Effect of Thermal Drying and Chemical Treatments with Wastes on Microbiological Contamination Indicators in Sewage Sludge
Abstract
1. Introduction
2. Materials and Methods
2.1. Materials
2.2. Physical and Chemical Characterization
2.3. Microbiological Characterization
2.4. Sanitation Studies
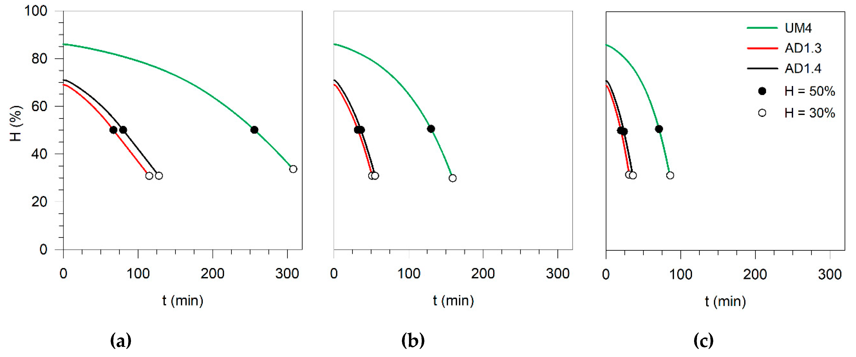
2.4.1. Thermal Treatment
2.4.2. Chemical Treatment
2.5. Statistical Analysis
3. Results and Discussion
3.1. Physical and Chemical Properties of the Sewage Sludge
3.2. Microbiological Contamination Assessment
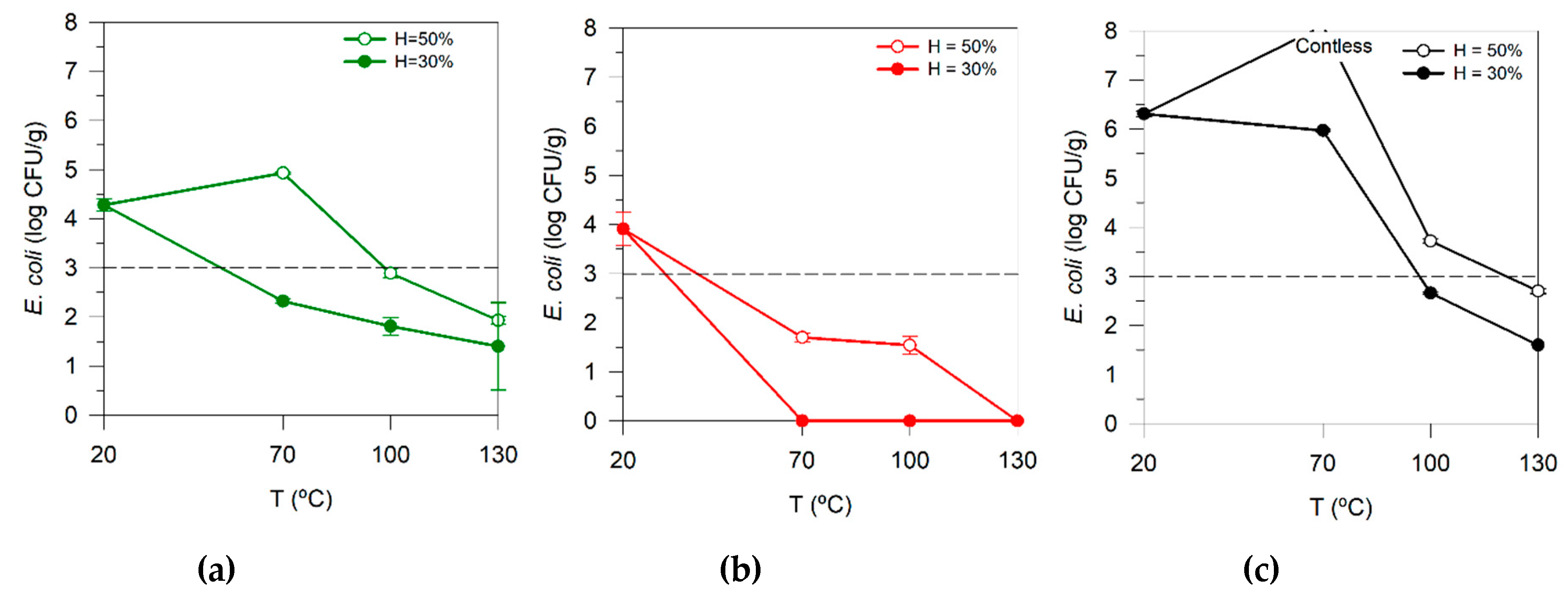
3.3. Sanitation Effect of Thermal Treatment
3.4. Sanitation Effect of Chemical Treatment
4. Conclusions
Supplementary Materials
Author Contributions
Funding
Conflicts of Interest
References
- Collivignarelli, M.C.; Canato, M.; Abbà, A.; Carnevale Miino, M. Biosolids: What are the different types of reuse? J. Clean. Prod. 2019, 238, 1–21. [Google Scholar] [CrossRef]
- Kacprzak, M.; Neczaj, E.; Fijałkowski, K.; Grobelak, A.; Grosser, A.; Worwag, M.; Rorat, A.; Brattebo, H.; Almås, Å.; Singh, B.R. Sewage sludge disposal strategies for sustainable development. Environ. Res. 2017, 156, 39–46. [Google Scholar] [CrossRef] [PubMed]
- AlKetbi, S.; Elsayed, H.; Al-Zuhair, S. Gold extraction from biosolid sludge obtained by sewage treatment. Environ. Technol. 2019, 40, 2643–2648. [Google Scholar] [CrossRef] [PubMed]
- Kelessidis, A.; Stasinakis, A.S. Comparative study of the methods used for treatment and final disposal of sewage sludge in European countries. Waste Manag. 2012, 32, 1186–1195. [Google Scholar] [CrossRef] [PubMed]
- Tsadilas, C.D.; Hu, Z.; Bi, Y.; Nikoli, T. Utilization of coal fly ash and municipal sewage sludge in agriculture and for reconstruction of soils in disturbed lands: Results of case studies from Greece and China. Int. J. Coal Sci. Technol. 2018, 5, 64–69. [Google Scholar] [CrossRef]
- Alvarenga, P.; Mourinha, C.; Farto, M.; Santos, T.; Palma, P.; Sengo, J.; Morais, M.C.; Cunha-Queda, C. Sewage sludge, compost and other representative organic wastes as agricultural soil amendments: Benefits versus limiting factors. Waste Manag. 2015, 40, 44–52. [Google Scholar] [CrossRef]
- Innovative Wastewater Treatment & Resource Recovery Technologies: Impacts on Energy, Economy and Environment; Lema, J.M., Suarez, S., Eds.; IWA Publishing: London, UK, 2017. [Google Scholar]
- Latare, A.M.; Kumar, O.; Singh, S.K.; Gupta, A. Direct and residual effect of sewage sludge on yield, heavy metals content and soil fertility under rice-wheat system. Ecol. Eng. 2014, 69, 17–24. [Google Scholar] [CrossRef]
- Shu, W.; Price, G.W.; Sharifi, M.; Cade-Menun, B.J. Impact of annual and single application of alkaline treated biosolids on soil extractable phosphorus and total phosphorus. Agric. Ecosyst. Environ. 2016, 219, 111–118. [Google Scholar] [CrossRef]
- Mayer, B.K.; Baker, L.A.; Boyer, T.H.; Drechsel, P.; Gifford, M.; Hanjra, M.A.; Parameswaran, P.; Stoltzfus, J.; Westerhoff, P.; Rittmann, B.E. Total value of phosphorus recovery. Environ. Sci. Technol. 2016, 50, 6606–6620. [Google Scholar] [CrossRef]
- European Sustainable Phosphorus Plataform Newsletter about Nutrient Stewardship—European Sustainable Phosphorus Platform (ESPP). Available online: https://phosphorusplatform.eu/scope-in-print/news#_Toc30967964 (accessed on 27 January 2020).
- Li, X.; Chen, L.; Mei, Q.; Dong, B.; Dai, X.; Ding, G.; Zeng, E.Y. Microplastics in sewage sludge from the wastewater treatment plants in China. Water Res. 2018, 142, 75–85. [Google Scholar] [CrossRef]
- Wójcik, M.; Stachowicz, F.; Masłoń, A. The use of wood biomass ash in sewage sludge treatment in terms of its agricultural utilization. Waste Biomass Valorization 2018, 753–768. [Google Scholar] [CrossRef]
- López, A.; Baguer, B.; Goñi, P.; Rubio, E.; Gómez, J.; Mosteo, R.; Ormad, M.P. Assessment of the methodologies used in microbiological control of sewage sludge. Waste Manag. 2019, 96, 168–174. [Google Scholar] [CrossRef] [PubMed]
- Disposal and Recycling Routes for Sewage Sludge. Part 3—Scientific and Technical Report; European Commission: Luxembourg, 2001. [Google Scholar]
- Environmental Regulations and Technology: Control of Pathogens and Vector Attraction in Sewage Sludge; US EPA: Cincinnati, OH, USA, 2003.
- Kjerstadius, H.; La Cour Jansen, J.; De Vrieze, J.; Haghighatafshar, S.; Davidsson, Å. Hygienization of sludge through anaerobic digestion at 35, 55 and 60 °C. Water Sci. Technol. 2013, 68, 2234–2239. [Google Scholar] [CrossRef] [PubMed][Green Version]
- Astals, S.; Venegas, C.; Peces, M.; Jofre, J.; Lucena, F.; Mata-Alvarez, J. Balancing hygienization and anaerobic digestion of raw sewage sludge. Water Res. 2012, 46, 6218–6227. [Google Scholar] [CrossRef] [PubMed]
- Gantzer, C.; Gaspard, P.; Galvez, L.; Huyard, A.; Dumouthier, N.; Schwartzbrod, J. Monitoring of bacterial and parasitological contamination during various treatment of sludge. Water Res. 2001, 35, 3763–3770. [Google Scholar] [CrossRef]
- Østensvik, Ø.; Myrmel, M.; Haarr, A.; Sagberg, P. Reduction of E. coli, sulfite reducing anaerobic bacteria and f-specific bacteriophages in the production of vacuum filter pressed municipal sludge at VEAS. In Proceedings of the 9th IWA Specialised Conference on Design, Operation and Economics of Large Wastewater Treatment Plants, Prague, Czech Republic, 1–4 September 2003. [Google Scholar]
- Mäkitalo, M.; Maurice, C.; Jia, Y.; Öhlander, B. Characterization of green liquor dregs, potentially useful for prevention of the formation of acid rock drainage. Minerals 2014, 4, 330–344. [Google Scholar] [CrossRef]
- Quina, M.J.; Soares, M.A.R.; Quinta-Ferreira, R. Applications of industrial eggshell as a valuable anthropogenic resource. Resour. Conserv. Recycl. 2017, 123, 176–186. [Google Scholar] [CrossRef]
- Lang, N.L.; Bellett-Travers, M.D.; Smith, S.R. Field investigations on the survival of Escherichia coli and presence of other enteric micro-organisms in biosolids-amended agricultural soil. J. Appl. Microbiol. 2007, 103, 1868–1882. [Google Scholar] [CrossRef]
- Scaglia, B.; D’Imporzano, G.; Garuti, G.; Negri, M.; Adani, F. Sanitation ability of anaerobic digestion performed at different temperature on sewage sludge. Sci. Total Environ. 2014, 466–467, 888–897. [Google Scholar] [CrossRef]
- Gomes, L.A.; Santos, A.F.; Lopes, R.J.A.; Góis, J.C.; Quina, M.J. Isothermal drying kinetics of sewage sludge using weathered coal fly ash as adjuvant for agronomic application. Environ. Technol. 2019, 1–11. [Google Scholar] [CrossRef]
- Collard, M.; Teychené, B.; Lemée, L. Comparison of three different wastewater sludge and their respective drying processes: Solar, thermal and reed beds—Impact on organic matter characteristics. J. Environ. Manag. 2017, 203, 760–767. [Google Scholar] [CrossRef] [PubMed]
- Alvarenga, P.; Farto, M.; Mourinha, C.; Palma, P. Beneficial use of dewatered and composted sewage sludge as soil amendments: Behaviour of metals in soils and their uptake by plants. Waste Biomass Valorization 2016, 7, 1189–1201. [Google Scholar] [CrossRef]
- Sypuła, M.; Paluszak, Z.; Szała, B. Effect of sewage sludge solar drying technology on inactivation of select indicator microorganisms. Polish J. Environ. Stud. 2013, 22, 533–540. [Google Scholar]
- Reinthaler, F.F.; Feierl, G.; Galler, H.; Haas, D.; Leitner, E.; Mascher, F.; Melkes, A.; Posch, J.; Winter, I.; Zarfel, G.; et al. ESBL-producing E. coli in austrian sewage sludge. Water Res. 2010, 44, 1981–1985. [Google Scholar] [CrossRef]
- Syed-Hassan, S.S.A.; Wang, Y.; Hu, S.; Su, S.; Xiang, J. Thermochemical processing of sewage sludge to energy and fuel: Fundamentals, challenges and considerations. Renew. Sustain. Energy Rev. 2017, 80, 888–913. [Google Scholar] [CrossRef]
- Strauch, D. Microbiological treatment of municipal sewage waste and refuse as a means of disinfection prior to recycling in agriculture. Eur. Water Manag. 1998, 1, 12–26. [Google Scholar]
- Chmielewski, A.G.; Sudlitz, M. “Zero energy” electron beam technology for sludge hygienization. Nukleonika 2019, 64, 55–63. [Google Scholar] [CrossRef]
- Gomes, L.A.; Santos, A.F.; Góis, J.C.; Quina, M.J. Thermal dehydration of urban biosolids with green liquor dregs from pulp and paper mill. J. Environ. Manag. 2020, in press. [Google Scholar] [CrossRef]






| Sample | Dehydration Mechanism | Δt (days) | Tstorage (°C) | Sample | Dehydration Mechanism | Δt (days) | Tstorage (°C) |
|---|---|---|---|---|---|---|---|
| UM1 | Centrifugation | 1 | TR | AD1.1 | No dehydration | 0 | TR |
| UM2 | Centrifugation | 1 | TR | AD1.2 | Centrifugation | 0 | TR |
| UM3 | Centrifugation | 1 | TR | AD1.3 | Centrifugation | 1 | 4 |
| UM4 | Filtration | 4 | 4 | AD1.4 | Centrifugation | 0 | TR |
| UM5 | Drying bed a | 3 | TR | AD1.5 | Centrifugation | 1 | TR |
| UM6 | Drying bed a | 3 | TR | AD1.6 | Centrifugation | 7 | TR |
| UM7.1 | Drying bed a | 3 | TR | AD2 | Drying bed a | 3 | TR |
| UM7.2 | Drying bed b | 22 | TR | AD3 | Drying bed a | 3 | TR |
| UM8.1 | Drying bed a | 3 | TR | AD4 | Drying bed a | 3 | TR |
| UM8.2 | Drying bed b | 22 | TR |
| Additives | Dosage (gadditive/gSS) | Contact Time (h) |
|---|---|---|
| LM | 0.15 | 24 |
| CFA | 0.15 | 24 |
| ES | 0.15 | 24 |
| GLD | 0.15 | 24, 190 |
| CaO | 0.05, 0.10, 0.15 | 24 |
| Ca(OH)2 | 0.15 | 24 |
| Samples | Parameters | |||||||||
|---|---|---|---|---|---|---|---|---|---|---|
| pH | EC (mS/cm) | H (%) | OM (%) | P2O5 (%) | NKjeldahl (%) | K2O (%) | CaO (%) | MgO (%) | Na2O (%) | |
| UM1 | 7.07 | 4.12 | 86.8 | 75.3 | 0.99 | 7.58 | 0.79 | 0.09 | 0.51 | 0.09 |
| UM2 | 7.11 | 2.44 | 83.1 | 79.7 | 0.87 | 9.21 | 0.30 | 0.18 | 0.40 | 0.07 |
| UM3 | 7.15 | 2.86 | 84.7 | 80.2 | 2.59 | 8.34 | 0.35 | 0.12 | 0.41 | 0.11 |
| UM4 | 6.53 | 2.17 | 86.3 | 67.1 | 2.15 | 5.68 | 0.42 | 0.54 | 0.89 | 0.19 |
| UM5 | 6.05 | 1.44 | 59.8 | 61.0 | 0.62 | 4.80 | 0.17 | 0.19 | 0.13 | 0.02 |
| UM6 | 6.87 | 1.71 | 84.6 | 59.0 | 2.89 | 4.81 | 0.15 | 1.40 | 0.42 | 0.05 |
| UM7 * | 7.08 | 3.15 | 90.4 | 60.8 | 1.86 | 5.38 | 0.35 | 1.18 | 0.88 | 0.18 |
| UM8 * | 7.21 | 2.38 | 83.5 | 76.2 | 0.44 | 7.21 | 0.27 | 1.04 | 0.36 | 0.23 |
| AD1 * | 6.71 | 1.72 | 71.0 | 63.7 | 3.83 | 3.89 | 0.22 | 5.50 | 0.38 | nd |
| AD2 | 7.29 | 0.55 | 48.0 | 50.4 | 1.63 | 3.28 | 0.10 | 1.38 | 0.24 | nd |
| AD3 | 6.96 | 2.74 | 79.1 | 64.5 | 0.60 | 4.60 | 0.31 | 2.81 | 0.47 | 0.24 |
| AD4 | 7.18 | 1.85 | 82.0 | 53.6 | 0.76 | 3.59 | 0.11 | 4.87 | 0.27 | 0.03 |
| PTM (mg/kg) | Legal Limits * | UM Samples | AD Samples | ||||||
|---|---|---|---|---|---|---|---|---|---|
| Range | Mean | Median | SD | Range | Mean | Median | SD | ||
| Pb | 750 | 26.3–155.4 | 63.9 | 49.5 | 42.9 | 19.8–38.8 | 25.7 | 22.6 | 7.54 |
| Cr | 1000 | 18.7–292.6 | 97.3 | 70.8 | 94.4 | 20.0–120.1 a | 55.8 | 27.4 | 42.2 |
| Zn | 2500 | 267.5–1026.3 | 616.3 | 548.82 | 229.1 | 331.2–1093.3 a | 841.5 | 1019.8 | 343.2 |
| Cd | 20 | nd | nd | ||||||
| Cu | 1000 | 157.4–331.0 | 241.5 | 232.8 | 66.7 | 297.8–440.9 | 390.3 | 379.8 | 57.5 |
| Ni | 300 | 18.1–215.2 | 99.5 | 97.47 | 72.9 | 20.9–62.9 a | 36.0 | 24.3 | 19.0 |
| Additives | Mixture pH (0.15 g/g SSwet basis) |
|---|---|
| LM | 8 |
| CFA | 7 |
| ES | 8 |
| GLD | 10 |
| CaO | 12 |
| Ca(OH)2 | 12 |
© 2020 by the authors. Licensee MDPI, Basel, Switzerland. This article is an open access article distributed under the terms and conditions of the Creative Commons Attribution (CC BY) license (http://creativecommons.org/licenses/by/4.0/).
Share and Cite
F. Santos, A.; P. Santos, C.; M. Matos, A.; Cardoso, O.; J. Quina, M. Effect of Thermal Drying and Chemical Treatments with Wastes on Microbiological Contamination Indicators in Sewage Sludge. Microorganisms 2020, 8, 376. https://doi.org/10.3390/microorganisms8030376
F. Santos A, P. Santos C, M. Matos A, Cardoso O, J. Quina M. Effect of Thermal Drying and Chemical Treatments with Wastes on Microbiological Contamination Indicators in Sewage Sludge. Microorganisms. 2020; 8(3):376. https://doi.org/10.3390/microorganisms8030376
Chicago/Turabian StyleF. Santos, Andreia, Cátia P. Santos, Ana M. Matos, Olga Cardoso, and Margarida J. Quina. 2020. "Effect of Thermal Drying and Chemical Treatments with Wastes on Microbiological Contamination Indicators in Sewage Sludge" Microorganisms 8, no. 3: 376. https://doi.org/10.3390/microorganisms8030376
APA StyleF. Santos, A., P. Santos, C., M. Matos, A., Cardoso, O., & J. Quina, M. (2020). Effect of Thermal Drying and Chemical Treatments with Wastes on Microbiological Contamination Indicators in Sewage Sludge. Microorganisms, 8(3), 376. https://doi.org/10.3390/microorganisms8030376

