High Spatial but Low Temporal Variability in Ectomycorrhizal Community Composition in Abies alba Forest Stands
Abstract
1. Introduction
2. Materials and Methods
2.1. Field Plots
2.2. Sample Collection
2.3. ECM Morphological Analyses
2.4. DNA Extraction and Molecular Identification of ECM Fungal OTUs
2.5. Statistical Analyses
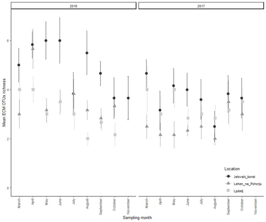
3. Results
Temporal Dynamic of Ectomycorrhizal Community
4. Discussion
5. Conclusions
Supplementary Materials
Author Contributions
Funding
Data Availability Statement
Acknowledgments
Conflicts of Interest
References
- Mauri, A.; de Rigo, D.; Caudullo, G. Abies alba in Europe: Distribution, habitat, usage and threats. In European Atlas of Forest Tree Species; Publications Office of the EU: Luxembourg, 2016. [Google Scholar]
- Ważny, R.; Kowalski, S. Ectomycorrhizal fungal communities of silver-fir seedlings regenerating in fir stands and larch forecrops. Trees-Struct. Funct. 2017, 31, 929–939. [Google Scholar] [CrossRef]
- Ważny, R. Ectomycorrhizal communities associated with silver fir seedlings (Abies alba Mill.) differ largely in mature silver fir stands and in Scots pine forecrops. Ann. For. Sci. 2014, 71, 801–810. [Google Scholar] [CrossRef]
- Rudawska, M.; Pietras, M.; Smutek, I.; Strzeliński, P.; Leski, T. Ectomycorrhizal fungal assemblages of Abies alba Mill. outside its native range in Poland. Mycorrhiza 2016, 26, 57–65. [Google Scholar] [CrossRef] [PubMed]
- Kujawska, M.; Rudawska, M.; Wilgan, R.; Banach, J.; Leski, T. Comparable ectomycorrhizal fungal species richness but low species similarity among native Abies alba and alien Abies grandis from provenance trials in Poland. For. Ecol. Manag. 2023, 546, 121355. [Google Scholar] [CrossRef]
- Baranowska, M.; Barzdajn, W.; Korzeniewicz, R.; Kowalkowski, W.; Łukowski, A.; Behnke-Borowczyk, J.; Hodžić, M.M. The Community of Fine Root Fungi of Silver Fir (Abies alba Mill.) Saplings. South-East Eur. For. 2023, 14, 183–195. [Google Scholar] [CrossRef]
- Klopcic, M.; Boncina, A. Stand dynamics of silver fir (Abies alba Mill.)-European beech (Fagus sylvatica L.) forests during the past century: A decline of silver fir? Forestry 2011, 84, 259–271. [Google Scholar] [CrossRef]
- Diaci, J.; Rozenbergar, D.; Anic, I.; Mikac, S.; Saniga, M.; Kucbel, S.; Visnjic, C.; Ballian, D. Structural dynamics and synchronous silver fir decline in mixed old-growth mountain forests in Eastern and Southeastern Europe. Forestry 2011, 84, 479–491. [Google Scholar] [CrossRef]
- Cavlovic, J.; Boncina, A.; Bozic, M.; Goršic, E.; Simončič, T.; Teslak, K. Depression and growth recovery of silver fir in uneven-aged Dinaric forests in Croatia from 1901 to 2001. Forestry 2014, 88, 586–598. [Google Scholar] [CrossRef]
- Toljander, J.F.; Eberhardt, U.; Toljander, Y.K.; Paul, L.R.; Taylor, A.F.S. Species composition of an ectomycorrhizal fungal community along a local nutrient gradient in a boreal forest. New Phytol. 2006, 170, 873–884. [Google Scholar] [CrossRef]
- van der Linde, S.; Suz, L.M.; Orme, C.D.L.; Cox, F.; Andreae, H.; Asi, E.; Atkinson, B.; Benham, S.; Carroll, C.; Cools, N.; et al. Environment and host as large-scale controls of ectomycorrhizal fungi. Nature 2018, 558, 243–248. [Google Scholar] [CrossRef]
- Gong, S.; Feng, B.; Jian, S.-P.; Wang, G.S.; Ge, Z.-W.; Yang, Z.L. Elevation Matters More than Season in Shaping the Heterogeneity of Soil and Root Associated Ectomycorrhizal Fungal Community. Microbiol. Spectr. 2022, 10, e01950-21. [Google Scholar] [CrossRef] [PubMed]
- Ettema, C.H.; Lowrance, R.; Coleman, D.C. Riparian soil response to surface nitrogen input: Temporal changes in denitrification, labile and microbial C and N pools, and bacterial and fungal respiration. Soil Biol. Biochem. 1999, 31, 1609–1624. [Google Scholar] [CrossRef]
- Courty, P.E.; Franc, A.; Pierrat, J.C.; Garbaye, J. Temporal changes in the ectomycorrhizal community in two soil horizons of a temperate oak forest. Appl. Environ. Microbiol. 2008, 74, 5792–5801. [Google Scholar] [CrossRef] [PubMed]
- Vargas-Gastélum, L.; Romero-Olivares, A.L.; Escalante, A.E.; Rocha-Olivares, A.; Brizuela, C.; Riquelme, M. Impact of seasonal changes on fungal diversity of a semi-arid ecosystem revealed by 454 pyrosequencing. FEMS Microbiol. Ecol. 2015, 91, fiv044. [Google Scholar] [CrossRef]
- Vořiškova, J.; Brabcová, V.; Cajthaml, T.; Baldrian, P. Seasonal dynamics of fungal communities in a temperate oak forest soil. New Phytol. 2014, 201, 269–278. [Google Scholar] [CrossRef]
- He, J.; Tedersoo, L.; Hu, A.; Han, C.; He, D.; Wei, H.; Jiao, M.; Anslan, S.; Nie, Y.; Jia, Y.; et al. Greater diversity of soil fungal communities and distinguishable seasonal variation in temperate deciduous forests compared with subtropical evergreen forests of eastern China. FEMS Microbiol. Ecol. 2017, 93, fix069. [Google Scholar] [CrossRef]
- Gorfer, M.; Mayer, M.; Berger, H.; Rewald, B.; Tallian, C.; Matthews, B.; Sandén, H.; Katzensteiner, K.; Godbold, D.L. High Fungal Diversity but Low Seasonal Dynamics and Ectomycorrhizal Abundance in a Mountain Beech Forest. Microb. Ecol. 2021, 82, 243–256. [Google Scholar] [CrossRef]
- Mundra, S.; Bahram, M.; Tedersoo, L.; Kauserud, H.; Halvorsen, R.; Eidesen, P.B. Temporal variation of Bistorta vivipara-associated ectomycorrhizal fungal communities in the High Arctic. Mol. Ecol. 2015, 24, 6289–6302. [Google Scholar] [CrossRef]
- Rudolph, S.; Maciá-Vicente, J.G.; Lotz-Winter, H.; Schleuning, M.; Piepenbring, M. Temporal variation of fungal diversity in a mosaic landscape in Germany. Stud. Mycol. 2018, 89, 95–104. [Google Scholar] [CrossRef]
- Heklau, H.; Schindler, N.; Eisenhauer, N.; Ferlian, O.; Bruelheide, H. Temporal variation of mycorrhization rates in a tree diversity experiment. Ecol. Evol. 2023, 13, e10002. [Google Scholar] [CrossRef]
- Pérez-Izquierdo, L.; Zabal-Aguirre, M.; Flores-Rentería, D.; González-Martínez, S.C.; Buée, M.; Rincón, A. Functional outcomes of fungal community shifts driven by tree genotype and spatial-temporal factors in Mediterranean pine forests. Environ. Microbiol. 2017, 19, 1639–1652. [Google Scholar] [CrossRef] [PubMed]
- Koide, R.T.; Shumway, D.L.; Xu, B.; Sharda, J.N. On temporal partitioning of a community of ectomycorrhizal fungi. New Phytol. 2007, 174, 420–429. [Google Scholar] [CrossRef] [PubMed]
- Walker, J.F.; Miller, O.K.; Horton, J.L. Seasonal dynamics of ectomycorrhizal fungus assemblages on oak seedlings in the southeastern Appalachian Mountains. Mycorrhiza 2008, 18, 123–132. [Google Scholar] [CrossRef] [PubMed]
- Jumpponen, A.; Jones, K.L.; Mattox, J.D.; Yaege, C. Massively parallel 454-sequencing of fungal communities in Quercus spp. ectomycorrhizas indicates seasonal dynamics in urban and rural sites. Mol. Ecol. 2010, 19, 41–53. [Google Scholar] [CrossRef]
- Kaiser, C.; Koranda, M.; Kitzler, B.; Fuchslueger, L.; Schnecker, J.; Schweiger, P.; Rasche, F.; Zechmeister-Boltenstern, S.; Sessitsch, A.; Richter, A. Belowground carbon allocation by trees drives seasonal patterns of extracellular enzyme activities by altering microbial community composition in a beech forest soil. New Phytol. 2010, 187, 843–858. [Google Scholar] [CrossRef]
- Izzo, A.; Agbowo, J.; Bruns, T.D. Detection of plot-level changes in ectomycorrhizal communities across years in an old-growth mixed-conifer forest. New Phytol. 2005, 166, 619–629. [Google Scholar] [CrossRef]
- Unuk, T.; Martinović, T.; Finžgar, D.; Šibanc, N.; Grebenc, T.; Kraigher, H. Root-Associated Fungal Communities From Two Phenologically Contrasting Silver Fir (Abies alba Mill.) Groups of Trees. Front. Plant Sci. 2019, 10, 214. [Google Scholar] [CrossRef]
- Waldrop, M.P.; Firestone, M.K. Seasonal dynamics of microbial community composition and function in oak canopy and open grassland soils. Microb. Ecol. 2006, 52, 470–479. [Google Scholar] [CrossRef]
- Taylor, D.L.; Bruns, T.D. Community structure of ectomycorrhizal fungi in a Pinus muricata forest: Minimal overlap between the mature forest and resistant propagule communities. Mol. Ecol. 1999, 8, 1837–1850. [Google Scholar] [CrossRef]
- Baar, J.; Horton, T.R.; Kretzer, A.M.; Bruns, T.D. Mycorrhizal colonization of Pinus muricata from resistant propagules after a stand-replacing wildfire. New Phytol. 1999, 143, 409–418. [Google Scholar] [CrossRef]
- Železnik, P.; Hrenko, M.; Then, C.; Koch, N.; Grebenc, T.; Levanič, T.; Kraigher, H. CASIROZ: Root parameters and types of ectomycorrhiza of young beech plants exposed to different ozone and light regimes. Plant Biol. 2007, 9, 298–308. [Google Scholar] [CrossRef] [PubMed]
- Chen, W.; Koide, R.T.; Adams, T.S.; DeForest, J.L.; Cheng, L.; Eissenstat, D.M. Root morphology and mycorrhizal symbioses together shape nutrient foraging strategies of temperate trees. Proc. Natl. Acad. Sci. USA 2016, 113, 8741–8746. [Google Scholar] [CrossRef] [PubMed]
- Železnik, P.; Vilhar, U.; Starr, M.; de Groot, M.; Kraigher, H. Fine root dynamics in Slovenian beech forests in relation to soil temperature and water availability. Trees-Struct. Funct. 2016, 30, 375–384. [Google Scholar] [CrossRef][Green Version]
- Agerer, R. Colour Atlas of Ectomycorrhizae, 1st–12th ed.; Einhorn-Verlag: Schwäbisch Gmünd, Germany, 1987. [Google Scholar]
- Unuk Nahberger, T.; Kraigher, H.; Grebenc, T. Ectomycorrhizal symbionts of silver fir in Slovenia. Folia Biol. Geol. 2024, 65, 53–63. [Google Scholar] [CrossRef]
- White, T.J.; Bruns, T.; Lee, S.; Taylor, J. Amplification and direct sequencing of fungal ribosomal RNA genes for phylogenetics. In PCR Protocols; Elsevier: Amsterdam, The Netherlands, 1990; pp. 315–322. [Google Scholar]
- Gardes, M.; Bruns, T.D. ITS primers with enhanced specificity for basidiomycetes—Application to the identification of mycorrhizae and rusts. Mol. Ecol. 1993, 2, 113–118. [Google Scholar] [CrossRef]
- Unuk Nahberger, T.; Damjanič, R.; Kraigher, H.; Grebenc, T. Potential link between ectomycorrhizal community composition and host tree phenology. Forests 2021, 12, 1719. [Google Scholar] [CrossRef]
- Kearse, M.; Moir, R.; Wilson, A.; Stones-Havas, S.; Cheung, M.; Sturrock, S.; Buxton, S.; Cooper, A.; Markowitz, S.; Duran, C.; et al. Geneious Basic: An integrated and extendable desktop software platform for the organization and analysis of sequence data. Bioinformatics 2012, 28, 1647–1649. [Google Scholar] [CrossRef]
- Porras-Alfaro, A.; Liu, K.L.; Kuske, C.R.; Xiec, G. From genus to phylum: Large-subunit and internal transcribed spacer rRNA operon regions show similar classification accuracies influenced by database composition. Appl. Environ. Microbiol. 2014, 80, 829–840. [Google Scholar] [CrossRef]
- Raja, H.A.; Miller, A.N.; Pearce, C.J.; Oberlies, N.H. Fungal Identification Using Molecular Tools: A Primer for the Natural Products Research Community. J. Nat. Prod. 2017, 80, 756–770. [Google Scholar] [CrossRef]
- Rinaldi, A.C.; Comandini, O.; Kuyper, T.W. Ectomycorrhizal fungal diversity: Separating the wheat from the chaff. Fungal Divers. 2008, 33, 1–45. [Google Scholar]
- Tedersoo, L.; May, T.W.; Smith, M.E. Ectomycorrhizal lifestyle in fungi: Global diversity, distribution, and evolution of phylogenetic lineages. Mycorrhiza 2010, 20, 217–263. [Google Scholar] [CrossRef] [PubMed]
- R Core Team. R: A Language and Environment for Statistical Computing; R Foundation for Statictial Computing: Vienna, Austria, 2016. [Google Scholar]
- Wickham, H. ggplot2: Elegant Graphics for Data Analysis; Springer: New York, NY, USA, 2016; Available online: https://ggplot2.tidyverse.org (accessed on 15 March 2019).
- Hill, M.O. Diversity and Evenness: A Unifying Notation and Its Consequences. Ecology 1973, 54, 427–432. [Google Scholar] [CrossRef]
- Oksanen, J.; Blanchet, F.G.; Kindt, R.; Legendre, P.; Minchin, P.R.; O’Hara, R.B.; Simpson, G.L.; Sólymos, P.; Stevens, M.H.H.; Wagner, H. vegan: Community Ecology Package. Software. 2018. Available online: http://CRAN.R-project.org/package=vegan (accessed on 2 February 2019).
- Liu, C.; Cui, Y.; Li, X.; Yao, M. Microeco: An R package for data mining in microbial community ecology. FEMS Microbiol. Ecol. 2021, 97, fiaa255. [Google Scholar] [CrossRef] [PubMed]
- Wang, Y.; Naumann, U.; Wright, S.T.; Warton, D.I. Mvabund- an R package for model-based analysis of multivariate abundance data. Methods Ecol. Evol. 2012, 3, 471–474. [Google Scholar] [CrossRef]
- Unuk, T.; Grebenc, T. Silver fir (Abies alba Mill.) ectomycorrhiza across its areal—A review approach / Ektomikorizni simbionti bele jelke (Abies alba Mill.) na naravnem območju razširjenosti—Pregled. Folia Biol. Geol. 2017, 58, 115–123. [Google Scholar] [CrossRef]
- Mrak, T.; Hukić, E.; Štraus, I.; Unuk Nahberger, T.; Kraigher, H. Ectomycorrhizal community composition of organic and mineral soil horizons in silver fir (Abies alba Mill.) stands. Mycorrhiza 2020, 30, 541–553. [Google Scholar] [CrossRef]
- Allen, A.P.; Brown, J.H.; Gillooly, J.F. Global biodiversity, biochemical kinetics, and the energetic-equivalence rule. Science 2002, 297, 1545–1548. [Google Scholar] [CrossRef]
- Bahram, M.; Põlme, S.; Kõljalg, U.; Zarre, S.; Tedersoo, L. Regional and local patterns of ectomycorrhizal fungal diversity and community structure along an altitudinal gradient in the Hyrcanian forests of northern Iran. New Phytol. 2012, 193, 465–473. [Google Scholar] [CrossRef]
- Shi, L.L.; Mortimer, P.E.; Ferry Slik, J.W.; Zou, X.M.; Xu, J.; Feng, W.T.; Qiao, L. Variation in forest soil fungal diversity along a latitudinal gradient. Fungal Divers. 2014, 64, 305–315. [Google Scholar] [CrossRef]
- Tedersoo, L.; Bahram, M.; Toots, M.; Diédhiou, A.G.; Henkel, T.W.; Kjoller, R.; Morris, M.H.; Nara, K.; Nouhra, E.; Peay, K.G.; et al. Towards global patterns in the diversity and community structure of ectomycorrhizal fungi. Mol. Ecol. 2012, 21, 4160–4170. [Google Scholar] [CrossRef]
- Liu, J.; Sui, Y.; Yu, Z.; Shi, Y.; Chu, H.; Jin, J.; Liu, X.; Wang, G. Soil carbon content drives the biogeographical distribution of fungal communities in the black soil zone of northeast China. Soil Biol. Biochem. 2015, 83, 29–39. [Google Scholar] [CrossRef]
- Hawkes, C.V.; Kivlin, S.N.; Rocca, J.D.; Huguet, V.; Thomsen, M.A.; Suttle, K.B. Fungal community responses to precipitation. Glob. Chang. Biol. 2011, 17, 1637–1645. [Google Scholar] [CrossRef]
- Martínez-Peña, F.; de-Miguel, S.; Pukkala, T.; Bonet, J.A.; Ortega-Martínez, P.; Aldea, J.; Martínez de Aragón, J. Yield models for ectomycorrhizal mushrooms in Pinus sylvestris forests with special focus on Boletus edulis and Lactarius group deliciosus. For. Ecol. Manage. 2012, 282, 63–69. [Google Scholar] [CrossRef]
- Teskey, R.O.; Hinckley, T.M. Influence of temperature and water potential on root growth of white oak. Physiol. Plant. 1981, 52, 363–369. [Google Scholar] [CrossRef]
- Abramoff, R.Z.; Finzi, A.C. Are above- and below-ground phenology in sync? New Phytol. 2015, 205, 1054–1061. [Google Scholar] [CrossRef]
- Pregitzer, K.S.; King, J.S.; Burton, A.J.; Brown, S.E. Responses of tree fine roots to temperature. New Phytol. 2000, 147, 105–115. [Google Scholar] [CrossRef]
- Joslin, J.D.; Wolfe, M.H.; Hanson, P.J. Factors controlling the timing of root elongation intensity in a mature upland oak stand. Plant Soil 2001, 228, 201–212. [Google Scholar] [CrossRef]
- Mccormack, M.L.; Adams, T.S.; Smithwick, E.A.H.; David, M.; Mccormack, M.L.; Adams, T.S.; Smithwick, E.A.H.; Eissenstat, D.M. Variability in root production, phenology, and turnover rate among 12 temperate tree specie. Ecology 2017, 95, 2224–2235. [Google Scholar] [CrossRef]
- Heinemeyer, A.; Hartley, I.P.; Evans, S.P.; Carreira De La Fuente, J.A.; Ineson, P. Forest soil CO2flux: Uncovering the contribution and environmental responses of ectomycorrhizas. Glob. Chang. Biol. 2007, 13, 1786–1797. [Google Scholar] [CrossRef]
- Pena, R.; Offermann, C.; Simon, J.; Naumann, P.S.; Geßler, A.; Holst, J.; Dannenmann, M.; Mayer, H.; Kögel-Knabner, I.; Rennenberg, H.; et al. Girdling affects ectomycorrhizal fungal (EMF) diversity and reveals functional differences in EMF community composition in a beech forest. Appl. Environ. Microbiol. 2010, 76, 1831–1841. [Google Scholar] [CrossRef]
- Richard, F.; Roy, M.; Shahin, O.; Sthultz, C.; Duchemin, M.; Joffre, R.; Selosse, M.A. Ectomycorrhizal communities in a Mediterranean forest ecosystem dominated by Quercus ilex: Seasonal dynamics and response to drought in the surface organic horizon. Ann. For. Sci. 2011, 68, 57–68. [Google Scholar] [CrossRef]
- Khokon, A.M.; Janz, D.; Polle, A. Ectomycorrhizal diversity, taxon-specific traits and root N uptake in temperate beech forests. New Phytol. 2023, 239, 739–751. [Google Scholar] [CrossRef] [PubMed]
- Bardgett, R.D.; Bowman, W.D.; Kaufmann, R.; Schmidt, S.K. A temporal approach to linking aboveground and belowground ecology. Trends Ecol. Evol. 2005, 20, 634–641. [Google Scholar] [CrossRef] [PubMed]
- Nemergut, D.R.; Costello, E.K.; Meyer, A.F.; Pescador, M.Y.; Weintraub, M.N.; Schmidt, S.K. Structure and function of alpine and arctic soil microbial communities. Res. Microbiol. 2005, 156, 775–784. [Google Scholar] [CrossRef]
- Epron, D.; Ngao, J.; Dannoura, M.; Bakker, M.R.; Zeller, B.; Bazot, S.; Bosc, A.; Plain, C.; Lata, J.C.; Priault, P.; et al. Seasonal variations of belowground carbon transfer assessed by in situ 13CO2 pulse labelling of trees. Biogeosciences 2011, 8, 1153–1168. [Google Scholar] [CrossRef]
- Castaño, C.; Alday, J.G.; Parladé, J.; Pera, J.; Martínez de Aragón, J.; Bonet, J.A. Seasonal dynamics of the ectomycorrhizal fungus Lactarius vinosus are altered by changes in soil moisture and temperature. Soil Biol. Biochem. 2017, 115, 253–260. [Google Scholar] [CrossRef]
- Siles, J.A.; Cajthaml, T.; Minerbi, S.; Margesin, R. Effect of altitude and season on microbial activity, abundance and community structure in Alpine forest soils. FEMS Microbiol. Ecol. 2016, 92, fiw008. [Google Scholar] [CrossRef]
- A’Bear, A.D.; Jones, T.H.; Kandeler, E.; Boddy, L. Interactive effects of temperature and soil moisture on fungal-mediated wood decomposition and extracellular enzyme activity. Soil Biol. Biochem. 2014, 70, 151–158. [Google Scholar] [CrossRef]
- Cowles, J.; Boldgiv, B.; Liancourt, P.; Petraitis, P.S.; Casper, B.B. Effects of increased temperature on plant communities depend on landscape location and precipitation. Ecol. Evol. 2018, 8, 5267–5278. [Google Scholar] [CrossRef]
- Onwuka, B. Effects of Soil Temperature on Some Soil Properties and Plant Growth. Adv. Plants Agric. Res. 2018, 8, 34–37. [Google Scholar] [CrossRef]
- Schmit, J.P.; Lodge, D.J. Classical Methods and Modern Analysis for Studying Fungal Diversity. In The Fungal Community: Its Organization and Role in the Ecosystem; CRC Press: Boca Raton, FL, USA, 2005. [Google Scholar]
- Halme, P.; Kotiaho, J.S. The importance of timing and number of surveys in fungal biodiversity research. Biodivers. Conserv. 2012, 21, 205–219. [Google Scholar] [CrossRef]





| Study Site | Coordinate (Gauss) | Climate | Altitude (m a.s.l) | Forestry Classification | pH 0.01 M (CaCl2) | Organic C (%) | Total N (%) | 
|---|---|---|---|---|---|---|---|
| Jelovški boršt (JB) | 45.45° N, 15.05° E | Temperate continental climate | 180–225 | Dryopterido-Abietetum | 4.04 | 2.83 | 0.17 | 
| Ljubelj (L) | 46.24° N, 14.15° E | Alpine climate | 960–1050 | Dryopterido-Abietetum | 3.5 | 1.40 | 0.09 | 
| Lehen na Pohorju (LP) | 46.33° N, 15.20° E | Alpine climate | 469–611 | Dryopterido-Abietetum | 3.5 | 10.30 | 0.62 | 
| Richness | Evenness | Dominance | ||
|---|---|---|---|---|
| Sampling month | 0.00113 ** | 0.143 | 0.302 | |
| Jelovški boršt | Sampling month × factor (Sampling year) | 0.00173 ** | 0.00299 ** | 0.00545 ** | 
| Sampling month | 0.00181 ** | 0.00181 ** | 0.0102 * | |
| Lehen na Pohorju | Sampling month × factor (Sampling year) | 2 × 10−4 *** | 0.00172 ** | 0.015 * | 
| Sampling month | 0.319 | 0.202 | 0.194 | |
| Ljubelj | Sampling month × factor (Sampling year) | 0.392 | 0.239 | 0.298 | 
| Disclaimer/Publisher’s Note: The statements, opinions and data contained in all publications are solely those of the individual author(s) and contributor(s) and not of MDPI and/or the editor(s). MDPI and/or the editor(s) disclaim responsibility for any injury to people or property resulting from any ideas, methods, instructions or products referred to in the content. | 
© 2025 by the authors. Licensee MDPI, Basel, Switzerland. This article is an open access article distributed under the terms and conditions of the Creative Commons Attribution (CC BY) license (https://creativecommons.org/licenses/by/4.0/).
Share and Cite
Unuk Nahberger, T.; Kraigher, H.; Grebenc, T. High Spatial but Low Temporal Variability in Ectomycorrhizal Community Composition in Abies alba Forest Stands. Microorganisms 2025, 13, 308. https://doi.org/10.3390/microorganisms13020308
Unuk Nahberger T, Kraigher H, Grebenc T. High Spatial but Low Temporal Variability in Ectomycorrhizal Community Composition in Abies alba Forest Stands. Microorganisms. 2025; 13(2):308. https://doi.org/10.3390/microorganisms13020308
Chicago/Turabian StyleUnuk Nahberger, Tina, Hojka Kraigher, and Tine Grebenc. 2025. "High Spatial but Low Temporal Variability in Ectomycorrhizal Community Composition in Abies alba Forest Stands" Microorganisms 13, no. 2: 308. https://doi.org/10.3390/microorganisms13020308
APA StyleUnuk Nahberger, T., Kraigher, H., & Grebenc, T. (2025). High Spatial but Low Temporal Variability in Ectomycorrhizal Community Composition in Abies alba Forest Stands. Microorganisms, 13(2), 308. https://doi.org/10.3390/microorganisms13020308
 
        




 
       