Sign in to use this feature.

Years

Between: -

Subjects

remove_circle_outline
remove_circle_outline
remove_circle_outline
remove_circle_outline
remove_circle_outline
remove_circle_outline
remove_circle_outline
remove_circle_outline
remove_circle_outline

Journals

remove_circle_outline
remove_circle_outline
remove_circle_outline
remove_circle_outline
remove_circle_outline
remove_circle_outline
remove_circle_outline
remove_circle_outline
remove_circle_outline
remove_circle_outline
remove_circle_outline

Article Types

Countries / Regions

remove_circle_outline
remove_circle_outline
remove_circle_outline
remove_circle_outline
remove_circle_outline
remove_circle_outline
remove_circle_outline

Search Results (3,666)

Search Parameters:
Keywords = insect pest

Order results
Result details
Results per page
Select all
Export citation of selected articles as:
22 pages, 1906 KB  
Article
Audible Sound Stress Alters Behavior and Gene Transcription, and Negatively Impacts Development, Survival and Reproductive Fitness in Spodoptera frugiperda
by Chao-Yang Duan, Yun-Ju Xiang, Jun-Bo Li, Jun-Zhong Zhang, Da-Ying Fu, Wei Gao and Jin Xu
Insects 2026, 17(5), 467; https://doi.org/10.3390/insects17050467 (registering DOI) - 30 Apr 2026
Abstract
Moth auditory systems, evolutionarily adapted and structurally diverse with ultrasonic sensitivity, underpin the development of acoustic-based pest management strategies. Here, based on hypotheses derived from previous findings, we tested whether and how audible sounds (music, bird chirp, noise; 0.25–1 kHz, 80/120 dB) affect [...] Read more.
Moth auditory systems, evolutionarily adapted and structurally diverse with ultrasonic sensitivity, underpin the development of acoustic-based pest management strategies. Here, based on hypotheses derived from previous findings, we tested whether and how audible sounds (music, bird chirp, noise; 0.25–1 kHz, 80/120 dB) affect the development, survival, behavior and fecundity, as well as the molecular responses, using both short-term and long-term exposure (three successive generations) experimental designs. Behavioral assays showed dose-specific responses: high-intensity (120 dB) bird chirp and noise suppressed larval and adult activity, while low-intensity (80 dB) counterparts promoted larval crawling. Long-term exposure revealed that bird chirp and noise significantly impaired fitness, reducing larval/pupal body weight, pupation/eclosion rates, and egg hatching rate, with 120 dB noise exerting the strongest effects; 80 dB music showed neutral or positive impacts. Transcriptomic analysis identified 71–235 differentially expressed genes (DEGs) across treatment groups, with bird chirp and noise inducing more downregulated DEGs related to metabolism, immunity, and development. Notably, all cuticle-related DEGs in the 80 dB noise group and 53.2% in the 120 dB noise group were upregulated, suggesting stress-induced cuticular remodeling. GO/KEGG enrichment indicated distinct patterns: 80 dB music, bird chirp and 120 dB noise groups only had downregulated DEGs enriched in certain terms/pathways, mainly associated with cellular components; the 80 dB noise group had upregulated DEGs enriched in sensory, cuticle, metabolism and longevity-related terms/pathways, and downregulated DEGs in metabolism and human disease-related terms/pathways. Analysis of the expression patterns of all the longevity pathway-related genes suggested that sound stress induces lifespan regulation in this insect. These findings clarify S. frugiperda’s multidimensional responses to audible sound, providing a foundation for sound-based pest management. Full article
18 pages, 1748 KB  
Article
Spectral Signatures of the Developmental Stages of Sphenophorus levis (Vaurie, 1978) (Coleoptera: Curculionidae) on a Natural Diet
by Pedro Gomes Peixoto, Gabriela Maria Martins Ferreira, David Luciano Rosalen, Souradji Idrissou Bachirou and Sergio Antonio De Bortoli
Insects 2026, 17(5), 465; https://doi.org/10.3390/insects17050465 - 30 Apr 2026
Abstract
This study investigated the spectral profiles of different developmental stages of Sphenophorus levis, possibly the most important sugarcane pest in the Southeast, Midwest, and South regions of Brazil, given its economic relevance, distribution, and management challenges in sugarcane plantations. Hyperspectral remote sensing [...] Read more.
This study investigated the spectral profiles of different developmental stages of Sphenophorus levis, possibly the most important sugarcane pest in the Southeast, Midwest, and South regions of Brazil, given its economic relevance, distribution, and management challenges in sugarcane plantations. Hyperspectral remote sensing (HRS) techniques were employed. Spectral signatures were obtained for eggs, larvae, pupae, and adults using a Pika-L sensor (range, 400–1000 nm). This made it possible to identify distinct spectral patterns for each developmental stage, allowing for the differentiation between eggs, larvae, pupae, and adults. The results indicate the presence of such distinct spectral patterns, which may suggest the potential of hyperspectral imaging for the non-destructive identification of each stage of S. levis, although further investigations are needed to validate this approach. The eggs showed high variability in reflectance, possibly related to compositional changes during embryonic development. The larval instars exhibited a decrease in reflectance with age, likely due to cuticular changes. The evaluated pupae presented spectral differences that coincidentally enabled early sex determination, while adult males and females can also be distinguished based on their reflectance profiles, with females typically showing higher overall reflectance. This spectral library provides a foundation for the determination and sexing of instars, as well as the assessment of quality patterns in this important sugarcane pest. This study highlights the integration of advanced hyperspectral imaging technologies with insect biology to enhance integrated pest management strategies and sheds light on the biological and ecological aspects of the species. Full article
16 pages, 4335 KB  
Review
Research Advances in Pheromone Biosynthesis Regulation via the PBAN Signaling Pathway in Insects
by Yu Zhang, Zhitao Liu, Yan Yi, Hong Chen, Xia Wu, Guizhi Xu, Jingjun Yang and Zhiqiang Gao
Insects 2026, 17(5), 463; https://doi.org/10.3390/insects17050463 - 30 Apr 2026
Abstract
Nowadays, the application of insect sex pheromones in pest control technology has reached a relatively advanced technological maturity stage. However, the traditional research and development of sex pheromones requires a “one pest, one strategy” approach, which has drawbacks such as being time-consuming and [...] Read more.
Nowadays, the application of insect sex pheromones in pest control technology has reached a relatively advanced technological maturity stage. However, the traditional research and development of sex pheromones requires a “one pest, one strategy” approach, which has drawbacks such as being time-consuming and focused on a single control target. The insect sex pheromone synthesis pathway involves multiple molecular components that work together to promote the synthesis and release of sex pheromone from the pheromone gland. Elucidating the mechanisms underlying pheromone biosynthesis offers the potential to uncover universal strategies for pheromone development, thereby improving the efficiency and effectiveness of pest management. This study arranged knowledge of the upstream regulatory pathways and summarized the structure and function of the molecular components involved. We also investigated the divergence of neuropeptides and their receptors that regulate pheromone biosynthesis among different insect species from an evolutionary perspective. Future research should integrate multi-omics, bioinformatics, structural biology, and artificial intelligence technologies to elucidate the synthesis and regulatory processes of insect semiochemicals, develop specific dsRNA and small molecule inhibitors, and accelerate the transformation and application of related molecular targets into highly effective and green pesticides. Full article
Show Figures

Figure 1

27 pages, 2401 KB  
Review
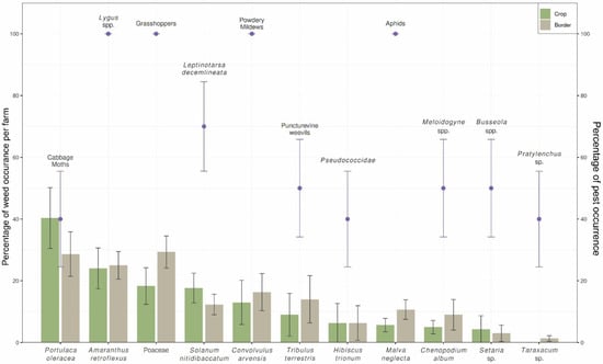
Beyond Beneficial Margins: Four Mechanisms Linking Border Vegetation to Pest Dynamics
by Jorge F. M. Cardoso and Fabiane M. Mundim
Biology 2026, 15(9), 697; https://doi.org/10.3390/biology15090697 - 29 Apr 2026
Abstract
Vegetated field borders are widely promoted as tools to enhance biodiversity and strengthen biological control in agroecosystems. However, their role in pest dynamics remains conceptually fragmented and empirically inconsistent. Here, we develop a unified framework explaining how crop border vegetation influences pest populations [...] Read more.
Vegetated field borders are widely promoted as tools to enhance biodiversity and strengthen biological control in agroecosystems. However, their role in pest dynamics remains conceptually fragmented and empirically inconsistent. Here, we develop a unified framework explaining how crop border vegetation influences pest populations through four interlinked ecological mechanisms. First, borders act as host reservoirs and selective filters, providing alternative hosts and overwintering habitat that enhance pest persistence across crop cycles. Second, borders modify pest colonization dynamics by shaping movement, aggregation, and host-location behavior at crop edges. Third, borders restructure multitrophic networks, simultaneously supporting natural enemies, alternative prey, vectors, and pathogens, generating nonlinear effects on pest suppression. Fourth, repeated disturbance and management function as selective filters, determining which plant functional groups dominate borders and, consequently, which pest and natural enemy communities are maintained. To ground this framework, we conduct a structured synthesis of published empirical and conceptual studies on crop-border vegetation, including weed and arthropod surveys, and classify them according to the proposed mechanisms. Our synthesis reveals a strong emphasis on multitrophic effects, whereas colonization processes and disturbance filtering are comparatively underexplored. Across mechanisms, plant identity and dominance structure consistently emerge as stronger predictors of pest outcomes than species richness alone. We argue that borders are not inherently beneficial or harmful but function as selectively structured ecological interfaces shaped by management history and species composition. By integrating temporal persistence, spatial behavior, network interactions, and anthropogenic filtering, our framework provides a predictive basis for IPM-oriented design of field borders, enabling management strategies that reduce pest carryover, disrupt colonization pathways, and enhance biological control while maintaining ecosystem services. This article is part of the theme issue “The Biology, Ecology, and Management of Plant Pests”. Full article
(This article belongs to the Section Ecology)
Show Figures

Figure 1

19 pages, 3380 KB  
Article
Encapsulation of a N-Alkylamide-Enriched Fraction from Acmella oleracea and Its Efficacy Against Tuta absoluta, the Invasive Key Tomato Pest
by Simona Tortorici, Roya Namaki-Khameneh, Milko Sinacori, Eleonora Spinozzi, Filippo Maggi, Giada Trebaiocchi, Riccardo Petrelli, Diego Romano Perinelli, Thomas Giordano, Ernesto Ragusa, Luigi Botta, Haralabos Tsolakis, Gabriella Lo Verde and Roberto Rizzo
Insects 2026, 17(5), 455; https://doi.org/10.3390/insects17050455 - 26 Apr 2026
Viewed by 179
Abstract
In the framework of integrated pest management, plant-based insecticides represent a promising tool for the control of insect pests. Indeed, N-alkylamides extracted from Acmella oleracea (L.) RK Jansen (Asteraceae) have been recently studied for their insecticidal properties. The encapsulation of these substances [...] Read more.
In the framework of integrated pest management, plant-based insecticides represent a promising tool for the control of insect pests. Indeed, N-alkylamides extracted from Acmella oleracea (L.) RK Jansen (Asteraceae) have been recently studied for their insecticidal properties. The encapsulation of these substances into stable formulations, like nanoemulsions (NEs), could boost their efficacy and stability. Herein, a N-alkylamide-enriched fraction (AEF) encapsulated into a stable NE was tested against Tuta absoluta (Meyrick) (Lepidoptera: Gelechiidae), a key tomato pest, able to develop resistance towards chemical insecticides. Acmella oleracea was reported to be effective against many target species, but this is the first time that this extract was tested against T. absoluta in terms of toxicity against eggs, ingestion toxicity on larvae and repellence on adults. The AEF, containing 42.8% of spilanthol, was prepared by combining two eco-friendly techniques, namely supercritical CO2 extraction and wiped-film short path molecular distillation, and then encapsulated into a stable NE. Preliminary tests on the phytotoxicity of the AEF-NEs at 0.25 and 0.5% (w/w) a.i., compared with a control NE solution (i.e., the AEF-free NE) and a negative control (distilled water), showed a negative effect on tomato plants at the highest concentration. On this basis, three concentrations (0.06, 0.125, and 0.25% a.i.) were evaluated against eggs (topical toxicity), larvae of 2nd instar (ingestion and topical toxicity), and adults (ovideterrence) of T. absoluta. The results showed that all adopted AEF-NE concentrations caused a significant inhibition in egg hatching (>20%). The larval survival, at the end of the evaluation (72 h), in ingestion toxicity tests were significantly different in the AEF-NEs at 0.06, 0.12, and 0.25% (56.7, 33.3 and 26.7%, respectively) compared with control NE and distilled water (100% both). Similar results were obtained in the adult emergence in ingestion toxicity comparing AEF-NEs at 0.06, 0.12, and 0.25% (64.7, 50.0 and 75.0%, respectively) with control NE and distilled water (100% both). Finally, a significant ovideterrent effect was shown by the concentrations 0.125 and 0.25% of the AEF-NEs (% of egg laid: 7.5 and 27.4% respectively), compared with distilled water. Overall, the AEF-NE tested showed promising and encouraging effectiveness as ovicidal and larvicidal against T. absoluta. This supports its potential use as an effective alternative to synthetic products for the control of this important pest. Full article
(This article belongs to the Special Issue Advances in the Effects of Insecticides on Pests)
Show Figures

Figure 1

18 pages, 1304 KB  
Article
Isolation and Identification of Entomopathogenic Fungus GC23620 and Its Virulence and Control Efficacy Against Gynaephora qinghaiensis Larvae
by Zexi Lin, Siyu Liu and Youpeng Lai
Biology 2026, 15(9), 678; https://doi.org/10.3390/biology15090678 - 25 Apr 2026
Viewed by 328
Abstract
In June 2023, a larva of grassland caterpillar Gynaephora qinghaiensis naturally infected by an entomopathogenic fungus was collected from an alpine rangeland in Gangcha County, Haibei Tibetan Autonomous Prefecture, Qinghai Province. After laboratory isolation and cultivation, the pathogen was identified as Beauveria bassiana [...] Read more.
In June 2023, a larva of grassland caterpillar Gynaephora qinghaiensis naturally infected by an entomopathogenic fungus was collected from an alpine rangeland in Gangcha County, Haibei Tibetan Autonomous Prefecture, Qinghai Province. After laboratory isolation and cultivation, the pathogen was identified as Beauveria bassiana (designated as GC23620) based on morphological characteristics and ITS-rDNA sequence similarity analysis. The larvicidal efficacy of B. bassiana GC23620 against fourth-instar larvae of G. qinghaiensis were assessed using two inoculation methods in laboratory conditions. The infection process and pathogenicity were analyzed by simulation and parameter estimation using the Time–Dose–Mortality (TDM) model. The estimated parameters for the concentration effect of strain GC23620 (β) were 0.56 (leaf dipping method) and 0.30 (insect immersion method), respectively. After treatment with conidial suspensions (1.05 × 105 to 1.05 × 109 conidia/mL), the cumulative corrected mortalities were 72.73–100.00% (leaf dipping method) and 42.42–90.91% (insect immersion method) at 8 days after inoculation (DAI), and the median lethal doses (LD50) decreased to 1.74 × 103 conidia/mL (leaf dipping method) and 1.85 × 104 conidia/mL (insect immersion method), respectively, during the same post-inoculation period. After inoculation with conidial suspension under a concentration of 1.05 × 106 conidia/mL, the median lethal times (LT50) were 2.40 (leaf dipping method) and 4.51 days (insect immersion method). A control efficacy of 84.27% was obtained for G. qinghaiensis larvae on grassland at 21 days post-treatment after spraying the fermentation solution with a low dose of 1.05 × 105 conidia/mL. In conclusion, B. bassiana strain GC23620 exhibited high pathogenic activity against G. qinghaiensis larvae and has strong potential for the green control of grassland pests. Full article
Show Figures

Figure 1

53 pages, 2489 KB  
Review
An Updated Checklist of the Phytophagous Ladybird Beetles (Coccinellinae: Epilachnini) of China
by Muhammad Asghar Hassan, Bing-Lan Zhang, Zafar Iqbal, Muhammad Ali, Yi-Fei Sun, Taslima Sheikh, Hao-Sen Li and Hong Pang
Insects 2026, 17(5), 450; https://doi.org/10.3390/insects17050450 (registering DOI) - 24 Apr 2026
Viewed by 342
Abstract
A comprehensive annotated checklist of the members of the phytophagous ladybird beetle tribe Epilachnini (Coccinellinae) in China is compiled based on existing published sources and incorporates the latest taxonomic and nomenclatural updates. The checklist documents 176 extant species across 10 genera and provides [...] Read more.
A comprehensive annotated checklist of the members of the phytophagous ladybird beetle tribe Epilachnini (Coccinellinae) in China is compiled based on existing published sources and incorporates the latest taxonomic and nomenclatural updates. The checklist documents 176 extant species across 10 genera and provides analyses of regional species richness, distribution, and host plant associations. Regarding regional species richness, Yunnan Province is home to the highest number of species (76), followed by Taiwan (50), Sichuan (48), Guizhou (48), Guangxi (43), Tibet (43), Guangdong (25), Hainan (17), Hubei (17), Hunan (13), Shaanxi (13), Fujian (12), Henan (10), Jiangsu (10), Anhui (7), Shandong (7), Zhejiang (7), Jiangxi (5), Hong Kong (5), Gansu (5), Beijing (4), Hebei (4), Liaoning (3), Shanxi (2), and Chongqing, Jilin, Heilongjiang, Ningxia, and Xinjiang (each with one species). Among the recognized genera, Epilachna Chevrolat, 1837, is currently the most species-rich genera, with 59 species, followed by Afissa Dieke, 1947 (34), Uniparodentata Wang & Cao, 1993 (28), Henosepilachna Li, 1961 (29), Afidentula Kapur, 1958 (10), Diekeana Tomaszewska & Szawaryn, 2015 (9), and Epiverta Dieke, 1947 (4). Additionally, Afidenta Dieke, 1947, Cynegetis Chevrolat, 1837, and Subcoccinella Agassiz & Erichson, 1845 are each represented by a single species. Host plant data are currently available for only 72 species (approximately 41% of the species recorded in China), which are associated with 177 plant species across 34 families. The most frequently recorded host plant families are Solanaceae (43 species), Cucurbitaceae (32), Urticaceae (15), Fabaceae (14), Asteraceae (14), and Poaceae (10), whereas each of the remaining 28 families comprises fewer than 10 host species. For 104 species (59% of the Chinese members of the tribe), host plant associations remain unknown, highlighting a substantial gap in our understanding of their feeding habits. Full article
(This article belongs to the Special Issue Insect Diversity: Coleoptera)
Show Figures

Figure 1

12 pages, 4454 KB  
Article
Role of Host Volatiles in Regulating the Rhythmic Host Alternation in the Mulberry Longhorn Beetle, Apriona germari
by Wenbo Wang, Yang Yang, Yangyixue Feng, Min Xiao and Tian Xu
Insects 2026, 17(5), 448; https://doi.org/10.3390/insects17050448 - 24 Apr 2026
Viewed by 215
Abstract
Host alternation is a common behavioral strategy among many herbivorous insects. The mulberry longhorn beetle, Apriona germari is a destructive wood-boring pest. The adults exhibit rhythmic host alternation between feeding and oviposition hosts. However, the temporal rhythm and regulatory mechanisms underlying this behavior [...] Read more.
Host alternation is a common behavioral strategy among many herbivorous insects. The mulberry longhorn beetle, Apriona germari is a destructive wood-boring pest. The adults exhibit rhythmic host alternation between feeding and oviposition hosts. However, the temporal rhythm and regulatory mechanisms underlying this behavior remain unclear. In the present study, by observing the dynamics of the numbers of A. germari on mulberry (Morus alba, feeding host) and willow (Salix babylonica, oviposition host) trees in a cage, we first found that both females and males began to aggregate on mulberry trees at dawn. Following 18:00 at dusk, the number of females on mulberry declined sharply, whereas the number of males decreased slightly, with a greater proportion of males staying on mulberry. To investigate the role of host volatiles in regulating the host alternation in A. germari, we then carried out two-choice olfactory assays to test whether the behavioral responses of A. germari to the host volatiles from mulberry and willow twigs differed between 04:00 and 08:00 (dawn, aggregated on mulberry) and 18:00 to 22:00 (dusk, dispersed from mulberry). Males were consistently attracted to the volatiles from healthy mulberry at both dawn and dusk, but not to those from willow. Females showed no attraction to the volatiles from either of two hosts at dawn; however, at dusk, they were significantly attracted to willow volatiles. Furthermore, volatiles from feeding-damaged mulberry trees were repellent to both sexes, particularly to males at dawn. These results indicate that the rhythmic host alternation in A. germari is partly mediated by host volatiles and an unidentified male-produced pheromone may be present in this species. Our findings can deepen the understanding of the host alternation in longhorn beetles, and offer a theoretical foundation for developing semiochemical-based, eco-friendly strategies for controlling this pest. Full article
Show Figures

Figure 1

19 pages, 2546 KB  
Article
ABC Transporter Subfamily E Is Critical for Gametogenesis and Eclosion in Lygus hesperus (Hemiptera: Miridae)
by J. Joe Hull, Evelien Van Ekert, Inana X. Schutze, Jeffrey A. Fabrick and Colin S. Brent
Insects 2026, 17(5), 446; https://doi.org/10.3390/insects17050446 - 23 Apr 2026
Viewed by 242
Abstract
Although the ATP-binding cassette (ABC) transporter superfamily of proteins typically facilitates the movement of compounds across cellular membranes, the ABC E subfamily (ABCE) influences protein synthesis via non-transporter roles in ribosome biogenesis. Despite this essential role, our understanding of the impact that ABCE [...] Read more.
Although the ATP-binding cassette (ABC) transporter superfamily of proteins typically facilitates the movement of compounds across cellular membranes, the ABC E subfamily (ABCE) influences protein synthesis via non-transporter roles in ribosome biogenesis. Despite this essential role, our understanding of the impact that ABCE proteins have on insect physiology is limited. Here, we identified and characterized the ABCE gene from Lygus hesperus, a major agricultural pest of crops in North America. LhABCE transcripts were constitutively expressed throughout development and were present in all adult tissues tested. RNA interference (RNAi)-mediated knockdown of LhABCE transcripts in fifth instar nymphs resulted in high nymphal mortality and an incomplete molt. LhABCE knockdown in adults disrupted gametogenesis and reduced longevity. In females, oogenesis was impaired and oocytes did not progress beyond the pre-vitellogenic phase. In males, LhABCE knockdown reduced both spermatozoa abundance and male fertility. LhABCE knockdown, however, had little to no impact on hemolymph protein levels or the levels of circulating vitellogenin. Taken together, the results indicate that LhABCE is critical for the normal progression of processes like molting and gametogenesis that require coordinated bursts of protein synthesis and suggest that ABCE may play an important role in the mechanisms underlying those bursts. Full article
(This article belongs to the Special Issue RNAi in Insect Physiology—2nd Edition)
Show Figures

Graphical abstract

13 pages, 12174 KB  
Article
Transcriptomic Analysis Reveals Molecular Mechanisms of Wolbachia–Plant Association
by Qiancheng Wei, Xinlei Wang, Kedi Zhao, Sha Wang, Ali Basit, Feng Liu and Yiying Zhao
Int. J. Mol. Sci. 2026, 27(9), 3746; https://doi.org/10.3390/ijms27093746 - 23 Apr 2026
Viewed by 157
Abstract
Endosymbiotic bacteria in insects are known to influence plant–insect interactions by altering host plant physiology. This study reveals that the endosymbiont Wolbachia significantly impairs photosynthesis in cotton plants. Comparative transcriptomic analysis of cotton leaves infested by Wolbachia-infected spider mites (Tt-I) and uninfected [...] Read more.
Endosymbiotic bacteria in insects are known to influence plant–insect interactions by altering host plant physiology. This study reveals that the endosymbiont Wolbachia significantly impairs photosynthesis in cotton plants. Comparative transcriptomic analysis of cotton leaves infested by Wolbachia-infected spider mites (Tt-I) and uninfected spider mites (Tt-UI) identified 1912 differentially expressed genes (DEGs). Photosynthesis was the most adversely affected biological process, with 17 genes downregulated in the photosynthesis pathway (e.g., key genes psbW and PETF), as supported by GO and KEGG enrichment analyses. Gene co-expression network analysis further highlighted core genes involved in photosynthesis disruption and carbon fixation. Physiological assessments showed that Wolbachia infection led to significantly reduced chlorophyll content and elevated reactive oxygen species (ROS) levels, inducing oxidative stress. These findings demonstrate that Wolbachia disrupts cotton photosynthesis through transcriptional repression and ROS-mediated oxidative stress, providing novel insights into plant–insect-symbiont interactions and a theoretical basis for managing mite pests in cotton. Full article
(This article belongs to the Special Issue Advances in Plant Genomics and Genetics: 3rd Edition)
Show Figures

Figure 1

12 pages, 606 KB  
Article
Impact of Insect Prey and Plant Food Sources on Development and Reproduction of the Phytozoophagous Mirid Bug, Apolygus lucorum (Meyer-Dür)
by Lili Wang, Lingyun Li, Baoyou Liu and Kongming Wu
Insects 2026, 17(5), 443; https://doi.org/10.3390/insects17050443 - 22 Apr 2026
Viewed by 193
Abstract
Apolygus lucorum (Meyer-Dür) is a phytozoophagous crop pest. While the effects of plant-based diets on its development and reproduction have been extensively studied, the combined effects of plant- and prey-based diets on these traits remain poorly understood. This study systematically evaluated the effects [...] Read more.
Apolygus lucorum (Meyer-Dür) is a phytozoophagous crop pest. While the effects of plant-based diets on its development and reproduction have been extensively studied, the combined effects of plant- and prey-based diets on these traits remain poorly understood. This study systematically evaluated the effects of plant-only, prey-only, and mixed plant–prey diets on A. lucorum nymphal survival and development, as well as adult longevity and fecundity, under controlled laboratory conditions. The results demonstrate that diet composition significantly affected nymphal survival and developmental progression. Nymphs fed exclusively on prey (Aphis gossypii Glover or Bemisia tabaci (Gennadius) nymphs) failed to complete juvenile development. Although a diet of Helicoverpa armigera (Hübner) eggs alone enabled some individuals to reach adulthood, survival rates were significantly lower than those in mixed-diet treatments. Mixed feeding markedly improved nymphal survival, with the highest rates observed in groups fed green beans + H. armigera eggs and cotton leaves + B. tabaci nymph combinations (both 64.45%). The developmental duration was also influenced. Mixed diets, particularly green beans + H. armigera eggs, significantly shortened each instar and the total developmental time (11.04 ± 0.17 d), whereas a diet of cotton leaves alone prolonged development (19.45 ± 0.24 d). Adult longevity and reproductive output were likewise diet-dependent. The longest lifespans were recorded in adults fed green beans alone or green beans + H. armigera eggs, while the shortest lifespan was observed for those fed only cotton leaves. Successful oviposition was only achieved following four dietary treatments: green beans alone, green beans + H. armigera eggs, H. armigera eggs alone, and cotton leaves + H. armigera eggs. Among these, the green bean + H. armigera egg diet yielded the best reproductive performance, featuring the shortest pre-oviposition period (5.82 ± 0.60 d), the longest oviposition period (19.41 ± 1.68 d), and the highest mean fecundity per female (238.35 ± 25.51 eggs). This underscores the reproductive advantage of a mixed plant–prey diet. This study clarifies how dietary conditions shape the survival, development, and reproduction of A. lucorum, highlighting its strong reliance on nutritional quality for key life-history traits. These findings offer valuable insights into the ecological adaptations underlying the feeding behavior of this insect. Full article
(This article belongs to the Special Issue Biosystematics and Management of True Bugs (Hemipterans))
Show Figures

Graphical abstract

14 pages, 15664 KB  
Review
Potential Use of Kaolin in Viticulture: Physiological Basis and Future Perspectives
by Leonor Deis, Juan Martínez-Barberá, Francesca Fort, Pedro Balda, Alicia Pou, Andrea Mariela Quiroga and Raúl Ferrer-Gallego
Plants 2026, 15(8), 1276; https://doi.org/10.3390/plants15081276 - 21 Apr 2026
Viewed by 284
Abstract
Since ancient times, clays have been used to protect plants from insects and excessive sunlight. Today, their potential use is being re-evaluated as a tool to mitigate the effects of climate change and to manage emerging pests. This review synthesizes and compares findings [...] Read more.
Since ancient times, clays have been used to protect plants from insects and excessive sunlight. Today, their potential use is being re-evaluated as a tool to mitigate the effects of climate change and to manage emerging pests. This review synthesizes and compares findings from studies conducted in different regions of the world. Kaolin forms a reflective film on leaves and fruits, lowering tissue temperature. In warm climates, this temperature reduction can contribute to improved physiological parameters including net assimilation and water use efficiency; however, these responses are strongly influenced by additional factors. It may also affect some oenological characteristics of grapes (acidity, pH, and phenol content, particularly anthocyanins), thereby improving the overall chemical composition of grapes and wines, particularly in terms of acidity, pH and phenolic content. In addition, kaolin has been shown to reduce damage caused by the grape leafhopper (Empoasca vitis, Jacobiasca lybica, among others) to levels comparable to those achieved with synthetic pesticides. However, responses vary depending on different factors, such as application timing, dose, cultivar and climate. Overall, kaolin represents a sustainable strategy for mitigating climate change effects on fruit quality and for supporting ecological pest management. Full article
(This article belongs to the Section Plant Response to Abiotic Stress and Climate Change)
Show Figures

Figure 1

14 pages, 1073 KB  
Article
Insecticidal Activity of Essential Oil from the Leaves of Myrciaria floribunda (Myrtaceae) Against Sitophilus zeamais in Stored Maize
by Wevertton Marllon Anselmo, Danilo Gustavo Rodrigues Silva, Fábio Henrique Galdino dos Santos, Ana Carla da Silva, Júlio César Ribeiro De Oliveira Farias De Aguiar, Eduarda Florencio Santos, Gilson José da Silva Gomes Vieira, Camila Soledade de Lira Pimentel, Ana Patrícia Silva de Oliveira, Thiago Henrique Napoleão, Patrícia Maria Guedes Paiva, Patryck Érmerson Monteiro dos Santos, Eurico Eduardo Pinto de Lemos and Daniela Maria do Amaral Ferraz Navarro
Plants 2026, 15(8), 1272; https://doi.org/10.3390/plants15081272 - 21 Apr 2026
Viewed by 273
Abstract
Myrciaria floribunda is a plant found in the Northeast region of Brazil with several insecticidal properties that remain little explored. In this sense, this study aims to investigate the harmful effects of essential oil (EO) from M. floribunda leaves against Sitophilus zeamais, [...] Read more.
Myrciaria floribunda is a plant found in the Northeast region of Brazil with several insecticidal properties that remain little explored. In this sense, this study aims to investigate the harmful effects of essential oil (EO) from M. floribunda leaves against Sitophilus zeamais, an important corn pest. The EO was applied in toxicity tests by fumigation, contact, and ingestion, as well as in in vitro assays to evaluate its effects on the activity of the enzymes α-amylase, trypsin, and acetylcholinesterase. Chromatographic analysis of the oil revealed (E)-caryophyllene (56.41%), viridiflorol (4.02%) and α-selinene (3.85%) as the main compounds. The essential oil (EO) showed fumigation toxicity, with an LC50 of 3.2 μL/L of air, and (E)-caryophyllene with an LC50 of 3.97 μL/L of air. The EO inhibited insect feeding, altering growth rate and feed conversion efficiency starting at 62.5 μL/g. In this study, an increase in amylase and acetylcholinesterase (AChE) activity was observed. This increase in AChE activity may cause an imbalance in the nervous system, leading to insect death. Thus, the EO of M. floribunda may serve as an alternative for the control of S. zeamais in stored corn and help prevent significant post-harvest losses for farmers. Full article
Show Figures

Graphical abstract

37 pages, 2228 KB  
Review
Integrated Pest Management Strategies for Controlling Phthorimaea (Tuta) absoluta: Advances in Biological, Pheromone, and Cultural Control Methods
by Chen Zhang, Yu-Xin Wang, Xu-Dong Liu, Asim Iqbal, Qing Wang and Yu Wang
Insects 2026, 17(4), 441; https://doi.org/10.3390/insects17040441 - 21 Apr 2026
Viewed by 406
Abstract
The tomato leaf miner, Phthorimaea (Tuta) absoluta, Meyrick 1917 is recognized as a highly destructive pest, causing significant economic losses to crops in both greenhouse and open field environments across four continents: Asia, Africa, Europe, and South America. High genetic [...] Read more.
The tomato leaf miner, Phthorimaea (Tuta) absoluta, Meyrick 1917 is recognized as a highly destructive pest, causing significant economic losses to crops in both greenhouse and open field environments across four continents: Asia, Africa, Europe, and South America. High genetic homogeneity among populations from various regions and countries indicates significant gene flow between P. absoluta populations, suggesting a lack of geographical barriers to dispersion. Furthermore, P. absoluta has developed resistance to insecticides due to target-site mutations or metabolic resistance, which enable the insect to withstand lethal doses of insecticides. To control this insect pest, the plant-mediated RNA interference (RNAi) is most promising host-induced gene silencing technique, utilized the plant’s machinery to express double-stranded (dsRNA), which triggers the RNAi pathway in P. absoluta. Due to thermal tolerance, the P. absoluta has increased its area of invasion by 600 km per year over 9 years. Female P. absoluta releases pheromones that are recognized by males with a sophisticated olfactory circuit on their antenna. Pheromone binding proteins (PBPs) play a crucial role in mate recognition and attraction, and their expression peaks during courtship, specifically around 6:00 a.m. Given its potential to significantly alter the insect genome, clustered regularly interspaced short palindromic repeats (CRISPR) and CRISPR-associated protein 9 (Cas9) offer a revolutionary strategy to control P. absoluta. Furthermore, this pest has developed remarkable adaptations to survive on unfavorable hosts by secreting specific proteins from its salivary glands that detoxify plant defenses. Insecticide resistance is likely the cause of field control failures of P. absoluta. Biological control, sex pheromone traps, and cultural control are the most promising approaches to address insecticide resistance resulting from these failures. Therefore, the implementation of integrated control programs and appropriate resistance management strategies is necessary to keep P. absoluta infestations under economic damage thresholds. Full article
(This article belongs to the Special Issue Sustainable Pest Management in Agricultural Systems)
Show Figures

Figure 1

11 pages, 1374 KB  
Brief Report
Endophytic Fusarium commune G3-29-Mediated dsRNA Delivery for Efficient Control of Western Flower Thrips
by Xueyuan Sheng, Yanfei Wang, Chang Chen, Chao Ma, Shuangchao Wang, Endong Wang, Yan Zhao and Lihua Guo
J. Fungi 2026, 12(4), 291; https://doi.org/10.3390/jof12040291 - 18 Apr 2026
Viewed by 205
Abstract
RNA interference (RNAi) provides a sequence-specific strategy for pest management, but efficient and stable double-stranded RNA (dsRNA) delivery remains a key challenge. Here, we established a plant-probiotic-based gene silencing system using the endophytic fungus Fusarium commune G3-29 as a dsRNA delivery vector against [...] Read more.
RNA interference (RNAi) provides a sequence-specific strategy for pest management, but efficient and stable double-stranded RNA (dsRNA) delivery remains a key challenge. Here, we established a plant-probiotic-based gene silencing system using the endophytic fungus Fusarium commune G3-29 as a dsRNA delivery vector against western flower thrips (WFTs, Frankliniella occidentalis). Recombinant G3-29 strains expressing dsRNA targeting the essential WFT genes ACT and SNF were constructed and confirmed to colonize kidney bean leaves without pathogenicity. Bioassays showed that feeding on leaves colonized by dsRNA-expressing G3-29 significantly decreased survival and downregulated target gene expression in both WFT larvae and adults. Within 4 days, survival of both larvae and adults fell below 10%. In larvae, target gene expression decreased by 63% (ACT) and 33% (SNF), while in adults, reductions of 74% (ACT) and 65% (SNF) were observed. In contrast, in vitro-synthesized dsRNA failed to induce significant gene silencing or mortality in larvae, and its control efficacy against adults was also inferior to that of endophytic fungus-mediated dsRNA delivery. Our findings establish endophytic fungus F. commune G3-29 as an effective and sustainable dsRNA delivery vehicle for RNAi-based pest control, offering distinct advantages over existing strategies such as HIGS and SIGS. This approach provides a promising new direction for managing WFTs and other insect pests. Full article
(This article belongs to the Section Fungal Genomics, Genetics and Molecular Biology)
Show Figures

Figure 1

Back to TopTop