Next Article in Journal
Using High-Density SNP Array to Reveal Selection Signatures Related to Prolificacy in Chinese and Kazakhstan Sheep Breeds
Previous Article in Journal
Veterinarians’ Knowledge, Attitudes and Practices Associated with Bovine Viral Diarrhoea Virus Control and Prevention in South-East Australia
 
 
Font Type:
Arial Georgia Verdana
Font Size:
Aa Aa Aa
Line Spacing:
Column Width:
Background:
Article

In Vitro and In Vivo Studies of Rumen-Protected Microencapsulated Supplement Comprising Linseed Oil, Vitamin E, Rosemary Extract, and Hydrogenated Palm Oil on Rumen Fermentation, Physiological Profile, Milk Yield, and Milk Composition in Dairy Cows

1
Department of Animal Science and Technology, Konkuk University, Seoul 05029, Korea
2
Institute of Research, Eugene Bio Ltd., Woncheon-dong, Suwon 16675, Korea
3
Team of An Educational Program for Specialists in Global Animal Science, Brain Korea 21 Plus Project, Konkuk University, Seoul 05029, Korea
*
Author to whom correspondence should be addressed.
Animals 2020, 10(9), 1631; https://doi.org/10.3390/ani10091631
Submission received: 3 July 2020 / Revised: 4 September 2020 / Accepted: 7 September 2020 / Published: 11 September 2020
(This article belongs to the Section Animal Reproduction)

Simple Summary

In this study, in vitro and in vivo analyses on the supplementation of rumen-protected microencapsulated fatty acids from linseed oil (MO) on rumen fermentation, physiological profile, milk yield, and milk composition in Holstein dairy cows were performed. We revealed that the supplementation of 2% MO incorporated into the diet is beneficial due to promoting omega-3 fatty acids in ruminant milk without negative/regressive effects on ruminal fermentation or the animal productivity of dairy cows.

Abstract

The aim of the present study was to evaluate the effects of adding dietary rumen-protected microencapsulated supplements into the ruminal fluid on the milk fat compositions of dairy cows. These supplements comprised linseed oil, vitamin E, rosemary extract, and hydrogenated palm oil (MO; Microtinic® Omega, Vetagro S.p.A, Reggio Emilia, Italy). For in vitro ruminal fermentation, Holstein–Friesian dairy cows each equipped with a rumen cannula were used to collect ruminal fluid. Different amounts (0%, 1%, 2%, 3%, 4%, and 5%) of MO were added to the diets to collect ruminal fluids. For the in vivo study, 36 Holstein–Friesian dairy cows grouped by milk yield (32.1 ± 6.05 kg/d/head), days in milk (124 ± 84 d), and parity (2 ± 1.35) were randomly and evenly assigned to 0.7% linseed oil (LO; as dry matter (DM) basis) and 2% MO (as DM basis) groups. These two groups were fed only a basal diet (total mixed ration (TMR), silage, and concentrate for 4 weeks) (period 1). They were then fed with the basal diet supplemented with oil (0.7 LO and 2% MO of DM) for 4 weeks (period 2). In the in vitro experiment, the total gas production was found to be numerically decreased in the group supplemented with 3% MO at 48 h post in vitro fermentation. A reduction of total gas production (at 48 h) and increase in ammonia concentration (24 h) were also observed in the group supplemented with 4% to 5% MO (p < 0.05). There were no differences in the in vitro fermentation results, including pH, volatile fatty acids, or CH4 among groups supplemented with 0%, 1%, and 2% MO. The results of the in vitro study suggest that 2% MO is an optimal dosage of MO supplementation in cows’ diets. In the in vivo experiment, the MO supplement more significantly (p < 0.01) increased the yield of total w3 fatty acids than LO (9.24 vs. 17.77 mg/100 g milk). As a result, the ratio of total omega-6 to omega-3 fatty acids was decreased (p < 0.001) in the MO group compared to that in the LO group (6.99 vs. 3.48). However, the milk yield and other milk compositions, except for milk urea nitrogen, were similar between the two groups (p > 0.05). Collectively, these results suggest that the dietary supplementation of 2% MO is beneficial for increasing omega-3 fatty acids without any negative effects on the milk yield of dairy cows.

1. Introduction

The fat content in ruminant feed is generally about 2.5% to 3.5% of dry matter (DM). Most oilseeds fed to dairy cows are soy, corn, and cotton, followed by canola, rapeseed, flaxseed, safflower, and sunflower. Some plant and animal by-products are also used in feed as sources of fat and oil. In the dairy cow diet, fat supplements are primarily used as an energy source to meet the cows’ high energy and nutritional needs. However, increasing the fat content of feed has several negative effects on ruminal microbial growth, digestibility, and other characteristics of ruminants [1]. These negative effects of fat supplementation on ruminal characteristics are more severe when adding unsaturated fatty acids, such as omega-3 and omega-6 fatty acids, than when adding saturated fatty acids. To prevent these problems of adding fat and oil to the diet, a type of ruminal protective fat has emerged. This type of fat can partially pass through the rumen, reach the small intestine, and become absorbed. Several techniques, such as the use of calcium salts of fatty acids, have already been developed to commercialize ruminal protective fat [2].
It is most common to increase the content of omega-3 fatty acids in feeds by increasing the omega-3 fat in rumen, especially in cows’ milk. Linseed oil is often used as a source of fat for the promotion of α-linolenic acid, an omega-3 fatty acid. Unsaturated fatty acids, such as omega-3 fatty acids, can enter the rumen and undergo extensive biohydrogenation, thus affecting a wide range of microorganisms and resulting in the loss of omega-3 fatty acids. Linseed oil is mostly composed of unsaturated fatty acids. It is known to inhibit microbial metabolism due to its negative influence on digestibility. Although this oil is a major source of omega-3 fatty acid, it also has adverse effects, such as decreasing dairy cow dry matter intake (DMI) [3]. On the other hand, hydrogenated palm oil is mostly composed of saturated fatty acids. It is known that supplementing a diet with hydrogenated palm oil does not have adverse effects on DMI but does increase the energy content in feed, thus improving milk yield and milk fat content [4]. Therefore, we hypothesized that feeding cows rumen-protected microencapsulated essential fatty acids using linseed oil coated with hydrogenated palm oil could increase the omega-3 fatty acids in milk without adversely affecting the ruminal fermentation, DMI, or milk characteristics of dairy cows. To test our hypothesis, rumen bypass microencapsulated fatty acids (MO; Microtinic® Omega, Vetagro S.p.A, Reggio Emilia, Italy) from linseed oil were introduced to an in vitro rumen model and an in vivo trial. Thus, the objective of this study was to determine the optimal dosage of MO by using an in vitro rumen fermentation assay. Based on the findings of the in vitro study, we confirmed the effects of adding MO to the diets of lactating dairy cows on their ruminal fermentation, physiological traits, milk yield, and milk composition.

2. Materials and Methods

All experimental procedures involving animals were performed according to the Animal Experimental Guidelines provided by the Animal Care and Use Committee of Konkuk University, Republic of Korea (approval number: KU18182).

2.1. Experimental Materials and Procedures for the In Vitro Experiment

A Holstein dairy cow weighing 735 kg at 30 months of age equipped with a rumen cannula was used to conduct the sampling of ruminal fluid. The animal was fed alfalfa and concentrate (a ratio of 6:4) twice a day at 0900 and 1600 h. Water was supplied ad libitum. Ruminal fluid was collected by filtering with two layers of cheese cloth through the rumen cannula two hours before feeding. The collected ruminal fluid was kept in a 2-L thermos bottle filled with preheated CO2 gas, while oxygen (O2) was completely removed. This fluid was maintained at 39 °C and then moved to the research lab. After removing the feed particles with a vacuum pump, the supernatant was used for analysis.
The preparation of MO was obtained from Vetagro S.p.A. The material was prepared via a patented spray-cooling microencapsulation process. Briefly, after heating the hydrogenated palm oil, linseed oil was mixed with hydrogenated palm oil and an active principle. A mixture of materials was moved to a chilling chamber and then cut to a size of 1000 to 1500 microns. Finally, the MO was sealed and stored at 4 °C. The ingredients of MO were linseed oil (35%), vitamin E (0.5%), rosemary extract (0.3%), and hydrogenated palm oil (64.2%). The main components of MO were crude fat (95%) and ash (5%).
There were two separate in vitro fermentations. For the analysis of ruminal pH, gas, volatile fatty acids (VFA), and ammonia-N, the total mixed ration (TMR) was dried in a drying oven (JS-CO2-AT100, Johnsam Co. Ltd., Bucheon, Korea) at 60 °C for 24 h. Forage and concentrate were crushed with a 2-mm screen and used for the TMR at a ratio of 6:4. The TMR (0.2 g) and 20 mL of anaerobic McDougall buffer [5] were added to a 60 mL flask with 10 mL of ruminal fluid. Before adding 30 mL of culture solution to the culture flask, 0% to 5% MO (% Microtinic Omega of DM, arranged from Vetagro S.p.A, Italy) was added to the diet. Each ruminal sample was kept under maximum anaerobic conditions by flushing the CO2 gas and capping with a rubber cap to prevent the leakage of gas as much as possible. The experiment was conducted in three replicates of six treatments for different time intervals (0, 12, 24, 48 h) in a shaking incubator (SI-900R, Jeio Tech Co. Ltd., Daejeon, Korea; 100 rpm) at 39 °C. For each time point, we took samples from separate flasks. Because we used the same four flasks (same culture) for sampling at the time points of 0, 12, 24, and 48 h, the time of sampling should not have had any effects on the samples or related measures. All flasks had the same sizes and conditions. Hence, time was not needed in the model. Measurement of the total gas was conducted after uncapping the medium with the aluminum cap using a 50-mL gas cylinder (Habdong Co., Anyang, Korea) at each fermentation time [6]. To analyze digestibility and long chain fatty acids (LCFAs), the same TMR was grinded, and 1.5 g was placed into ANKOM filter bags (ANKOM Tech., Macedon, NY, USA). Along with 450 mL culture solution (same ratio with above), three independent bags were placed in one bottle per treatment for each fermentation time with 0.7 linseed oil or 2% MO (as DM basis). The sampling time was the same as that of the first fermentation, and after each sample extraction, we washed the sample using water and always put the samples into a desiccator for protection from contamination and air.

2.2. Analysis

After each incubation, the total gas and methane were detected. A portion of the ruminal sample was then used for the analysis of pH, VFA, ammonia-N, digestibility, and LCFAs. Before measuring the total gas, 0.3 μL of the gas in each flask was carried by the GC cylinder to a GC injector (injection volume: 0.3 μL). Methane (%) was then detected using a GC/TCD (HP 6890, Hewlett Packard Co., Palo Alto, CA, USA) equipped with a HP-PLOT-A column (dimension: 30 m × 0.32 mm × 20.00 μm) according to Owen et al. [6]. A culture solution of 2 mL was collected for the ammonia (1 mL) and VFA (1 mL) analyses. All samples collected were kept frozen at −20 °C until they were analyzed. The ammonia concentration was determined via the method of Fawcett and Scott [7] using a spectrophotometer (Model 680, BIO-RAD, Hercules, CA, USA). The culture solution of 1 mL was mixed with 0.1 mL 25% phosphoric acid. Then, 0.2 mL pivalic acid solution (2%, w/v) was added as an internal standard. The mixed solution was centrifuged at 15,000× g for 15 min. The supernatant was used to determine the concentration and composition of the VFA using a gas chromatograph mass spectrometer (HP 6890, Agilent Technologies, Santa Clara, CA, USA).
The analysis of fiber digestibility as a neutral detergent fiber (NDF) and acid detergent fiber (ADF) was conducted using an ANKOM filter bag (ANKOM Tech.), and the NDF and ADF contents were estimated based on the following equations [8]:
NDF, ADF (%) = [dried residue − (filter bag weight × C)] / sample weight × 100
where ADF is the dried sample weight after NDF processing and C means correction (dry blank weight/original blank bag weigh):
NDF, ADF (g) = sample weight (g) × DM (%) × NDF or ADF (%) / 10,000
NDF, ADF digestibility (%) = NDF or ADF (g) of zero time / NDF or ADF (g) of each time
Briefly, each filter bag including 0.45 g feed was immersed in acetone for 10 min, dried for 10 min, and then put into an ANKOM fiber analyzer (ANKOM 200, ANKOM Tech.). After adding the NDF or ADF solution, 4 mL of α-amylase (not included in the ADF analysis), and 20 g of anhydrous sodium sulfate, the mixture was heated at 100 °C for 75 min. After heating, the sample was washed with 2 L of distilled water at 70 °C for 12 min. Each sample was then immersed in acetone for 10 min, dried at room temperature for 10 min, and further dried in a drying oven for 48 h at 60 °C before weighing. Crude protein (CP) was calculated by multiplying the CP percentage (% N) by 62.5, which was derived from an elemental analyzer (EA 1110, CE instruments Ltd., Hindley Green, Wigan WN2 4HF, UK).
CP digestibility (%) = 100 − [CP (g) of each time / CP (g) of zero time] × 100.
Briefly, 3 mg of feed and 0.1 mg of sulfanilamide were added to each tin solid capsule (PN 240 06400, Thermo Scientific Inc., Waltham, MA, USA) using sulfanilamide as a standard substance at an ultrafine scale. Ether extracts (EE; crude fat) were analyzed after ether extraction using an extraction system (SOXTHERM, C. Gerhardt GmbH & Co. KG, Königswinter, Germany). This analysis was calculated based on the weight difference of the sample before and after ether extraction.
EE digestibility (%) = 100 − [EE (g) of each time / EE (g) of zero time] × 100
The chemical analyses for the resulting samples were conducted in accordance with the standard methods for the association of official analytical chemists (AOAC) [9].
For LCFA analysis, 20 mL of the solution was also collected at each incubation time and freeze dried. Lipids were then extracted using Folch’s solution and analyzed using a gas chromatograph/flame ionization detector (FID) (HP 7890 series GC System, Agilent technologies Inc., Santa Clara, CA, USA) equipped with an Sp-2560 capillary column (dimension: 100 m × 0.25 mm × 0.2 μm film thickness). Cis-9, trans-11 conjugated linoleic acid (CLA), and trans-10, cis-12 CLA (Sigma–Aldrich Co, St. Louis, MO, USA) were used as an internal standard.

2.3. Animals and Design for In Vivo Experiment

First, the absorption of MO in blood was verified. The measurement of α-linolenic acid (ALA) flow in the blood was conducted using a catheter. To measure the ALA (omega-3 fatty acid) absorbed into the blood after feeding with 2% MO, a Surflo IV Catheter (Terumo Corporation, Shibuya-ku, Japan) was installed into the jugular veins of four cows. Blood sampling was then carried out every 2 or 4 h (n = 4) using a serum separator tube (Vacutainer, Becton Dickinson, Franklin Lakes, NJ, USA). Blood samples were then immediately separated into serum and stored at −20 °C until fatty acid analysis.
After verification of absorption, a total of 36 Holstein dairy cows (milk yield: 32.1 ± 6.05 kg/d/head, DIM: 124 ± 84 d, and parity: 2 ± 1.35 calving number) were randomly and evenly assigned to the LO (0.7% linseed oil as DM basis) and MO (2% MO as DM basis) groups and studied for 8 weeks. Each pen (6 cows/pen) in the feedlot was equipped with automatic water troughs. Using a completely randomized design, these two groups were fed only with the basal diet for 4 weeks (period 1). They were then fed the basal diet supplemented with oil (0.7% and 2% of DM) for 4 weeks (period 2). The dairy cows were fed the TMR (78%) (Seowon Feed Co., Ltd., Pyeongtaek-si, Korea), silage (6%), and concentrate (16%). The experimental diets were formulated to meet or exceed National Research Council (NRC) recommendations [10]. Water was provided ad libitum. Diets were offered in equal amounts once daily (0830 h). Feed consumption was recorded daily by weighing the feeds offered to and refused by the cows. The DMI was then determined based on the kg of feed consumption and the moisture of feed per cow in each group. The ingredients and chemical compositions of the experimental diet are presented in Table 1. We received the MO and linseed oil present in the MO from Vetagro S.p.A. The diet was provided once daily at 0800 on a DM basis. After 0.7% LO (linseed oil; Vetagro S.p.A, Italy) or 2% MO (Vetagro S.p.A) was mixed with the vehicle (corn gluten powder), the vehicle was added to the TMR by top dressing at period 2. The experiment was designed to determine the differences between periods (period 1 and period 2) and between groups (LO group and MO group).

2.4. Analysis of Milk Composition and Milk Fatty Acids

During all periods, milk was collected twice a day (0300 and 1500) individually. The total milk yield was then calculated, and its mean for each period was determined. After mixing the collected milk (100 mL) in the morning and afternoon, the milk samples were stored at 4 °C for milk composition analysis while leaving 30 mL milk (subsamples) for the analysis of milk fatty acids. Subsamples were stored at −20 °C for fatty acid analysis. The milk composition and milk fatty acids were analyzed on the first day at 0, 4, and 8 weeks.
Milk composition was measured with a MilkoScan (CombiFoss FT+500 S/H, Hillerød, Denmark). Milk lipids were extracted and detected using the same methods described in the in vitro experiment. The analysis conditions were Sp-2560 capillary column (dimension: 100 m × 0.25 mm × 0.2 μm, film thickness); injection, split 30:1; heater, 255 °C; pressure, 32.64; total flow, 39.5 mL/min; split flow, 36.0 mL/min; injection volume, 1.0 μL; carrier gas, helium 1.2 mL/min; oven program, 70 to 100 °C at 5 min (hold: 2 min), 100 to 175 °C at 10 min (hold 40 min), 175 to 225 °C at 5 min (hold 40 min); detector, FID System; and heater, 260 °C (H2 flow: 40 mL/min, air flow: 400 mL/min). The CLAs, omega-3 (C18:3n3, C20:3n3, C20:5n3, and C22:6n3) and omega-6 (C18:2n6t, C18:2n6c, C18:3n6, C20:3n6, and C20:4n6) fatty acids (Sigma–Aldrich Co) were used as an internal standard.

2.5. Analysis of the Complete Blood Cell Count (CBC) and Metabolite Profile Test in the Blood

Blood sampling for blood cell counting [11] and metabolite analysis [12,13] was conducted for each cow via the jugular vein at 3 h before feeding on the first day at 0, 4, and 8 weeks. In brief, blood was collected into an EDTA tube (BD 367844 Vacutainer, Becton Dickinson, NJ, USA) and then subjected to a CBC test using an HM2 (VetScan HM2 Hematology System, Abaxis, Union City, CA, USA). The plasma portion of the blood was prepared using a heparin tube (BD 367874 Vacutainer, Becton Dickinson, NJ, USA) and centrifuged at 3000 rpm for 15 min. The sample was then used to determine the blood metabolites using a chemical analyzer (Furuno CA-270, Nishinomiya, Japan).

2.6. Statistical Analysis

The results obtained from in vitro and in vivo experiments were subjected to a least squares analysis of variance according to the ANOVA procedure and the mixed procedure of IBM SPSS Statistics 21, respectively. In the in vitro experiment, linear and quadratic contrasts were used to determine the effect of increasing the amount of LO on the response variables. To rank the treatment means within a significant F test, a Duncan multiple range test was used. In the in vivo experiment, the initial data (not shown) of the milk composition and fatty acids were used as the covariates of the experimental data. In the results of the milk and blood components, the values of “Before” and “After” (meaning periods before feeding supplemental oil (the average of 0 and 4 w data) and after (the average of 4 and 8 w data)) were compared between the LO and MO simultaneously. Statistically significant differences were considered at p < 0.05. Differences among means with 0.05 < p < 0.10 were considered to show a significant difference. For a completely randomized design, the statistical model was:
Υij = μ + Τi + ε
where μ is the overall average, Τi is the average for treatment i, and ε is a random error.

3. Results

3.1. In Vitro Fermentation

We investigated the changes in pH, total gas, and methane in ruminal fluid co-cultured with various concentrations of MO using an in vitro rumen model (Table 2).
Ruminal pH was not significantly affected (0.05 < p < 0.1) by the supplementation of 1% to 5% of MO in the ruminal fluid. It was observed that methane (%) proportions in the treatments of 3% to 5% MO addition were higher (p < 0.05) than those in the control at 12 h. Groups supplemented with 4 to 5% MO caused higher methane (%) production than the control at 24 h. The yield of methane (mL) was not significantly different between the control and treatment groups. However, the total gas production at 48 h showed a numerical decrease in the group supplemented with 3% MO. In groups supplemented with 4 to 5% MO, methane (mL) production was significantly decreased (p < 0.05). During rumen fermentation, although an increase in the concentration of ruminal ammonia-N via the supplementation of MO was observed initially, this phenomenon changed after 24 h of incubation. Notably, ammonia-N was numerically increased initially in the groups supplemented with 0% to 3% MO and then decreased rapidly in groups supplemented with 4% to 5% MO at 24 h. Collectively, these results suggest that 2% MO is an optimal dosage to be added to animal diets because it can increase the absorption of fats added to the small intestine.
In the ruminal fluid, the total VFA production in the supplementation group was not significantly different from that of the control group (Table 3). However, the ratio of acetate to propionate decreased in the groups supplemented with MO at 48 h after incubation (p < 0.05).
Based on the rumen, we confirmed that there was no significant (p > 0.1) difference in feed digestibility between treatment 1 (0.7% LO) or treatment 2 (2% MO) and the control (Table 4).
Regarding the variation in ruminal LCFA after each culture during rumen fermentation, higher amounts of ALA were observed in treatment group 1 (0.7% LO) and treatment group 2 (2% MO) than in the control (Table 5).
There were no statistically significant differences in the amount of ALA between treatment groups at 0 h of incubation time. After incubation, a higher amount (about 2-fold or more) of ALA in the ruminal fluid was observed in treatment group 2 than that in treatment group 1. In addition, stearic acid was present in a much higher (p < 0.05) amount in the control and LO groups than in the MO group at 12 and 24 h after incubation. The yield of CLA was significantly (p < 0.05) higher in the MO group than in the control or LO groups.

3.2. In Vivo Trial

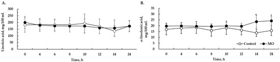
The results of the average absorption rates of major fatty acids (linoleic acid, α-linolenic acid) revealed that the ALA content in blood was significantly (p < 0.05) increased after feeding with 2% MO (as DM basis) compared to that in the control from about 14 h (Figure 1).
There was no significant difference in the absorption rate of linoleic acid between the control and MO groups.
The effects of LO or MO supplementation to the basal diet on the DMI, milk compositions, physiological traits, and milk fatty acid compositions in daily cows were also evaluated. The results of the feed intake and milk composition showed that the DMI decreased (p < 0.001) via LO (Table 6).
With a decrease in DMI, an increase in milk protein (%) was observed (p = 0.034) in the LO group compared to the MO group after supplementation. However, the yield of milk protein (kg) was not significantly different between the LO and MO groups. The milk urea nitrogen (MUN) content was found to be decreased (p < 0.001) in the two groups after supplementation. The MUN value of the MO group was much lower than that of the LO group.
Blood samples collected at the beginning of the test (0 weeks), at the mid-test (4 weeks), and at the end of the study (8 weeks) were analyzed for their hematological and metabolic parameters. The results are shown in Table 7.
Although granulocyte, red blood cell (RBC) and hematocrit counts were significantly decreased (p = 0.004 and p = 0.002, respectively) after supplementation compared to those before supplementation, they were still within normal ranges. Conversely, the mean corpuscular hemoglobin (MCH) and mean corpuscular hemoglobin concentrations (MCHC) were outside of their normal ranges (p < 0.001). The blood metabolite analysis showed that blood urine nitrogen (BUN) was significantly (p = 0.002) decreased, while total cholesterol (TCHO) was increased (p = 0.052) in both the MO and LO groups compared to the control group. The non-esterified fatty acids (NEFAs) in blood were increased (p < 0.001) in the MO group compared to those in the LO group.
Regarding the compositions of milk fatty acids, omega-3 fatty acids (C18: 3n3, ALA) showed increases in both groups with MO supplementation (Table 8).
However, a much greater increase was observed (p < 0.001) in the MO group compared to that in the LO group (5.83 vs. 13.98 mg/100 g milk). Linoleic acid (C18: 2n6, LA), the most abundant omega-6 fatty acid, did not show a decrease in the LO group, although it was decreased (p = 0.005) in the MO group. CLA, another functional fatty acid, did not show statistically a significant difference in its amount between the MO and LO groups. However, a numerical increase was observed in the MO group compared to the LO group (10.00 vs. 11.72 mg/100 g milk). Therefore, the ratio of total omega-6 to omega-3 fatty acids showed a decrease (p < 0.001) in both groups. This ratio showed a greater decrease (p < 0.001) in the MO group compared to the LO group (6.99 vs. 3.48).

4. Discussion

The portion of linseed oil in MO (linseed oil coated with hydrogenated palm oil) used in this study was 35%. Its main fatty acids were palmitic acid and α-linolenic acid. It has been reported that the protection level of linseed oil from rumen microbes is 99% for 8 h. Thus, it is expected to have a higher coating effect than other rumen bypass omega-3 materials.

4.1. In Vitro Experiment

The effects of fat supplementation in the diet on ruminal pH vary widely. The type of fat source and fat composition can also affect ruminal pH in different ways. Ivan et al. [14] reported that feeding vegetable oils to ruminants can cause some changes in the ruminal pH because a large amount of unsaturated fatty acids is produced in the rumen, resulting in changes to ruminal fermentation patterns. In the present study, there was no significant difference in pH among all treatment groups, although a decrease in pH was observed alongside an increase in the amount of added MO (Table 2). Moreover, from 12 h, the numerical difference in ruminal pH between the highest and the lowest pH (5.80 vs. 5.75) was only 0.05 in the MO treatment groups, indicating that MO might not have a negative effect on microbial fermentation.
Typically, in vitro ruminal experiments have shown a negative correlation between total gas production and methane production in the case of fat supplements [15,16]. Fat can cause lipolysis and can simultaneously decrease methane production and increase total gas production by affecting ruminal microbes. In the present study, there was no significant difference in methane yields among treatment groups (Table 2). However, the total gas production was drastically decreased in the MO treatment group (decreased by 3% or more with MO addition at 48 h incubation time). Although MO is a rumen-protected fat, the decrease in total gas production after treatment with a supplement containing MO was similar to the results of Getachew et al. [15], which showed a reduction in gas production after treatment with corn oil. Considering that oil supplements can inhibit ruminal microbial metabolism, an overdose of bypass fat supplements may deteriorate microbial fermentation and result in decreased total gas production. However, a supplement of up to 2% MO did not decrease total gas production, suggesting that linseed oil was perfectly encapsulated by hydrogenated palm oil.
There was no significant difference in the amount of VFA between the control and MO treatments until 24 h of culture (Table 3). However, the ratio of acetate to propionate (A:P ratio) was found to be further reduced in the MO treatment group compared to that in the control group at 48 h after incubation. Generally, when the energy content or fat content of feed increases, the amount of propionate also increases, while the amounts of acetate and butyrate are simultaneously decreased due to the changing ruminal environment affected by the increased fermentation of organic matter [15]. The A:P ratio may have decreased because higher fat content stimulated greater ruminal fermentation of organic matter. Moreover, the fat eluted from MO might have affected this ratio since the bypass rate of MO was 99% until 8 h.
Alterations in the ammonia-N concentration were observed after the addition of MO at all incubation times (Table 2). Notably, at an addition level of more than 3%, the results showed a numerical increase in the ammonia-N concentration at 24 h. According to Machmüller et al. [16], the ruminal defaunation effect caused by fat sources can promote the growth of the bacteria involved in microbial protein synthesis and reduce the ammonia-N content in the rumen. Borchers [17] also reported that the addition of essential oil to in vitro ruminal fluid can result in the accumulation of amino acid N and a reduction in the ammonia N concentration, suggesting that oil supplementation can inhibit deamination. On the other hand, the results of ammonia-N in this study using MO were different from those of previous studies. Firkins [18] reported that microbial protein synthesis is the most active in neutral pH for fiber digestion. Considering all these results, the tendency of ruminal pH to decrease after MO addition in the present study (which is different from previous studies, although the fat source added was the same between the present study and previous studies) might have negatively affected the synthesis of microbial proteins in the rumen, resulting in an increase of ammonia-N in the rumen. However, ammonia-N was not affected by MO at a dosage up to 2%. This might be due to the coating effect of hydrogenated palm oil.
Therefore, it can be concluded that the addition of 2% MO can most strongly increase the absorption of fat in the intestine. We then determined the feed digestibility and LCFAs with the supplementation of 2% MO and 0.7% linseed oil (LO) that had the same level of ALA to determine whether the differences were derived from the coating. The analysis of feed digestibility and LCFAs, including the ALA content in ruminal fluid, confirmed that digestibility was not affected by either supplementation (Table 4). The ALA content in the MO supplementation group was significantly higher than that in the LO treatment group during the ruminal fermentation period (Table 5). Lower stearic acid levels were observed in the MO group than in the LO or control groups during incubation, suggesting greater protection of LA and ALA in MO. Moreover, the control and LO groups showed a more rapid appearance and disappearance of CLA (an intermediate product between LA and stearic acid) than the MO group, supporting the successful encapsulation of linseed oil in MO.

4.2. In Vivo Experiment

The absorption rate of omega fatty acids (ALA and LA) was determined to confirm their transfer from the feed to the blood. As mentioned earlier, 2% MO (as DM basis) was selected because MO mostly affected the absorption of fatty acids contents while remaining safe for ruminal characteristics. This was verified by the increase in ALA from 14 h after feeding with a diet supplemented with 2% MO. As expected, the DMI was significantly lower in the LO-supplemented group than that in the MO group (Table 6). Generally, the addition of unsaturated fatty acids has a toxic effect by inhibiting microbial metabolism in the rumen, decreasing NDF digestibility, and yielding a lower DMI in feeds containing fat [1]. Several studies have shown that linseed oil can reduce the palatability of feeds due to its adverse effect on digestibility, further reducing DMI [3]. In the present study, the DMI differences between the LO group and the MO group were most likely due to differences in the types of fatty acids introduced into the rumen. Including MO in the diet has a rumen bypassing effect for unsaturated fatty acids by exposing hydrogenated palm oil (the saturated fatty acid part before the internal oil is released) to ruminal microbes. On the other hand, LO is mostly a liquid oil made of unsaturated fatty acids. The liquid part (unsaturated fatty acid) of LO might have an adverse effect on the microbial environment in the rumen, which may negatively affect ruminal digestibility as described above, thereby decreasing DMI. The milk urea nitrogen content was found to be decreased in both oil groups in the present study. The nitrogen in milk is the result of the remaining nitrogen being absorbed into the blood and then transferred to the mammary gland after metabolism of the protein or nitrogen compounds in feed used for the synthesis of microbial proteins in the rumen [19]. Beauchemin et al. [20] reported that the addition of fat in ruminants could not only be used as an energy source for their protein synthesis in rumen microbes but can also affect ammonia-N in the rumen or the nitrogen content in the milk. In addition, the nitrogen content in milk is known to be greatly influenced by the lactating period of dairy cows. The MUN peak due to an energy balance imbalance in early lactating dairy cow declines with the passage of time [21]. In the present study, we assumed that the effect of the milking period was more influential than the effect of fat addition on MUN reduction (Table 6). Particularly, the MUN of the MO group was lower than that of the LO group. This might be because the exposure of unsaturated fatty acids in the rumen resulted in the inhibition of ruminal microbial activity in the LO group.
The complete blood cell count (CBC) is a physiological index of animals [22]. It was used to determine the safety of the experimental additives used in this study for animals. As mentioned before, the granulocyte, red blood cell, and hematocrit counts were significantly decreased (p < 0.01) in both the MO and LO groups (Table 7). However, their values after decreasing were still within normal ranges. Unexpectedly, the blood levels of MCH and MCHC were increased in both the MO and LO groups. Few studies have reported the correlation between hemoglobin parameters and fat supplementation. Red blood cells were in a normal range after fat supplement, and anemia was not observed in any experimental period. Therefore, these increases of MCH and MCHC were considered to have no significant effects on animal physiology. Similar to the results of the present study, several authors have reported that lipids in feed can affect the BUN and lipid levels in blood [23,24,25]. For the results of blood metabolites, BUN decreased for reasons similar to those of the decreased MUN shown in Table 6. Likewise, BUN decreased because of changes in nitrogen—not only due to fat utilization as an energy source to synthesize microbial proteins but also due to the flow in the lactating period. As expected, in both the MO and LO groups, TCHO was increased due to the addition of fat in the feed, especially in the MO group (51.2 mg/dL vs. 25.7 mg/dL, p = 0.052), mainly because the amount of fat added to the feed was higher in the MO group than that in the LO group (4.80 vs. 3.59 ether extract, %). Conversely, the NEFA content in the blood was decreased in the LO group, which might have been due to decreased DMI in the LO group. Collectively, it can be considered that feeding MO protected by saturated fatty acids can induce a stable intake of fat content in ruminants, thus having a greater influence on the lipids absorbed by the small intestine than feeding linseed oil.
The stearic acid in milk is an 18-chain saturated fatty acid without a double bond. It is derived from transference to the mammary glands after the biohydrogenation of 18-chain fatty acids with double bonds (e.g., LA or ALA) via microbes in the rumen or the induction of stearic acid in feed. As expected, the supplementation of stearic acid in LO and MO increased the stearic acid levels in milk (Table 8). Particularly, it yielded a greater increase in the MO group than in the LO group. This occurred because the amount of stearic acid in the MO diet was higher than that in the LO diet (Table 1). Furthermore, in the LO group, the addition of linseed oil decreased the DMI. Thus, the decrease of stearic acid content in milk was thought to be due to the lower intake of stearic acid. The total SFA was lower, while the total MUFA was higher in the MO group than in the LO group. Due to the ruminal protection effect of hydrogenated palm oil, the unsaturated fatty acids in linseed oil are rarely released or digested and almost entirely absorbed by the small intestine, resulting in a lower value of SFA/UFA in the MO group than in the LO group [26]. There was no statistically significant difference in CLA content in milk, although the CLA content numerically decreased in the LO group but increased in the MO group compared to the control. According to Doreau and Ferlay [27], the addition of linseed oil in the diets of ruminants can generally induce the isomerization of ALA and LA in the rumen via ruminal microbes, leading to CLA production. In the present study, feeding with a rumen-protected microencapsulated supplement (via linseed oil coated with hydrogenated palm oil) was able to prevent drastic modifications to the linseed oil. However, if the released linseed oil is present in the rumen for a longer time, it might increase the CLA content in milk. Conversely, the decrease of CLA in the LO group seemed to be due to reduced DMI (Table 6). Before performing the in vivo experiments, it was assumed that the levels of omega-6 fatty acids in the milk would be decreased, while the levels of omega-3 fatty acids would be increased in the milk due to the addition of omega-3 fatty acids. However, unexpectedly, C18:2n6c (linoleic acid) and C18:3n6 (γ-linolenic acid) showed no changes in the LO group, whereas the levels of C18:2n6t (linolelaidic acid) and C20:4n6 (arachidonic acid) were increased in the MO group compared to those in the LO group and those before treatment. According to Cattani et al. [28], the addition of omega-3 fatty acids in ruminants generally lowers omega-6 fatty acids in their products and promotes omega-3 fatty acids, thus affecting the omega-6:omega-3 ratios. The results of the present study suggest that omega-6 fatty acids showed no reduction in the LO group because of decreased DMI (Table 6 and Table 7). However, the increase of omega-6 fatty acids in the MO group might have been due to the transformation of linoleic acid in linseed oil to arachidonic acid in the mammary glands [29]. The reason for the increase of linolelaidic acid in the MO group is currently unclear. Among the omega-3 fatty acids, C18:3n3 (ALA) was increased in both the MO and LO groups compared to that in the control, although it showed a greater increase in the MO group than in the LO group (increased value of ALA, 2-fold higher: 13.98 vs. 5.15 mg/100 g milk), possibly due to a reduced DMI in the LO group. However, this result suggests that ALA can bypass the rumen more safely due to the ruminal protection effect of MO, which is superior to the protection effect of general linseed oil [2,30]. As a result, the MO supplement induced a greater yield of total omega-3 fatty acid than LO (8.87 vs. 17.77 mg/100 g milk), including a greater decrease in the ratio of omega-6 to omega-3 fatty acids in the MO group (7.32 vs. 3.48). Collectively, these results suggest that the dietary supplementation of 2% MO is beneficial for fatty acid (omega-3) elevation without any negative effects on milk yield in dairy cows.

5. Conclusions

Here, we found that rumen-bypass microencapsulated fatty acids from linseed oil clearly and safely improved the pass rate of omega-3 fatty acids from the rumen to the small intestine. Moreover, their protection effect at a dosage of up to 2% had no negative or regressive influence on ruminal fermentation or animal productivity among the dairy cows. Indeed, it is arguable that the use of only one cow in the in vitro experiment produced a difference between the in vitro and in vivo diet results. However, this difference is not considered to have affected our results. Collectively, our results suggest a direction for increasing the levels of omega-3 fatty acids in ruminant milk.

Author Contributions

Conceptualization, T.-B.K. and H.-G.L.; data curation, T.-B.K.; funding acquisition, S.-Y.C. and H.-G.L.; project administration, T.-B.K. and J.-S.L.; supervision, H.-G.L; validation, S.-Y.C. and H.-G.L; writing—original draft, T.-B.K.; writing—review and editing, J.-S.L., S.-Y.C., and H.-G.L. All authors have read and agreed to the published version of the manuscript.

Funding

This research received no external funding.

Conflicts of Interest

The authors declare no conflict of interest. Seung-Yeol Cho did not contribute to the conceptualization, methodology, formal analysis, investigation, data curation, or project administration of this research.

References

  1. Jenkins, T.C. Lipid metabolism in the rumen. J. Dairy Sci. 1993, 76, 3851–3863. [Google Scholar] [CrossRef]
  2. Castaneda-Gutierrez, E.; de Veth, M.J.; Lock, A.L.; Dwyer, D.A.; Murphy, K.D.; Bauman, D.E. Effect of supplementation with calcium salts of fish oil on n-3 fatty acids in milk fat. J. Dairy Sci. 2007, 90, 4149–4156. [Google Scholar] [CrossRef] [PubMed]
  3. Resende, T.L.; Kraft, J.; Soder, K.J.; Pereira, A.B.; Woitschach, D.E.; Reis, R.B.; Brito, A.F. Incremental amounts of ground flaxseed decrease milk yield but increase n-3 fatty acids and conjugated linoleic acids in dairy cows fed high-forage diets. J. Dairy Sci. 2015, 98, 4785–4799. [Google Scholar] [CrossRef] [PubMed]
  4. Weiss, W.; Wyatt, D. Digestible energy values of diets with different fat supplements when fed to lactating dairy cows. J. Dairy Sci. 2004, 87, 1446–1454. [Google Scholar] [CrossRef]
  5. McDougall, E.I. Studies on ruminant saliva. I. The composition and output of sheep’s saliva. Biochem. J. 1948, 43, 99–109. [Google Scholar] [CrossRef] [PubMed]
  6. Owen, W.; Stuckey, D.; Healy, J., Jr.; Young, L.; McCarty, P. Bioassay for monitoring biochemical methane potential and anaerobic toxicity. Water Res. 1979, 13, 485–492. [Google Scholar] [CrossRef]
  7. Fawcett, J.K.; Scott, J.E. A rapid and precise method for the determination of urea. J. Clin. Pathol. 1960, 13, 156–159. [Google Scholar] [CrossRef]
  8. Vogel, K.P.; Pedersen, J.F.; Masterson, S.D.; Toy, J.J. Evaluation of a filter bag system for NDF, ADF, and IVDMD forage analysis. Crop. Sci. 1999, 39, 276–279. [Google Scholar] [CrossRef]
  9. AOAC (Association of Official Analytical Chemist). Official Methods of Analyses, 15th ed.; AOAC: Washington, DC, USA, 1997. [Google Scholar]
  10. NRC (National Research Council). Nutrient Requirements of Dairy Cattle, 7th ed.; National Academies Press: Washington, DC, USA, 2001. [Google Scholar]
  11. Lee, J.S.; Kacem, N.; Kim, W.S.; Peng, D.Q.; Kim, Y.J.; Joung, Y.G.; Lee, C.; Lee, H.G. Effect of Saccharomyces boulardii supplementation on performance and physiological traits of Holstein calves under heat stress conditions. Animals 2019, 9, 510. [Google Scholar] [CrossRef]
  12. Lee, J.S.; Priatno, W.; Nejad, J.G.; Peng, D.Q.; Park, J.S.; Moon, J.O.; Lee, H.G. Effect of dietary rumen-protected L-tryptophan supplementation on growth performance, blood hematological and biochemical profiles, and gene expression in Korean native steers under cold environment. Animals 2019, 9, 1036. [Google Scholar] [CrossRef]
  13. Lee, J.S.; Kang, S.; Kim, M.J.; Han, S.G.; Lee, H.G. Dietary supplementation with combined extracts from garlic (Allium sativum), brown seaweed (Undaria pinnatifida), and pinecone (Pinus koraiensis) improves milk production in Holstein cows under heat stress conditions. Asian-Australas J. Anim. Sci. 2020, 33, 111–119. [Google Scholar] [CrossRef] [PubMed]
  14. Ivan, M.; Mir, P.; Koenig, K.; Rode, L.; Neill, L.; Entz, T.; Mir, Z. Effects of dietary sunflower seed oil on rumen protozoa population and tissue concentration of conjugated linoleic acid in sheep. Small Rumin. Res. 2001, 41, 215–227. [Google Scholar] [CrossRef]
  15. Getachew, G.; DePeters, E.; Robinson, P.; Taylor, S. In vitro rumen fermentation and gas production: Influence of yellow grease, tallow, corn oil and their potassium soaps. Anim. Feed Sci. Technol. 2001, 93, 1–15. [Google Scholar] [CrossRef]
  16. Machmüller, A.; Ossowski, D.; Wanner, M.; Kreuzer, M. Potential of various fatty feeds to reduce methane release from rumen fermentation in vitro (Rusitec). Anim. Feed Sci. Technol. 1998, 71, 117–130. [Google Scholar] [CrossRef]
  17. Borchers, R. Proteolytic activity of rumen fluid in vitro. J. Anim. Sci. 1965, 24, 1033–1038. [Google Scholar] [CrossRef]
  18. Firkins, J.L. Maximizing microbial protein synthesis in the rumen. J. Nutr. 1996, 126, 1347S–1354S. [Google Scholar] [CrossRef]
  19. Hof, G.; Vervoorn, M.; Lenaers, P.; Tamminga, S. Milk urea nitrogen as a tool to monitor the protein nutrition of dairy cows. J. Dairy Sci. 1997, 80, 3333–3340. [Google Scholar] [CrossRef]
  20. Beauchemin, K.A.; McGinn, S.M.; Benchaar, C.; Holtshausen, L. Crushed sunflower, flax, or canola seeds in lactating dairy cow diets: Effects on methane production, rumen fermentation, and milk production. J. Dairy Sci. 2009, 92, 2118–2127. [Google Scholar] [CrossRef]
  21. Butler, W.; Calaman, J.; Beam, S. Plasma and milk urea nitrogen in relation to pregnancy rate in lactating dairy cattle. J. Anim. Sci. 1996, 74, 858–865. [Google Scholar] [CrossRef]
  22. Roland, L.; Drillich, M.; Iwersen, M. Hematology as a diagnostic tool in bovine medicine. J. Vet. Diagn. Investig. 2014, 26, 592–598. [Google Scholar] [CrossRef]
  23. Avila, C.; DePeters, E.; Perez-Monti, H.; Taylor, S.; Zinn, R. Influences of saturation ratio of supplemental dietary fat on digestion and milk yield in dairy cows. J. Dairy Sci. 2000, 83, 1505–1519. [Google Scholar] [CrossRef]
  24. Henderson, C.; Stewart, C.; Hine, R. The effect of added tallow on the rumen digestion rate and microbial populations of sheep fed dried grass. Proc. Nutr. Soc. 1977, 36, 148A. [Google Scholar] [PubMed]
  25. Rodriguez, L.A.; Stallings, C.C.; Herbein, J.H.; McGilliard, M.L. Diurnal variation in milk and plasma urea nitrogen in Holstein and Jersey cows in response to degradable dietary protein and added fat. J. Dairy Sci. 1997, 80, 3368–3376. [Google Scholar] [CrossRef]
  26. Bernal-Santos, G.; O’Donnell, A.M.; Vicini, J.L.; Hartnell, G.F.; Bauman, D.E. Hot topic: Enhancing omega-3 fatty acids in milk fat of dairy cows by using stearidonic acid-enriched soybean oil from genetically modified soybeans. J. Dairy Sci. 2010, 93, 32–37. [Google Scholar] [CrossRef]
  27. Doreau, M.; Ferlay, A. Linseed: A valuable feedstuff for ruminants. OCL Oilseeds Fats Crops Lipids 2015, 22, D611. [Google Scholar] [CrossRef]
  28. Cattani, M.; Mantovani, R.; Schiavon, S.; Bittante, G.; Bailoni, L. Recovery of n-3 polyunsaturated fatty acids and conjugated linoleic acids in ripened cheese obtained from milk of cows fed different levels of extruded flaxseed. J. Dairy Sci. 2014, 97, 123–135. [Google Scholar] [CrossRef]
  29. Palmquist, D.L. Essential Fatty Acids in Ruminant Diets. In Proceedings of the 21st Annual Ruminant Nutrition Symposium; University of Florida: Gainesville, FL, USA, 2010; pp. 127–141. [Google Scholar]
  30. Cortes, C.; da Silva-Kazama, D.C.; Kazama, R.; Gagnon, N.; Benchaar, C.; Santos, G.T.; Zeoula, L.M.; Petit, H.V. Milk composition, milk fatty acid profile, digestion, and ruminal fermentation in dairy cows fed whole flaxseed and calcium salts of flaxseed oil. J. Dairy Sci. 2010, 93, 3146–3157. [Google Scholar] [CrossRef]
Figure 1. Blood concentrations of linoleic acid (A) and α-linolenic acids (B) from 0 to 24 h post feeding in cows. Control, no MO supplementation to basal diet. MO, 2% rumen-protected microencapsulated fatty acids from linseed oil supplementation to basal diet. Values are presented as the means ± standard errors (n = 4). * indicates a significant diet effect at p < 0.05.
Figure 1. Blood concentrations of linoleic acid (A) and α-linolenic acids (B) from 0 to 24 h post feeding in cows. Control, no MO supplementation to basal diet. MO, 2% rumen-protected microencapsulated fatty acids from linseed oil supplementation to basal diet. Values are presented as the means ± standard errors (n = 4). * indicates a significant diet effect at p < 0.05.
Animals 10 01631 g001
Table 1. Ingredients and chemical compositions of the diets in each treatment group.
Table 1. Ingredients and chemical compositions of the diets in each treatment group.
Diet Ingredients for a CowTreatment Groups 1
BeforeLOMO
kg/d as dry matter (DM)
Concentrate4.4964.4964.496
Sudan grass silage 1.6801.6801.680
Total mixed ration (TMR)21.86421.86421.864
Corn gluten powder0.0001.1311.131
Linseed oil0.0000.2090.000
Rumen-protected microencapsulated supplement0.0000.0000.596
Chemical composition, %
DM65.9070.4671.75
Crude protein10.8410.8510.85
Ether extract2.893.594.80
Crude fiber14.5514.5714.57
Crude ash4.898.658.65
Neutral detergent fiber28.3028.3028.30
Acid detergent fiber
Long chain fatty acid composition, %
14.0714.0714.07
Palmitic acid methyl ester (C16:0)17.10017.14717.954
Stearic acid methyl ester (C18:0)3.3053.3363.588
Oleic acid methyl ester (C18:1n9c)19.25319.39219.607
Linoleic acid methyl ester (C18:2n6c)33.31333.42933.432
Linolenic acid methyl ester (C18:3n3)5.2645.6355.630
1 Before, basal diet; LO, linseed oil group; MO, rumen-protected microencapsulated supplement group. Ingredients of the TMR are 1.5% molasses, 1% palm kernel meal, 2% soybean meal, 1.5% wheat bran, 1% rapeseed meal, 2% corn germ meal, 11.5% alfalfa hay, 2.5% beet pulp, 23% concentrate, 9% corn flake, 5% cotton seed, 5% kleingrass hay, 18.5% oaten hay, and 2.5% timothy hay. Concentrate ingredients are 9% canola seed meal, 6% coconut kernel meal, 20% corn, 0.2% dicalcium phosphate, 1.5% limestone, 0.2% MgO, 6% molasses, 14.2% palm kernel meal, 0.5% salt, 2% sesame seed meal, 0.4% sodium bicarbonate, 10% soybean meal, 2% tallow, 3% tapioca, 11% wheat middling, 9% canola seed meal, and 0.4% vitamin mineral premix (1,000,000 IU Vit. A, 100,000 IU Vit. D3, 25,000 Vit. E, 150 I, 150 Co, 2500 Cu, 6250 Fe, 16,000 Mn, 10,000 Zn, 150 mg Se).
Table 2. Effects of the rumen-protected microencapsulated supplement (MO) on pH, gas production, and ammonia-N in the in vitro ruminal fluid.
Table 2. Effects of the rumen-protected microencapsulated supplement (MO) on pH, gas production, and ammonia-N in the in vitro ruminal fluid.
Incubation Times, hCON 1MO Concentrations 2 (%)SEM 3p-Value
12345DietL 4Q 5
pH
06.756.796.776.776.746.730.0120.0510.0940.076
125.775.805.795.785.765.750.0110.0530.0640.109
245.655.585.605.605.575.590.0190.0800.1350.327
485.545.545.565.545.555.530.0090.1560.5220.349
Total gas, mL
1233.1731.3332.0032.0033.6730.330.4920.7790.6450.837
2447.6749.0047.6741.6749.6743.330.5790.0630.1370.956
4851.67 b58.33 a59.33 a57.67 a50.33 b50.00 b0.557<0.001<0.001<0.001
CH4, %
1211.15 c11.33 bc11.35 bc11.51 ab11.51 ab11.78 a0.0530.001<0.0010.551
2410.27 c12.55 bc12.55 bc12.64 abc12.88 ab13.12 a0.2800.0040.1110.339
4813.1112.9611.7813.5012.7913.890.3280.6060.4770.309
CH4, mL 6
128.778.708.808.929.118.940.0790.7690.2390.945
2411.4811.8611.6811.0111.5011.650.1110.1480.6110.433
4812.7413.4612.3613.9312.2613.260.3300.7110.9340.915
Ammonia-N, mg/100 mL
03.04 d3.17 cd3.27 abc3.39 ab3.44 a3.21 bcd0.026<0.001<0.001<0.001
124.69 c4.71 c4.90 bc4.96 abc5.16 ab5.31 a0.047<0.001<0.0010.407
2410.74 abc10.72 abc10.81 ab11.09 a10.43 bc10.34 c0.055<0.0010.0090.002
4820.4520.7521.2420.6020.7220.420.1040.2880.6880.146
1 CON, no MO supplementation to basal diet. 2 MO, 1% to 5% MO supplementation to basal diet. 3 SEM, standard error of the mean. 4 L, linear. 5 Q, quadratic. 6 CH4, mL, calculated as [gas production (total gas, mL) + initial blank volume (45.5 mL)] × CH4 (%). a–d Different superscripts represent differences among treatments (p < 0.05).
Table 3. Effects of rumen-protected microencapsulated supplement (MO) on volatile fatty acid (VFA) production in the in vitro ruminal fluid.
Table 3. Effects of rumen-protected microencapsulated supplement (MO) on volatile fatty acid (VFA) production in the in vitro ruminal fluid.
ItemsCON 1MO Concentrations 2, %SEM 3p-Value
12345DietL 4Q 5
12 h
Total VFA, mM53.8051.6452.4153.9355.4551.630.550 0.6100.5210.180
Acetic acid, C226.4725.4825.7526.5227.2925.420.2130.5950.5170.178
Propionic acid, C38.257.948.048.288.487.860.1270.5830.7040.185
Iso-butyric acid, C40.190.180.190.190.200.190.0220.8340.4810.378
Butyric acid, C416.3115.5915.9216.3716.8515.700.1930.6600.4560.182
Iso-valeric acid, C51.281.211.241.281.301.220.0600.5180.4630.188
Valeric acid, C51.301.241.271.291.331.240.0570.5180.6520.252
A:P, C2/C33.213.213.203.203.223.230.0120.6720.1210.118
24 h
Total VFA, mM60.6060.9359.1455.9158.0957.140.6610.1910.1040.138
Acetic acid, C228.7929.0428.1226.6827.6627.290.2440.270.1170.141
Propionic acid, C38.628.738.407.968.268.150.1370.2260.0910.092
Iso-butyric acid, C40.220.230.220.200.210.210.0220.4080.0840.067
Butyric acid, C419.9220.3019.4218.2519.0018.610.2280.2150.0410.045
Iso-valeric acid, C51.591.131.541.471.531.490.2690.4610.3010.374
Valeric acid, C51.471.501.441.361.421.390.0620.2980.0700.084
A:P, C2/C33.343.333.353.353.353.350.0111.0000.2870.284
48 h
Total VFA, mM63.2264.7566.2765.3865.9165.780.3350.2310.2380.265
Acetic acid, C229.0829.5830.3529.9530.2130.020.1110.2440.2840.155
Propionic acid, C38.538.779.058.898.998.920.0770.2050.3590.22
Iso-butyric acid, C40.26 b0.26 b0.27 a0.27 a0.27 a0.27 a0.0120.0360.0280.098
Butyric acid, C421.7122.4122.7722.5122.6022.750.1190.2320.4400.749
Iso-valeric acid, C52.00 b2.05 ab2.10 ab2.07 ab2.10 ab2.11 b0.0340.0030.0200.075
Valeric acid, C51.651.681.731.701.741.710.0330.2280.1510.063
A:P, C2/C33.41 a3.37 ab3.35 b3.37 ab3.36 b3.37 ab0.0140.0040.9220.759
1 CON, no MO supplementation to basal diet. 2 MO, 1% to 5% MO supplementation to basal diet. 3 SEM, standard error of the mean. 4 L, linear. 5 Q, quadratic. a–d Different superscripts represent differences among treatments (p < 0.05).
Table 4. Digestibility of 0.7% linseed oil (LO) and 2% rumen-protected microencapsulated supplement (MO) in the in vitro ruminal fluid.
Table 4. Digestibility of 0.7% linseed oil (LO) and 2% rumen-protected microencapsulated supplement (MO) in the in vitro ruminal fluid.
Digestibility, %CON 10.7% LO 22% MO 3SEM 4p-Value
12 h
Dry matter, %33.3431.4231.821.6090.905
NDF 5, %58.3856.7758.561.4480.753
ADF 6, %55.1758.8356.931.7580.888
Crude protein, %6.876.858.620.9700.790
Ether extract, %29.8922.8315.934.1110.483
24 h
Dry matter, %39.4936.9739.431.7620.843
NDF, %69.0166.1168.321.2260.990
ADF, %53.0553.3752.412.4550.665
Crude protein, %16.5118.3517.210.9290.806
Ether extract, %33.0531.0424.862.5600.499
48 h
Dry matter, %48.0445.1346.601.2890.716
NDF, %72.3970.4972.710.7830.986
ADF, %56.5256.9457.311.6870.521
Crude protein, %19.4020.6625.682.8580.742
Ether extract, %38.1534.9132.783.3840.875
1 CON, no LO or MO supplementation to basal diet. 2 LO, 0.7% linseed oil supplementation to basal diet. 3 MO, 2% rumen-protected microencapsulated fatty acids from linseed oil supplementation to basal diet. 4 SEM, standard error of the mean. 5 NDF, neutral detergent fiber. 6 ADF, acid detergent fiber.
Table 5. Changes in fatty acid compositions after co-culturing 0.7% linseed oil (LO) and 2% rumen-protected microencapsulated supplement (MO) with ruminal fluid.
Table 5. Changes in fatty acid compositions after co-culturing 0.7% linseed oil (LO) and 2% rumen-protected microencapsulated supplement (MO) with ruminal fluid.
Fatty AcidsCON 10.7% LO 22% MO 3SEM 4p-Value
0 h
Stearic acid, %19.795 b19.079 b22.961 a0.6250.018
Linoleic acid, %14.283 a12.873 ab10.199 b0.7610.023
α-linolenic acid, %1.575 b8.567 a4.835 ab1.1190.005
Conjugated linoleic acid (CLA), %---
Linoleic acid, mg/g0.175 0.157 0.143 0.0110.540
α-linolenic acid, mg/g0.035 b0.113 a0.081 ab0.0130.012
CLA, mg/g---
12 h
Stearic acid, %33.97133.65032.6120.2400.056
Linoleic acid, %4.3835.6374.5500.2670.120
α-linolenic acid, %0.371 b1.468 ab3.794 a0.506<0.001
CLA, %1.141 a0.992 a0.789 b0.054<0.001
Linoleic acid, mg/g0.0610.0820.0910.0080.274
α-linolenic acid, mg/g0.022 b0.034 b0.082 a0.0100.003
CLA, mg/g0.0180.0170.0190.0010.917
24 h
Stearic acid, %38.790 ab40.473 a38.281 b0.3680.040
Linoleic acid, %1.7582.2152.1460.1030.133
α-linolenic acid, %0.000 c0.531 b1.307 a0.192<0.001
CLA5, %0.000 b0.621 a0.666 a0.112<0.001
Linoleic acid, mg/g0.0360.0400.0490.0040.434
α-linolenic acid, mg/g0.018 b0.023 ab0.040 a0.0040.032
CLA, mg/g0.000 b0.011 a0.015 a0.0030.014
48 h
Stearic acid, %42.133 ab43.182 a40.432 b0.4080.012
Linoleic acid, %1.227 c1.473 b1.755 a0.077<0.001
α-linolenic acid, %0.000 c0.452 b1.250 a0.2140.006
CLA, %---
Linoleic acid, mg/g0.0310.0330.0460.0030.058
α-linolenic acid, mg/g0.018 b0.022 b0.041 a0.004<0.001
CLA, mg/g---
1 CON, no LO or MO supplementation to basal diet. 2 LO, 0.7% linseed oil supplementation to basal diet. 3 MO, 2% rumen-protected microencapsulated fatty acids from linseed oil supplementation to basal diet. 4 SEM, standard error of the mean. a–d Different superscripts represent differences among treatments (p < 0.05).
Table 6. Effects of 0.7% linseed oil (LO) and 2% rumen-protected microencapsulated supplement (MO) on the dry matter intake (DMI) and milk compositions in dairy cows.
Table 6. Effects of 0.7% linseed oil (LO) and 2% rumen-protected microencapsulated supplement (MO) on the dry matter intake (DMI) and milk compositions in dairy cows.
ItemsLO 1MO 2SEM 3p-Value
Before 4After 5BeforeAfterFat SourcePeriodF × P
DMI, kg/d/head28.0427.6428.0428.040.021---
Milk yield, kg/d31.7929.7433.3030.541.5480.4590.1240.819
Milk yield: DMI ratio1.131.081.191.090.0550.5480.1620.714
Fat, %4.845.004.895.010.1540.8710.3750.900
Fat, kg/d1.531.481.621.510.0800.4500.3130.745
4% FCM 6, kg/d35.7334.0837.6534.921.7450.4330.2140.760
4% FCM: DMI ratio1.271.231.341.250.0620.5210.2710.656
ECM 7, kg/d38.4236.6540.0737.070.8950.5670.1900.735
ECM: DMI ratio1.371.331.431.320.0320.6710.2450.629
Protein, %3.593.663.473.470.0740.0340.6520.638
Protein, kg/d1.131.081.141.040.0410.6530.0720.600
Lactose, %4.724.774.724.750.0390.8620.4920.765
Solid non-fat, kg/d1.131.081.141.040.1290.7100.0880.724
Milk urea nitrogen, mg/dL15.5113.6115.2310.800.385<0.001<0.001<0.002
1 LO, 0.7% linseed oil supplementation to basal diet. 2 MO, 2% rumen-protected microencapsulated fatty acids from linseed oil supplementation to basal diet. 3 SEM, standard error of the mean. 4 Before, average data of d 0 and d 30 (period on feeding basal diet). 5 After, average data of d 30 and d 60 (period on feeding basal diet and oil supplements). 6 FCM, fat corrected milk; [0.40 × milk yield (kg/d)] + [15 × milk fat yield (kg/d)] (Gaines and Davidson, 1923). 7 ECM, energy corrected milk; [0.327 × milk yield (kg/d)] + [12.95 × fat yield (kg/d)] + [7.2 × protein yield (kg/d)]. Data were the covariates adjusted based on the initial data.
Table 7. Effects of 0.7% linseed oil (LO) and 2% rumen-protected microencapsulated supplement (MO) on the complete blood count analysis in dairy cows.
Table 7. Effects of 0.7% linseed oil (LO) and 2% rumen-protected microencapsulated supplement (MO) on the complete blood count analysis in dairy cows.
Items 6LO 1MO 2SEM 3p-Value
Before 4After 5BeforeAfterFat SourcePeriodF × P
Hematological parameters
LYM (2.5–7.5 K/uL)6.959.326.888.670.5870.7640.0830.806
MON (0–0.84 K/uL)0.910.680.790.530.0840.4330.1520.927
GRA (0.6–6.7 K/uL)3.232.042.421.470.2080.0730.0070.757
WBC (4–12 K/uL)11.0912.0410.0910.670.7370.4400.6170.903
RBC (5–10 M/uL)6.485.486.335.300.1800.6370.0040.961
HGB (8–15 g/dL)11.6412.3211.6311.780.2850.6410.4830.653
HCT (24–46%)31.3326.8230.6025.770.7620.5220.0020.910
MCV (40–60 fL)48.5048.9048.7049.500.7200.7900.6900.894
MCH (11–17 pg)17.9122.4918.5322.550.4270.518<0.0010.594
MCHC (30–36 g/dL)36.9545.9938.0145.760.7450.531<0.0010.332
Platelet (100–800 K/uL)277.30198.90266.40221.6017.7050.8680.0890.637
Metabolic parameters
BUN, mg/dL19.517.919.116.10.390.1230.0020.291
GLU, mg/dL70.4069.970.667.11.180.5820.3990.526
TCHO, mg/dL320.2345.9314.0365.29.680.7180.0520.518
NEFA, mg/dL185.2140.0243.4267.613.16<0.0010.6320.120
1 LO, 0.7% linseed oil supplementation to basal diet. 2 MO, 2% rumen-protected microencapsulated fatty acids from linseed oil supplementation to basal diet. 3 SEM, standard error of the mean. 4 Before, average data of d 0 and d 30 (period on feeding basal diet). 5 After, average data of d 30 and d 60 (period on feeding basal diet and oil supplements). 6 Items = LYM, lymphocyte; MON, monocyte; GRA, granulocyte; WBC, white blood cell; RBC, red blood cell; HGB, hemoglobin; HCT, hematocrit; MCV, mean corpuscular volume; MCH, mean corpuscular hemoglobin; MCHC, mean corpuscular hemoglobin concentration; BUN, blood urine nitrogen; GLU, glucose; TCHO, total cholesterol; NEFA, non-esterified fatty acid.
Table 8. Effects of 0.7% linseed oil (LO) and 2% rumen-protected microencapsulated supplement (MO) on milk FA compositions in dairy cows.
Table 8. Effects of 0.7% linseed oil (LO) and 2% rumen-protected microencapsulated supplement (MO) on milk FA compositions in dairy cows.
Items 6LO 1MO 2SEM 3p-Value
Before 4After 5BeforeAfterFat SourcePeriodF × P
C16:0 (Palmitic), %32.7731.8432.2032.850.2800.7000.7960.164
C18:0 (Stearic), %13.2415.5613.8716.840.2800.040<0.0010.476
C18:1 (TVA), %0.710.750.700.880.0290.1430.0060.092
CLA, mg/100 g11.0110.0010.7111.720.4270.2430.9990.099
C18:2n6t, mg/100 g6.437.926.6110.580.3040.002<0.0010.008
C18:2n6c, mg/100 g50.0250.8348.7640.881.0870.0050.0730.028
C18:3n6, mg/100 g1.081.131.131.150.0110.0920.1080.381
C20:3n6, mg/100 g6.065.886.315.310.1110.4390.0050.048
C20:4n6, mg/100 g0.540.580.590.650.009<0.0010.0040.285
C18:3n3, mg/100 g5.155.834.9913.980.571<0.001<0.001<0.001
C20:3n3, mg/100 g0.940.911.111.030.0400.0550.4870.780
C20:5n3, mg/100 g0.970.971.090.920.0170.2550.0080.005
C22:6n3, mg/100 g1.821.812.061.840.0400.0820.1450.184
SFA, %77.0977.5575.9176.220.3110.0450.5330.896
MUFA, %18.4217.8919.7519.300.2980.0220.4020.947
PUFA, %4.494.564.344.490.0620.3670.3920.740
SFA/UFA3.423.523.193.270.0630.0640.4580.947
ω6, mg/100 g64.1466.3363.4058.581.1870.0640.5630.125
ω3, mg/100 g8.879.519.2417.770.603<0.001<0.001<0.001
ω6 / ω37.326.996.893.480.204<0.001<0.001<0.001
1 LO, 0.7% linseed oil supplementation to basal diet. 2 MO, 2% rumen-protected microencapsulated fatty acids from linseed oil supplementation to basal diet. 3 SEM, standard error of the mean. 4 Before, average data of d 0 and d 30 (period on feeding basal diet). 5 After, average data of d 30 and d 60 (period on feeding basal diet and oil supplements). 6 Items = CLA, conjugated linoleic acid; SFA, saturated fatty acid; MUFA, mono-unsaturated fatty acid; PUFA, poly-unsaturated fatty acid. Data were covariates adjusted from initial data.

Share and Cite

MDPI and ACS Style

Kim, T.-B.; Lee, J.-S.; Cho, S.-Y.; Lee, H.-G. In Vitro and In Vivo Studies of Rumen-Protected Microencapsulated Supplement Comprising Linseed Oil, Vitamin E, Rosemary Extract, and Hydrogenated Palm Oil on Rumen Fermentation, Physiological Profile, Milk Yield, and Milk Composition in Dairy Cows. Animals 2020, 10, 1631. https://doi.org/10.3390/ani10091631

AMA Style

Kim T-B, Lee J-S, Cho S-Y, Lee H-G. In Vitro and In Vivo Studies of Rumen-Protected Microencapsulated Supplement Comprising Linseed Oil, Vitamin E, Rosemary Extract, and Hydrogenated Palm Oil on Rumen Fermentation, Physiological Profile, Milk Yield, and Milk Composition in Dairy Cows. Animals. 2020; 10(9):1631. https://doi.org/10.3390/ani10091631

Chicago/Turabian Style

Kim, Tae-Bin, Jae-Sung Lee, Seung-Yeol Cho, and Hong-Gu Lee. 2020. "In Vitro and In Vivo Studies of Rumen-Protected Microencapsulated Supplement Comprising Linseed Oil, Vitamin E, Rosemary Extract, and Hydrogenated Palm Oil on Rumen Fermentation, Physiological Profile, Milk Yield, and Milk Composition in Dairy Cows" Animals 10, no. 9: 1631. https://doi.org/10.3390/ani10091631

APA Style

Kim, T.-B., Lee, J.-S., Cho, S.-Y., & Lee, H.-G. (2020). In Vitro and In Vivo Studies of Rumen-Protected Microencapsulated Supplement Comprising Linseed Oil, Vitamin E, Rosemary Extract, and Hydrogenated Palm Oil on Rumen Fermentation, Physiological Profile, Milk Yield, and Milk Composition in Dairy Cows. Animals, 10(9), 1631. https://doi.org/10.3390/ani10091631

Note that from the first issue of 2016, this journal uses article numbers instead of page numbers. See further details here.

Article Metrics

Back to TopTop