Predicting Productive Performance in Grow-Finisher Pigs Using Birth and Weaning Body Weight
Simple Summary
Abstract
1. Introduction
2. Materials and Methods
2.1. Care and Use of Animals
2.2. Measurements
2.3. Statistical Analyses
2.3.1. Body Weight, Feed Intake and Feed Efficiency Traits
2.3.2. Birth and Weaning Body Weight Cut-Off Values
3. Results
3.1. Body Weight, Feed Intake and Feed Efficiency Traits
3.1.1. Model 1
3.1.2. Model 2
3.2. Cut-Off Values for Birth and Weaning Body Weight
3.2.1. Regression Tree Analysis
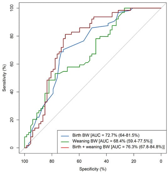
3.2.2. Receiver Operating Characteristic (ROC) Curve Analysis
4. Discussion
5. Conclusions
Author Contributions
Funding
Acknowledgments
Conflicts of Interest
References
- Rocadembosch, J.; Amador, J.; Bernaus, J.; Font, J.; Fraile, L.J. Production parameters and pig production cost: Temporal evolution 2010–2014. Porc. Heal. Manag. 2016, 2, 1–9. [Google Scholar] [CrossRef] [PubMed]
- Douglas, S.; Edwards, S.; Kyriazakis, I. Management strategies to improve the performance of low birth weight pigs to weaning and their long-term consequences. J. Anim. Sci. 2014, 92, 2280–2288. [Google Scholar] [CrossRef] [PubMed]
- Collins, C.L.; Pluske, J.R.; Morrison, R.S.; McDonald, T.N.; Smits, R.J.; Henman, D.J.; Stensland, I.; Dunshea, F.R. Post-weaning and whole-of-life performance of pigs is determined by live weight at weaning and the complexity of the diet fed after weaning. Anim. Nutr. 2017, 3, 372–379. [Google Scholar] [CrossRef] [PubMed]
- He, Y.; Deen, J.; Shurson, G.C.; Wang, L.; Chen, C.; Keisler, D.H.; Li, Y.Z. Identifying factors contributing to slow growth in pigs. J. Anim. Sci. 2016, 94, 2103–2116. [Google Scholar] [CrossRef] [PubMed]
- Quiniou, N.; Dagorn, J.; Gaudre, D. Variation of piglets’ birth weight and consequences on subsequent performance. Livest. Prod. Sci. 2002, 78, 63–70. [Google Scholar] [CrossRef]
- Beaulieu, A.D.; Aalhus, J.L.; Williams, N.H.; Patience, J.F. Impact of piglet birth weight, birth order, and litter size on subsequent growth performance, carcass quality, muscle composition, and eating quality of pork. J. Anim. Sci. 2010, 88, 2767–2778. [Google Scholar] [CrossRef]
- Foxcroft, G.; Bee, G.; Dixon, W.; Hahn, M.; Harding, J.; Patterson, J.; Putman, C.; Sarmento, S.; Smit, M.; Tse, W.-Y.; et al. Consequences of selection for litter size on piglet development. In Paradigms in Pig Science; Nottingham University Press: Nottingham, UK, 2007; pp. 207–229. ISBN 978-1-904761-56-3. [Google Scholar]
- Fix, J.S.; Cassady, J.P.; Holl, J.W.; Cassady, J.P.; Holl, J.W.; Herring, W.O.; Culbertson, M.S.; See, M.T. Effect of piglet birth weight on survival and quality of commercial market swine. Livest. Sci. 2010, 132, 98–106. [Google Scholar] [CrossRef]
- Beaulieu, A.; Shea, J.; Gillis, D. Development of diets for low birth-weight piglets to improve post-weaning growth performance and optimize net returns to the producer. In Proceedings of the 31st Annual Centralia Swine Research Update, Kirkton, ON, Canada, 25 January 2012. [Google Scholar]
- Wang, J.; Feng, C.; Liu, T.; Shi, M.; Wu, G.; Bazer, F.W. Physiological alterations associated with intrauterine growth restriction in fetal pigs: Causes and insights for nutritional optimization. Mol. Reprod. Dev. 2017, 84, 897–904. [Google Scholar] [CrossRef]
- Smith, A.L.; Stalder, K.J.; Serenius, T.V.; Baas, T.T.; Mabry, J.W. Effect of piglet birth weight on weights at weaning and 42 days post weaning. J. Swine Heal. Prod. 2007, 15, 213–218. [Google Scholar]
- Wolter, B.F.; Ellis, M. The effects of weaning weight and rate of growth immediately after weaning on subsequent pig growth performance and carcass characteristics. Can. J. Anim. Sci. 2001, 81, 363–369. [Google Scholar] [CrossRef]
- Calderón Díaz, J.A.; Diana, A.; Boyle, L.A.; Leonard, F.C.; McElroy, M.; McGettrick, S.; Moriarty, J.; Manzanilla, E.G. Delaying pigs from the normal production flow is associated with health problems and poorer performance. Porc. Heal. Manag. 2017, 3, 1–6. [Google Scholar] [CrossRef]
- Schinckel, A.; Brian, R.; Foster, K. Management of the Pigs in the Pork Production Chain. In Proceedings of the Fifth London Swine Conference, London, ON, Canada, 6–7 April 2005; pp. 115–131. [Google Scholar]
- Larriestra, A.J.; Wattanaphansak, S.; Neumann, E.J.; Bradford, J.; Morrison, R.B.; Deen, J. Pig characteristics associated with mortality and light exit weight for the nursery phase. Can. Vet. J. 2006, 47, 560–566. [Google Scholar]
- Calderón Díaz, J.A.; Boyle, L.A.; Diana, A.; Leonard, F.C.; Moriarty, J.P.; McElroy, M.C.; McGettrick, S.; Kelliher, D.; García Manzanilla, E. Early life indicators predict mortality, illness, reduced welfare and carcass characteristics in finisher pigs. Prev. Vet. Med. 2017, 146, 94–102. [Google Scholar] [CrossRef]
- Muns, R.; Nuntapaitoon, M.; Tummaruk, P. Non-infectious causes of pre-weaning mortality in piglets. Livest. Sci. 2016, 184, 46–57. [Google Scholar] [CrossRef]
- Patience, J.F.; Engele, K.; Beaulieu, A.D.; Gonyou, H.W.; Zijlstra, R.T. Variation: Costs and Consequences. Adv. Pork Prod. 2004, 15, 257–266. [Google Scholar]
- López-Vergé, S.; Gasa, J.; Farré, M.; Coma, J.; Bonet, J.; Solà-Oriol, D. Potential risk factors related to pig body weight variability from birth to slaughter in commercial conditions. Transl. Anim. Sci. 2018, 2, 383–395. [Google Scholar] [CrossRef]
- Gondret, F.; Lefaucheur, L.; Juin, H.; Louveau, I.; Lebret, B. Low birth weight is associated with enlarged muscle fiber area and impaired meat tenderness of the longissimus muscle in pigs. J. Anim. Sci. 2006, 84, 93–103. [Google Scholar] [CrossRef]
- Douglas, S.L.; Edwards, S.A.; Sutcliffe, E.; Knap, P.W.; Kyriazakis, I. Identification of risk factors associated with poor lifetime growth performance in pigs. J. Anim. Sci. 2013, 91, 4123–4132. [Google Scholar] [CrossRef] [PubMed]
- Huting, A.M.S.; Sakkas, P.; Wellock, I.; Almond, K.; Kyriazakis, I. Once small always small? To what extent morphometric characteristics and postweaning starter regime affect pig lifetime growth performance. Porc. Heal. Manag. 2018, 4, 1–14. [Google Scholar]
- Zeng, Z.K.; Urriola, P.E.; Dunkelberger, J.R.; Eggert, J.M.; Vogelzang, R.; Shurson, G.C.; Johnston, L.J. Implications of early life indicators for survival rate, subsequent growth performance, and carcass characteristics of commercial pigs. J. Anim. Sci. 2019, 97, 3313–3325. [Google Scholar] [CrossRef] [PubMed]
- Surek, D.; Almeida, L.M.; Panisson, J.C.; Krabbe, E.L.; Oliveira, S.G.; Alberton, G.C.; Maiorka, A. Impact of birth weight and daily weight gain during suckling on the weight gain of weaning piglets. Arq. Bras. Med. Vet. Zootec. 2019, 2034–2040. [Google Scholar] [CrossRef]
- SAS Institute Inc. SAS Institute Inc. SAS® 9.4; SAS Institute Inc.: Cary, NC, USA, 2013. [Google Scholar]
- Therneau, T.; Atkinson, B.; Ripley, B. Packege “rpart”: Recursive Partitioning for Classification, Regression and Survival Trees. Available online: https://cran.r-project.org/web/packages/rpart/rpart.pdf (accessed on 20 July 2019).
- R Core Team. R: A Language and Environment for Statistical Computing; R Foundation for Statistical Computing: Vienna, Austria, 2019. [Google Scholar]
- Turck, N.; Vutskits, L.; Sanchez-Pena, P.; Robin, X.; Hainard, A.; Gex-Fabry, M.; Fouda, C.; Bassem, H.; Mueller, M.; Lisacek, F.; et al. pROC: An open-source package for R and S+ to analyze and compare ROC curves. BMC Bioinform. 2011, 8, 12–77. [Google Scholar]
- Greiner, M.; Pfeiffer, D.; Smith, R.D. Principles and practical application of the receiver-operating characteristic analysis for diagnostic tests. Prev. Vet. Med. 2000, 45, 23–41. [Google Scholar] [CrossRef]
- Fluss, R.; Faraggi, D.; Reiser, B. Estimation of the Youden Index and its associated cutoff point. Biometrical. J. 2005, 47, 458–472. [Google Scholar] [CrossRef]
- Gondret, F.; Lefaucheur, L.; Louveau, I.; Lebret, B.; Pichodo, X.; Le Cozler, Y. Influence of piglet birth weight on postnatal growth performance, tissue lipogenic capacity and muscle histological traits at market weight. Livest. Prod. Sci. 2005, 93, 137–146. [Google Scholar] [CrossRef]
- Nissen, P.M.; Jorgensen, P.F.; Oksbjerg, N. Within-litter variation in muscle fiber characteristics, pig performance, and meat quality traits. J. Anim. Sci. 2004, 82, 414–421. [Google Scholar] [CrossRef]
- Rehfeldt, C.; Kuhn, G. Consequences of birth weight for postnatal growth performance and carcass quality in pigs as related to myogenesis. J. Anim. Sci. 2006, 84, E113–E123. [Google Scholar] [CrossRef]
- Rehfeldt, C.; Tuchscherer, A.; Hartung, M.; Kuhn, G. A second look at the influence of birth weight on carcass and meat quality in pigs. Meat Sci. 2008, 78, 170–175. [Google Scholar] [CrossRef] [PubMed]
- Le Dividich, J. A review—Neonatal and weaner pig: Management to reduce variation. In Manipulating Pig Production VII; APSA: Werribee, Australia, 1999; pp. 135–155. [Google Scholar]
- Michiels, J.; De Vos, M.; Missotten, J.; Ovyn, A.; De Smet, S.; Van Ginneken, C. Maturation of digestive function is retarded and plasma antioxidant capacity lowered in fully weaned low birth weight piglets. Br. J. Nutr. 2013, 109, 65–75. [Google Scholar] [CrossRef]
- Pluske, J.R.; Kerton, D.J.; Cranwell, P.D.; Campbell, R.G.; Mullan, B.P.; King, R.H.; Power, G.N.; Pierzynowski, S.G.; Westrom, B.; Rippe, C.; et al. Age, sex, and weight at weaning influence organ weight and gastrointestinal development of weanling pigs. Aust. J. Agric. Res. 2003, 54, 515–527. [Google Scholar] [CrossRef]
- Paredes, S.P.; Jansman, A.J.M.; Verstegen, M.W.A.; Awati, A.; Buist, W.; Den Hartog, L.A.; Gerrits, W.J.J. Analysis of factors to predict piglet body weight at the end of the nursery phase. J. Anim. Sci. 2012, 90, 3243–3251. [Google Scholar] [CrossRef] [PubMed]
- Handel, S.E.; Stickland, N.C. Catch-up growth in pigs: A relationship with muscle cellularity. Anim. Prod. 1988, 47, 291–295. [Google Scholar] [CrossRef]
- Pardo, C.E.; Bérard, J.; Kreuzer, M.; Bee, G. Intrauterine crowding impairs formation and growth of secondary myofibers in pigs. Animal 2013, 7, 430–438. [Google Scholar] [CrossRef] [PubMed]
- Dwyer, C.M.; Fletcher, J.M.; Stickland, N.C. Muscle cellularity and postnatal growth in the pig. J. Anim. Sci. 1993, 71, 3339–3343. [Google Scholar] [CrossRef]
- Foxcroft, G.R.; Dixon, W.T.; Novak, S.; Putman, C.T.; Town, S.C.; Vinsky, M.D. The biological basis for prenatal programming of postnatal performance in pigs. J. Anim. Sci. 2006, 84, 105–112. [Google Scholar] [CrossRef]
- Wu, G.; Bazer, F.W.; Wallace, J.M.; Spencer, T.E. Board-invited review: Intrauterine growth retardation: Implications for the animal sciences. J. Anim. Sci. 2006, 84, 2316–2337. [Google Scholar] [CrossRef]
- Muns, R.; Tummaruk, P. Management strategies in farrowing house to improve piglet pre-weaning survival and growth. Thai. J. Vet. Med. 2016, 46, 347–354. [Google Scholar]
- Nuntapaitoon, M.; Muns, R.; Tummaruk, P. Newborn traits associated with pre-weaning growth and survival in piglets. Asian-Australas. J. Anim. Sci. 2018, 31, 237–244. [Google Scholar] [CrossRef]
- Douglas, S.; Wellock, I.; Edwards, S.; Kyriazakis, I. High specification starter diets improve the performance of low birth weight pigs to 10 weeks of age. J. Anim. Sci. 2014, 92, 4741–4750. [Google Scholar] [CrossRef]
- Paredes, S.P.; Jansman, A.J.; Verstegen, M.W.; den Hartog, L.A.; van Hees, H.M.; Bolhuis, J.E.; van Kempen, T.A.; Gerrits, W.J. Identifying the limitations for growth in low performing piglets from birth until 10 weeks of age. Animal 2014, 8, 923–930. [Google Scholar] [CrossRef] [PubMed]
- Patience, J.F.; Rossoni-Serão, M.C.; Gutiérrez, N.A. A review of feed efficiency in swine: Biology and application. J. Anim. Sci. Biotechnol. 2015, 6, 1–9. [Google Scholar] [CrossRef]
- Camp Montoro, J.; Solà-Oriol, D.; Muns, R.; Llanes, N.; Manzanilla, E.G. Slow Growing Pigs Show a Response on Feed Conversion Ratio to High Levels of Standard Ileal Digestive Lysine. Available online: https://www.researchgate.net/publication/340461541_Slow_growing_pigs_show_a_response_on_feed_conversion_ratio_to_high_levels_of_standard_ileal_digestive_lysine (accessed on 12 June 2020).
- Mahan, D.C.; Lepine, A.J. Effect of pig weaning weight and associated nursery feeding programs on subsequent performance to 105 kilograms body weight. J. Anim. Sci. 1991, 69, 1370–1378. [Google Scholar] [CrossRef]
- Damgaard, L.H.; Rydhmer, L.; Løvendahl, P.; Grandinson, K. Genetic parameters for within-litter variation in piglet birth weight and change in within-litter variation during suckling. J. Anim. Sci. 2003, 81, 604–610. [Google Scholar] [CrossRef]
- López-Vergé, S.; Gasa, J.; Coma, J.; Bonet, J.; Solà-Oriol, D. Effect of lactation length caused by the management production system on piglet performance until slaughter. Livest. Sci. 2019, 224, 26–30. [Google Scholar] [CrossRef]
- Owsley, F.; Rodning, S.; Floyd, J. Scheduling All-In/All-Out Swine Production; Alabama Cooperative Extension System, Alabama A&M University and Auburn University: Auburn, AL, USA, 1994; pp. 1–9. [Google Scholar]
- O’Quinn, P.R.; Dritz, S.S.; Goodband, R.D.; Tokach, M.D.; Swanson, J.C.; Nelssen, J.L.; Musser, R.E. Sorting growing-finishing pigs by weight fails to improve growth performance or weight variation. J. Swine Heal. Prod. 2001, 9, 11–16. [Google Scholar]
- Brumm, M.C.; Ellis, M.; Johnston, L.J.; Rozeboom, D.W.; Zimmerman, D.R.; Apgar, G.; Christenson, R.K.; Christianson, L.; Goodband, R.; Harmon, J.D.; et al. Effect of removal and remixing of lightweight pigs on performance to slaughter weights. J. Anim. Sci. 2002, 80, 1166–1172. [Google Scholar] [CrossRef] [PubMed]
- Huting, A.M.S.; Almond, K.; Wellock, I.; Kyriazakis, I. What is good for small piglets might not be good for big piglets: The consequences of cross-fostering and creep feed provision on performance to slaughter. J. Anim. Sci. 2017, 95, 4926–4944. [Google Scholar] [CrossRef]
- Beaulieu, A.D.; Williams, N.H.; Patience, J.F. Response to dietary digestible energy concentration in growing pigs fed cereal grain-based diets. J. Anim. Sci. 2009, 87, 965–976. [Google Scholar] [CrossRef]
- Vieira, M.; Ribeiro, A.; Kessler, A.; Chiba, L.; Bockor, L. Performance and body composition of light and heavy early-weaning piglets subject to different dietary energy levels. Livest. Sci. 2015, 178, 272–278. [Google Scholar] [CrossRef]
- Nissen, P.; Oksbjerg, N. Birth weight and postnatal dietary protein level affect performance, muscle metabolism and meat quality in pigs. Animal 2011, 5, 1382–1389. [Google Scholar] [CrossRef] [PubMed]
- López-Vergé, S.; Gasa, J.; Temple, D.; Bonet, J.; Coma, J.; Solà-Oriol, D. Strategies to improve the growth and homogeneity of growing-finishing pigs: Feeder space and feeding management. Porc. Heal. Manag. 2018, 4, 1–9. [Google Scholar] [CrossRef] [PubMed]


| Trait | SMALL–SMALL | SMALL–BIG | BIG–SMALL | BIG–BIG | p-Value | ||||
|---|---|---|---|---|---|---|---|---|---|
| Mean | SD | Mean | SD | Mean | SD | Mean | SD | ||
| Birth BW, kg | 0.9 b | 0.13 | 1.0 b | 0.13 | 1.4 a | 0.22 | 1.4 a | 0.19 | <0.001 |
| Weaning BW, kg | 4.0 d | 0.95 | 6.8 b | 0.99 | 4.6 c | 0.74 | 8.0 a | 0.83 | <0.001 |
| ADG lactation, g | 121.1 c | 39.00 | 228.3 b | 33.39 | 128.5 c | 29.43 | 257.3 a | 31.15 | <0.001 |
| Sow parity | 3.7 | 2.01 | 3.0 | 2.17 | 4.0 | 2.04 | 3.9 | 2.09 | 0.189 |
| Litter size | 16.9 | 2.55 | 16.9 | 2.67 | 16.7 | 2.81 | 17.5 | 2.43 | 0.614 |
| Trait | Birth BW × Weaning BW | p-Value | ||||||
|---|---|---|---|---|---|---|---|---|
| SMALL–SMALL | SMALL–BIG | BIG–SMALL | BIG–BIG | SEM | Birth BW | Weaning BW | Interaction | |
| BW, kg | ||||||||
| 6 wk | 8.3 d | 9.9 c | 11.7 b | 12.9 a | 0.29 | <0.001 | <0.001 | 0.479 |
| 20 wk 1 | 86.1 b | 100.3 a | 100.6 a | 104.7 a | 2.22 | <0.001 | <0.001 | 0.025 |
| ADG, g | 868.4 b | 975.6 a | 944.1 a | 977.6 a | 21.02 | 0.001 | 0.066 | 0.081 |
| ADFI, g | 1690.1 b | 1948.7 a | 2133.2 a | 1999.5 a | 52.41 | 0.235 | <0.001 | <0.001 |
| FCR | 1.91 b | 1.96 b | 2.19 a | 2.00 b | 0.02 | 0.005 | <0.001 | <0.001 |
| Trait | Birth BW × Weaning BW | p-Value | ||||||
|---|---|---|---|---|---|---|---|---|
| SMALL–SMALL | SMALL–BIG | BIG–SMALL | BIG–BIG | SEM | Birth BW | Weaning BW | Interaction | |
| ADG, g | 849.6 b | 939.7 a | 911.2 a | 937.7 a | 14.01 | <0.001 | 0.035 | 0.025 |
| ADFI, g | 1787.7 b | 1906.1 b | 2051.1 a | 1884.9 b | 33.72 | 0.48 | <0.001 | <0.001 |
| FCR | 2.12 b | 2.04 b | 2.26 a | 2.01 b | 0.03 | <0.001 | 0.073 | 0.015 |
| DTSW, d | 167.1 b | 153.0 a | 155.3 a | 150.4 a | 2.04 | <0.001 | <0.001 | 0.025 |
| Predictor Variable | AUC, % (95% CI) | p-Value | Sensitivity, % | Specificity, % | Optimal Cut-Off Value, kg |
|---|---|---|---|---|---|
| Birth BW | 72.7 (64.0–81.5) | <0.001 | 71.6 | 70.3 | 1.1 |
| Weaning BW | 68.4 (59.4–77.5) | 0.001 | 77.6 | 53.1 | 6.7 |
| Birth + Weaning BW | 76.3 (67.8–84.8) | <0.001 | - | - | - |
© 2020 by the authors. Licensee MDPI, Basel, Switzerland. This article is an open access article distributed under the terms and conditions of the Creative Commons Attribution (CC BY) license (http://creativecommons.org/licenses/by/4.0/).
Share and Cite
Camp Montoro, J.; Manzanilla, E.G.; Solà-Oriol, D.; Muns, R.; Gasa, J.; Clear, O.; Calderón Díaz, J.A. Predicting Productive Performance in Grow-Finisher Pigs Using Birth and Weaning Body Weight. Animals 2020, 10, 1017. https://doi.org/10.3390/ani10061017
Camp Montoro J, Manzanilla EG, Solà-Oriol D, Muns R, Gasa J, Clear O, Calderón Díaz JA. Predicting Productive Performance in Grow-Finisher Pigs Using Birth and Weaning Body Weight. Animals. 2020; 10(6):1017. https://doi.org/10.3390/ani10061017
Chicago/Turabian StyleCamp Montoro, Jordi, Edgar Garcia Manzanilla, David Solà-Oriol, Ramon Muns, Josep Gasa, Oliver Clear, and Julia Adriana Calderón Díaz. 2020. "Predicting Productive Performance in Grow-Finisher Pigs Using Birth and Weaning Body Weight" Animals 10, no. 6: 1017. https://doi.org/10.3390/ani10061017
APA StyleCamp Montoro, J., Manzanilla, E. G., Solà-Oriol, D., Muns, R., Gasa, J., Clear, O., & Calderón Díaz, J. A. (2020). Predicting Productive Performance in Grow-Finisher Pigs Using Birth and Weaning Body Weight. Animals, 10(6), 1017. https://doi.org/10.3390/ani10061017

