Development and Application of Lactobacillus plantarum PSCPL13 Probiotics in Olive Flounder (Paralichthys olivaceus) Farming
Abstract
1. Introduction
2. Materials and Methods
2.1. Statement on Ethics
2.2. Isolation and Characterisation of PSCPL13
2.3. Molecular Characterisation of PSCPL13
2.4. Antibacterial Activity of PSCPL13
2.5. Acid and Bile Salt Tolerance
2.6. Single Oral Toxicity Test in Rats
2.7. Single Oral Toxicity in Olive Flounder
2.8. Effects of PSCPL13 Probiotics on Aquaculture Productivity
2.8.1. Medium Plating and Culture
2.8.2. Comparative Analysis of Intestinal Bacterial Community
2.8.3. Blood and Immunological Tests
2.9. Statistical Analysis
3. Results
3.1. Isolation and Identification of Probiotics
3.2. Molecular Characterisation
3.3. Antibacterial Activity, Bile Salt Tolerance and Acid Tolerance of PSCPL13
3.4. Single Oral Toxicity Test of PSCPL13 in SD Rats
3.5. Single Oral Toxicity Test in Olive Flounder
3.6. Effects of PSCPL13 Probiotics on Fish Farming
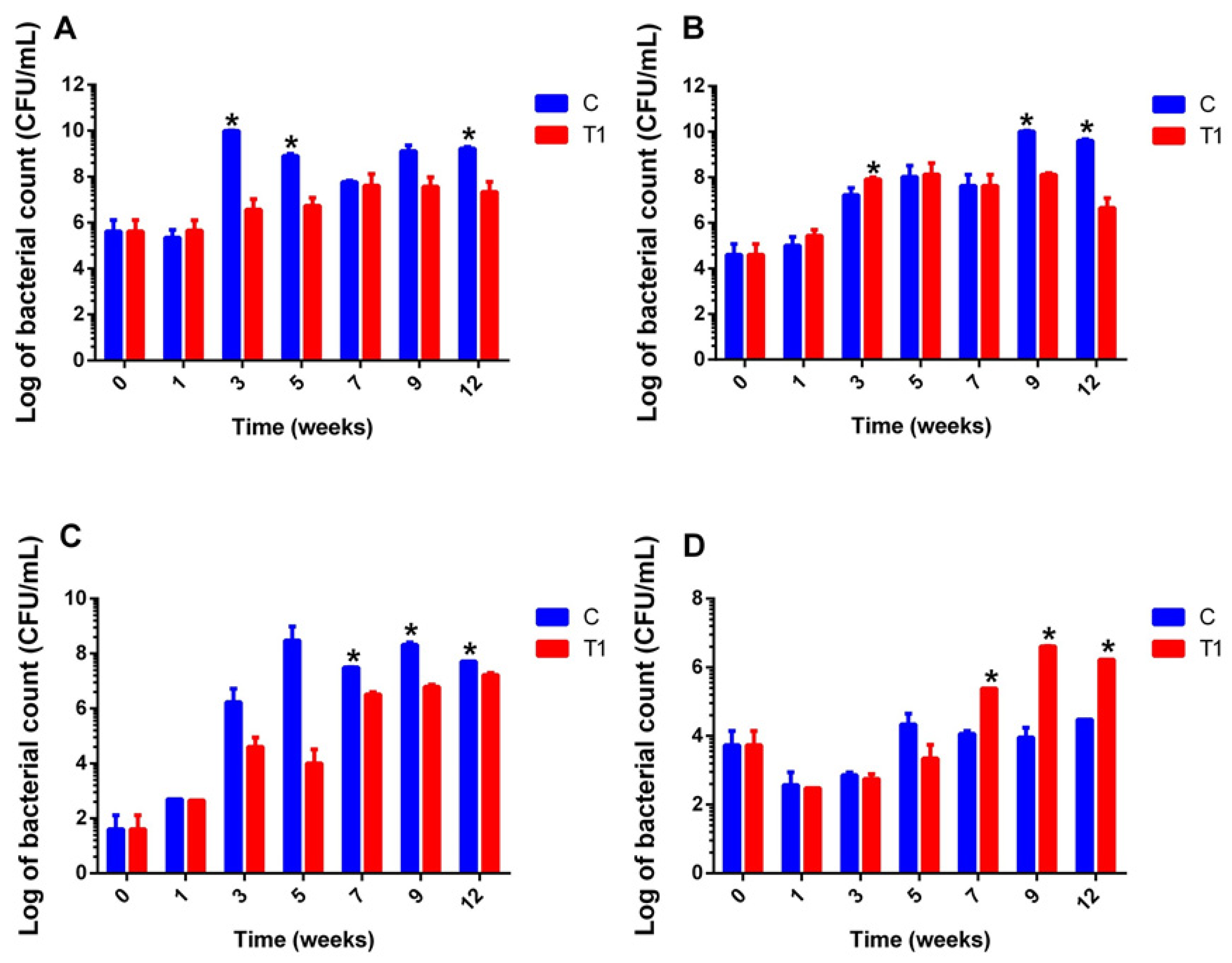
3.6.1. Medium Plating and Culture
3.6.2. Comparative Analysis of Intestinal Bacterial Community
3.6.3. Blood and Immunological Tests
4. Discussion
5. Conclusions
Author Contributions
Funding
Institutional Review Board Statement
Informed Consent Statement
Data Availability Statement
Acknowledgments
Conflicts of Interest
References
- He, S.; Ran, C.; Qin, C.; Li, S.; Zhang, H.; De Vos, W.M.; Ringø, E.; Zhou, Z. Anti-infective effect of adhesive probiotic Lactobacillus in fish is correlated with their spatial distribution in the intestinal tissue. Sci. Rep. 2017, 7, 13195. [Google Scholar] [CrossRef] [PubMed]
- Torres-Maravilla, E.; Parra, M.; Maisey, K.; Vargas, R.A.; Cabezas-Cruz, A.; Gonzalez, A.; Tello, M.; Bermúdez-Humarán, L.G. Importance of Probiotics in Fish Aquaculture: Towards the Identification and Design of Novel Probiotics. Microorganisms 2024, 12, 626. [Google Scholar] [CrossRef]
- Jiang, Y.-H.; Liang, M.; Yang, Y.-H.; Xue, J.; Suo, H.-Y. Probiotic Lactobacillus plantarum SHY21-2 protected zebrafish against Aeromonas hydrophila infection by maintaining intestinal barrier integrity, inhibiting inflammatory and oxidative stress responses, and regulating intestinal microbiome. Aquaculture 2024, 582, 740506. [Google Scholar] [CrossRef]
- Xue, F.; Chen, T.; Xu, M. Effects of Regional Comprehensive Economic Partnership Entry into Force on Aquatic Products Trade Among Parties. Sustainability 2024, 16, 10620. [Google Scholar] [CrossRef]
- OCHA. The State of World Fisheries and Aquaculture 2022. Available online: https://reliefweb.int/report/world/state-world-fisheries-and-aquaculture-2022-enarruzh?gclid=Cj0KCQjwz6ShBhCMARIsAH9A0qUu-zvxhXQtUCNTgw80wRh0HZzJlh0I3iPzjSr2xtXcrMJ4gE3wv4UaAkGfEALw_wcB (accessed on 29 June 2022).
- Amenyogbe, E. Application of probiotics for sustainable and environment-friendly aquaculture management—A review. Cogent Food Agric. 2023, 9, 2226425. [Google Scholar] [CrossRef]
- Tran, N.T.; Yang, W.; Nguyen, X.T.; Zhang, M.; Ma, H.; Zheng, H.; Zhang, Y.; Chan, K.-G.; Li, S. Application of heat-killed probiotics in aquaculture. Aquaculture 2022, 548, 737700. [Google Scholar] [CrossRef]
- Anarkhis, N. Probiotics in Aquaculture Brian Austin and SM Sharifuzzaman; Springer: Cham, Switzerland, 2022; 308p, ISBN 978-3-030-98621-6. [Google Scholar]
- Ringø, E. Probiotics in shellfish aquaculture. Aquac. Fish. 2020, 5, 1–27. [Google Scholar] [CrossRef]
- Newaj-Fyzul, A.; Al-Harbi, A.; Austin, B. Developments in the use of probiotics for disease control in aquaculture. Aquaculture 2014, 431, 1–11. [Google Scholar] [CrossRef]
- Newaj-Fyzul, A.; Austin, B. Probiotics, immunostimulants, plant products and oral vaccines, and their role as feed supplements in the control of bacterial fish diseases. J. Fish Dis. 2015, 38, 937–955. [Google Scholar] [CrossRef]
- Lee, W.; Ahn, G.; Oh, J.Y.; Kim, S.M.; Kang, N.; Kim, E.A.; Kim, K.-N.; Jeong, J.B.; Jeon, Y.-J. A prebiotic effect of Ecklonia cava on the growth and mortality of olive flounder infected with pathogenic bacteria. Fish Shellfish Immunol. 2016, 51, 313–320. [Google Scholar] [CrossRef] [PubMed]
- Boby, N.; Abbas, M.A.; Lee, E.-B.; Park, S.-C. Pharmacodynamics of ceftiofur selected by genomic and proteomic approaches of Streptococcus parauberis isolated from the flounder, Paralichthys olivaceus. Int. J. Genom. 2020, 2020, 4850290. [Google Scholar] [CrossRef]
- Nayak, S.K. Probiotics and immunity: A fish perspective. Fish Shellfish Immunol. 2010, 29, 2–14. [Google Scholar] [CrossRef]
- Nayak, S.K. Multifaceted applications of probiotic Bacillus species in aquaculture with special reference to Bacillus subtilis. Rev. Aquac. 2021, 13, 862–906. [Google Scholar] [CrossRef]
- Soltani, M.; Ghosh, K.; Hoseinifar, S.H.; Kumar, V.; Lymbery, A.J.; Roy, S.; Ringø, E. Genus Bacillus, promising probiotics in aquaculture: Aquatic animal origin, bio-active components, bioremediation and efficacy in fish and shellfish. Rev. Fish. Sci. Aquac. 2019, 27, 331–379. [Google Scholar] [CrossRef]
- Soares, M.C.; Cable, J.; Lima-Maximino, M.G.; Maximino, C.; Xavier, R. Using fish models to investigate the links between microbiome and social behaviour: The next step for translational microbiome research? Fish Fish. 2019, 20, 640–652. [Google Scholar] [CrossRef]
- Kume, M.; Yoshikawa, Y.; Tanaka, T.; Watanabe, S.; Mitamura, H.; Yamashita, Y. Water temperature and precipitation stimulate small-sized Japanese eels to climb a low-height vertical weir. PLoS ONE 2022, 17, e0279617. [Google Scholar] [CrossRef]
- Hatakeyama, R.; Sudo, R.; Yatabe, T.; Yamano, K.; Nomura, K. Developmental features of Japanese eels, Anguilla japonica, from the late leptocephalus to the yellow eel stages: An early metamorphosis to the eel-like form and a prolonged transition to the juvenile. J. Fish Biol. 2022, 100, 454–473. [Google Scholar] [CrossRef] [PubMed]
- Ono, Y.; Hirasaka, K.; Myosho, T.; Fujimoto, S.; Yagi, M. Environmental DNA concentrations of Japanese eels in relation to habitat characteristics. Aquac. Sci. 2023, 71, 45–48. [Google Scholar]
- Zhang, M.; Feng, Y.; Zhong, Z.; Du, Q.; Yu, W.; Wu, J.; Huang, X.; Huang, Z.; Xie, G.; Shu, H. Host Gut-Derived Probiotic, Exiguobacterium acetylicum G1-33, Improves Growth, Immunity, and Resistance to Vibrio harveyi in Hybrid Grouper (Epinephelus fuscoguttatus ♀ × Epinephelus lanceolatus ♂). Microorganisms 2024, 12, 1688. [Google Scholar] [CrossRef] [PubMed]
- CLSI. Methods for Dilution Antimicrobial Susceptibility Test for Bacteria. Available online: https://clsi.org/media/1928/m07ed11_sample.pdf (accessed on 1 January 2018).
- Abbas, M.A.; Lee, E.-B.; Boby, N.; Birhanu, B.T.; Park, S.-C. A pharmacodynamic investigation to assess the synergism of orbifloxacin and propyl gallate against Escherichia coli. Front. Pharmacol. 2022, 13, 989395. [Google Scholar] [CrossRef] [PubMed]
- Kim, Y.J.; Jun, L.J.; Lee, D.W.; Lee, Y.J.; Ko, Y.J.; Oh, Y.E.; Woo, S.J.; Kim, M.S.; Kim, S.M.; Jeong, J.B. Antibiotic susceptibility of bacterial pathogens that infect olive flounder (Paralichthys olivaceus) cultivated in Korea. Int. J. Environ. Res. Public Health 2022, 19, 8110. [Google Scholar] [CrossRef]
- Reis, F.Y.T.; Rocha, V.P.; Janampa-Sarmiento, P.C.; Costa, H.L.; Egger, R.C.; Passos, N.C.; de Assis, C.H.S.; Carneiro, S.P.; Santos, Á.F.; Silva, B.A. Edwardsiella tarda in Tambaqui (Colossoma macropomum): A Pathogenicity, Antimicrobial Susceptibility, and Genetic Analysis of Brazilian Isolates. Animals 2023, 13, 2910. [Google Scholar] [CrossRef]
- Hassanzadazar, H.; Ehsani, A.; Mardani, K.; Hesari, J. Investigation of antibacterial, acid and bile tolerance properties of lactobacilli isolated from Koozeh cheese. Vet. Res. Forum 2012, 3, 181–185. [Google Scholar] [PubMed]
- Hackbarth, H.; Küppers, N.; Bohnet, W. Euthanasia of rats with carbon dioxide-animal welfare aspects. Lab. Anim. 2000, 34, 91–96. [Google Scholar] [CrossRef]
- Abbas, M.A.; Boby, N.; Lee, E.-B.; Hong, J.-H.; Park, S.-C. Anti-obesity effects of Ecklonia cava extract in high-fat diet-induced obese rats. Antioxidants 2022, 11, 310. [Google Scholar] [CrossRef]
- Boby, N.; Abbas, M.A.; Lee, E.-B.; Im, Z.-E.; Lee, S.-J.; Park, S.-C. Microbiota modulation and anti-obesity effects of fermented Pyrus ussuriensis Maxim extract against high-fat diet-induced obesity in rats. Biomed. Pharmacother. 2022, 154, 113629. [Google Scholar] [CrossRef]
- Parasuraman, S. Toxicological screening. J. Pharmacol. Pharmacother. 2011, 2, 74–79. [Google Scholar]
- Birhanu, B.T.; Kim, H.J.; Park, N.H.; Lee, S.J.; Awji, E.G.; Park, S.C. Oral pharmacokinetics of a novel Lactobacillus plantarum PSCPL13 in the intestines of experimental flounder. Aquac. Res. 2017, 48, 5171–5174. [Google Scholar] [CrossRef]
- ISO.org. ISO 15214:1998. Available online: https://www.iso.org/obp/ui/en/#iso:std:iso:15214:ed-1:v1:en (accessed on 29 June 2022).
- Tacon, A.G.; Metian, M. Global overview on the use of fish meal and fish oil in industrially compounded aquafeeds: Trends and future prospects. Aquaculture 2008, 285, 146–158. [Google Scholar] [CrossRef]
- Fry, J.P.; Mailloux, N.A.; Love, D.C.; Milli, M.C.; Cao, L. Corrigendum: Feed conversion efficiency in aquaculture: Do we measure it correctly? (2018 Environ. Res. Lett. 13 024017). Environ. Res. Lett. 2018, 13, 079502. [Google Scholar] [CrossRef]
- Araujo, G.S.; Silva, J.W.A.d.; Cotas, J.; Pereira, L. Fish Farming Techniques: Current Situation and Trends. J. Mar. Sci. Eng. 2022, 10, 1598. [Google Scholar] [CrossRef]
- Radwan, M. Vital economic threat of predatory birds and parasites to cultivated fishes in Egypt. Aquaculture 2022, 548, 737666. [Google Scholar] [CrossRef]
- Luo, F.; Song, K.; Chen, W.; Qi, X.; Zhang, Y.; Wang, G.; Ling, F. Longitudinal analysis of changes in the gut microbiota of zebrafish following acute spring viremia of carp virus infection. Aquaculture 2023, 572, 739499. [Google Scholar] [CrossRef]
- Xiong, J.-B.; Nie, L.; Chen, J. Current understanding on the roles of gut microbiota in fish disease and immunity. Zool. Res. 2019, 40, 70–76. [Google Scholar]
- Verschuere, L.; Rombaut, G.; Sorgeloos, P.; Verstraete, W. Probiotic bacteria as biological control agents in aquaculture. Microbiol. Mol. Biol. Rev. 2000, 64, 655–671. [Google Scholar] [CrossRef]
- Liu, Y.; Wang, J.; Wu, C. Modulation of gut microbiota and immune system by probiotics, pre-biotics, and post-biotics. Front. Nutr. 2022, 8, 1155. [Google Scholar] [CrossRef] [PubMed]
- Deandra, F.A.; Ketherin, K.; Rachmasari, R.; Sulijaya, B.; Takahashi, N. Probiotics and metabolites regulate the oral and gut microbiome composition as host modulation agents in periodontitis: A narrative review. Heliyon 2023, 9, e13475. [Google Scholar] [CrossRef]
- Gatesoupe, F.J. The use of probiotics in aquaculture. Aquaculture 1999, 180, 147–165. [Google Scholar] [CrossRef]
- Brunt, J.; Newaj-Fyzul, A.; Austin, B. The development of probiotics for the control of multiple bacterial diseases of rainbow trout, Oncorhynchus mykiss (Walbaum). J. Fish Dis. 2007, 30, 573–579. [Google Scholar] [CrossRef] [PubMed]
- Brunt, J.; Austin, B. Use of a probiotic to control lactococcosis and streptococcosis in rainbow trout, Oncorhynchus mykiss (Walbaum). J. Fish Dis. 2005, 28, 693–701. [Google Scholar] [CrossRef]
- Gildberg, A.; Mikkelsen, H. Effects of supplementing the feed to Atlantic cod (Gadus morhua) fry with lactic acid bacteria and immuno-stimulating peptides during a challenge trial with Vibrio anguillarum. Aquaculture 1998, 167, 103–113. [Google Scholar] [CrossRef]
- Zhang, X.; Esmail, G.A.; Alzeer, A.F.; Arasu, M.V.; Vijayaraghavan, P.; Choi, K.C.; Al-Dhabi, N.A. Probiotic characteristics of Lactobacillus strains isolated from cheese and their antibacterial properties against gastrointestinal tract pathogens. Saudi J. Biol. Sci. 2020, 27, 3505–3513. [Google Scholar] [CrossRef]
- Niu, K.-M.; Khosravi, S.; Kothari, D.; Lee, W.-D.; Lim, J.-M.; Lee, B.-J.; Kim, K.-W.; Lim, S.-G.; Lee, S.-M.; Kim, S.-K. Effects of dietary multi-strain probiotics supplementation in a low fishmeal diet on growth performance, nutrient utilization, proximate composition, immune parameters, and gut microbiota of juvenile olive flounder (Paralichthys olivaceus). Fish Shellfish Immunol. 2019, 93, 258–268. [Google Scholar] [CrossRef]
- Ayyash, M.M.; Abdalla, A.K.; AlKalbani, N.S.; Baig, M.A.; Turner, M.S.; Liu, S.-Q.; Shah, N.P. Invited review: Characterization of new probiotics from dairy and nondairy products—Insights into acid tolerance, bile metabolism and tolerance, and adhesion capability. J. Dairy Sci. 2021, 104, 8363–8379. [Google Scholar] [CrossRef] [PubMed]
- Niu, K.-M.; Kothari, D.; Lee, W.-D.; Zhang, Z.; Lee, B.-J.; Kim, K.-W.; Wu, X.; Han, H.-S.; Khosravi, S.; Lee, S.-M. Probiotic Potential of the Farmed Olive Flounder, Paralichthys olivaceus, Autochthonous Gut Microbiota. Probiot. Antimicrob. Proteins 2021, 13, 1106–1118. [Google Scholar] [CrossRef] [PubMed]
- Lee, S.; Lee, J.; Jin, Y.-I.; Jeong, J.-C.; Chang, Y.H.; Lee, Y.; Jeong, Y.; Kim, M. Probiotic characteristics of Bacillus strains isolated from Korean traditional soy sauce. LWT-Food Sci. Technol. 2017, 79, 518–524. [Google Scholar] [CrossRef]
- Boke, H.; Aslim, B.; Alp, G. The role of resistance to bile salts and acid tolerance of exopolysaccharides (EPSS) produced by yogurt starter bacteria. Arch. Biol. Sci. 2010, 62, 323–328. [Google Scholar] [CrossRef]
- Park, J.; Park, S.-C. Characterization and growth inhibition against fish pathogenic bacteria of a novel Lactobacillus plantarum PL13. J. Vet. Pharmacol. Ther. 2015, 38, 87–88. [Google Scholar]
- Pitman, M.C.; Anstey, N.M.; Davis, J.S. Eosinophils in severe sepsis in northern australia: Do the usual rules apply in the tropics? Crit. Care Med. 2013, 41, e286–e288. [Google Scholar] [CrossRef] [PubMed]
- O’Connell, E.M.; Nutman, T.B. Eosinophilia in infectious diseases. Immunol. Allergy Clin. 2015, 35, 493–522. [Google Scholar] [CrossRef]
- Boshra, H.; Gelman, A.E.; Sunyer, J.O. Structural and functional characterization of complement C4 and C1s-like molecules in teleost fish: Insights into the evolution of classical and alternative pathways. J. Immunol. 2004, 173, 349–359. [Google Scholar] [CrossRef] [PubMed]
- Mashoof, S.; Criscitiello, M.F. Fish immunoglobulins. Biology 2016, 5, 45. [Google Scholar] [CrossRef] [PubMed]












| Component | Control | Test |
|---|---|---|
| Sardine fish meal (FM) | 31.5 | 31.5 |
| Anchovy FM | 31.5 | 31.5 |
| Soybean meal | 12 | 12 |
| Wheat flour | 16.9 | 0 |
| Wheat gluten | 1 | 1 |
| Fish oil | 3.4 | 3.4 |
| Lecithin | 0.5 | 0.5 |
| Betaine | - | - |
| Monocalcium phosphate | 0.5 | 0.5 |
| Mineral mix | 1 | 1 |
| Vitamin mix | 0.8 | 0.8 |
| Vitamin C | 0.3 | 0.3 |
| Vitamin E | 0.3 | 0.3 |
| Choline | 0.3 | 0.3 |
| Wheat flour containing PSCPL13 | 0 | 16.9 |
| Total | 100 | 100 |
| Crude protein (%) | 53.5 | 52.8 |
| Crude Lipid (%) | 8.5 | 8.6 |
| Gross Energy (kcal/g) | 4.75 | 4.74 |
| Metabolisable Energy (kcal/g) | 4.2 | 4.1 |
| Nitrogen-Free Extract (%) | 60 | 61 |
| Dry Matter (%) | 89 | 89 |
| Isolate | Gram Stain Reaction | Cell Morphology | Catalase Activity | Acid Production | Lactic Acid Form | Haemolysis | Skim Milk Test (Protease Activity) | Methylcellulose Test (Cellulase Activity) | Corn Starch Test (α-Amylase Activity) | Ca-Phytate Test (Phytase Activity) |
|---|---|---|---|---|---|---|---|---|---|---|
| PSCPL01 | + | Round | + | + | (−) | + | (−) | + | + | (−) |
| PSCPL02 | + | Rod | + | + | D, L | + | (−) | (−) | + | (−) |
| PSCPL03 | + | Rod | + | (−) | L | + | ++ | (−) | + | + |
| PSCPL04 | + | Round | (−) | (−) | L | + | (−) | (−) | (−) | (−) |
| PSCPL05 | + | Rod | (−) | (−) | D | + | + | (−) | (−) | + |
| PSCPL06 | + | Round | (−) | + | D | (−) | (−) | (−) | (−) | + |
| PSCPL07 | (−) | Round | + | + | D | + | ++ | (−) | + | + |
| PSCPL08 | + | Rod | (−) | (−) | D | (−) | ++ | (−) | (−) | (−) |
| PSCPL09 | + | Rod | (−) | (−) | D | + | + | (−) | + | (−) |
| PSCPL10 | + | Rod | (−) | + | D, L | + | (−) | (−) | + | (−) |
| * PSCPL11 | + | Rod | (−) | + | D, L | (−) | +++ | + | + | + |
| PSCPL12 | + | Rod | (−) | + | D | (−) | + | (−) | + | (−) |
| PSCPL13 | + | Rod | (−) | + | D, L | (−) | +++ | ++ | ++ | + |
| PSCPL14 | + | Rod | (−) | + | D, L | (−) | + | + | + | (−) |
| PSCPL15 | (−) | Round | (−) | + | L | (−) | + | + | (−) | + |
| PSCPL16 | + | Rod | (−) | + | D, L | (−) | + | + | + | + |
| Antibacterial Agent | PSCPL13 | |
|---|---|---|
| MIC (μg/mL) | MBC (μg/mL) | |
| Cephalexin | >256 | >256 |
| Colistin sulphate | >256 | >256 |
| Enrofloxacin | 8 | 8 |
| Cefalonium | 64 | 32 |
| Amoxicillin trihydrate | 4 | 2 |
| Penicillin G procaine | 32 | 32 |
| Norfloxacin | >256 | >256 |
| Spectinomycin | 128 | 128 |
| Tylosin base | 2 | 8 |
| Cefuroxine sodium | 4 | 32 |
| Florfenicol | 4 | 8 |
| Penicillin G benzathine | 4 | 8 |
| Gentamicin sulphate | 128 | 128 |
| Streptomycin sulphate | 64 | 128 |
| DHSM | 64 | 256 |
| Item | Weekly Water Quality Change | |||
|---|---|---|---|---|
| Adaptation Period | Challenge Period | |||
| 1 | 2 | 3 | 4 | |
| pH | 8.1 | 8.0 | 8.2 | 8.0 |
| DO concentration | 7.3 | 7.8 | 6.7 | 7.2 |
| NH3-N concentration | 0 | 0.25 | 0.25 | 0.25 |
| NO2-N concentration | 0.3 | 0.5 | 0.8 | 0.8 |
| Item | Control Group | Treated Group | ||
|---|---|---|---|---|
| Mean | SD | Mean | SD | |
| WBC count (K/μL) | 0.326 | 0.22 | 0.4486 | 0.34 |
| NEU count (N%) | 35.32 | 27.23 | 30.728 | 32.64 |
| LYM count (L%) | 30.28 | 17.97 | 49.758 | 33.6 |
| MONO count (M%) | 7.226 | 10.44 | 5.5576 | 6.36 |
| EOS count (E%) | 27.186 | 23.27 | 13.968 | 11.88 |
| RBC count (K/μL) | 3.586 | 0.49 | 3.644 | 0.18 |
| HGB level (g/dL) | 9.846 | 1.48 | 10.146 | 0.77 |
| HCT (%) | 61.72 | 8.854 | 62.08 | 3.03 |
| MCV (fL) | 172.2 | 4.15 | 170.4 | 3.65 |
| MCH (pg) | 27.46 | 1. 1 | 27.76 | 1.13 |
| MCHC (g/dL) | 15.92 | 0.33 | 16.3 | 0.53 |
| RDW (%) | 11.894 | 2.52 | 14.348 | 3.43 |
| PLT count (K/μL) | 33.74 | 16.36 | 25.6 | 12.07 |
Disclaimer/Publisher’s Note: The statements, opinions and data contained in all publications are solely those of the individual author(s) and contributor(s) and not of MDPI and/or the editor(s). MDPI and/or the editor(s) disclaim responsibility for any injury to people or property resulting from any ideas, methods, instructions or products referred to in the content. |
© 2025 by the authors. Licensee MDPI, Basel, Switzerland. This article is an open access article distributed under the terms and conditions of the Creative Commons Attribution (CC BY) license (https://creativecommons.org/licenses/by/4.0/).
Share and Cite
Abbas, M.A.; Kim, H.-J.; Lee, G.-Y.; Cho, H.-Y.; Al Jawad Sayem, S.; Lee, E.-B.; Lee, S.-J.; Park, S.-C. Development and Application of Lactobacillus plantarum PSCPL13 Probiotics in Olive Flounder (Paralichthys olivaceus) Farming. Microorganisms 2025, 13, 61. https://doi.org/10.3390/microorganisms13010061
Abbas MA, Kim H-J, Lee G-Y, Cho H-Y, Al Jawad Sayem S, Lee E-B, Lee S-J, Park S-C. Development and Application of Lactobacillus plantarum PSCPL13 Probiotics in Olive Flounder (Paralichthys olivaceus) Farming. Microorganisms. 2025; 13(1):61. https://doi.org/10.3390/microorganisms13010061
Chicago/Turabian StyleAbbas, Muhammad Aleem, Hae-Jung Kim, Ga-Yeong Lee, Hae-Yeon Cho, Syed Al Jawad Sayem, Eon-Bee Lee, Seung-Jin Lee, and Seung-Chun Park. 2025. "Development and Application of Lactobacillus plantarum PSCPL13 Probiotics in Olive Flounder (Paralichthys olivaceus) Farming" Microorganisms 13, no. 1: 61. https://doi.org/10.3390/microorganisms13010061
APA StyleAbbas, M. A., Kim, H.-J., Lee, G.-Y., Cho, H.-Y., Al Jawad Sayem, S., Lee, E.-B., Lee, S.-J., & Park, S.-C. (2025). Development and Application of Lactobacillus plantarum PSCPL13 Probiotics in Olive Flounder (Paralichthys olivaceus) Farming. Microorganisms, 13(1), 61. https://doi.org/10.3390/microorganisms13010061

