How Different Stocking Densities Affect Growth and Stress Status of Acipenser baerii Early Stage Larvae
Simple Summary
Abstract
1. Introduction
2. Materials and Methods
2.1. Experimental Set-Up
2.2. Zootechnical Performance
- (1)
- Specific Growth Rate (SGR); where FBW and IBW denote the final and initial body weight, respectively.
- (2)
- Condition Factor (K)
2.3. Micro-Anatomical Analyses: Histology and Immunofluorescence (Actin)
2.4. Cortisol Extraction and Radioimmunoassay (RIA)
2.5. Gene Identification and Primers Design
2.6. RNA Extraction and cDNA Synthesis
2.7. Gene Expression Profiles
2.8. Statistical Analysis
3. Results
3.1. Water Parameters
3.2. Larval Mortality, Development, and Growth
3.3. Micro-Anatomical Analyses: Histology and Immunofluorescence (Actin)
3.4. Whole-Body Cortisol
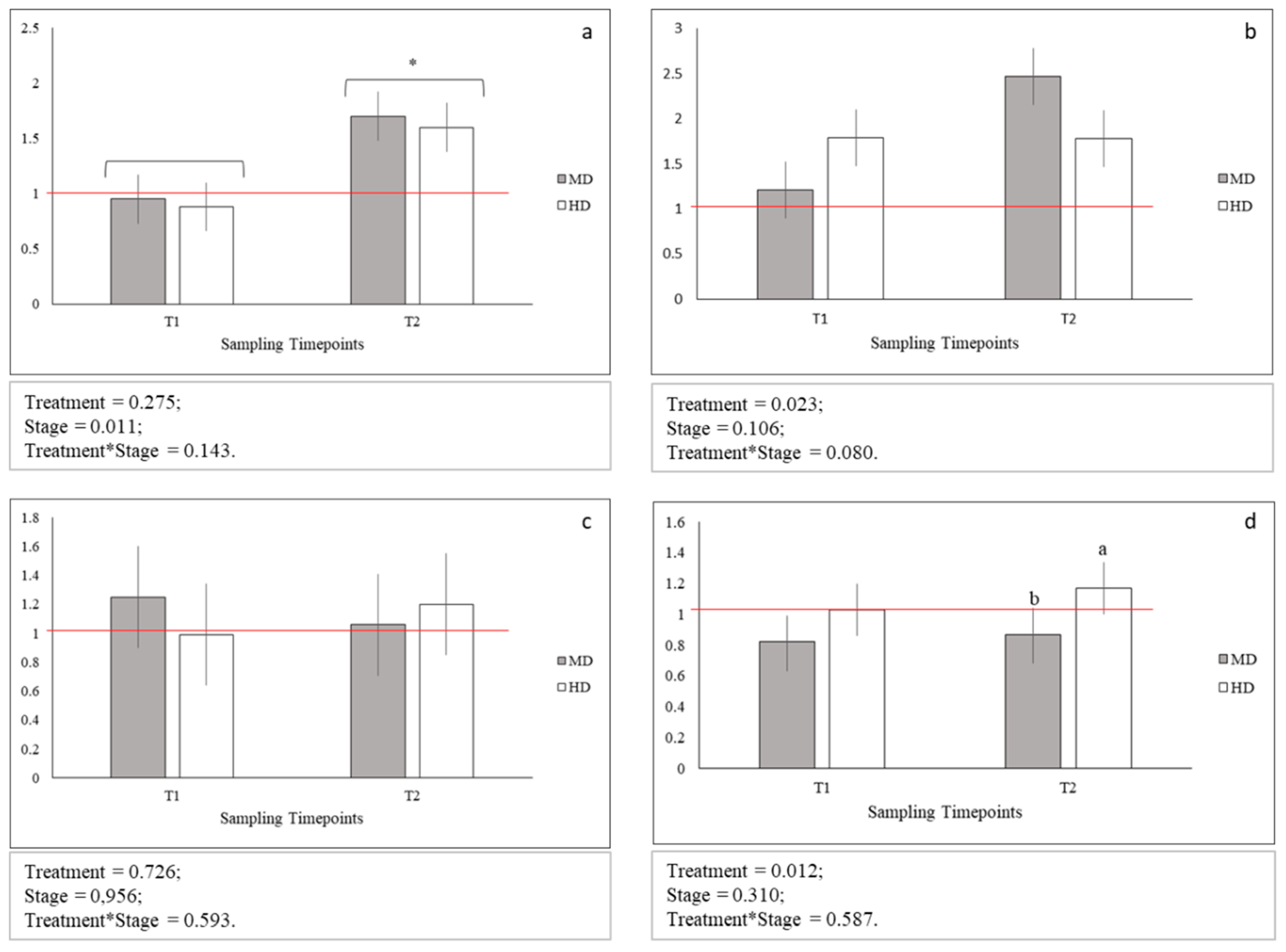
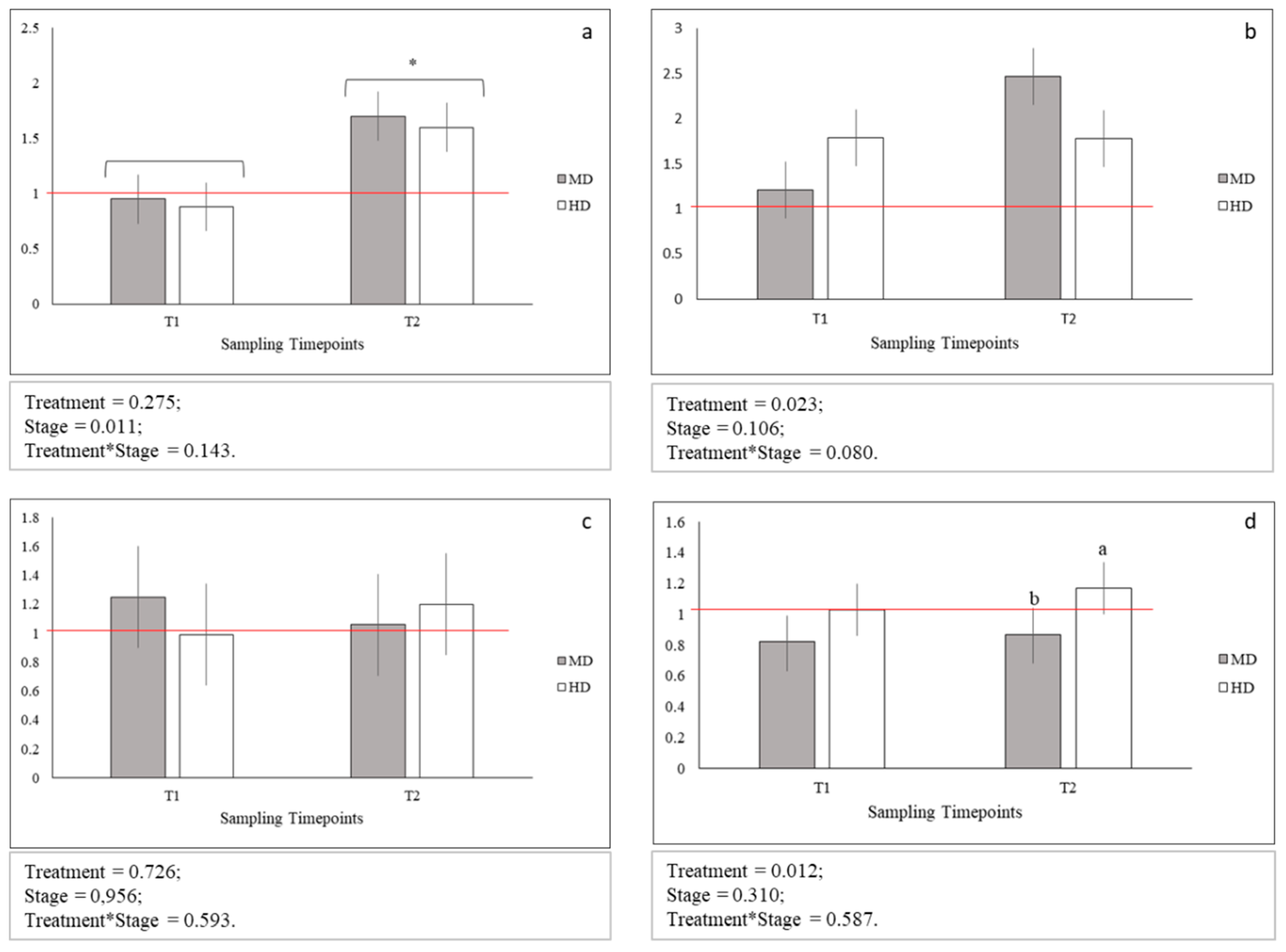
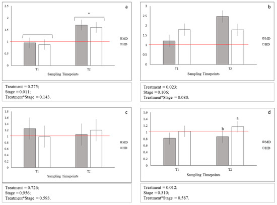
3.5. Stress and Growth-Related Gene Expressions
4. Discussion
5. Conclusions
Supplementary Materials
Author Contributions
Funding
Acknowledgments
Conflicts of Interest
References
- Rafatnezhad, S.; Falahatkar, B.; Gilani, M.H.T. Effects of stocking density on haematological parameters, growth and fin erosion of great sturgeon (Huso huso) juveniles. Aquac. Res. 2008, 39, 1506–1513. [Google Scholar] [CrossRef]
- Iguchi, K.I.; Ogawa, K.; Nagae, M.; Ito, F. The influence of rearing density on stress response and disease susceptibility of ayu (Plecoglossus altivelis). Aquaculture 2003, 220, 515–523. [Google Scholar] [CrossRef]
- Ramsay, J.M.; Feist, G.W.; Varga, Z.M.; Westerfield, M.; Kent, M.L.; Schreck, C.B. Whole-body cortisol is an indicator of crowding stress in adult zebrafish, Danio rerio. Aquaculture 2006, 258, 565–574. [Google Scholar] [CrossRef]
- Eissa, N.; Wang, H.-P.; Yao, H.; Shen, Z.-G.; Shaheen, A.A.; Abou-ElGheit, E.N. Expression of Hsp70, Igf1, and Three Oxidative Stress Biomarkers in Response to Handling and Salt Treatment at Different Water Temperatures in Yellow Perch, Perca flavescens. Front. Physiol. 2017, 8, 683. [Google Scholar] [CrossRef]
- Barton, B.A.; Iwama, G.K. Physiological changes in fish from stress in aquaculture with emphasis on the response and effects of corticosteroids. Annu. Rev. Fish Dis. 1991, 1, 3–26. [Google Scholar] [CrossRef]
- Wendelaar Bonga, S.E. The stress response in fish. Physiol. Rev. 1997, 77, 591–625. [Google Scholar] [CrossRef] [PubMed]
- McCormick, S.D.; Shrimpton, J.M.; Carey, J.B.; O’Dea, M.F.; Sloan, K.E.; Moriyama, S.; Björnsson, B.T. Repeated acute stress reduces growth rate of Atlantic salmon parr and alters plasma levels of growth hormone, insulin-like growth factor I and cortisol. Aquaculture 1998, 168, 221–235. [Google Scholar] [CrossRef]
- Balasch, J.C.; Tort, L. Netting the Stress Responses in Fish. Front. Endocrinol. 2019, 10, 62. [Google Scholar] [CrossRef]
- de Jesus, E.G.; Hirano, T. Changes in whole body concentrations of cortisol, thyroid hormones, and sex steroids during early development of the chum salmon, Oncorhynchus keta. Gen. Comp. Endocrinol. 1992, 85, 55–61. [Google Scholar] [CrossRef]
- Yamano, K.; Miwa, S.; Obinata, T.; Inui, Y. Thyroid hormone regulates developmental changes in muscle during flounder metamorphosis. Gen. Comp. Endocrinol. 1991, 81, 464–472. [Google Scholar] [CrossRef]
- Hwang, P.P.; Wu, S.M.L.; Lin, J.H.; Wu, L.S. Cortisol content of eggs and larvae of teleosts. Gen. Comp. Endocrinol. 1992, 86, 189–196. [Google Scholar] [CrossRef]
- Hwang, P.P.; Wu, S.M. Role of cortisol in hypoosmoregulation in larvae of the tilapia (Oreochromis mossambicus). Gen. Comp. Endocrinol. 1993, 92, 318–324. [Google Scholar] [CrossRef] [PubMed]
- Barry, T.P.; Malison, J.A.; Held, J.A.; Parrish, J.J. Ontogeny of the cortisol stress response in larval rainbow trout. Gen. Comp. Endocrinol. 1995, 97, 57–65. [Google Scholar] [CrossRef] [PubMed]
- Sampath-Kumar, R.; Byers, R.E.; Munro, A.D.; Lam, T.J. Profile of cortisol during the ontogeny of the Asian Seabass, Lates calcarifer. Aquaculture 1995, 132, 349–359. [Google Scholar] [CrossRef]
- Pottinger, T.G.; Mosuwe, E. The corticosteroidogenic response of brown and rainbow trout alevins and fry to environmental stress during a “critical period”. Gen. Comp. Endocrinol. 1994, 95, 350–362. [Google Scholar] [CrossRef]
- Simontacchi, C.; Negrato, E.; Pazzaglia, M.; Bertotto, D.; Poltronieri, C.; Radaelli, G. Whole-body concentrations of cortisol and sex steroids in white sturgeon (Acipenser transmontanus, Richardson 1836) during early development and stress response. Aquac. Int. 2009, 17, 7–14. [Google Scholar] [CrossRef]
- Aidos, L.; Cafiso, A.; Bertotto, D.; Bazzocchi, C.; Radaelli, G.; Di Giancamillo, A. How different rearing temperatures affect growth and stress status of Siberian sturgeon Acipenser baerii larvae. J. Fish Biol. 2020, 96, 913–924. [Google Scholar] [CrossRef]
- Bates, L.C.; Boucher, M.A.; Shrimpton, J.M. Effect of temperature and substrate on whole body cortisol and size of larval white sturgeon (Acipenser transmontanus Richardson, 1836). J. Appl. Ichthyol. 2014, 30, 1259–1263. [Google Scholar] [CrossRef]
- Mommsen, T.P.; Vijayan, M.M.; Moon, T.W. Cortisol in teleosts: Dynamics, mechanisms of action, and metabolic regulation. Rev. Fish Biol. Fish. 1999, 9, 211–268. [Google Scholar] [CrossRef]
- Barton, B.A. Stress in finfish: Past, present and future-a historical perspective. In Fish Stress and Health in Aquaculture; Iwama, G.K., Pickering, A.D., Sumpter, J.P., Schreck, C.B., Eds.; Cambridge University Press: Cambridge, UK, 1997; pp. 1–33. [Google Scholar]
- Begg, K.; Pankhurst, N.W. Endocrine and metabolic responses to stress in a laboratory population of the tropical damselfish Acanthochromis polyacanthus. J. Fish Biol. 2004, 64, 133–145. [Google Scholar] [CrossRef]
- Iwama, G.K. Stress in Fish. Ann. N. Y. Acad. Sci. 1998, 851, 304–310. [Google Scholar] [CrossRef]
- Rottman, R.W.; Francis-Floyd, R.; Durborow, R. The Role of Stress in Fish Disease. South. Reg. Aquac. Cent. 1992, 474, 4. [Google Scholar]
- Polakof, S.; Panserat, S.; Soengas, J.L.; Moon, T.W. Glucose metabolism in fish: A review. J. Comp. Physiol. B 2012, 182, 1015–1045. [Google Scholar] [CrossRef] [PubMed]
- Joost, H.-G.; Thorens, B. The extended GLUT-family of sugar/polyol transport facilitators: Nomenclature, sequence characteristics, and potential function of its novel members. Mol. Membr. Biol. 2001, 18, 247–256. [Google Scholar] [CrossRef] [PubMed]
- Wood, I.S.; Trayhurn, P. Glucose transporters (GLUT and SGLT): Expanded families of sugar transport proteins. Br. J. Nutr. 2003, 89, 3–9. [Google Scholar] [CrossRef] [PubMed]
- Joost, H.-G.; Bell, G.I.; Best, J.D.; Birnbaum, M.J.; Charron, M.J.; Chen, Y.T.; Doege, H.; James, D.E.; Lodish, H.F.; Moley, K.H.; et al. Nomenclature of the GLUT/SLC2A family of sugar/polyol transport facilitators. Am. J. Physiol.-Endocrinol. Metab. 2002, 282, E974–E976. [Google Scholar] [CrossRef]
- Aketch, B.O.; Ang’ienda, P.O.; Radull, J.O.; Waindi, E.N. Effect of stocking density on the expression of glucose transporter protein 1 and other physiological factors in the Lake Victoria Nile tilapia, Oreochromis niloticus (L.). Int. Aquat. Res. 2014, 6, 69. [Google Scholar] [CrossRef]
- Terova, G.; Rimoldi, S.; Brambilla, F.; Gornati, R.; Bernardini, G.; Saroglia, M. In vivo regulation of GLUT2 mRNA in sea bass (Dicentrarchus labrax) in response to acute and chronic hypoxia. Comp. Biochem. Physiol. B Biochem. Mol. Biol. 2009, 152, 306–316. [Google Scholar] [CrossRef]
- Planas, J.V.; Capilla, E.; Gutiérrez, J. Molecular identification of a glucose transporter from fish muscle. FEBS Lett. 2000, 481, 266–270. [Google Scholar] [CrossRef]
- Capilla, E.; Díaz, M.; Gutiérrez, J.; Planas, J.V. Physiological regulation of the expression of a GLUT4 homolog in fish skeletal muscle. Am. J. Physiol.-Endocrinol. Metab. 2002, 283, E44–E49. [Google Scholar] [CrossRef]
- Capilla, E.; Díaz, M.; Albalat, A.; Navarro, I.; Pessin, J.E.; Keller, K.; Planas, J.V. Functional characterization of an insulin-responsive glucose transporter (GLUT4) from fish adipose tissue. Am. J. Physiol.-Endocrinol. Metab. 2004, 287, E348–E357. [Google Scholar] [CrossRef]
- Blasco, J.; Fernàndez-Borràs, J.; Marimon, I.; Requena, A. Plasma glucose kinetics and tissue uptake in brown trout in vivo: Effect of an intravascular glucose load. J. Comp. Physiol. B 1996, 165, 534–541. [Google Scholar] [CrossRef]
- Díaz, M.; Vraskou, Y.; Gutiérrez, J.; Planas, J.V. Expression of rainbow trout glucose transporters GLUT1 and GLUT4 during in vitro muscle cell differentiation and regulation by insulin and IGF-I. Am. J. Physiol. Regul. Integr. Comp. Physiol. 2009, 296, R794–R800. [Google Scholar] [CrossRef] [PubMed]
- Morimoto, R.I.; Santoro, M.G. Stress-inducible responses and heat shock proteins: New pharmacologic targets for cytoprotection. Nat. Biotechnol. 1998, 16, 833–838. [Google Scholar] [CrossRef] [PubMed]
- Russotti, G.; Brieva, T.A.; Toner, M.; Yarmush, M.L. Induction of tolerance to hypothermia by previous heat shock using human fibroblasts in culture. Cryobiology 1996, 33, 567–580. [Google Scholar] [CrossRef]
- Johnston, I.A. Environment and plasticity of myogenesis in teleost fish. J. Exp. Biol. 2006, 209, 2249–2264. [Google Scholar] [CrossRef] [PubMed]
- Weatherley, A.H.; Gill, H.S.; Lobo, A.F. Recruitment and maximal diameter of axial muscle fibres in teleosts and their relationship to somatic growth and ultimate size. J. Fish Biol. 1988, 33, 851–859. [Google Scholar] [CrossRef]
- IUCN—International Union for Conservation of Nature and Natural Resources. The IUCN Red List of Threatened Species. Available online: www.iucnredlist.org (accessed on 1 May 2020).
- Song, W.; Jiang, K.; Zhang, F.; Lin, Y.; Ma, L. RNA-sequencing of the sturgeon Acipenser baeri provides insights into expression dynamics of morphogenic differentiation and developmental regulatory genes in early versus late developmental stages. BMC Genomics 2016, 17, 564. [Google Scholar] [CrossRef]
- Gisbert, E.; Williot, P. Duration of synchronous egg cleavage cycles at different temperatures in Siberian sturgeon (Acipenser baerii). J. Appl. Ichthyol. 2002, 18, 271–274. [Google Scholar] [CrossRef]
- Wedemeyer, G.; Barton, B.B.; McLeay, D.J. Stress and acclimation. In Methods for Fish Biology; Schreck, C.B., Moyle, P.B., Eds.; American Fisheries Society: Bethesda, MD, USA, 1990; pp. 451–489. [Google Scholar]
- Kebus, M.J.; Collins, M.T.; Brownfield, M.S.; Amundson, C.H.; Kayes, T.B.; Malison, J.A. Effects of Rearing Density on the Stress Response and Growth of Rainbow Trout. J. Aquat. Anim. Health 1992, 4, 1–6. [Google Scholar] [CrossRef]
- Jodun, W.A.; Millard, M.J.; Mohler, J. The Effect of Rearing Density on Growth, Survival, and Feed Conversion of Juvenile Atlantic Sturgeon. North Am. J. Aquac. 2002, 64, 10–15. [Google Scholar] [CrossRef]
- Szczepkowski, M.; Szczepkowska, B.; Piotrowska, I. Impact of higher stocking density of juvenile Atlantic sturgeon, Acipenser oxyrinchus Mitchill, on fish growth, oxygen consumption, and ammonia excretion. Arch. Pol. Fish. 2011, 19, 59–67. [Google Scholar] [CrossRef]
- Fajfer, S.; Meyers, L.; Willman, G.; Carpenter, T.; Hansen, M.J. Growth of Juvenile Lake Sturgeon Reared in Tanks at Three Densities. North Am. J. Aquac. 1999, 61, 331–335. [Google Scholar] [CrossRef]
- Mohseni, M.; Pourkazemi, M.; Kazemi, R.; Norooz Foshkhomi, M.R.; Mojazi Amiri, B.; Kaladkova, L.N. Study on the effects of stocking density of eggs and larvae on the survival and frequency of morphological deformities in Persian sturgeon, great sturgeon and stellate sturgeon. Iran. J. Fish. Sci. 2000, 2, 75–90. [Google Scholar]
- Wuertz, S.; Lutz, I.; Gessner, J.; Loeschau, P.; Hogans, B.; Kirschbaum, F.; Kloas, W. The influence of rearing density as environmental stressor on cortisol response of Shortnose sturgeon (Acipenser brevirostrum). J. Appl. Ichthyol. 2006, 22, 269–273. [Google Scholar] [CrossRef]
- Caipang, C.M.A.; Brinchmann, M.F.; Berg, I.; Iversen, M.; Eliassen, R.; Kiron, V. Changes in selected stress and immune-related genes in Atlantic cod, Gadus morhua, following overcrowding. Aquac. Res. 2008, 39, 1533–1540. [Google Scholar] [CrossRef]
- Earhart, M.L.; Bugg, W.; Wiwchar, C.E.; Kroeker, J.R.L.; Jeffries, K.M.; Anderson, W.G. Shaken, rattled and rolled: The effects of hatchery-rearing techniques on endogenous cortisol production, stress-related gene expression, growth and survival in larval Lake Sturgeon, Acipenser fulvescens. Aquaculture 2020, 522, 735116. [Google Scholar] [CrossRef]
- Stouthart, A.J.; Lucassen, E.C.; van Strien, F.; Balm, P.H.; Lock, R.A.; Bonga, S.W. Stress responsiveness of the pituitary-interrenal axis during early life stages of common carp (Cyprinus carpio). J. Endocrinol. 1998, 157, 127–137. [Google Scholar] [CrossRef]
- Gessner, J.; Kamerichs, C.M.; Kloas, W.; Wuertz, S. Behavioural and physiological responses in early life phases of Atlantic sturgeon (Acipenser oxyrinchus Mitchill 1815) towards different substrates. J. Appl. Ichthyol. 2009, 25, 83–90. [Google Scholar] [CrossRef]
- Piccinetti, C.C.; Grasso, L.; Maradonna, F.; Radaelli, G.; Ballarin, C.; Chemello, G.; Evjemo, J.O.; Carnevali, O.; Olivotto, I. Growth and stress factors in ballan wrasse (Labrus bergylta) larval development. Aquac. Res. 2016, 48, 2567–2580. [Google Scholar] [CrossRef]
- Terova, G.; Gornati, R.; Rimoldi, S.; Bernardini, G.; Saroglia, M. Quantification of a glucocorticoid receptor in sea bass (Dicentrarchus labrax, L.) reared at high stocking density. Gene 2005, 357, 144–151. [Google Scholar] [CrossRef] [PubMed]
- Costas, B.; Aragão, C.; Mancera, J.M.; Dinis, M.T.; Conceição, L.E.C. High stocking density induces crowding stress and affects amino acid metabolism in Senegalese sole Solea senegalensis (Kaup 1858) juveniles. Aquac. Res. 2008, 39, 1–9. [Google Scholar] [CrossRef]
- Salas-Leiton, E.; Anguis, V.; Martín-Antonio, B.; Crespo, D.; Planas, J.V.; Infante, C.; Cañavate, J.P.; Manchado, M. Effects of stocking density and feed ration on growth and gene expression in the Senegalese sole (Solea senegalensis): Potential effects on the immune response. Fish Shellfish Immunol. 2010, 28, 296–302. [Google Scholar] [CrossRef] [PubMed]
- Gornati, R.; Papis, E.; Rimoldi, S.; Terova, G.; Saroglia, M.; Bernardini, G. Rearing density influences the expression of stress-related genes in sea bass (Dicentrarchus labrax, L.). Gene 2004, 341, 111–118. [Google Scholar] [CrossRef] [PubMed]
- Gornati, R.; Papis, E.; Rimoldi, S.; Chini, V.; Terova, G.; Prati, M.; Saroglia, M.; Bernardini, G. Molecular markers for animal biotechnology: Sea bass (Dicentrarchus labrax, L.) HMG-CoA reductase mRNA. Gene 2005, 344, 299–305. [Google Scholar] [CrossRef] [PubMed]
- Yarahmadi, P.; Paknejad, H.; Fayaz, S.; Caipang, C.M.A. Increased stocking density causes changes in expression of selected stress- and immune related genes, humoral innate immune parameters and stress responses of rainbow trout (Oncorhynchus mykiss). Fish Shellfish Immunol. 2016, 48, 43–53. [Google Scholar] [CrossRef]
- Bertola, L.D.; Ott, E.B.; Griepsma, S.; Vonk, F.J.; Bagowski, C.P. Developmental expression of the alpha-skeletal actin gene. BMC Evol. Biol. 2008, 8, 166. [Google Scholar] [CrossRef]
- Steinbacher, P.; Haslett, J.R.; Sänger, A.M.; Stoiber, W. Evolution of myogenesis in fish: A sturgeon view of the mechanisms of muscle development. Anat. Embryol. 2006, 211, 311–322. [Google Scholar] [CrossRef]
- Aidos, L.; Vasconi, M.; Abbate, F.; Valente, L.M.P.; Lanfranchi, M.; Di Giancamillo, A. Effects of stocking density on reared Siberian sturgeon (Acipenser baerii) larval growth, muscle development and fatty acids composition in a recirculating aquaculture system. Aquac. Res. 2019, 50, 588–598. [Google Scholar] [CrossRef]
- Glass, D.J. Molecular mechanisms modulating muscle mass. Trends Mol. Med. 2003, 9, 344–350. [Google Scholar] [CrossRef]
- Glass, D.J. Skeletal muscle hypertrophy and atrophy signaling pathways. Int. J. Biochem. Cell Biol. 2005, 37, 1974–1984. [Google Scholar] [CrossRef] [PubMed]
- Steinbacher, P.; Haslett, J.R.; Obermayer, A.; Marschallinger, J.; Bauer, H.C.; Sänger, A.M.; Stoiber, W. MyoD and Myogenin expression during myogenic phases in brown trout: A precocious onset of mosaic hyperplasia is a prerequisite for fast somatic growth. Dev. Dyn. Off. Publ. Am. Assoc. Anat. 2007, 236, 1106–1114. [Google Scholar]




| Genes | Primer Forward (5′–3′) | Primer Reverse (5′–3′) | Tm F | Tm R | Fragment Size (bp) |
|---|---|---|---|---|---|
| igf2 | GCTGAAACGCTATGTGGTG | GTGACCTTCGGATGTTTG | 59 | 60 | 109 |
| glut1 | AGCCCATTCCTCCAACCTC | GAGTTTCGCCTCCCAAAGC | 62 | 62 | 124 |
| glut2 | CTATCGTGGTGCCTTGGGA | GCCCCTGACAAGCCCAGAA | 62 | 64 | 132 |
| glut4 | GGCAGCCCATCATCATCGCC | CCACGCCCGCCTTCTCAAAG | 63 | 63 | 105 |
| Low-Density | Mid-Density | High-Density | |
|---|---|---|---|
| T1 | 29.83% ± 1.66 a | 36.50% ± 1.86 b | 35.66% ± 2.35 b |
| T2 | 0.66% ± 0.35 | 2.0% ± 0.88 | 3.3% ± 2.3 |
| Growth Parameters | T0 | Low-Density | Mid-Density | High-Density | |
|---|---|---|---|---|---|
| T0 | Body Weight mg | 12.65 ± 1.56 | |||
| Total Length mm | 10.5 ± 0.17 | ||||
| Condition Factor | 1.13 ± 0.05 | ||||
| T1 | Body Weight mg | 24.29 ± 0.92 | 24.08 ± 0.98 | 23.80 ± 0.95 | |
| Total Length mm | 15.35 ± 0.10 | 15.07 ± 0.18 | 15.33 ± 0.20 | ||
| Condition Factor | 0.67 ± 0.03 | 0.71 ± 0.03 | 0.67 ± 0.03 | ||
| Specific Growth Rate | 5.58 ± 0.28 | 5.51 ± 0.30 | 5.43 ± 0.30 | ||
| T2 | Body Weight mg | 33.01 ± 0.87 a | 30.31 ± 0.74 b | 30.15 ± 0.87 b | |
| Total Length mm | 17.73 ± 0.13 a | 16.96 ± 0.13 b | 17.11 ± 0.16 b | ||
| Condition Factor | 0.59 ± 0.03 | 0.62 ± 0.02 | 0.61 ± 0.03 | ||
| Specific Growth Rate | 3.72 ± 0.10 a | 3.27 ± 0.11 b | 3.36 ± 0.17 b | ||
© 2020 by the authors. Licensee MDPI, Basel, Switzerland. This article is an open access article distributed under the terms and conditions of the Creative Commons Attribution (CC BY) license (http://creativecommons.org/licenses/by/4.0/).
Share and Cite
Aidos, L.; Cafiso, A.; Serra, V.; Vasconi, M.; Bertotto, D.; Bazzocchi, C.; Radaelli, G.; Di Giancamillo, A. How Different Stocking Densities Affect Growth and Stress Status of Acipenser baerii Early Stage Larvae. Animals 2020, 10, 1289. https://doi.org/10.3390/ani10081289
Aidos L, Cafiso A, Serra V, Vasconi M, Bertotto D, Bazzocchi C, Radaelli G, Di Giancamillo A. How Different Stocking Densities Affect Growth and Stress Status of Acipenser baerii Early Stage Larvae. Animals. 2020; 10(8):1289. https://doi.org/10.3390/ani10081289
Chicago/Turabian StyleAidos, Lucia, Alessandra Cafiso, Valentina Serra, Mauro Vasconi, Daniela Bertotto, Chiara Bazzocchi, Giuseppe Radaelli, and Alessia Di Giancamillo. 2020. "How Different Stocking Densities Affect Growth and Stress Status of Acipenser baerii Early Stage Larvae" Animals 10, no. 8: 1289. https://doi.org/10.3390/ani10081289
APA StyleAidos, L., Cafiso, A., Serra, V., Vasconi, M., Bertotto, D., Bazzocchi, C., Radaelli, G., & Di Giancamillo, A. (2020). How Different Stocking Densities Affect Growth and Stress Status of Acipenser baerii Early Stage Larvae. Animals, 10(8), 1289. https://doi.org/10.3390/ani10081289

