Optimal Background Color for Head-Starting Northern River Terrapins (Batagur baska Gray, 1831)
Simple Summary
Abstract
1. Introduction
2. Materials and Methods
3. Results
3.1. Survival, Growth Performance, and Feed Utilization
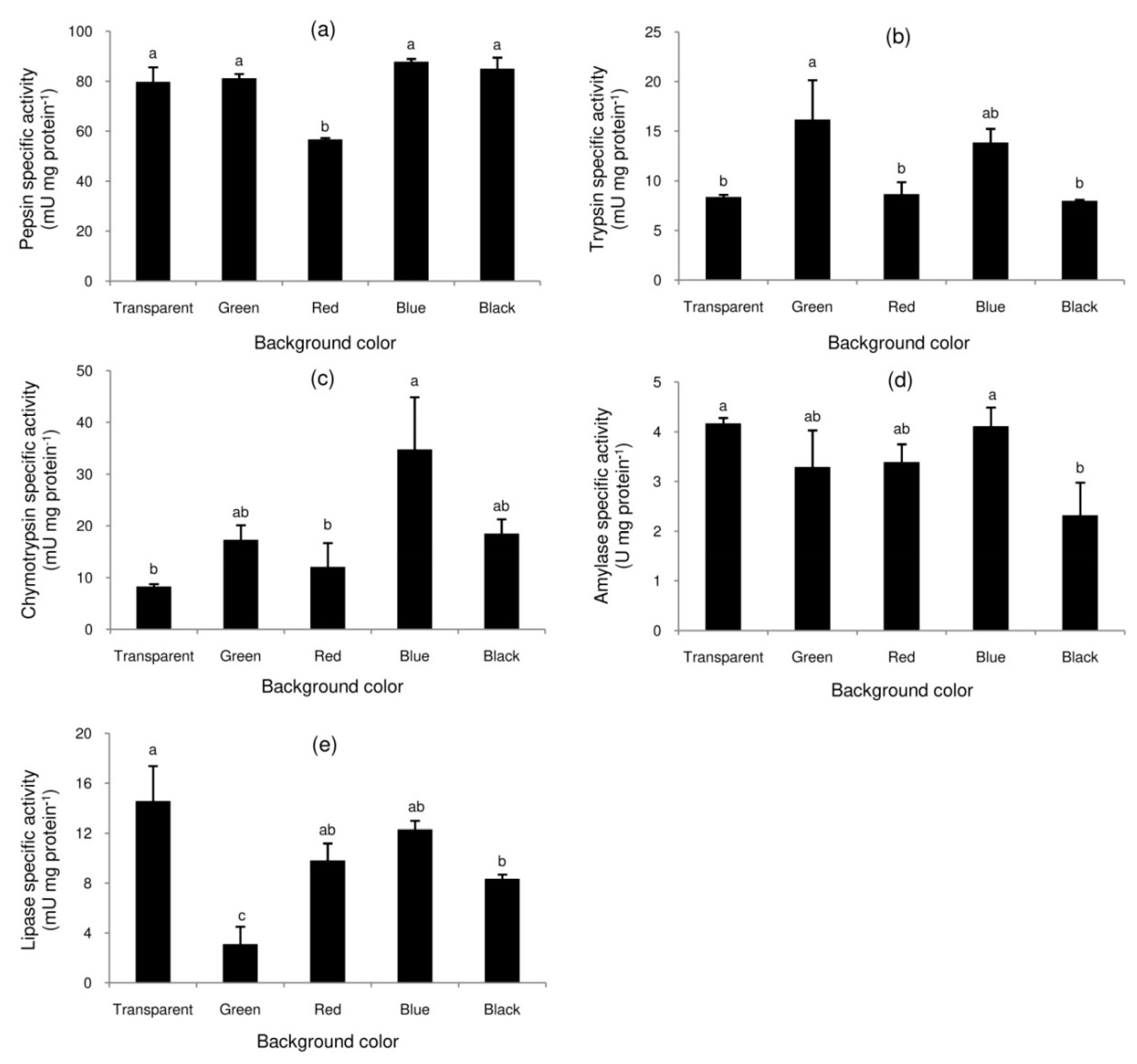
3.2. Specific Activity of Gastric and Pancreatic Enzymes in Fecal Samples
3.3. Thermal Properties of Feces
3.4. Carapace Elemental Profiles
3.5. Hematological Parameter
4. Discussion
5. Conclusions
Author Contributions
Funding
Acknowledgments
Conflicts of Interest
References
- Moll, E.O.; Platt, K.; Platt, S.G.; Praschag, P.; van Dijk, P.P. Batagur baska (Gray, 1831)–Northern river terrapin. In Conservation Biology of Freshwater Turtles and Tortoises: A Compilation Project of the IUCN/SSC Tortoise and Freshwater Turtle Specialist Group; Rhodin, A.G.J., Pritchard, P.C.H., van Dijk, P.P., Saumure, R.A., Buhlmann, K.A., Iverson, J.B., Mittermeier, R.A., Eds.; Chelonian Research Foundation: Lunenburg, MA, USA, 2009; pp. 037.1–037.10. [Google Scholar]
- Platt, M.; Thorbjarnarson, J.; Thirakhupt, K. An overview of the current population and conservation status of the critically endangered river terrapin, Batagur baska (Gray, 1831) in Myanmar, Thailand and Malaysia. Nat. Hist. J. Chulalongkorn Univ. 2007, 7, 51–65. [Google Scholar]
- Rowe, J.W.; Clark, D.L.; Ryan, C.; Tucker, J.K. Effect of substrate color on pigmentation in midland painted turtles (Chrysemys picta marginata) and red-eared slider turtles (Trachemys scripta elegans). J. Herpetol. 2006, 40, 358–364. [Google Scholar] [CrossRef]
- Rowe, J.W.; Clark, D.L.; Price, M.; Tucker, J.K. Reversible melanization following substrate color reversal in midland painted turtles (Chrysemys picta marginata) and red-eared sliders (Trachemys scripta elegans). J. Herpetol. 2009, 43, 402–408. [Google Scholar] [CrossRef]
- Duarte, R.C.; Flores, A.A.V.; Stevens, M. Camouflage through colour change: Mechanisms, adaptive value and ecological significance. Philos. Trans. R. Soc. 2017, 372B, 20160342. [Google Scholar] [CrossRef] [PubMed]
- Stuart-Fox, D.; Moussalli, A. Camouflage, communication and thermoregulation: Lessons from colour changing organisms. Philos. Trans. R. Soc. 2009, 364B, 463–470. [Google Scholar] [CrossRef] [PubMed]
- Arnold, K.; Neumeyer, C. Wavelength discrimination in the turtle Pseudemys scripta elegans. Vis. Res. 1987, 27, 1501–1511. [Google Scholar] [PubMed]
- Fontaine, C.T.; Marvin, K.T.; Williams, T.D.; Browning, W.J.; Harris, R.M.; Indelicato, K.L.W.; Shattuch, G.A.; Sadler, R.A. The Husbandry of Hatchling to Yearling Kemp’s Ridley Sea Turtles (Lepidochelys kempii); National Technical Information Service: Springfield, IL, USA, 1985; pp. 20–21. [Google Scholar]
- Passos, L.F.; Mello, H.E.S.; Young, R.J. Enriching tortoises: Assessing color preference. J. Appl. Anim. Welf. Sci. 2014, 17, 274–281. [Google Scholar] [CrossRef]
- Pellitteri-Rosa, D.; Sacchi, R.; Galeotti, P.; Marchesi, M.; Fasola, M. Do Hermann’s tortoises (Testudo hermanni) discriminate colours? An experiment with natural and artificial stimuli. Ital. J. Zool. 2010, 77, 481–491. [Google Scholar] [CrossRef]
- Bayrami, A.; Noverian, H.A.; Sharif, E.A. Effects of background colour on growth indices and stress of young starlet (Acipenser ruthenus) in a closed circulated system. Aquac. Res. 2017, 48, 2004–2011. [Google Scholar] [CrossRef]
- Eslamloo, K.; Falahatkar, B.; Ashouri, G.; Morshedi, V. Effects of Background Color on Survival and Growth Performance in Convict Cichlid (Cichlasoma nigrofasciatum). In Proceedings of the Aquaculture Europe 2010, Porto, Portugal, 5–8 October 2010. European Aquaculture Society. [Google Scholar]
- Eslamloo, K.; Akhavan, S.R.; Eslamifar, A.; Henry, M. Effects of background colour on growth performance, skin pigmentation, physiological condition and innate immune responses of goldfish, Carassius auratus. Aquac. Res. 2015, 46, 202–215. [Google Scholar] [CrossRef]
- Karakatsouli, N.; Papoutsoglou, S.E.; Manolessos, G. Combined effects of rearing density and tank colour on the growth and welfare of juvenile white sea bream Diplodus sargus L. in a recirculating water system. Aquac. Res. 2007, 38, 1152–1160. [Google Scholar] [CrossRef]
- Papoutsoglou, S.E.; Mylonakis, G.; Miliou, H.; Karakatsouli, N.P.; Chadio, S. Effects of background color on growth performances and physiological responses of scaled carp (Cyprinus carpio L.) reared with a closed circulated system. Aquac. Eng. 2000, 22, 309–318. [Google Scholar] [CrossRef]
- Ramzanzadeh, F.; Yeganeh, S.; JaniKhalili, K.; Babaei, S.S. Effects of different photoperiods on digestive enzyme activities in rainbow trout (Oncorhynchus mykiss) alevin and fry. Can. J. Zool. 2016, 94, 435–442. [Google Scholar] [CrossRef]
- Wei, Z.Z.; Zhao, W. Effect of light intensity on the growth and digestive enzyme activity of juvenile sea cucumber Apostichopus japonicus under two kinds of culture methods. Chinese J. Appl. Ecol. 2014, 25, 237–242. [Google Scholar]
- Kanghae, H.; Thongprajukaew, K.; Madlee, A.; Kittiwattanawong, K. Is artificial feed suitable for juvenile green turtles (Chelonia mydas)? Aquaculture 2014, 428–429, 97–103. [Google Scholar] [CrossRef]
- Kanghae, H.; Thongprajukaew, K.; Jatupornpitukchat, S.; Kittiwattanawong, K. Optimal- rearing density for head-starting green turtles (Chelonia mydas Linnaeus, 1758). Zoo Biol. 2016, 35, 454–461. [Google Scholar] [CrossRef]
- Kanghae, H.; Thongprajukaew, K.; Phromkunthong, W.; Plangsri, S.; Jatupornpitukchat, S.; Kittiwattanawong, K. Pre-soaking of the feed pellets: A trick for successful feed utilization in juvenile green turtles (Chelonia mydas Linnaeus, 1758). J. Anim. Physiol. Anim. Nutr. 2017, 101, 329–338. [Google Scholar] [CrossRef]
- Lowry, O.H.; Rosenbrough, N.J.; Farr, A.L.; Randall, R.J. Protein measurement with the Folin phenol reagent. J. Biol. Chem. 1951, 193, 265–275. [Google Scholar]
- Worthington, V. Worthington Enzyme Manual. Enzymes and Related Biochemicals; Worthington Chemical: New Jersey, NJ, USA, 1993; p. 399. [Google Scholar]
- Rungruangsak-Torrissen, K.; Moss, R.; Andresen, L.H.; Berg, A.; Waagbo, R. Different expressions of trypsin and chymotrypsin in relation to growth in Atlantic salmon (Salmo salar L.). Fish. Physiol. Biochem. 2006, 32, 7–23. [Google Scholar] [CrossRef]
- Bernfeld, P. Enzymes of starch degradation and synthesis. Adv. Enzymol. 1951, 12, 379–428. [Google Scholar]
- Winkler, U.K.; Stuckmann, M. Glycogen, hyaluronate and some other polysaccharides greatly enhance the formation of exolipase by Serratia marcescens. J. Bacteriol. 1979, 138, 663–670. [Google Scholar] [CrossRef] [PubMed]
- Kanghae, H.; Thongprajukaew, K.; Yeetam, P.; Jarit-ngam, T.; Hwan-air, W.; Rueangjeen, S.; Kittiwattanawong, K. Optimal feeding frequency of captive head-started green turtles (Chelonia mydas). J. Anim. Physiol. Anim. Nutr. 2017, 101, 667–675. [Google Scholar] [CrossRef] [PubMed]
- Blaxhall, P.C.; Daisley, K.W. Routine haematological methods for use with fish blood. J. Fish. Biol. 1973, 5, 771–781. [Google Scholar] [CrossRef]
- Larsen, H.N.; Snieszko, S.F. Comparison of various methods of determination of haemoglobin in trout blood. Prog. Fish. Cult. 1961, 23, 8–17. [Google Scholar] [CrossRef]
- Dacie, J.V.; Lewis, S.M. Practical Haematology. In Practical Haematology, 9th ed.; Lewis, S.M., Bain, B.J., Bates, I., Eds.; Churchill Livingstone: London, UK, 2001; pp. 444–451. [Google Scholar]
- El-Sayed, A.F.M.; El-Ghobashy, A.E. Effects of tank colour and feed colour on growth and feed utilization of thinlip mullet (Liza ramada) larvae. Aquac. Res. 2011, 42, 1163–1169. [Google Scholar] [CrossRef]
- Yamanome, T.; Amano, M.; Takahashi, A. White background reduces the occurrence of staining, activates melanin-concentrating hormone and promotes somatic growth in barfin flounder. Aquaculture 2005, 244, 323–329. [Google Scholar] [CrossRef]
- Córdova-Murueta, J.H.; García-Carreño, F.L.; Navarrete-del-Toro, M.A. Digestive enzymes present in crustacean feces as a tool for biochemical, physiological, and ecological studies. J. Exp. Mar. Biol. Ecol. 2003, 297, 43–56. [Google Scholar] [CrossRef]
- Songnui, A.; Thongprajukaew, K.; Kanghae, H.; Satjarak, J.; Kittiwattanawong, K. Water depth and feed pellet type effects on growth and feed utilization in the rearing of green turtle (Chelonia mydas Linnaeus, 1758). Aquat. Liv. Resour. 2017, 3, 18. [Google Scholar] [CrossRef]
- Eshel, A.; Lindner, P.; Smirnoff, P.; Newton, S.; Harpaz, S. Comparative study of proteolytic enzymes in the digestive tracts of the European sea bass and hybrid striped bass reared with freshwater. Comp. Biochem. Physiol. 1993, 106A, 627–634. [Google Scholar] [CrossRef]
- Romijn, J.A.; Godfried, M.H.; Hommes, M.J.T.; Endert, E.; Sauerwein, H.P. Decreased glucose oxidation during short-term starvation. Metabolism 1990, 39, 525–530. [Google Scholar] [CrossRef]
- Cuvier-Péres, A.; Jourdan, S.; Fontaine, P.; Kestemont, P. Effects of light intensity on animal husbandry and digestive enzyme activities in sea bass Dicentrarchus labrax post-larvae. Aquaculture 2001, 202, 317–328. [Google Scholar] [CrossRef]
- Shan, X.J.; Xiao, Z.Z.; Huang, W.; Dou, S.Z. Effects of photoperiod on growth, mortality and digestive enzymes in miiuy croaker larvae and juveniles. Aquaculture 2008, 281, 70–76. [Google Scholar] [CrossRef]
- Wang, T.; Cheng, Y.Z.; Liu, Z.P.; Long, X.H. Effects of light intensity on husbandry parameters, digestive enzymes and whole-body composition of juvenile Epinephelus coioides reared in artificial sea water. Aquac. Res. 2015, 46, 884–892. [Google Scholar] [CrossRef]
- Wattanakul, W.; Thongprajukaew, K.; Songnui, A.; Satjarak, J.; Kanghae, H. Pre-soaking feed pellet significantly improved feed utilization in Asian seabass (Lates calcarifer). Aquaculture 2017, 471, 106–112. [Google Scholar] [CrossRef]
- Espinoza, E.O.; Baker, B.W. The analysis of sea turtle and bovid keratin artefacts using drift spectroscopy and discriminant analysis. Archaeometry 2007, 49, 685–698. [Google Scholar] [CrossRef]
- Rhee, H.; Horstemeyer, M.F.; Hwang, Y.; Lim, H.; El Kadiri, H.; Trim, W. A study on the strcture and mechanical behavior of the Terrapene carolina carapace: A pathway to design bio-inspired synthetic composites. Mat. Sci. Eng. 2009, 29C, 2333–2339. [Google Scholar] [CrossRef]
- Meiling, H.; Haitao, S.; Lirong, F.; Shiping, G.; Fong, J.J.; Parham, J.F. Scientific refutation of traditional Chinese medicine claims about turtles. Appl. Herpetol. 2008, 5, 173–187. [Google Scholar] [CrossRef]
- Islam, M.S.; Howlider, M.A.R.; Kabir, F.; Alam, J. Comparative assessment of fertility and hatchability of Barred Plymouth Rock, white leghorn, Rhode Island Red and White rock hen. Int. J. Poult. Sci. 2002, 1, 85–90. [Google Scholar]
- Ademolu, K.O.; Idowu, A.B.; Mafiana, C.F.; Osinowo, O.A. Performance, proximate and mineral analyses of African giant land snail (Archactina marginata) fed different nitrogen sources. Afr. J. Biotechnol. 2004, 3, 412–417. [Google Scholar] [CrossRef]
- Jatto, O.E.; Asia, I.O.; Medjor, W.E. Proximate and mineral composition of different species of snail shell. Pac. J. Sci. Technol. 2010, 11, 416–419. [Google Scholar]
- Li, X.F.; Tian, H.Y.; Zhang, D.D.; Jiang, G.Z.; Liu, W.B. Feeding frequency affects stress, innate immunity and disease resistance of juvenile blunt snout bream Megalobrama amblycephala. Fish Shellfish Immunol. 2014, 38, 80–87. [Google Scholar] [CrossRef] [PubMed]
- Jacobson, E.R.; Adams, H.P.; Geisbert, T.W.; Tucker, S.J.; Hall, B.J.; Homer, B.L. Pulmonary lesions in experimental ophidian paramyxovirus pneumonia of Aruba island rattlesnakes, Crotalus unicolor. Vet. Pathol. 1997, 34, 450–459. [Google Scholar] [CrossRef] [PubMed]
- Fazio, E.; Medica, P.; Bruschetta, G.; Ferlazzo, A. Do handling and transport stress adrenocortical response in the tortoises (Testudo hermanni)? ISRN Vet. Sci. 2014, 798273. [Google Scholar] [CrossRef] [PubMed]
- Zhou, X.; Xie, M.; Niu, C.; Sun, R. The effects of dietary vitamin C on growth, liver vitamin C and serum cortisol in stressed and unstressed juvenile soft-shelled turtles (Pelodiscus sinensis). Comp. Biochem. Physiol. 2003, 135A, 263–270. [Google Scholar] [CrossRef]
- Sandor, T. Corticosteroids in amphibia, reptilia and aves. In Steroids in Nonmammalian Vertebrates; Idler, D.R., Ed.; Academic Press: New York, NY, USA, 1972; pp. 253–323. [Google Scholar]
- Vera, F.; Daniel Antenucci, C.; Zenuto, R.R. Cortisol and corticosterone exhibit different seasonal variation and responses to acute stress and captivity in tuco-tucos (Ctenomys talarum). Gen. Comp. Endocrinol. 2011, 170, 550–557. [Google Scholar] [CrossRef]

| Parameter | Background Color | p-Value | ||||
|---|---|---|---|---|---|---|
| Transparent | Green | Red | Blue | Black | ||
| Survival (%) | 100 | 100 | 100 | 100 | 100 | – |
| FBW (g) | 125.50 ± 11.65 | 148.46 ± 10.31 | 136.59 ± 5.37 | 136.14 ± 10.64 | 143.94 ± 6.16 | 0.495 |
| SCW (cm) | 8.99 ± 0.11 | 9.39 ± 0.07 | 9.31 ± 0.13 | 9.32 ± 0.21 | 9.42 ± 0.15 | 0.285 |
| SCL (cm) | 8.97 ± 0.33 | 9.42 ± 0.17 | 9.37 ± 0.17 | 9.40 ± 0.33 | 9.53 ± 0.09 | 0.531 |
| BCI (kg cm−1) | 1.73 ± 0.03 | 1.62 ± 0.03 | 1.66 ± 0.08 | 1.64 ± 0.04 | 1.66 ± 0.06 | 0.659 |
| SGR (% BW day−1) | 0.92 ± 0.16 | 1.05 ± 0.18 | 0.94 ± 0.10 | 1.04 ± 0.02 | 1.01 ± 0.11 | 0.702 |
| FR (% BW day−1) | 0.89 ± 0.02 c | 1.11 ± 0.06 a | 1.00 ± 0.01 ab | 1.03 ± 0.01 ab | 1.04 ± 0.02 ab | 0.018 |
| FCR (g feed g gain−1) | 1.46 ± 0.03 a | 1.21 ± 0.01 b | 1.06 ± 0.02 c | 1.03 ± 0.01 c | 1.08 ± 0.05 c | 0.001 |
| PER (g gain g protein−1) | 1.96 ± 0.04 c | 2.36 ± 0.01 b | 2.71 ± 0.04 a | 2.77 ± 0.01 a | 2.66 ± 0.11 a | 0.002 |
| Thermal Parameter | Background Color | p-Value | ||||
|---|---|---|---|---|---|---|
| Transparent | Green | Red | Blue | Black | ||
| Peak 1 | ||||||
| To (°C) | 83.88 ± 0.76 | 81.67 ± 1.03 | 81.89 ± 0.25 | ND | 82.39 ± 0.74 | 0.495 |
| Tp (°C) | 92.17 ± 1.55 | 91.50 ± 0.93 | 90.44 ± 0.48 | ND | 89.93 ± 0.58 | 0.388 |
| Tc (°C) | 98.95 ± 2.69 | 93.29 ± 6.57 | 97.22 ± 1.33 | ND | 95.00 ± 1.57 | 0.724 |
| Tc–To (°C) | 15.07 ± 2.02 | 14.52 ± 5.02 | 15.33 ± 1.29 | ND | 14.50 ± 2.07 | 0.745 |
| ΔH (J g−1) | 2.27 ± 0.65b | 4.15 ± 0.51b | 3.32 ± 0.81b | ND | 8.11 ± 1.35a | 0.020 |
| Peak 2 | ||||||
| To (°C) | 351.01 ± 2.29 | 351.12 ± 1.77 | 349.38 ± 0.76 | 351.84 ± 0.92 | 349.93 ± 0.99 | 0.769 |
| Tp (°C) | 368.56 ± 1.72 | 369.55 ± 1.77 | 367.39 ± 1.18 | 369.56 ± 0.47 | 369.00 ± 2.04 | 0.844 |
| Tc (°C) | 384.52 ± 2.99 | 389.50 ± 3.84 | 386.07 ± 2.65 | 385.51 ± 1.37 | 393.97 ± 3.66 | 0.242 |
| Tc–To (°C) | 33.51 ± 1.34 b | 38.38 ± 2.33 ab | 36.69 ± 2.06 b | 33.68 ± 0.80 b | 44.05 ± 3.53 a | 0.040 |
| ΔH (J g−1) | 48.33 ± 1.03 b | 36.38 ± 2.53 bc | 61.31 ± 1.67 a | 29.25 ± 6.30 c | 63.94 ± 3.54 a | 0.003 |
| ΣΔH (J g−1) | 52.63 ± 4.70 ab | 46.14 ± 6.19 bc | 59.33 ± 4.17 ab | 29.25 ± 6.30 c | 68.16 ± 6.07 a | 0.020 |
| Element | Background Color | p-Value | ||||
|---|---|---|---|---|---|---|
| Transparent | Green | Red | Blue | Black | ||
| C | 47.14 ± 0.44 | 47.74 ± 1.46 | 47.67 ± 0.36 | 48.96 ± 0.83 | 45.53 ± 0.49 | 0.134 |
| O | 32.79 ± 0.41 a | 32.26 ± 0.51 a | 31.81 ± 0.10 ab | 30.66 ± 0.36 b | 32.23 ± 0.57 a | 0.046 |
| N | 14.67 ± 0.87 | 12.46 ± 1.00 | 10.97 ± 0.41 | 12.63 ± 1.42 | 14.41 ± 0.47 | 0.084 |
| Fe | 5.98 ± 0.47 | 7.04 ± 1.67 | 8.11 ± 0.71 | 6.59 ± 1.22 | 7.16 ± 1.46 | 0.732 |
| P | 0.21 ± 0.01 | 0.38 ± 0.14 | 0.50 ± 0.09 | 0.40 ± 0.11 | 0.26 ± 0.07 | 0.267 |
| Al | 0.10 ± 0.01 | 0.14 ± 0.03 | 0.19 ± 0.06 | 0.11 ± 0.01 | 0.13 ± 0.01 | 0.352 |
| Si | 0.16 ± 0.01 | 0.23 ± 0.06 | 0.19 ± 0.02 | 0.26 ± 0.04 | 0.13 ± 0.01 | 0.125 |
| Mg | 0.11 ± 0.01 | 0.16 ± 0.02 | 0.13 ± 0.03 | 0.14 ± 0.02 | 0.10 ± 0.01 | 0.532 |
| Na | 0.18 ± 0.01 | 0.27 ± 0.06 | 0.23 ± 0.02 | 0.20 ± 0.01 | 0.13 ± 0.04 | 0.120 |
| S | 0.17 ± 0.04 b | 0.26 ± 0.01 ab | 0.35 ± 0.06 a | 0.34 ± 0.04 a | 0.18 ± 0.04 b | 0.028 |
| Ca | 0.12 ± 0.01 bc | 0.23 ± 0.05 abc | 0.26 ± 0.06 a | 0.25 ± 0.05 ab | 0.11 ± 0.01 c | 0.049 |
| Hematological Parameter | Background Color | p-Value | ||||
|---|---|---|---|---|---|---|
| Transparent | Green | Red | Blue | Black | ||
| RBC (×106 cells μL−1) | 0.29 ± 0.03 b | 0.35 ± 0.03 ab | 0.47 ± 0.09 a | 0.27 ± 0.04 b | 0.48 ± 0.04 a | 0.039 |
| WBC (×103 cells μL−1) | 0.11 ± 0.01 b | 2.42 ± 0.58 a | 3.08 ± 1.35 a | 3.92 ± 0.57 a | 3.50 ± 0.21 a | 0.040 |
| Hematocrit (%) | 25.33 ± 1.76 | 22.67 ± 0.67 | 26.00 ± 2.31 | 22.33 ± 1.86 | 26.00 ± 1.15 | 0.365 |
| MCV (mm3) | 917.32 ± 147.30 a | 649.32 ± 48.37 bc | 582.65 ± 61.01bc | 837.93 ± 41.69 ab | 549.34 ± 35.20 c | 0.029 |
| Lymphocyte (%) | 8.00 ± 1.00 b | 19.33 ± 0.67 a | 21.00 ± 1.00 a | 18.00 ± 2.89 a | 23.33 ± 2.91 a | 0.018 |
| Azurophil (%) | 80.00 ± 3.21 a | 71.33 ± 1.33 a | 76.67 ± 4.06 a | 74.33 ± 4.33 a | 60.33 ± 2.33 b | 0.014 |
| Plasma protein (g%) | 2.60 ± 0.12 | 1.67 ± 0.18 | 2.33 ± 0.66 | 1.87 ± 0.13 | 2.80 ± 0.20 | 0.148 |
| BUN (mg dL−1) | 31.85 ± 0.95 | 34.05 ± 1.35 | 34.83 ± 1.31 | 40.05 ± 7.65 | 30.43 ± 2.15 | 0.345 |
| Creatinine (mg dL−1) | 0.60 ± 0.04 | 0.59 ± 0.05 | 0.55 ± 0.02 | 0.56 ± 0.01 | 0.61 ± 0.01 | 0.758 |
| ALP (U L−1) | 212.50 ± 14.50 | 258.50 ± 29.50 | 200.50 ± 6.50 | 195.50 ± 12.50 | 260.00 ± 4.00 | 0.086 |
| ALT (U L−1) | 5.72 ± 0.29 | 8.89 ± 0.63 | 6.00 ± 0.95 | 7.36 ± 0.95 | ND | 0.106 |
| Cortisol (μg dL−1) | ND | ND | ND | ND | ND | – |
© 2020 by the authors. Licensee MDPI, Basel, Switzerland. This article is an open access article distributed under the terms and conditions of the Creative Commons Attribution (CC BY) license (http://creativecommons.org/licenses/by/4.0/).
Share and Cite
Jualaong, S.; Thongprajukaew, K.; Ninwat, S.; Petchrit, N.; Khwanmaung, S.; Wattanakul, W.; Tantipiriyakij, T.; Kanghae, H. Optimal Background Color for Head-Starting Northern River Terrapins (Batagur baska Gray, 1831). Animals 2020, 10, 207. https://doi.org/10.3390/ani10020207
Jualaong S, Thongprajukaew K, Ninwat S, Petchrit N, Khwanmaung S, Wattanakul W, Tantipiriyakij T, Kanghae H. Optimal Background Color for Head-Starting Northern River Terrapins (Batagur baska Gray, 1831). Animals. 2020; 10(2):207. https://doi.org/10.3390/ani10020207
Chicago/Turabian StyleJualaong, Suthep, Karun Thongprajukaew, Santi Ninwat, Natchapong Petchrit, Suwandee Khwanmaung, Wattana Wattanakul, Thana Tantipiriyakij, and Hirun Kanghae. 2020. "Optimal Background Color for Head-Starting Northern River Terrapins (Batagur baska Gray, 1831)" Animals 10, no. 2: 207. https://doi.org/10.3390/ani10020207
APA StyleJualaong, S., Thongprajukaew, K., Ninwat, S., Petchrit, N., Khwanmaung, S., Wattanakul, W., Tantipiriyakij, T., & Kanghae, H. (2020). Optimal Background Color for Head-Starting Northern River Terrapins (Batagur baska Gray, 1831). Animals, 10(2), 207. https://doi.org/10.3390/ani10020207

