wucher, B.; Dewhurst, S.; Krysan, D.; Dunman, P.M.; Wozniak, R.A.F. Zinc Pyrithione Improves the Antibacterial Activity of Silver Sulfadiazine Ointment. mSphere 2016, 14, 19416. [Google Scholar] [CrossRef]
- Schwartz, J.R. Zinc Pyrithione: A topical antimicrobial with complex pharmaceutics. J. Drugs Dermatol. 2016, 15, 140–144. [Google Scholar]
- Reeder, N.L.; Xu, J.; Youngquist, R.S.; Schwartz, J.R.; Rust, R.C.; Saunders, C.W. The antifungal mechanism of action of zinc pyrithione. Br. J. Dermatol. 2011, 165, 9–12. [Google Scholar] [CrossRef] [PubMed]
- Monte-Serrano, M.; Fernandes-Saiz, P.; Ortí-Lucas, R.M.; Hernando, B. Effective antimicrobial coatings containing silver-based nanoclays and zinc pyrithione. Microb. Biochem. Technol. 2015, 7, 6. [Google Scholar] [CrossRef]
- Borgna, P.; Carmellino, M.L.; Natangelo, M.; Paganil, G.; Pastoni, F.; Pregnolato, M.; Terrenil, M. Antimicrobial activity of N-hydroxyalkyl 1,2-benzisothiazol-3(2H)-ones and their thiono analogues. Eur. J. Med. Chem. 1996, 31, 919–925. [Google Scholar] [CrossRef]
- Wang, X.X.; Zhang, T.Y.; Dao, G.H.; Hu, H.Y. Interaction between 1,2-benzisothiazol-3(2H)-one and microalgae: Growth inhibition and detoxification mechanism. Aquat. Toxicol. 2018, 205, 66–75. [Google Scholar] [CrossRef]
- Di Martino, P. Ways to improve biocides for metalworking fluid. AIMS Microbiol. 2020, 7, 13–27. [Google Scholar] [CrossRef]
- Salin, C.; Delettre, Y.R.; Vernon, P. Controlling the mealworm Alphitobius diaperinus (Coleoptera: Tenebrionidae) in broiler and turkey houses: Field trials with a combined insecticide treatment: Insect growth regulator and pyrethroid. J. Econ. Entomol. 2003, 96, 126–130. [Google Scholar] [CrossRef]
- Litvinov, M.A. Microscopic Soil Fungi Key; Science Press: Leningrad, Russia, 1967. [Google Scholar]
- Piontek, M. Storage Fungi; Zielona Góra University of Technology Publishing House: Zielona Góra, Poland, 1999. (In Polish) [Google Scholar]
- TIBCO Software Inc. TIBCO Statistica, v. 13.3.0; TIBCO Software Inc.: Palo Alto, CA, USA, 2017. [Google Scholar]
- Schiøler, K.L.; Alifrangis, M.; Kitron, U.; Konradsen, F. Insecticidal paints: A realistic approach to vector control? PLoS Negl. Trop. Dis. 2016, 10, e0004518. [Google Scholar] [CrossRef]
- Acharya, B.N.; Ahirwar, R.; Dhiman, S.; Yadav, K.; Pandey, P.; Sukumaran, D. Deltamethrin microencapsulation in emulsion paint binder and its long-term efficacy against dengue vector Aedes Aegypti. Front. Public Health 2021, 9, 686122. [Google Scholar] [CrossRef]
- Maloney, K.K.; Ancca-Juarez, J.; Salazar, R.; Borrini-Mayori, K.; Niemierko, M.; Yukich, J.O.; Naquira, C.; Keating, J.A.; Levy, M.Z. Comparison of insecticidal paint and deltamethrin against Triatoma infestans (Hemiptera: Reduviidae) feeding and mortality in simulated natural conditions. J. Vector Ecol. 2013, 38, 6–11. [Google Scholar] [CrossRef]
- Feat, A.; Federle, W.; Kamperman, M.; van der Gucht, J. Coatings preventing insect adhesion: An overview. Prog. Org. Coat. 2019, 134, 349–359. [Google Scholar] [CrossRef]
- Amelotti, I.; Catala, S.; Gorla, D. Experimental evaluation of insecticidal paints against Triatoma infestans (Hemiptera: Reduviidae), under natural climatic conditions. Parasit Vectors 2009, 2, 30–36. [Google Scholar] [CrossRef] [PubMed]
- Mosqueira, B.; Duchon, S.; Chandre, F.; Hougard, J.M.; Carnevale, P.; Mas-Coma, S. Efficacy of an insecticide paint against insecticide-susceptible and resistant mosquitoes—Part 1: Laboratory evaluation. Malar. J. 2010, 9, 340. [Google Scholar] [CrossRef] [PubMed]
- Wolf, J.; Potrich, M.; Lozano, E.R.; Gouvea, A.; Pegorini, C.S. Combined physical and chemical methods to control lesser mealworm beetles under laboratory conditions. Poult. Sci. 2015, 94, 1145–1149. [Google Scholar] [CrossRef] [PubMed]
- Yang, W.; Guo, M.; Liu, G.; Yu, G.; Wang, P.; Wang, H.; Chai, T. Detection and analysis of fine particulate matter and microbial aerosol in chicken houses in Shandong Province, China. Poult. Sci. 2018, 97, 995–1005. [Google Scholar] [CrossRef]
- Lawniczek-Walczyk, A.; Górny, R.L.; Golofit-Szymczak, M.; Niesler, A.; Wlazlo, A. Occupational exposure to airborne microorganisms, endotoxins and β-glucans in poultry houses at different stages of the production cycle. Ann. Agric. Environ. Med. 2013, 20, 259–268. [Google Scholar]
- Kostadinova, G.; Petkov, G.; Denev, S.; Miteva, C.; Stefanova, R.; Penev, T. Microbial pollution of manure, litter, air and soil in a poultry farm. Bulg. J. Agric. Sci. 2014, 20, 66–75. [Google Scholar]
- Jiang, L.; Li, M.; Tang, J.; Zhao, X.; Zhang, J.; Zhu, H.; Yu, X.; Li, Y.; Feng, T.; Zhang, X. Effect of different disinfectants on bacterial aerosol diversity in poultry houses. Front. Microbiol. 2018, 9, 2113. [Google Scholar] [CrossRef]
- Milanov, D.; Knezevic, S.D.; Vidaković, S.; Pajic, M.; Živkov-Baloš, M.; Aleksic, N. Microbial contamination of poultry litter during fattening period. Biotehnologija Stocarstvu 2019, 35, 253–265. [Google Scholar] [CrossRef]
- Viegas, C.; Carolino, E.; Malta-Vacas, J.; Sabino, R.; Viegas, S.; Veríssimo, C. Fungal contamination of poultry litter: A public health problem. J. Toxicol. Environ. Health 2012, 75, 1341–1350. [Google Scholar] [CrossRef]
- Witkowska, D.; Sowińska, J.; Żebrowska, J.P.; Mituniewicz, E. The Antifungal Properties of Peppermint and Thyme Essential Oils Misted in Broiler Houses. Braz. J. Poult. Sci. 2016, 18, 629–638. [Google Scholar] [CrossRef][Green Version]
- Ostović, M.; Ravić, I.; Kovačić, M.; Kabalin, A.E.; Matković, K.; Sabolek, I.; Pavičić, Ž.; Menčik, S.; Tomić, D.H. Differences in fungal contamination of broiler litter between summer and winter fattening periods. Arch. Ind. Hyg. Toxicol. 2021, 72, 140–147. [Google Scholar] [CrossRef] [PubMed]
- Chen, G.; Ma, D.; Huang, Q.; Tang, W.; Wei, M.; Li, Y.; Jiang, L.; Zhu, H.; Yu, X.; Zheng, W.; et al. Aerosol concentrations and fungal communities within broiler houses in different broiler growth stages in summer. Front. Vet. Sci. 2021, 8, 775502. [Google Scholar] [CrossRef] [PubMed]
- Namata, H.; Welby, S.; Aerts, M.; Faes, C.; Abrahantes, J.C.; Imberechts, H.; Vermeersch, K.; Hooyberghs, J.; Méroc, E.; Mintiens, K. Identification of risk factors for the prevalence and persistence of Salmonella in Belgian broiler chicken flocks. Prev. Vet. Med. 2009, 90, 211–222. [Google Scholar] [CrossRef] [PubMed]
- Firouzabadi, A.; Saadati, D.; Najimi, M.; Jajarmi, M. Prevalence and related factors of Salmonella spp. and Salmonella Typhimurium contamination among broiler farms in Kerman province, Iran. Prev. Vet. Med. 2020, 175, 104838. [Google Scholar] [CrossRef]
- Commission Regulation (EU) No 200/2012 of 8 March 2012 concerning a Union target for the reduction of Salmonella enteritidis and Salmonella typhimurium in flocks of broilers, as provided for in Regulation (EC) No 2160/2003 of the European Parliament and of the Council. Off. J. Eur. Union 2012, 31–36.
- McDermott, P.F.; Zhao, S.; Tate, H. Antimicrobial resistance in nontyphoidal Salmonella. Microbiol. Spectr. 2018, 6, 4. [Google Scholar] [CrossRef]
- Nhung, N.T.; Chansiripornchai, N.; Carrique-Mas, J.J. Antimicrobial resistance in bacterial poultry pathogens: A review. Front. Vet. Sci. 2017, 4, 126. [Google Scholar] [CrossRef]
- Skóra, J.; Matusiak, K.; Wojewódzki, P.; Nowak, A.; Sulyok, M.; Ligocka, A.; Okrasa, M.; Hermann, J.; Gutarowska, B. Evaluation of microbiological and chemical contaminants in poultry farms. Int. J. Environ. Res. Public Health 2016, 13, 192. [Google Scholar] [CrossRef]
- Hamza, E.; Dorgam, S.M.; Hamza, D.A. Carbapenemase-producing Klebsiella pneumoniae in broiler poultry farming in Egypt. J. Glob. Antimicrob. Resist. 2016, 7, 8–10. [Google Scholar] [CrossRef]
- Permatasari, D.A.; Witaningrum, A.M.; Wibisono, F.J.; Effendi, M.H. Detection and prevalence of multidrug-resistant Klebsiella pneumoniae strain isolated from poultry farms in Blitar, Indonesia. Biodiversitas 2020, 21, 4642–4647. [Google Scholar] [CrossRef]
- Jørgensen, S.L.; Poulsen, L.L.; Thorndal, L.; Ronaghinia, A.A.; Bisgaard, M.; Christensen, H. Characterization of Enterococcus faecalis isolated from the cloaca of ‘fancy breeds’ and confined chickens. J. Appl. Microb. 2017, 122, 1149–1158. [Google Scholar] [CrossRef] [PubMed]
- Noh, E.B.; Kim, Y.B.; Seo, K.W.; Son, S.H.; Ha, S.J.; Lee, Y.J. Antimicrobial resistance monitoring of commensal Enterococcus faecalis in broiler breeders. Poult. Sci. 2020, 99, 2675–2683. [Google Scholar] [CrossRef] [PubMed]
- Arné, P.; Thierry, S.; Wang, D.; Deville, M.; Le Loc’h, G.; Desoutter, A.; Féménia, F.; Nieguitsila, A.; Huang, W.; Chermette, R.; et al. Aspergillus fumigatus in poultry. Int. J. Microbiol. 2011, 2011, 746356. [Google Scholar] [CrossRef] [PubMed]
- Gerber, F.P.; Gould, N.; McGahan, E. Potential contaminants and hazards in alternative chicken bedding materials and proposed guidance levels: A review. Poult. Sci. 2020, 99, 6664–6684. [Google Scholar] [CrossRef] [PubMed]
- Tomić, D.; Ravić, I.; Kabalin, A.E.; Kovacić, M.; Gottstein, Ž.; Ostović, M. Effects of season and house microclimate on fungal flora in air and broiler trachea. Atmosphere 2021, 12, 459. [Google Scholar] [CrossRef]
- Iwańczuk-Czernik, K.; Witkowska, D.; Sowińska, J.; Wójcik, A.; Mituniewicz, T. The effect of a microbiological and a disinfecting preparation on the physical and chemical properties of litter and the results of broiler chicken breeding. Pol. J. Environ. Stud. 2007, 22, 395–406. [Google Scholar] [CrossRef]
- Vučemilo, M.; Matković, K.; Vinković, B.; Macan, J.; Varnai, V.M.; Prester, L.; Granić, K.; Orct, T. Effect of microclimate on the airborne dust and endotoxin concentration in a broiler house. Czech J. Anim. Sci. 2008, 53, 83–89. [Google Scholar] [CrossRef]
- Kic, P. Microclimatic conditions in the poultry houses. Agron. Res. 2016, 14, 82–90. [Google Scholar]
- Council Directive 2007/43/EC of 28th June 2007 laying down minimum rules for the protection of chickens kept for meat production. J. Laws 2007, 182/19, 1–10.
- Ministry of Agriculture and Rural Development. Regulation of the Minister for Agriculture and Rural Development of 15th February 2010 on the requirements and procedures for keeping species of farm animals for which standards of protection are laid down in European Union legislation. J. Laws 2010, 56, 344. [Google Scholar]
- Kołacz, R.; Dobrzański, Z. Animal Hygiene and Welfare; Publishing House of the University of Life Sciences in Wrocław: Wrocław, Poland, 2019. (In Polish) [Google Scholar]
- Abreu, V.M.N.; de Abreu, P.G.; Jaenisch, F.R.F.; Coldebella, A.; de Paiva, D.P. Effect of floor type (dirt or concrete) on litter quality, house environmental conditions, and performance of broilers. Rev. Bras. Cienc. Avic. 2011, 13, 127–137. [Google Scholar] [CrossRef][Green Version]


| Trial | Number of Production Cycles over 423 Days | Insect Collection (Day of Rearing) | Date of Treatment against A. diaperinus | |
|---|---|---|---|---|
| Liming (L) | Biocidal Paint (Bp) | |||
| I | 1st | 10 | 7 days before the 1st production cycle | 7 days before the 1st production cycle |
| 20 | ||||
| 31 | ||||
| 40 | ||||
| II | 3rd | 10 | 7 days before the 3rd production cycle | |
| 20 | ||||
| 31 | ||||
| 40 | ||||
| III | 7th | 10 | 7 days before the 7th production cycle | |
| 20 | ||||
| 31 | ||||
| 40 | ||||
| Contrast | Section | ||
|---|---|---|---|
| Left | Middle | Right | |
| C#1 middle vs. left and right | −1 | 2 | −1 |
| C#2 left vs. right | 1 | 0 | −1 |
| Contrast | Section | p-Value | ||
|---|---|---|---|---|
| Left | Middle | Right | ||
| C#1 middle vs. left and right | −1 | 2 | −1 | |
| Liming | 0.3718 | |||
| Biocidal paint | 0.0030 | |||
| C#2 left vs. right | 1 | 0 | −1 | |
| Liming | 0.8237 | |||
| Biocidal paint | 0.6033 | |||
| Day of Rearing | Log Mean L | Log Mean Bp | p |
|---|---|---|---|
| 10 | 0.58 | 0.88 | 0.1562 |
| 20 | 1.48 | 2.40 | 0.0008 |
| 31 | 1.62 | 2.73 | 0.0001 |
| 40 | 2.33 | 2.87 | 0.0004 |
| Liming (L) | Biocidal Paint (Bp) | p-Value L vs. Bp | ||||||||
|---|---|---|---|---|---|---|---|---|---|---|
| Day of Rearing | Day of Rearing | |||||||||
| 1 | 21 | 40 | 1 | 21 | 40 | |||||
| Mesophilic aerobes | Trial I | 1.14 | 2.64 | 2.40 | 2.06 ± 0.11 | 2.69 | 2.50 | 1.12 | 2.11 ± 0.11 | 0.7058 |
| Trial II | 2.85 | 2.21 | 3.17 | 2.74 ± 0.06 | 2.49 | 2.37 | 2.92 | 2.59 ± 0.06 | 0.2494 | |
| Trial III | 2.54 | 2.91 | 3.09 | 2.85 ± 0.08 | 2.34 | 2.61 | 2.80 | 2.58 ± 0.08 | 0.0462 | |
| Fungi | Trial I | 0.38 | 1.70 | 1.99 | 1.36 ± 0.09 | 2.03 | 1.46 | 0.18 | 1.22 ± 0.09 | 0.3355 |
| Trial II | 2.59 | 1.41 | 2.02 | 2.01 ± 0.07 | 2.12 | 1.53 | 1.57 | 1.74 ± 0.07 | 0.0660 | |
| Trial III | 1.40 | 1.94 | 2.20 | 1.85 ± 0.12 | 1.30 | 1.32 | 1.61 | 1.41 ± 0.12 | 0.0044 | |
| Liming (L) | Biocidal Paint (Bp) | p-Value L vs. Bp | ||||||||
|---|---|---|---|---|---|---|---|---|---|---|
| Day of Rearing | Day of Rearing | |||||||||
| 1 | 21 | 40 | 1 | 21 | 40 | |||||
| Mesophilic aerobes | Trial I | 7.98 | 10.12 | 10.64 | 9.58 ± 0.18 | 7.84 | 9.17 | 9.96 | 8.99 ± 0.18 | 0.0121 |
| Trial II | 7.47 | 9.24 | 10.22 | 8.98 ± 0.13 | 6.87 | 7.45 | 9.90 | 8.07 ± 0.13 | 0.0002 | |
| Trial III | 7.92 | 9.09 | 10.26 | 9.09 ± 0.16 | 7.06 | 7.96 | 9.77 | 8.26 ± 0.16 | 0.0006 | |
| Fungi | Trial I | 6.21 | 7.91 | 9.56 | 7.89 ± 0.17 | 6.08 | 7.92 | 8.94 | 7.65 ± 0.17 | 0.2835 |
| Trial II | 6.32 | 8.32 | 9.40 | 8.01 ± 0.18 | 5.19 | 6.77 | 8.19 | 6.72 ± 0.18 | <0.0001 | |
| Trial III | 6.44 | 7.57 | 8.94 | 7.65 ± 0.13 | 5.49 | 6.86 | 8.35 | 6.90 ± 0.13 | 0.0019 | |
| Liming (L) | Biocidal Paint (Bp) | |
|---|---|---|
| Trial I | Non-hemolytic E. coli, Brevundimonas diminuta, Enterobacter cloacae, Enterococcus faecalis, Klebsiella pneumoniae, Pantoea spp., Proteus mirabilis Proteus vulgaris Pseudomonas aeruginosa Staphylococcus saprophyticus | Non-hemolytic E. coli, Brevundimonas diminuta, Enterobacter cloacae, Micrococcus spp., Proteus vulgaris, Pseudomonas luteola, Pseudomonas aeruginosa |
| Trial II | Non-hemolytic E. coli, Enterobacter cloacae, Enterococcus faecalis, Klebsiella pneumoniae, Pantoea spp., Proteus spp., Staphylococcus saprophyticus | Non-hemolytic E. coli, Enterobacter cloacae, Pantoea spp., Proteus vulgaris Pseudomonas aeruginosa, Pseudomonas luteola, |
| Trial III | Non-hemolytic E. coli, Enterobacter cloacae Enterococcus faecalis, Klebsiella pneumoniae, Pantoea spp., Proteus spp., Staphylococcus saprophyticus | Non-hemolytic E. coli, Enterobacter cloacae, Pantoea spp Proteus spp., Pseudomonas aeruginosa, Staphylococcus saprophyticus |
| Liming (L) | Biocidal Paint (Bp) | |
|---|---|---|
| Trial I | isolated Aspergillus fumigatus, abundant growth with a predominance of Cladosporium spp., and numerous Candida krusei | isolated Rhodotorula, abundant growth with a predominance of Cladosporium, and numerous Candida krusei |
| Trial II | isolated Candida krusei, abundant growth with a predominance of Aspergillus fumigatus, and abundant growth of Penicillium spp. | isolated Trichosporon, Candida krusei and abundant growth with a predominance of Cladosporium |
| Trial III | isolated Candida krusei and Penicillium spp. as well as numerous Aspergillus fumigatus, and abundant growth with a predominance of Cladosporium spp. | isolated Rhodotorula and Candida krusei as well as abundant growth with a predominance of Cladosporium spp. |
| Day of Rearing | Trial I | Trial II | Trial III | |||||||||||||||
|---|---|---|---|---|---|---|---|---|---|---|---|---|---|---|---|---|---|---|
| Liming (L) | Biocidal Paint (Bp) | Liming (L) | Biocidal Paint (Bp) | Liming (L) | Biocidal Paint (Bp) | |||||||||||||
| Air temperature ( °C) | Relative humidity (%) | NH3 (ppm) | Air temperature ( °C) | Relative humidity (%) | NH3 (ppm) | Air temperature ( °C) | Relative humidity (%) | NH3 (ppm) | Air temperature ( °C) | Relative humidity (%) | NH3 (ppm) | Air temperature ( °C) | Relative humidity (%) | NH3 (ppm) | Air temperature ( °C) | Relative humidity (%) | NH3 (ppm) | |
| 1 | 34.00 A (±0.75) | 67.30 (±7.56) | 0.00 C (<0.001) | 33.11 A (±0.68) | 64.50 (±5.67) | 0.00 C (<0.001) | 33.96 A (±0.43) | 63.00 (±5.43) | 0.00 C (<0.001) | 34.00 A (±0.55) | 60.10 B (±6.11) | 0.00 B (<0.001) | 34.21 A (±0.51) | 61.00 (±5.61) | 0.00 C (<0.001) | 34.45 A (±0.22) | 59.00 (±4.58) | 0.00 C (<0.001) |
| 10 | 32.50 (±0.76) | 60.50 B (±5.47) | 1.13 C (±0.05) | 32.10 (±0.31) | 62.80 (±4.77) | 1.20 C (±0.07) | 32.11 (±0.46) | 61.70 B (±2.91) | 1.11 C (±0.10) | 31.85 (±0.67) | 62.20 (±4.45) | 1.07 A (±0.06) | 31.95 (±0.53) | 60.60 (±2.76) | 0.89 C (±0.11) | 31.90 (±0.51) | 57.50 B (±3.71) | 0.73 C (±0.07) |
| 20 | 29.95 AB (±0.45) | 60.60 B (±5.01) | 5.40 (±0.12) | 30.55 (±0.29) | 62.30 (±3.91) | 2.47 C (±0.11) | 29.91 (±0.11) | 61.20 B (±3.33) | 4.47 (±0.37) | 29.85 AB (±0.41) | 64.80 (±7.66) | 3.40 (±0.15) | 30.50 B (±0.74) | 61.20 (±3.49) | 5.27 B (±0.87) | 30.00 B (±0.69) | 65.50 (±4.92) | 4.73 (±0.65) |
| 31 | 28.50 (±1.12) | 64.00 (±4.65) | 15.33 B (±1.28) | 28.40 B (±0.41) | 64.30 (±4.76) | 8.20 B (±1.43) | 28.80 (±0.94) | 67.00 (±6.21) | 9.00 B (±1.15) | 27.41 (±0.68) | 69.00 A (±8.91) | 7.80 AB (±1.03) | 28.10 (±0.29) | 62.90 (±5.28) | 9.13 B (±3.45) | 27.95 (±0.46) | 66.10 A (±6.05) | 8.73 B (±1.01) |
| 40 | 26.11 B (±0.95) | 68.00 A (±6.54) | 19.20 aA (±5.34) | 26.00 C (±0.33) | 67.00 (±8.01) | 14.87 bA (±4.48) | 26.00 B (±0.27) | 69.50 A (±4.98) | 18.73 aA (±2.87) | 26.00 B (±0.32) | 69.10 A (±6.78) | 11.60 bA (±2.89) | 26.00 C (±0.46) | 65.00 (±4.32) | 15.53 aA (±4.68) | 26.14 C (±0.48) | 66.70 A (±5.40) | 12.67 bA (±3.33) |
| Day of rearing | Trial I | Trial II | Trial III | |||||||||||||||||||||
|---|---|---|---|---|---|---|---|---|---|---|---|---|---|---|---|---|---|---|---|---|---|---|---|---|
| Liming (L) | Biocidal Paint (Bp) | Liming (L) | Biocidal Paint (Bp) | Liming (L) | Biocidal Paint (Bp) | |||||||||||||||||||
| Litter temperature ( °C) | Litter moisture (%) | NH3 (ppm) | pH | Litter temperature ( °C) | Litter moisture (%) | NH3 (ppm) | pH | Litter temperaturę ( °C) | Litter moisture (%) | NH3 (ppm) | pH | Litter temperaturę ( °C) | Litter moisture (%) | NH3 (ppm) | pH | Litter temperaturę ( °C) | Litter moisture (%) | NH3 (ppm) | pH | Litter temperaturę ( °C) | Litter moisture (%) | NH3 (ppm) | pH | |
| 1 | 16.87 bB (±5.65) | 9.47 D (±2.51) | 0.27 C (±0.02) | 5.17 (±0.95) | 19.65 aB (±6.14) | 9.07 C (±1.77) | 0.07 D (±0.01) | 5.60 (±0.22) | 16.65 C (±3.78) | 9.20 B (±2.65) | 0.07 C (±0.02) | 5.71 (±0.35) | 17.00 B (±7.32) | 9.13 C (±2.50) | 0.00 B (<0.001) | 5.51 (±0.15) | 15.45 (±4.22) | 8.73 C (±4.39) | 1.15 C (±0.30) | 5.55 (±0.71) | 17.00 B (±5.00) | 8.40 C (±2.51) | 0.00 C (<0.001) | 5.34 (±0.18) |
| 10 | 18.25 b (±5.05) | 17.07 CD (±2.18) | 2.40 a (±0.15) | 5.20 (±0.41) | 21.56 a (±4.67) | 18.20 CB (±2.99) | 0.40 bD (±0.08) | 5.29 (±0.35) | 17.63 (±5.60) | 15.13 (±5.27) | 3.60 (±0.47) | 5.58 (±0.41) | 19.20 (±6.29) | 14.80 (±4.07) | 0.53 B (±0.10) | 5.49 (±0.37) | 15.78 b (±5.91) | 17.13 B (±3.91) | 2.20 C (±0.25) | 5.61 (±0.29) | 18.15 a (±4.45) | 16.87 (±4.35) | 0.60 C (±0.05) | 5.67 (±0.29) |
| 20 | 20.05 bAB (±4.01) | 21.51 C (±3.41) | 7.07 a (±1.02) | 5.24 (±0.22) | 23.21 a (±3.90) | 21.15 (±5.01) | 3.40 bC (±1.00) | 5.56 (±0.57) | 17.95 b (±4.57) | 20.80 (±4.78) | 6.07 (±0.65) | 5.63 (±0.39) | 20.01 a (±6.88) | 20.05 B (±3.32) | 4.27 (±1.08) | 5.65 (±0.71) | 16.22 b (±5.63) | 21.98 AB (±5.08) | 7.00 BC (±3.78) | 5.54 (±0.46) | 18.93 a (±6.99) | 20.17 B (±4.98) | 4.27 (±1.95) | 5.78 (±0.19) |
| 31 | 21.15 b (±2.11) | 29.88 B (±3.75) | 20.73 aB (±4.80) | 6.18 (±1.30) | 24.07 a (±5.72) | 31.87 B (±5.50) | 15.93 bB (±2.63) | 6.07 (±0.73) | 18.92 B (±6.11) | 27.65 AB (±7.02) | 17.80 aB (±4.83) | 5.66 (±0.58) | 20.75 (±6.05) | 30.01 AB (±6.09) | 11.00 bAB (±4.23) | 5.91 (±0.54) | 18.95 (±7.20) | 28.54 (±5.33) | 18.40 aB (±5.29) | 5.89 (±0.55) | 20.05 A (±7.07) | 26.30 B (±5.03) | 10.06 bB (±4.82) | 5.66 (±0.76) |
| 40 | 23.02 bA (±3.19) | 38.20 bA (±6.26) | 32.60 aA (±7.33) | 6.01 (±0.67) | 26.68 aA (±2.05) | 41.60 aA (±7.81) | 23.47 bA (±5.06) | 6.21 (±0.99) | 23.68 A (±5.15) | 36.60 bA (±6.81) | 30.87 aA (±5.15) | 6.01 (±0.63) | 23.25 A (±5.95) | 40.00 aA (±7.15) | 23.50 bA (±4.41) | 5.97 (±0.80) | 22.85 (±6.73) | 37.20 A (±8.10) | 28.80 aA (±4.86) | 6.03 (±0.42) | 22.85 A (±6.23) | 39.20 A (±6.65) | 23.20 bA (±6.91) | 6.12 (±0.82) |
Publisher’s Note: MDPI stays neutral with regard to jurisdictional claims in published maps and institutional affiliations. |
© 2022 by the authors. Licensee MDPI, Basel, Switzerland. This article is an open access article distributed under the terms and conditions of the Creative Commons Attribution (CC BY) license (https://creativecommons.org/licenses/by/4.0/).
Share and Cite
Dzik, S.; Mituniewicz, T.; Beisenov, A. Efficacy of a Biocidal Paint in Controlling Alphitobius diaperinus (Panzer) (Coleoptera: Tenebrionidae) and Improving the Quality of Air and Litter in Poultry Houses. Animals 2022, 12, 1264. https://doi.org/10.3390/ani12101264
Dzik S, Mituniewicz T, Beisenov A. Efficacy of a Biocidal Paint in Controlling Alphitobius diaperinus (Panzer) (Coleoptera: Tenebrionidae) and Improving the Quality of Air and Litter in Poultry Houses. Animals. 2022; 12(10):1264. https://doi.org/10.3390/ani12101264
Chicago/Turabian StyleDzik, Sara, Tomasz Mituniewicz, and Ariphzan Beisenov. 2022. "Efficacy of a Biocidal Paint in Controlling Alphitobius diaperinus (Panzer) (Coleoptera: Tenebrionidae) and Improving the Quality of Air and Litter in Poultry Houses" Animals 12, no. 10: 1264. https://doi.org/10.3390/ani12101264
APA StyleDzik, S., Mituniewicz, T., & Beisenov, A. (2022). Efficacy of a Biocidal Paint in Controlling Alphitobius diaperinus (Panzer) (Coleoptera: Tenebrionidae) and Improving the Quality of Air and Litter in Poultry Houses. Animals, 12(10), 1264. https://doi.org/10.3390/ani12101264

