Temperature Effects on Methanogenesis and Sulfidogenesis during Anaerobic Digestion of Sulfur-Rich Macroalgal Biomass in Sequencing Batch Reactors
Abstract
1. Introduction
2. Materials and Methods
2.1. Inoculum and Substrate
2.2. Reactor Operation
2.3. Physicochemical Analysis
2.4. Real-Time Polymerase Chain Reaction
2.5. Cluster Analysis
3. Results and Discussion
3.1. Methanogenic Performance
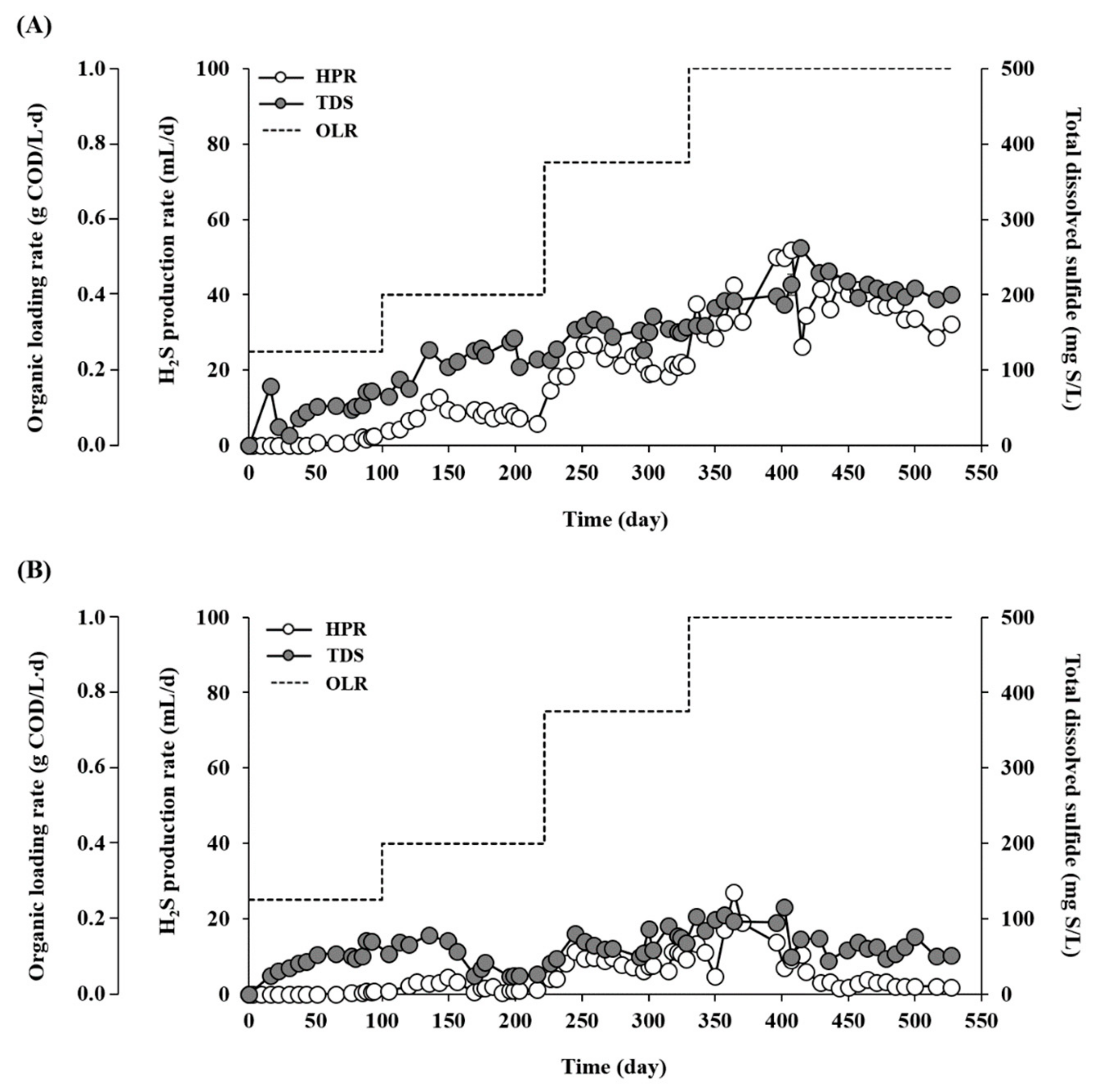
3.2. Sulfidogenic Performance
3.3. Temperature Effects on Methanogenesis and Sulfidogenesis
3.4. Methanogen Community Structures
3.5. Quantitiative Dynamics of Methanogens and SRBs
4. Conclusions
Supplementary Materials
Author Contributions
Funding
Conflicts of Interest
References
- Rinzema, A.; Lettinga, G. Anaerobic treatment of sulfate containing wastewater. In Biotreatment Systems; Wise, D.L., Ed.; CRC Press: Boca Raton, FL, USA, 1988; Volume 1, pp. 65–110. [Google Scholar]
- Sawayama, S.; Tsukahara, K.; Yagishita, T.; Hanada, S. Characterization of lighted upflow anaerobic sludge blanket (LUASB) method under sulfate-rich conditions. J. Biosci. Bioeng. 2001, 91, 195–201. [Google Scholar] [CrossRef]
- Singh, B.S.; Lin, C.H. Hydrogen sulfide in physiology and diseases of the digestive tract. Microorganisms 2015, 3, 866–889. [Google Scholar] [CrossRef] [PubMed]
- Wu, J.; Liu, Q.; Feng, B.; Kong, Z.; Jiang, B.; Li, Y.Y. Temperature effects on the methanogenesis enhancement and sulfidogenesis suppression in the UASB treatment of sulfate-rich methanol wastewater. Int. Biodeterior. Biodegrad. 2019, 142, 182–190. [Google Scholar] [CrossRef]
- O’Flaherty, V.; Lens, P.; Leahy, B.; Colleran, E. Long-term competition between sulphate-reducing and methane-producing bacteria during full-scale anaerobic treatment of citric acid production wastewater. Water Res. 1998, 32, 815–825. [Google Scholar] [CrossRef]
- Stefanie, J.W.H.O.E.; Visser, A.; Hulshoff Pol, L.W.; Stams, A.J.M. Sulfate reduction in methanogenic bioreactors. FEMS Microbiol. Rev. 1994, 15, 119–136. [Google Scholar]
- Muyzer, G.; Stams, A.J. The ecology and biotechnology of sulphate-reducing bacteria. Nat. Rev. Microbiol. 2008, 6, 441–454. [Google Scholar] [CrossRef]
- Colleran, S.; Pender, S. Mesophilic and thermophilic anaerobic digestion of sulphate-containing wastewaters. Water Sci. Technol. 2002, 45, 231–235. [Google Scholar] [CrossRef]
- Pender, S.; Toomey, M.; Carton, M.; Eardly, D.; Patching, J.W.; Colleran, E.; O’Flaherty, V. Long-term effects of operating temperature and sulphate addition on the methanogenic community structure of anaerobic hybrid reactors. Water Res. 2004, 38, 619–630. [Google Scholar] [CrossRef]
- Kim, J.; Lee, C. Response of a continuous anaerobic digester to temperature transitions: A critical range for restructuring the microbial community structure and function. Water Res. 2016, 89, 241–251. [Google Scholar] [CrossRef]
- Vallero, M.V.G.; Treviño, R.H.M.; Paulo, P.L.; Lettinga, G.; Lens, P.N.L. Effect of sulfate on methanol degradation in thermophilic (55 °C) methanogenic UASB reactors. Enzym. Microb. Technol. 2003, 32, 676–687. [Google Scholar] [CrossRef]
- Weijma, J.; Stams, A.J.M.; Hulshoff Pol, L.W.; Lettinga, G. Thermophilic sulfate reduction and methanogenesis with methanol in a high rate anaerobic reactor. Biotechnol. Bioeng. 2000, 67, 354–363. [Google Scholar] [CrossRef]
- De Godoi, L.A.G.; Foresti, E.; Damianovic, M.H.R.Z. Down-flow fixed-structured bed reactor: An innovative reactor configuration applied to acid mine drainage treatment and metal recovery. J. Environ. Manag. 2017, 197, 597–604. [Google Scholar] [CrossRef] [PubMed]
- Jing, Z.; Hu, Y.; Niu, Q.; Liu, Y.; Li, Y.-Y.; Wang, X.C. UASB performance and electron competition between methane-producing archaea and sulfate-reducing bacteria in treating sulfate-rich wastewater containing ethanol and acetate. Bioresour. Technol. 2013, 137, 349–357. [Google Scholar] [CrossRef] [PubMed]
- Wu, J.; Niu, Q.; Li, L.; Hu, Y.; Mribet, C.; Hojo, T.; Li, Y.Y. A gradual change between methanogenesis and sulfidogenesis during a long-term UASB treatment of sulfate-rich chemical wastewater. Sci. Total Environ. 2018, 636, 168–176. [Google Scholar] [CrossRef]
- Hien Hoa, T.T.; Liamleam, W.; Annachhatre, A.P. Lead removal through biological sulfate reduction process. Bioresour. Technol. 2007, 98, 2538–2548. [Google Scholar] [CrossRef]
- Vallero, M.V.G.; Camarero, E.; Lettinga, G.; Lens, P.N.L. Thermophilic (55–65 °C) and extreme thermophilic (70–80 °C) sulfate reduction in methanol and formate-fed UASB reactors. Biotechnol. Prog. 2004, 20, 1382–1392. [Google Scholar] [CrossRef]
- Visser, A.; Gao, Y.; Lettinga, G. Effects of pH on methanogenesis and sulphate reduction in thermophilic (55 °C) UASB reactors. Bioresour. Technol. 1993, 44, 113–121. [Google Scholar] [CrossRef]
- APHA-AWWA-WEF. Standard Methods for the Examination of Water and Wastewater, 21st ed.; American Public Health Association: Washington, DC, USA, 2005. [Google Scholar]
- Yu, Y.; Lee, C.; Kim, J.; Hwang, S. Group-specific primer and probe sets to detect methanogenic communities using quantitative real-time polymerase chain reaction. Biotechnol. Bioeng. 2005, 89, 670–679. [Google Scholar] [CrossRef]
- Jung, H.; Kim, J.; Lee, C. Effect of enhanced biomass retention by sequencing batch operation on biomethanation of sulfur-rich macroalgal biomass: Process performance and microbial ecology. Algal Res. 2017, 28, 128–138. [Google Scholar] [CrossRef]
- Jung, H.; Kim, J.; Lee, C. Biomethanation of harmful macroalgal biomass in leach-bed reactor coupled to anaerobic filter: Effect of waterregime and filter media. Int. J. Environ. Res. Public Health 2018, 15, 866. [Google Scholar] [CrossRef]
- Šafarič, L.; Shakeri Yekta, S.; Liu, T.; Svensson, B.H.; Schnürer, A.; Bastviken, D.; Björn, A. Dynamics of a perturbed microbial community during thermophilic anaerobic digestion of chemically defined soluble organic compounds. Microorganisms 2018, 6, 105. [Google Scholar] [CrossRef] [PubMed]
- Intanoo, P.; Rangsanvigit, P.; Malakul, P.; Chavadej, S. Optimization of separate hydrogen and methane production from cassava wastewater using two-stage upflow anaerobic sludge blanket reactor (UASB) system under thermophilic operation. Bioresour. Technol. 2014, 173, 256–265. [Google Scholar] [CrossRef] [PubMed]
- De la Rubia, M.A.; Romero, L.I.; Sales, D.; Perez, M. Temperature conversion (mesophilic to thermophilic) of municipal sludge digestion. AICHE J. 2005, 51, 2581–2586. [Google Scholar] [CrossRef]
- Song, Y.C.; Kwon, S.J.; Woo, J.H. Mesophilic and thermophilic temperature co-phase anaerobic digestion compared with single-stage mesophilic- and thermophilic digestion of sewage sludge. Water Res. 2004, 38, 1653–1662. [Google Scholar] [CrossRef] [PubMed]
- Jard, G.; Jackowiak, D.; Carrère, H.; Delgenes, J.P.; Torrijos, M.; Steyer, J.P.; Dumas, C. Batch and semi-continuous anaerobic digestion of Palmaria palmata: Comparison with Saccharina latissima and inhibition studies. Chem. Eng. J. 2012, 209, 513–519. [Google Scholar] [CrossRef]
- López González, L.M.; Pereda Reyes, I.; Romero Romero, O. Anaerobic co-digestion of sugarcane press mud with vinasse on methane yield. Waste Manag. 2017, 68, 139–145. [Google Scholar] [CrossRef]
- Lee, D.Y.; Ebie, Y.; Xu, K.Q.; Li, Y.Y.; Inamori, Y. Continuous H2 and CH4 production from high-solid food waste in the two-stage thermophilic fermentation process with the recirculation of digester sludge. Bioresour. Technol. 2010, 101, S42–S47. [Google Scholar] [CrossRef]
- Marañón, E.; Castrillón, L.; Quiroga, G.; Fernández-Nava, Y.; Gómez, L.; García, M.M. Co-digestion of cattle manure with food waste and sludge to increase biogas production. Waste Manag. 2012, 32, 1821–1825. [Google Scholar] [CrossRef]
- Wang, X.; Zhao, Y.C. A bench scale study of fermentative hydrogen and methane production from food waste in integrated two-stage process. Int. J. Hydrog. Energy 2009, 34, 245–254. [Google Scholar] [CrossRef]
- Bruhn, A.; Dahl, J.; Nielsen, H.B.; Nikolaisen, L.; Rasmussen, M.B.; Markager, S.; Olesen, B.; Arias, C.; Jensen, P.D. Bioenergy potential of Ulva lactuca: Biomass yield, methane production and combustion. Bioresour. Technol. 2011, 102, 2595–2604. [Google Scholar] [CrossRef]
- Nielsen, H.B.; Heiske, S. Anaerobic digestion of macroalgae: Methane potentials, pre-treatment, inhibition and co-digestion. Water Sci. Technol. 2011, 64, 1723–1729. [Google Scholar] [CrossRef] [PubMed]
- Knight, L.; Presnell, S. Death by sewer gas: Case report of a double fatality and review of the literature. Am. J. Forensic. Med. Pathol. 2005, 26, 181–185. [Google Scholar] [PubMed]
- Aboudi, K.; Álvarez-Gallego, C.J.; Romero-García, L.I. Semi-continuous anaerobic co-digestion of sugar beet byproduct and pig manure: Effect of the organic loading rate (OLR) on process performance. Bioresour. Technol. 2015, 194, 283–290. [Google Scholar] [CrossRef] [PubMed]
- Zhang, D.; Duan, N.; Tian, H.; Lin, C.; Zhang, Y.; Liu, Z. Comparing two enhancing methods for improving kitchen waste anaerobic digestion: Bentonite addition and autoclaved de-oiling pretreatment. Process Saf. Environ. 2018, 115, 116–124. [Google Scholar] [CrossRef]
- Gevantman, L.H. CRC Handbook of Chemistry and Physics; Wise, D.L., Ed.; CRC Press: Boca Raton, FL, USA, 2004; pp. 8–87. [Google Scholar]
- Jiménez, J.; Barrera, E.L.; De Vrieze, J.; Boon, N.; DeMeester, S.; Spanjers, H.; Romero, O.R.; Dewulf, J. Microbial community dynamics reflect reactor stability during the anaerobic digestion of a very high strength and sulfate-rich vinasse. J. Chem. Technol. Biotechnol. 2018, 93, 975–984. [Google Scholar] [CrossRef]
- Lauterböck, B.; Nikolausz, M.; Lv, Z.; Baumgartner, M.; Liebhard, G.; Fuchs, W. Improvement of anaerobic digestion performance by continuous nitrogen removal with a membrane contactor treating a substrate rich in ammonia and sulfide. Bioresour. Technol. 2014, 158, 209–216. [Google Scholar] [CrossRef] [PubMed]
- Rizzi, A.; Zucchi, M.; Borin, S.; Marzorati, M.; Sorlini, C.; Daffonchio, D. Response of methanogen populations to organic load increase during anaerobic digestion of olive mill wastewater. J. Chem. Technol. Biotechnol. 2006, 81, 1556–1562. [Google Scholar] [CrossRef]
- Pap, B.; Györkei, Á.; Boboescu, I.Z.; Nagy, I.K.; Bíró, T.; Kondorosi, É.; Maróti, G. Temperature-dependent transformation of biogas-producing microbial communities points to the increased importance of hydrogenotrophic methanogenesis under thermophilic operation. Bioresour. Technol. 2015, 177, 375–380. [Google Scholar] [CrossRef]
- Yu, D.; Kurola, J.M.; Lähde, K.; Kymäläinen, M.; Sinkkonen, A.; Romantschuk, M. Biogas production and methanogenic archaeal community in mesophilic and thermophilic anaerobic co-digestion processes. J. Environ. Manag. 2014, 143, 54–60. [Google Scholar] [CrossRef]
- Hattori, S. Syntrophic acetate-oxidizing microbes in methanogenic environments. Microbes Environ. 2008, 23, 118–127. [Google Scholar] [CrossRef]
- Yu, Y.; Kim, J.; Hwang, S. Use of real-time PCR for group-specific quantification of aceticlastic methanogens in anaerobic processes: Population dynamics and community structures. Biotechnol. Bioeng. 2006, 93, 424–433. [Google Scholar] [CrossRef] [PubMed]








| RM (Mesophilic) | RT (Thermophilic) | ||||||||
|---|---|---|---|---|---|---|---|---|---|
| OLR | g COD/L·d | 0.25 | 0.4 | 0.75 | 1.0 | 0.25 | 0.4 | 0.75 | 1.0 |
| COD removal | % | 81.9 (1.2) | 65.3 (2.1) | 56.6 (1.1) | 77.2 (0.7) | 21.2 (0.9) | 46.9 (2.5) | 49.9 (2.6) | 32.2 (0.5) |
| CH4 content | % | 68.3 (0.9) a | 63.8 (1.2) | 59.2 (0.4) | 58.4 (1.6) | 73.3 (1.1) | 67.3 (1.2) | 57.2 (1.0) | 49.5 (0.8) |
| MPR b | mL/L·d | 86.5 (3.2) | 119.9 (6.2) | 211.3 (4.2) | 249.0 (15.6) | 57.3 (7.0) | 73.1 (5.4) | 156.0 (2.0) | 33.1 (2.9) |
| MY c | mL/g COD fed | 320 (0.01) | 270 (0.01) | 260 (0.01) | 230 (0.03) | 210 (0.01) | 170 (0.01) | 190 (0.00) | 30 (0.01) |
| H2S content | ppmv | 9233 (681) | 19,500 (436) | 30,000 (0) | 37,000 (0) | 4933 (115) | 4000 (0) | 19,500 (866) | 15,000 (0) |
| HPR d | mL/L·d | 1.17 (0.12) | 3.67 (0.26) | 10.71 (0.28) | 15.78 (1.32) | 0.38 (0.03) | 0.54 (0.04) | 5.31 (0.26) | 1.0 (0.1) |
| HY e | mL/g COD fed | 4 (0.0) | 8 (0.001) | 13 (0.001) | 14 (0.003) | 1.4 (0.000) | 1.2 (0.000) | 6.5 (0.001) | 9 (0.0002) |
| TDS f | mg S/L | 65.7 (10.4) | 120.6 (20.3) | 152.6 (3.7) | 201.1 (7.1) | 63.8 (11.9) | 25.3 (1.2) | 73.7 (4.6) | 59.5 (14.9) |
© 2019 by the authors. Licensee MDPI, Basel, Switzerland. This article is an open access article distributed under the terms and conditions of the Creative Commons Attribution (CC BY) license (http://creativecommons.org/licenses/by/4.0/).
Share and Cite
Jung, H.; Kim, J.; Lee, C. Temperature Effects on Methanogenesis and Sulfidogenesis during Anaerobic Digestion of Sulfur-Rich Macroalgal Biomass in Sequencing Batch Reactors. Microorganisms 2019, 7, 682. https://doi.org/10.3390/microorganisms7120682
Jung H, Kim J, Lee C. Temperature Effects on Methanogenesis and Sulfidogenesis during Anaerobic Digestion of Sulfur-Rich Macroalgal Biomass in Sequencing Batch Reactors. Microorganisms. 2019; 7(12):682. https://doi.org/10.3390/microorganisms7120682
Chicago/Turabian StyleJung, Heejung, Jaai Kim, and Changsoo Lee. 2019. "Temperature Effects on Methanogenesis and Sulfidogenesis during Anaerobic Digestion of Sulfur-Rich Macroalgal Biomass in Sequencing Batch Reactors" Microorganisms 7, no. 12: 682. https://doi.org/10.3390/microorganisms7120682
APA StyleJung, H., Kim, J., & Lee, C. (2019). Temperature Effects on Methanogenesis and Sulfidogenesis during Anaerobic Digestion of Sulfur-Rich Macroalgal Biomass in Sequencing Batch Reactors. Microorganisms, 7(12), 682. https://doi.org/10.3390/microorganisms7120682
