Healthy Ageing Is Associated with Preserved or Enhanced Nutrient and Mineral Apparent Digestibility in Dogs and Cats Fed Commercially Relevant Extruded Diets
Abstract
Simple Summary
Abstract
1. Introduction
2. Materials and Methods
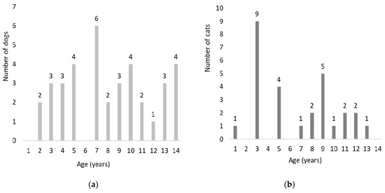
2.1. Animals
2.2. Diets and Apparent Digestibility Protocol
2.3. Analytical Methods
2.4. Statistical Analysis
3. Results
3.1. Nutrient Composition of Diets on an Energy Basis
3.2. Diet Intake, Body Weight, and Body Condition Score
3.3. Nutrient Apparent Digestibility in Dogs
3.4. Nutrient Apparent Digestibility in Cats
4. Discussion
5. Conclusions
Supplementary Materials
Author Contributions
Funding
Institutional Review Board Statement
Data Availability Statement
Acknowledgments
Conflicts of Interest
References
- Salt, C.; Morris, P.J.; Wilson, D.; Lund, E.M.; German, A.J. Association between life span and body condition in neutered client-owned dogs. J. Vet. Intern. Med. 2019, 33, 89–99. [Google Scholar] [CrossRef]
- Vogt, A.H.; Rodan, I.; Brown, M.; Brown, S.; Buffington, C.T.; Forman, M.L.; Neilson, J.; Sparkes, A. AAFP-AAHA: Feline life stage guidelines. J. Feline Med. Surg. 2010, 12, 43–54. [Google Scholar] [CrossRef]
- Perez-Camargo, G. The aging feline: Advances in nutrition and care for the older cat-cat nutrition: What is new in the old? Compend. Contin. Educ. Pract. Vet. 2004, 26, 5–10. [Google Scholar]
- Taylor, E.; Adams, C.; Neville, R. Some nutritional aspects of ageing in dogs and cats. Proc. Nutr. Soc. 1995, 54, 645–656. [Google Scholar] [CrossRef]
- Harper, E.J. Changing perspectives on aging and energy requirements: Aging and digestive function in humans, dogs and cats. J. Nutr. 1998, 128 (Suppl S12), 2632s–2635s. [Google Scholar] [CrossRef]
- Fahey, G.C., Jr.; Barry, K.A.; Swanson, K.S. Age-related changes in nutrient utilization by companion animals. Annu. Rev. Nutr. 2008, 28, 425–445. [Google Scholar] [CrossRef] [PubMed]
- Mosier, J.E. Effect of Aging on Body Systems of the Dog. Vet. Clin. N. Am. Small Anim. Pract. 1989, 19, 1–12. [Google Scholar] [CrossRef]
- Kuzmuk, K.N.; Swanson, K.S.; Tappenden, K.A.; Schook, L.B.; Fahey, G.C., Jr. Diet and age affect intestinal morphology and large bowel fermentative end-product concentrations in senior and young adult dogs. J. Nutr. 2005, 135, 1940–1945. [Google Scholar] [CrossRef] [PubMed]
- Buffington, C.; Branam, J.; Dunn, G. Lack of effect of age on digestibility of protein, fat, and dry matter in Beagle dogs. In Nutrition of the Dog and Cat; Burger, I., Rivers, J., Eds.; Cambridge University Press: New York, NY, USA, 1989. [Google Scholar]
- Sheffy, B.E.; Williams, A.J.; Zimmer, J.F.; Ryan, G.D. Nutrition and metabolism of the geriatric dog. Cornell Vet. 1985, 75, 324–347. [Google Scholar] [PubMed]
- Peachey, S.; Dawson, J.M.; Harper, E. The effect of ageing on nutrient digestibility by cats fed beef tallow-, sunflower oil-or olive oil-enriched diets. Growth Dev. Aging GDA 1999, 63, 61–70. [Google Scholar] [PubMed]
- Teshima, E.; Brunetto, M.A.; Vasconcellos, R.S.; Gonçalves, K.N.V.; De-Oliveira, L.D.; Valério, A.G.; Carciofi, A.C. Nutrient digestibility, but not mineral absorption, is age-dependent in cats. J. Anim. Physiol. Anim. Nutr. 2010, 94, e251–e258. [Google Scholar] [CrossRef] [PubMed]
- Weber, M.; Bissot, T.; Servet, E.; Sergheraert, R.; Biourge, V.; German, A.J. A high-protein, high-fiber diet designed for weight loss improves satiety in dogs. J. Vet. Intern. Med. 2007, 21, 1203–1208. [Google Scholar] [CrossRef]
- German, A.J.; Holden, S.L.; Moxham, G.L.; Holmes, K.L.; Hackett, R.M.; Rawlings, J.M. A simple, reliable tool for owners to assess the body condition of their dog or cat. J. Nutr. 2006, 136 (Suppl S7), 2031S–2033S. [Google Scholar] [CrossRef] [PubMed]
- AOAC. Official Methods of Analysis, 16th ed.; AOAC International: Arlington, VA, USA, 1995. [Google Scholar]
- AOAC. Official Methods of Analysis, 18th ed.; AOAC International: Gaithersburg, MD, USA, 2005. [Google Scholar]
- ISO 6869. Animal Feeding Stuffs. Determination of the Contents of Calcium, Copper, Iron, Magnesium, Manganese, Potassium, Sodium and Zinc—Method Using Atomic Absorption Spectrometry; American National Standards Institute (ANSI): Washington, DC, USA, 2000. [Google Scholar]
- ISO 9831. Animal Feeding Stuffs, Animal Products, and Faeces or Urine. Determination of Gross Calorific Value—Bomb Calorimeter Method; American National Standards Institute (ANSI): Washington, DC, USA, 1998. [Google Scholar]
- National Research Council. Ad Hoc Committee on Dog and Cat Nutrition. Nutrient Requirements of Dogs and Cats; National Academies Press: Washington, DC, USA, 2006. [Google Scholar]
- Raul, F.; Gosse, F.; Doffoel, M.; Darmenton, P.; Wessely, J.Y. Age related increase of brush border enzyme activities along the small intestine. Gut 1988, 29, 1557–1563. [Google Scholar] [CrossRef]
- Rémésy, C.; Behr, S.R.; Levrat, M.A.; Demigne, C. Fiber fermentability in the rat cecum and its physiological consequences. Nutr. Res. 1992, 12, 1235–1244. [Google Scholar] [CrossRef]
- Mack, J.K.; Alexander, L.G.; Morris, P.J.; Dobenecker, B.; Kienzle, E. Demonstration of uniformity of calcium absorption in adult dogs and cats. J. Anim. Physiol. Anim. Nutr. 2015, 99, 801–809. [Google Scholar] [CrossRef]
- Stockman, J.; Watson, P.; Gilham, M.; Allaway, D.; Atwal, J.; Haydock, R.; Colyer, A.; Renfrew, H.; Morris, P.J. Adult dogs are capable of regulating calcium balance, with no adverse effects on health, when fed a high-calcium diet. Br. J. Nutr. 2017, 117, 1235–1243. [Google Scholar] [CrossRef][Green Version]
- Gomes, M.D.O.S.; Beraldo, M.C.; Putarov, T.C.; Brunetto, M.A.; Zaine, L.; Glória, M.B.A.; Carciofi, A.C. Old beagle dogs have lower faecal concentrations of some fermentation products and lower peripheral lymphocyte counts than young adult beagles. Br. J. Nutr. 2011, 106 (Suppl 1), S187–S190. [Google Scholar] [CrossRef]
- Salas, A.; Manuelian, C.L.; Garganté, M.; Sanchez, N.; Fernández, S.; Compagnucci, M.; Cerón, J.J.; Jeusette, I.; Vilaseca, L.; Torre, C. Fat digestibility is reduced in old cats with subnormal cobalamin concentrations. J. Nutr. Sci. 2014, 3, 1–5. [Google Scholar] [CrossRef] [PubMed][Green Version]
- Alexander, J.; Stockman, J.; Atwal, J.; Butterwick, R.; Colyer, A.; Elliott, D.; Gilham, M.; Morris, P.; Staunton, R.; Renfrew, H.; et al. Effects of the long-term feeding of diets enriched with inorganic phosphorus on the adult feline kidney and phosphorus metabolism. Br. J. Nutr. 2019, 121, 1–21. [Google Scholar] [CrossRef]
- De Godoy, M.R.; Kerr, K.R.; Fahey, G.C., Jr. Alternative dietary fiber sources in companion animal nutrition. Nutrients 2013, 5, 3099–3117. [Google Scholar] [CrossRef]
- Son, A.R.; Kim, B.G. Effects of dietary cellulose on the Basal endogenous loss of phosphorus in growing pigs. Asian-Australas. J. Anim. Sci. 2015, 28, 369–373. [Google Scholar] [CrossRef]
- Beynen, A.C.; Baas, J.C.; Hoekemeijer, P.E.; Kappert, H.J.; Bakker, M.H.; Koopman, J.P.; Lemmens, A.G. Faecal bacterial profile, nitrogen excretion and mineral absorption in healthy dogs fed supplemental oligofructose. J. Anim. Physiol. Anim. Nutr. 2002, 86, 298–305. [Google Scholar] [CrossRef] [PubMed]
- Kienzle, E.; Dobenecker, B.; Eber, S. Effect of cellulose on the digestibility of high starch versus high fat diets in dogs. J. Anim. Physiol. Anim. Nutr. 2001, 85, 174–185. [Google Scholar] [CrossRef] [PubMed]
- Guevara, M.A.; Bauer, L.L.; Abbas, C.A.; Beery, K.E.; Holzgraefe, D.P.; Cecava, M.J.; Fahey, G.C., Jr. Chemical Composition, in Vitro Fermentation Characteristics, and in Vivo Digestibility Responses by Dogs to Select Corn Fibers. J. Agric. Food Chem. 2008, 56, 1619–1626. [Google Scholar] [CrossRef] [PubMed]
- Chiavaroli, L.; Mirrahimi, A.; Sievenpiper, J.L.; Jenkins, D.J.A.; Darling, P.B. Dietary fiber effects in chronic kidney disease: A systematic review and meta-analysis of controlled feeding trials. Eur. J. Clin. Nutr. 2015, 69, 761–768. [Google Scholar] [CrossRef]
- Maria, A.P.J.; Ayane, L.; Putarov, T.C.; Loureiro, B.A.; Neto, B.P.; Casagrande, M.F.; Gomes, M.O.S.; Glória, M.B.A.; Carciofi, A.C. The effect of age and carbohydrate and protein sources on digestibility, fecal microbiota, fermentation products, fecal IgA, and immunological blood parameters in dogs. J. Anim. Sci. 2017, 95, 2452–2466. [Google Scholar]
- Gilani, G.S.; Sepehr, E. Protein digestibility and quality in products containing antinutritional factors are adversely affected by old age in rats. J. Nutr. 2003, 133, 220–225. [Google Scholar] [CrossRef]
- Na, B.-R.; Lee, J.-H. In Vitro and In Vivo Digestibility of Soybean, Fish, and Microalgal Oils, and Their Influences on Fatty Acid Distribution in Tissue Lipid of Mice. Molecules 2020, 25, 5357. [Google Scholar] [CrossRef]
- Michalski, M.C.; Genot, C.; Gayet, C.; Lopez, C.; Fine, F.; Joffre, F.; Vendeuvre, J.L.; Bouvier, J.; Chardigny, J.M.; Raynal-Ljutovac, K. Multiscale structures of lipids in foods as parameters affecting fatty acid bioavailability and lipid metabolism. Prog. Lipid Res. 2013, 52, 354–373. [Google Scholar] [CrossRef]


| Diet Composition | Low-Fibre 1 | Medium-Fibre 2 | High-Fibre 3 | Very-High-Fibre 4 |
|---|---|---|---|---|
| Chemical analysis (g/100 g) | - | - | - | - |
| Moisture | 9.40 | 9.50 | 9.50 | 9.80 |
| Ash | 6.11 | 6.28 | 6.46 | 6.63 |
| Protein | 25.9 | 25.1 | 26.3 | 26.1 |
| Fat | 14.5 | 14.4 | 13.5 | 13.0 |
| Saturated (% fatty acids) | 33.7 | 33.5 | 32.9 | 33.3 |
| Monounsaturated (% fatty acids) | 46.3 | 46.3 | 45.1 | 45.2 |
| Polyunsaturated (% fatty acids) | 20.0 | 20.2 | 22.0 | 21.5 |
| Crude fibre (CF) | 1.90 | 6.30 | 9.20 | 19.5 |
| Total dietary fibre (TDF) | 6.30 | 13.1 | 16.1 | 29.3 |
| Calcium | 1.17 | 1.29 | 1.21 | 1.20 |
| Phosphorus | 0.80 | 0.84 | 0.79 | 0.76 |
| Ca: P ratio | 1.46 | 1.54 | 1.53 | 1.58 |
| Starch gelatinization (%) | 91.2 | 97.3 | 95.8 | 93.0 |
| Energy content | - | - | - | - |
| GE 5 (Mcal/kg) | 4.65 | 4.62 | 4.58 | 4.53 |
| GE 6 digestibility (%) | 88.2 | 81.3 | 79.7 | 65.7 |
| DE 7 (Mcal/kg) | 4.11 | 3.75 | 3.66 | 2.99 |
| ME 8 (Mcal/kg) | 3.83 | 3.49 | 3.38 | 2.71 |
| Diet Composition | LF-LFb 1 | LF-MFb 2 | HF-LFb 3 | HF-MFb 4 |
|---|---|---|---|---|
| Chemical analysis (g/100 g) | - | - | - | - |
| Moisture | 4.10 | 5.90 | 5.40 | 5.20 |
| Ash | 10.4 | 6.70 | 7.10 | 7.90 |
| Protein | 34.7 | 33.6 | 33.0 | 35.2 |
| Fat | 12.0 | 10.1 | 17.0 | 17.7 |
| Saturated (%fatty acids) | 31.7 | 35.3 | 31.3 | 27.9 |
| Monounsaturated (%fatty acids) | 46.6 | 45.2 | 46.8 | 44.1 |
| Polyunsaturated (%fatty acids) | 21.8 | 19.5 | 21.9 | 27.9 |
| Starch | 27.5 | 27.4 | 25.5 | 20.1 |
| Crude fibre (CF) | 1.60 | 2.90 | 0.90 | 3.30 |
| Total dietary fibre (TDF) | 9.00 | 12.1 | 9.50 | 12.2 |
| Calcium | 2.81 | 1.22 | 1.02 | 1.34 |
| Phosphorus | 1.67 | 1.01 | 0.96 | 1.10 |
| Ca: P ratio | 1.68 | 1.20 | 1.06 | 1.22 |
| Energy content | - | - | - | - |
| GE 5 (Mcal/kg) | 4.69 | 4.68 | 5.06 | 5.05 |
| GE 6 digestibility (%) | 86.4 | 85.2 | 87.1 | 84.8 |
| DE 7 (Mcal/kg) | 4.05 | 3.99 | 4.40 | 4.28 |
| ME 8 (Mcal/kg) | 3.79 | 3.71 | 4.11 | 4.03 |
| Dog Population | Study Start | Study End |
|---|---|---|
| Median (min, max) | Median (min, max) | |
| Body weight, kg | 10.4 (7.8, 22.0) | 10.2 (7.5, 22.3) |
| Beagle | 10.2 (7.8, 13.8) | 10.0 (7.5, 14.0) |
| Brittany | 16.1 (13.0, 22.4) | 16.9 (13.0, 22.4) |
| Female (F) | 10.0 (7.8, 18.0) | 9.6 (7.5, 18.7) |
| Male (M) | 12.1 (10.2, 22.4) | 12.0 (10.2, 22.3) |
| Body condition score | 4.0 (3.0, 6.0) | 4.0 (3.0, 6.0) |
| 3 (underweight) | 1 Brittany/1 Beagle/2 M | 1 Brittany/1 Beagle/2 M |
| 4–5 (ideal) | 29 Beagles/4 Brittany/25 F/8 M | 27 Beagles/3 Brittany/23 F/7 M |
| 6 (overweight) | 2 Beagles/2 F | 3 Beagles/1 Brittany/3 F/1 M |
| Energy intake (kcal/kgBW0.75) | - | - |
| Beagles (2–5 years) | 95.1 (65.7, 144) | 98.0 (65.7, 131) |
| Beagles (7–10 years) | 91.8 (72,7, 119) | 90.8 (74.1, 115) |
| Brittany (7–10 years) | 143 (116, 150) | 144 (117, 151) |
| Beagles (10–14 years) | 96.8 (73.9, 151) | 94.6 (75.3, 151) |
| Females (2–5 years) | 95.1 (65.7, 120.2) | 98.1 (65.7, 130.9) |
| Females (7–14 years) | 93.7 (72.7, 116.0) | 93.3 (74.2, 117.3) |
| Males (7–14 years | 111.0 (77.3, 150.2) | 110.6 (75.2, 150.7) |
| Cat Population | Study Start | Study End |
|---|---|---|
| Median (min, max) | Median (min, max) | |
| Body weight, kg | 4.2 (2.6, 5.5) | 4.0 (2.5, 5.3) |
| Cats (1–5 years) | 3.9 (3.2, 5.0) | 3.8 (3.3, 4.8) |
| Cats (7–13 years) | 4.5 (2.6, 5.5) | 4.4 (2.5, 5.3) |
| Body condition score | 5.0 (4.0, 8.0) | 4.0 (3.0, 8.0) |
| 3 (underweight) | n = 0 | n = 3 |
| 4–5 (ideal) | n = 20 | n = 18 |
| 6–7 (overweight) | n = 7 | n = 6 |
| 8 (obese) | n = 1 | n = 1 |
| Energy intake (kcal/kgBW0.711) | - | - |
| Cats (1–5 years) | 70.5 (46.4, 70.5) | 74.3 (61.2, 91.3) |
| Cats (7–13 years) | 58.8 (42.8, 96.9) | 61.9 (48.0, 82.9) |
| Performance Parameters | Low-Fibre | Medium-Fibre | High-Fibre | Very-High-Fibre | p (Diet) 1 | ||||
|---|---|---|---|---|---|---|---|---|---|
| Mean (95% CI) | p (Age) | Mean (95% CI) | p (Age) | Mean (95% CI) | p (Age) | Mean (95% CI) | p (Age) | ||
| DM intake (g/kgBW0.75) | 26.8 (24.8,28.8) | 0.670 | 28.9 (26.9,30.9) | 0.670 | 30.7 (28.7,32.7) | 0.670 | 33.4 (31.4,35.4) | 0.670 | <0.001 |
| Digestibility (%) | - | - | - | - | - | - | - | - | - |
| Dry matter | 86.3 (84.6,87.9) a | 0.175 | 79.6 (77.9,81.3) b | 0.286 | 75.3 (73.6,77.0) c | 0.750 | 60.0 (58.3,61.7) d | 0.807 | <0.001 |
| Protein | 86.4 (85.3,87.5) a | 0.032 | 85.1 (84.0,86.3) ab | 0.359 | 84.2 (83.0,85.3) b | 0.822 | 84.1 (83.0,85.2) b | 0.807 | <0.001 |
| Fat | 94.3 (93.7,94.9) a | 0.475 | 94.1 (93.4,94.7) a | 0.697 | 93.0 (92.4,93.7) b | 0.750 | 90.4 (89.8,91.0) d | 0.807 | <0.001 |
| TDF | 36.7 (29.2,40.1) a | 0.019 | 24.3 (18.9,29.7) b | 0.082 | 16.6 (11.3,21.9) c | 0.714 | 8.19 (2.75,13.6) d | 0.807 | <0.001 |
| Calcium | 22.4 (16.8,28.0) a | 0.019 | 20.2 (14.6,25.9) a | 0.299 | 16.0 (10.6,21.4) ab | 0.714 | 10.3 (4.85,15.9) b | 0.807 | <0001 |
| Phosphorus | 32.8 (27.6,38.0) a | 0.024 | 28.5 (23.3,33.7) ab | 0.082 | 27.5 (22.4,32.7) ab | 0.714 | 25.3 (20.1,30.5) b | 0.807 | 0.037 |
| Gross energy | 90.3 (89.0,91.6) a | 0.224 | 84.3 (82.9,85.6) b | 0.299 | 80.1 (78.8,81.4) c | 0.750 | 67.6 (66.1,69.1) d | 0.807 | <0.001 |
| Faecal DM (%) | 34.5 (33.6,35.5) c | 0.475 | 37.8 (36.8,38.7) b | 0.615 | 37.2 (36.2,38.2) b | 0.750 | 39.2 (38.2,40.2) a | 0.975 | <0.001 |
| Faecal score 2 | 2.29 (2.23,2.35) a | 0.409 | 2.18 (2.12,2.24) c | 0.878 | 2.24 (2.18,2.30) b | 0.292 | 2.04 (1.98,2.10) d | 0.643 | <0.001 |
| Performance Parameters | Age | Diet | p-Values | |||||
|---|---|---|---|---|---|---|---|---|
| LF-LFb | LF-MFb | HF-LFb | HF-MFb | Age | Age × Diet 1 | Diet | ||
| DM intake (g/kgBW0.711) | Adult | 18.8 (17.3,20.3) a | 16.4 (14.9,18.0) | 18.6 (17.1,20.1) a | 17.6 (16.1,19.2) | 0.012 | <0.001 | 0.009 |
| Senior | 16.3 (14.8,17.8) b | 16.2 (14.6,17.7) | 13.3 (11.8,14.8) b | 16.3 (14.8,17.9) | ||||
| Digestibility (%) | - | - | - | - | - | - | - | - |
| Dry matter | Adult | 71.4 (69.4,73.5) | 70.7 (68.6,72.8) b | 75.8 (73.7,77.8) | 73.3 (71.3,75.3) | 0.201 | 0.001 | 0.032 |
| Senior | 72.6 (70.6,74.7) | 76.5 (74.3,78.6) a | 73.7 (71.6,75.7) | 76.1 (74.1,78.1) | - | - | - | |
| Crude protein | Adult | 78.4 (76.6,80.1) | 75.8 (74.0,77.7) b | 82.7 (80.9,84.5) a | 84.3 (82.5,86.1) | 0.995 | <0.001 | <0.001 |
| Senior | 79.0 (77.2,80.8) | 80.9 (79.0,82.8) a | 78.6 (76.8,80.4) b | 84.9 (83.1,86.7) | - | - | - | |
| Fat | Adult | 85.8 (84.0,87.7) | 83.6 (81.6,85.4) | 85.1 (83.3,87.0) a | 91.9 (90.1,93.7) | 0.233 | <0.001 | <0.001 |
| Senior | 85.0 (83.2,86.9) | 85.5 (83.6,87.6) | 77.9 (76.1,79.8) b | 90.1 (88.2,91.9) | - | - | - | |
| Starch | Adult | 99.6 (99.5,99.7) | 99.7 (99.6,99.7) | 99.6 (99.6,99.7) a | 99.6 (99.5,99.6) | 1.000 | <0.001 | 0.001 |
| Senior | 99.6 (99.5,99.7) | 99.7 (99.7,99.8) | 99.4 (99.3,99.5) b | 99.6 (99.5,99.7) | - | - | - | |
| Total dietary fibre | Adult | 10.8 (3.69,17.8) | 6.64 (−0.65,13.9) | 15.9 (8.83,22.9) | 16.0 (8.93,32.1) | 0.002 | 0.242 | 0.138 |
| Senior | 20.6 (13.5,27.6) | 26.9 (19.4,34.5) | 24.8 (17.7,31.9) | 27.7 (20.6,34.8) | - | - | - | |
| Calcium | Adult | 0.20 (−7.78,8.18) | −6.69 (−14.9,1.60) | −21.4 (−30.1,−12.8) | −19.3 (−28.4,−10.3) | 0.024 | 0.128 | <0.001 |
| Senior | 5.56 (−2.42,13.5) | 13.8 (5.13,22.4) | −18.5 (−27.2,−9.89) | −8.34 (−16.3,−0.35) | - | - | - | |
| Phosphorus | Adult | 4.87 (−2.09,11.8) | 25.9 (20.1,44.1) | 21.1 (14.1,28.1) | 10.8 (3.83,17.8) | 0.314 | 0.388 | <0.001 |
| Senior | 8.18 (1.21,15.1) | 36.6 (29.1,44.1) | 21.0 (14.1,28.0) | 18.9 (11.9,25.9) | - | - | - | |
| Faecal DM% | Adult | 36.5 (34.9,38.1) | 32.4 (30.8,34.1) | 24.1 (22.5,35.7) | 37.4 (35.7,39.0) a | 0.256 | 0.008 | <0.001 |
| Senior | 34.8 (33.2,36.5) | 31.8 (30.1,33.5) | 24.0 (22.4,25.6) | 33.0 (31.3,34.6) b | - | - | - | |
| Faecal score 2 | Adult | 2.41 (2.13,2.70) | 2.55 (2.25,2.84) | 2.87 (2.58,3.15) | 2.11 (1.82,2.40) | 0.995 | 0.084 | <0.001 |
| Senior | 2.67 (2.39,2.96) | 2.27 (1.97,2.58) | 2.63 (2.34,2.91) | 2.00 (1.71,2.28) | - | - | - | |
Publisher’s Note: MDPI stays neutral with regard to jurisdictional claims in published maps and institutional affiliations. |
© 2021 by the authors. Licensee MDPI, Basel, Switzerland. This article is an open access article distributed under the terms and conditions of the Creative Commons Attribution (CC BY) license (https://creativecommons.org/licenses/by/4.0/).
Share and Cite
Schauf, S.; Stockman, J.; Haydock, R.; Eyre, R.; Fortener, L.; Park, J.S.; Bakke, A.M.; Watson, P. Healthy Ageing Is Associated with Preserved or Enhanced Nutrient and Mineral Apparent Digestibility in Dogs and Cats Fed Commercially Relevant Extruded Diets. Animals 2021, 11, 2127. https://doi.org/10.3390/ani11072127
Schauf S, Stockman J, Haydock R, Eyre R, Fortener L, Park JS, Bakke AM, Watson P. Healthy Ageing Is Associated with Preserved or Enhanced Nutrient and Mineral Apparent Digestibility in Dogs and Cats Fed Commercially Relevant Extruded Diets. Animals. 2021; 11(7):2127. https://doi.org/10.3390/ani11072127
Chicago/Turabian StyleSchauf, Sofia, Jonathan Stockman, Richard Haydock, Ryan Eyre, Lisa Fortener, Jean Soon Park, Anne Marie Bakke, and Phillip Watson. 2021. "Healthy Ageing Is Associated with Preserved or Enhanced Nutrient and Mineral Apparent Digestibility in Dogs and Cats Fed Commercially Relevant Extruded Diets" Animals 11, no. 7: 2127. https://doi.org/10.3390/ani11072127
APA StyleSchauf, S., Stockman, J., Haydock, R., Eyre, R., Fortener, L., Park, J. S., Bakke, A. M., & Watson, P. (2021). Healthy Ageing Is Associated with Preserved or Enhanced Nutrient and Mineral Apparent Digestibility in Dogs and Cats Fed Commercially Relevant Extruded Diets. Animals, 11(7), 2127. https://doi.org/10.3390/ani11072127

