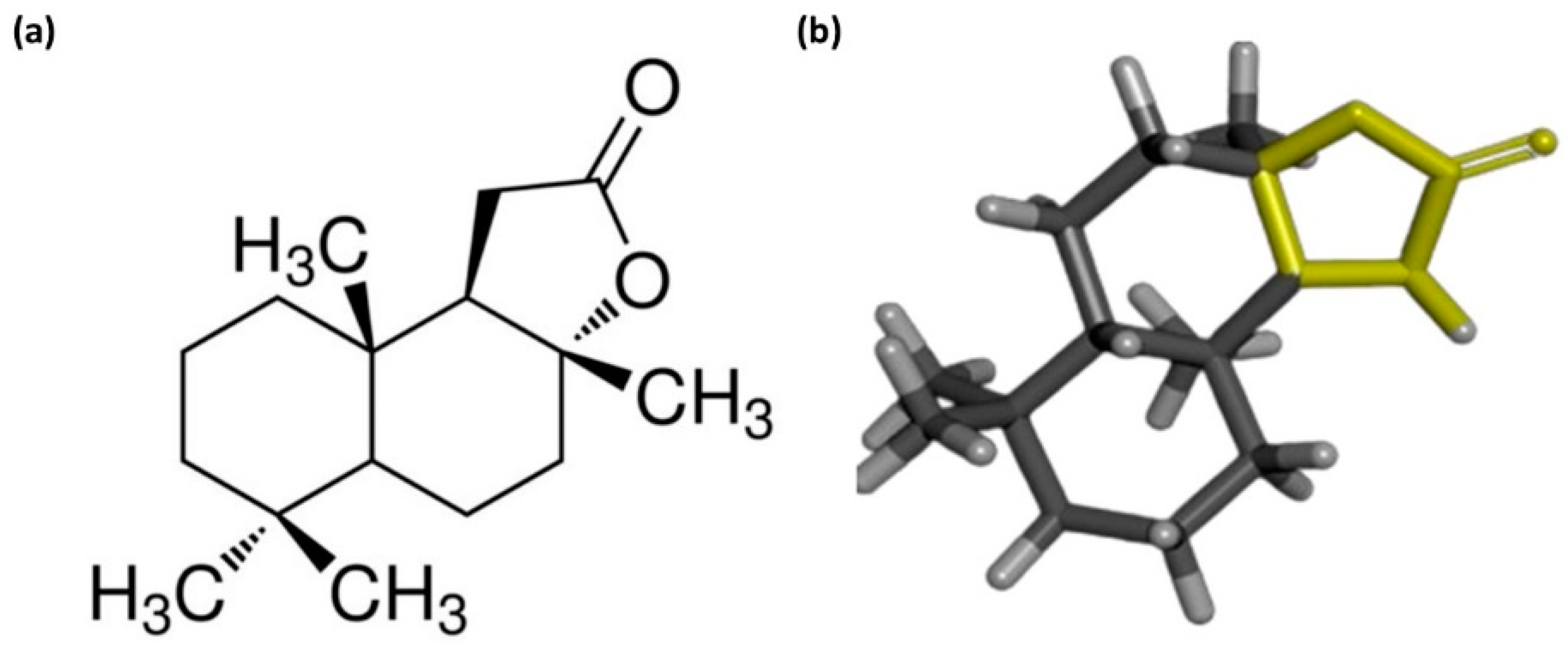
Sclareolide as Antifungal Strategy Against Cryptococcus neoformans: Unveiling Its Mechanisms of Action
Abstract
1. Introduction
2. Materials and Methods
2.1. Strains, Media, Chemicals, and Kits
2.2. MIC Determination
2.3. Time Killing Kinetics
2.4. Determination of ROS and MMP by Fluorescence Analysis
2.5. Study of Membrane Integrity, Apoptosis, and Caspase Activity Using Flow Cytometer Assays
2.6. Checkerboard Synergy Assay
2.7. In Vivo Toxicity in Galleria Mellonella Model
2.8. Statistical Analysis
3. Results
3.1. Sclareolide Has Antifungal Activity Against C. neoformans with an Extended Spectrum for C. gattii
3.2. Sclareolide Inhibits the Growth of C. neoformans
3.3. Sclareolide Exposure Reduces the Membrane Permeability and Increases ROS Production in C. neoformans H99
3.4. Sclareolide Exposure Reduces the Mitochondrial Membrane Potential
3.5. Loss of Viability of C. neoformans H99 Is Not Associated with Apoptosis
3.6. Sclareolide Combined with Amp B Reduced Cell Viability of C. neoformans H99
3.7. Sclareolide Is Non-Toxic to Galleria mellonella
4. Discussion
5. Conclusions
Author Contributions
Funding
Data Availability Statement
Acknowledgments
Conflicts of Interest
References
- Martinez, L.R.; Casadevall, A. Biofilm Formation by Cryptococcus neoformans. Microbiol. Spectr. 2015, 3, 135–147. [Google Scholar] [CrossRef] [PubMed]
- Camilli, G.; Blagojevic, M.; Naglik, J.R.; Richardson, J.P. Programmed Cell Death: Central Player in Fungal Infections. Trends Cell Biol. 2021, 31, 179–196. [Google Scholar] [CrossRef]
- Casadevall, A.; Coelho, C.; Cordero, R.J.; Dragotakes, Q.; Jung, E.; Vij, R.; Wear, M.P. The Capsule of Cryptococcus neoformans. Virulence 2019, 10, 822–831. [Google Scholar] [CrossRef] [PubMed]
- Decote-Ricardo, D.; LaRocque-de-Freitas, I.F.; Rocha, J.D.B.; Nascimento, D.O.; Nunes, M.P.; Morrot, A.; Freire-de-Lima, L.; Previato, J.O.; Mendonça-Previato, L.; Freire-de-Lima, C.G. Immunomodulatory Role of Capsular Polysaccharides Constituents of Cryptococcus neoformans. Front. Med. 2019, 6, 129. [Google Scholar] [CrossRef]
- Perfect, J.R.; Dismukes, W.E.; Dromer, F.; Goldman, D.L.; Graybill, J.R.; Hamill, R.J.; Harrison, T.S.; Larsen, R.A.; Lortholary, O.; Nguyen, M.-H. Clinical Practice Guidelines for the Management of Cryptococcal Disease: 2010 Update by the Infectious Diseases Society of America. Clin. Infect. Dis. 2010, 50, 291–322. [Google Scholar] [CrossRef]
- Zhu, S.; Li, Y.; Gao, H.; Hou, G.; Cui, X.; Chen, S.; Ding, C. Identification and Assessment of Pulmonary Cryptococcus neoformans Infection by Blood Serum Surface-Enhanced Raman Spectroscopy. Spectrochim. Acta Part A Mol. Biomol. Spectrosc. 2021, 260, 119978. [Google Scholar] [CrossRef]
- Maziarz, E.K.; Perfect, J.R. Cryptococcosis. Infect. Dis. Clin. 2016, 30, 179–206. [Google Scholar] [CrossRef]
- Rajasingham, R.; Smith, R.M.; Park, B.J.; Jarvis, J.N.; Govender, N.P.; Chiller, T.M.; Denning, D.W.; Loyse, A.; Boulware, D.R. Global Burden of Disease of HIV-Associated Cryptococcal Meningitis: An Updated Analysis. Lancet Infect. Dis. 2017, 17, 873–881. [Google Scholar] [CrossRef] [PubMed]
- Iyer, K.R.; Revie, N.M.; Fu, C.; Robbins, N.; Cowen, L.E. Treatment Strategies for Cryptococcal Infection: Challenges, Advances and Future Outlook. Nat. Rev. Microbiol. 2021, 19, 454–466. [Google Scholar] [CrossRef]
- Brilhante, R.S.N.; Gotay, W.J.P.; Pereira, V.S.; de Oliveira, J.S.; Pereira-Neto, W.A.; de Souza Collares Maia Castelo-Branco, D.; de Aguiar Cordeiro, R.; Sidrim, J.J.C.; Rocha, M.F.G. Antifungal Activity of Promethazine and Chlorpromazine against Planktonic Cells and Biofilms of Cryptococcus neoformans/Cryptococcus gattii Complex Species. Med. Mycol. 2020, 58, 906–912. [Google Scholar] [CrossRef]
- Gaffi—Global Action for Fungal Infections. Available online: https://gaffi.org/ (accessed on 23 September 2024).
- de Andrade Monteiro, C.; dos Santos, J.R.A. Phytochemicals and Their Antifungal Potential against Pathogenic Yeasts. Phytochem. Hum. Health 2019, 1–31. [Google Scholar] [CrossRef]
- Lopes, G.; Pinto, E.; Salgueiro, L. Natural Products: An Alternative to Conventional Therapy for Dermatophytosis? Mycopathologia 2017, 182, 143–167. [Google Scholar] [CrossRef] [PubMed]
- Les, F.; Cásedas, G.; López, V. Bioactivity of Medicinal Plants and Extracts. Biology 2021, 10, 634. [Google Scholar] [CrossRef]
- Les, F.; Valero, M.S.; Arruebo, M.P. Natural Product Chemistry and Biological Research. Int. J. Mol. Sci. 2024, 25, 3774. [Google Scholar] [CrossRef]
- Sen, T.; Samanta, S.K. Medicinal Plants, Human Health and Biodiversity: A Broad Review. In Biotechnological Applications of Biodiversity; Mukherjee, J., Ed.; Advances in Biochemical Engineering/Biotechnology; Springer: Berlin/Heidelberg, Germany, 2014; Volume 147, pp. 59–110. ISBN 978-3-662-45096-3. [Google Scholar]
- Kanhanda, E. Antifungal Activity of Kigelia Africana Phytochemicals against Cryptococcus neoformans. In Molecular and Cell Biology; Faculty of Science, University of the Witwatersrand: Johannesburg, South Africa, 2023. [Google Scholar]
- Bognan, A.J.A.A.; Guillaume, Y.Y.; Felix, Y.H.; Mathieu, K.A.K.; Joseph, D.A. Antifungal Activity of Terminalia Mantaly on the in Vitro Growth of Cryptococcus neoformans. Int. J. Biochem. Res. Rev. 2013, 3, 63–73. [Google Scholar] [CrossRef]
- Bisso, B.N.; Kayoka-Kabongo, P.N.; Tchuenguem, R.T.; Dzoyem, J.P. Phytochemical Analysis and Antifungal Potentiating Activity of Extracts from Loquat (Eriobotrya japonica) against Cryptococcus neoformans Clinical Isolates. Adv. Pharmacol. Pharm. Sci. 2022, 2022, 6626834. [Google Scholar] [CrossRef]
- Pattoo, M.; Belewa, V.; Somai, B.M. Phytochemical Constituents of Tulbaghia Violacea Harv Extract and Its Antifungal Potential against Cryptococcus neoformans and Cryptococcus gattii. Nat. Prod. J. 2019, 9, 330–340. [Google Scholar] [CrossRef]
- Almeida-Apolonio, A.A.D.; Dantas, F.G.D.S.; Rodrigues, A.B.; Cardoso, C.A.L.; Negri, M.; Oliveira, K.M.P.D.; Chang, M.R. Antifungal Activity of Annona coriacea Mart. Ethanol Extracts against the Aetiological Agents of Cryptococcosis. Nat. Prod. Res. 2019, 33, 2363–2367. [Google Scholar] [CrossRef]
- Hossain, M.A.; Biva, I.J.; Kidd, S.E.; Whittle, J.D.; Griesser, H.J.; Coad, B.R. Antifungal Activity in Compounds from the Australian Desert Plant Eremophila Alternifolia with Potency against Cryptococcus spp. Antibiotics 2019, 8, 34. [Google Scholar] [CrossRef]
- Samie, S.; Trollope, K.M.; Joubert, L.-M.; Makunga, N.P.; Volschenk, H. The Antifungal and Cryptococcus neoformans Virulence Attenuating Activity of Pelargonium Sidoides Extracts. J. Ethnopharmacol. 2019, 235, 122–132. [Google Scholar] [CrossRef]
- Sabrina, G.; Adawiyah, R.; Usman, A.; Mayhana, S.C.; Zilver Sihotang, D.I.; Sahlan, M. Phytochemical Analysis and Antifungal Activity of Brunei Propolis Against Candida sp. and Cryptococcus sp. Int. J. Technol. 2022, 13, 1640–1650. [Google Scholar] [CrossRef]
- Kumari, P.; Mishra, R.; Arora, N.; Chatrath, A.; Gangwar, R.; Roy, P.; Prasad, R. Antifungal and Anti-Biofilm Activity of Essential Oil Active Components against Cryptococcus neoformans and Cryptococcus laurentii. Front. Microbiol. 2017, 8, 2161. [Google Scholar] [CrossRef]
- Pinto, E.; Hrimpeng, K.; Lopes, G.; Vaz, S.; Gonçalves, M.J.; Cavaleiro, C.; Salgueiro, L. Antifungal Activity of Ferulago Capillaris Essential Oil against Candida, Cryptococcus, Aspergillus and Dermatophyte Species. Eur. J. Clin. Microbiol. Infect. Dis. 2013, 32, 1311–1320. [Google Scholar] [CrossRef]
- Powers, C.N.; Satyal, P.; Mayo, J.A.; McFeeters, H.; McFeeters, R.L. Bigger Data Approach to Analysis of Essential Oils and Their Antifungal Activity against Aspergillus niger, Candida albicans, and Cryptococcus neoformans. Molecules 2019, 24, 2868. [Google Scholar] [CrossRef]
- Pinheiro, L.; Sousa, J.; Barreto, N.; Dantas, T.; Menezes, C.; Lima, A.; Silva, A. Eugenol and Isoeugenol in Association with Antifungal against Cryptococcus neoformans. Int. J. Pharmacogn. Phytochem. Res. 2017, 9, 596–599. [Google Scholar]
- Nóbrega, R.D.O.; Teixeira, A.P.D.C.; Oliveira, W.A.D.; Lima, E.D.O.; Lima, I.O. Investigation of the Antifungal Activity of Carvacrol against Strains of Cryptococcus neoformans. Pharm. Biol. 2016, 54, 2591–2596. [Google Scholar] [CrossRef] [PubMed]
- Edouarzin, E.; Horn, C.; Paudyal, A.; Zhang, C.; Lu, J.; Tong, Z.; Giaever, G.; Nislow, C.; Veerapandian, R.; Hua, D.H. Broad-Spectrum Antifungal Activities and Mechanism of Drimane Sesquiterpenoids. Microb. Cell 2020, 7, 146. [Google Scholar] [CrossRef] [PubMed]
- Nogueira, C.R.; Carbonezi, L.H.; de Oliveira, C.T.F.; Garcez, W.S.; Garcez, F.R. Sesquiterpene Derivatives from Ocotea Minarum Leaves. Phytochem. Lett. 2021, 42, 8–14. [Google Scholar] [CrossRef]
- Portillo, A.; Vila, R.; Freixa, B.; Ferro, E.; Parella, T.; Casanova, J.; Cañigueral, S. Antifungal Sesquiterpene from the Root of Vernonanthura Tweedieana. J. Ethnopharmacol. 2005, 97, 49–52. [Google Scholar] [CrossRef]
- Zahra, W.; Rai, S.N.; Birla, H.; Singh, S.S.; Rathore, A.S.; Dilnashin, H.; Keswani, C.; Singh, S.P. Economic Importance of Medicinal Plants in Asian Countries. In Bioeconomy for Sustainable Development; Keswani, C., Ed.; Springer: Singapore, 2020; pp. 359–377. ISBN 9789811394300. [Google Scholar]
- Shakya, A.K. Medicinal Plants: Future Source of New Drugs. Int. J. Herb. Med. 2016, 4, 59–64. [Google Scholar]
- Riaz, U.; Iqbal, S.; Sohail, M.I.; Samreen, T.; Ashraf, M.; Akmal, F.; Siddiqui, A.; Ahmad, I.; Naveed, M.; Khan, N.I. A Comprehensive Review on Emerging Importance and Economical Potential of Medicinal and Aromatic Plants (MAPs) in Current Scenario. Pak. J. Agric. Res. 2021, 34, 254–493. [Google Scholar] [CrossRef]
- Land, M.H.; Toth, M.L.; MacNair, L.; Vanapalli, S.A.; Lefever, T.W.; Peters, E.N.; Bonn-Miller, M.O. Effect of Cannabidiol on the Long-Term Toxicity and Lifespan in the Preclinical Model Caenorhabditis elegans. Cannabis Cannabinoid Res. 2021, 6, 522–527. [Google Scholar] [CrossRef] [PubMed]
- Moya-Andérico, L.; Vukomanovic, M.; del Mar Cendra, M.; Segura-Feliu, M.; Gil, V.; Del Río, J.A.; Torrents, E. Utility of Galleria mellonella Larvae for Evaluating Nanoparticle Toxicology. Chemosphere 2021, 266, 129235. [Google Scholar] [CrossRef] [PubMed]
- Ignasiak, K.; Maxwell, A. Galleria mellonella (Greater wax moth) Larvae as a Model for Antibiotic Susceptibility Testing and Acute Toxicity Trials. BMC Res. Notes 2017, 10, 428. [Google Scholar] [CrossRef]
- Junqueira, J.C. Galleria mellonella as a Model Host for Human Pathogens: Recent Studies and New Perspectives. Virulence 2012, 3, 474–476. [Google Scholar] [CrossRef]
- Megaw, J.; Thompson, T.P.; Lafferty, R.A.; Gilmore, B.F. Galleria mellonella as a Novel in Vivo Model for Assessment of the Toxicity of 1-Alkyl-3-Methylimidazolium Chloride Ionic Liquids. Chemosphere 2015, 139, 197–201. [Google Scholar] [CrossRef]
- Mbarga, M.J.A.; Podoprigora, I.V.; Anyutoulou, K.L.D. Galleria mellonella (Greater wax moth) as an Eco-Friendly in Vivo Approach for the Assessment of the Acute Toxicity of Medicinal Plants: Application to Some Plants from Cameroon. Open Vet. J. 2021, 11, 651–661. [Google Scholar]
- Häkkinen, S.T.; Soković, M.; Nohynek, L.; Ćirić, A.; Ivanov, M.; Stojković, D.; Tsitko, I.; Matos, M.; Baixinho, J.P.; Ivasiv, V. Chicory Extracts and Sesquiterpene Lactones Show Potent Activity against Bacterial and Fungal Pathogens. Pharmaceuticals 2021, 14, 941. [Google Scholar] [CrossRef] [PubMed]
- Mazur, M.; Masłowiec, D. Antimicrobial Activity of Lactones. Antibiotics 2022, 11, 1327. [Google Scholar] [CrossRef]
- Matos, M.S.; Anastácio, J.D.; Nunes dos Santos, C. Sesquiterpene Lactones: Promising Natural Compounds to Fight Inflammation. Pharmaceutics 2021, 13, 991. [Google Scholar] [CrossRef]
- Bordignon, A.; Frédérich, M.; Ledoux, A.; Campos, P.-E.; Clerc, P.; Hermann, T.; Quetin-Leclercq, J.; Cieckiewicz, E. In Vitro Antiplasmodial and Cytotoxic Activities of Sesquiterpene Lactones from Vernonia fimbrillifera Less. (Asteraceae). Nat. Prod. Res. 2018, 32, 1463–1466. [Google Scholar] [CrossRef] [PubMed]
- Pa, W. M27-A2 Reference Method for Broth Dilution Antifungal Susceptibility Testing of Yeasts, Approved Standard; Clinical & Laboratory Standards Institute: Wayne, PA, USA, 2002. [Google Scholar]
- Spadari, C.D.C.; Vila, T.; Rozental, S.; Ishida, K. Miltefosine Has a Postantifungal Effect and Induces Apoptosis in Cryptococcus Yeasts. Antimicrob. Agents Chemother. 2018, 62, e00312-18. [Google Scholar] [CrossRef]
- Levorato-Vinche, A.D.; Melhem, M.D.; Bonfietti, L.X.; De-La-Cruz-Chacón, I.; Boaro, C.S.; Fabro, A.T.; Ferreira, G.; Silva, J.D.; Santos, D.C.; Pereira, B.A.; et al. Antifungal Activity of Liriodenine on Clinical Strains of Cryptococcus neoformans and Cryptococcus gattii Species Complexes. J. Venom. Anim. Toxins Incl. Trop. Dis. 2022, 28, e20220006. [Google Scholar] [CrossRef]
- Arumugam, G.; Durairaj, S.; Gonçale, J.C.; Fonseca Do Carmo, P.H.; Terra Garcia, M.; Soares Da Silva, N.; Borges, B.M.; Loures, F.V.; Ghosh, D.; Vivanco, J.F.; et al. Silver Nanoparticle-Embedded Carbon Nitride: Antifungal Activity on Candida albicans and Toxicity toward Animal Cells. ACS Appl. Mater. Interfaces 2024, 16, 25727–25739. [Google Scholar] [CrossRef]
- Sá, N.P.D.; Lima, C.M.D.; Lino, C.I.; Barbeira, P.J.S.; Baltazar, L.D.M.; Santos, D.A.; Oliveira, R.B.D.; Mylonakis, E.; Fuchs, B.B.; Johann, S. Heterocycle Thiazole Compounds Exhibit Antifungal Activity through Increase in the Production of Reactive Oxygen Species in the Cryptococcus Neoformans-Cryptococcus gattii Species Complex. Antimicrob. Agents Chemother. 2017, 61, 10–1128. [Google Scholar] [CrossRef] [PubMed]
- Chang, C.-K.; Kao, M.-C.; Lan, C.-Y. Antimicrobial Activity of the Peptide LfcinB15 against Candida albicans. J. Fungi 2021, 7, 519. [Google Scholar] [CrossRef] [PubMed]
- Li, T.; Zhang, Y.; Xu, M.; Liu, Y.; Zhang, C.; Zhang, Y.; Peng, X.; Li, Z.; Qin, S.; Xing, K. Novel Antifungal Mechanism of Oligochitosan by Triggering Apoptosis through a Metacaspase-Dependent Mitochondrial Pathway in Ceratocystis Fimbriata. Carbohydr. Polym. 2020, 245, 116574. [Google Scholar] [CrossRef]
- Jafri, H.; Ahmad, I. Thymus Vulgaris Essential Oil and Thymol Inhibit Biofilms and Interact Synergistically with Antifungal Drugs against Drug Resistant Strains of Candida albicans and Candida tropicalis. J. Med. Mycol. 2020, 30, 100911. [Google Scholar] [CrossRef]
- Lewis, R.E.; Diekema, D.J.; Messer, S.A.; Pfaller, M.A.; Klepser, M.E. Comparison of Etest, Chequerboard Dilution and Time–Kill Studies for the Detection of Synergy or Antagonism between Antifungal Agents Tested against Candida Species. J. Antimicrob. Chemother. 2002, 49, 345–351. [Google Scholar] [CrossRef]
- Pedrinha, V.F.; Santos, L.M.; Gonçalves, C.P.; Garcia, M.T.; Lameira, O.A.; Queiroga, C.L.; Marcucci, M.C.; Shahbazi, M.-A.; Sharma, P.K.; Junqueira, J.C. Effects of Natural Antimicrobial Compounds Propolis and Copaiba on Periodontal Ligament Fibroblasts, Molecular Docking, and in Vivo Study in Galleria mellonella. Biomed. Pharmacother. 2024, 171, 116139. [Google Scholar] [CrossRef]
- Da Silva, D.L.; Magalhães, T.F.F.; Dos Santos, J.R.A.; de Paula, T.P.; Modolo, L.V.; De Fatima, A.; Buzanello Martins, C.V.; Santos, D.A.; de Resende-Stoianoff, M.A. Curcumin Enhances the Activity of Fluconazole against Cryptococcus gattii-Induced Cryptococcosis Infection in Mice. J. Appl. Microbiol. 2016, 120, 41–48. [Google Scholar] [CrossRef] [PubMed]
- Martins, C.V.B.; Da Silva, D.L.; Neres, A.T.M.; Magalhaes, T.F.F.; Watanabe, G.A.; Modolo, L.V.; Sabino, A.A.; De Fátima, A.; de Resende, M.A. Curcumin as a Promising Antifungal of Clinical Interest. J. Antimicrob. Chemother. 2009, 63, 337–339. [Google Scholar] [CrossRef] [PubMed]
- Oliveira, V.M.; Carraro, E.; Auler, M.E.; Khalil, N.M. Quercetin and Rutin as Potential Agents Antifungal against Cryptococcus spp. Braz. J. Biol. 2016, 76, 1029–1034. [Google Scholar] [CrossRef] [PubMed]
- Kosalec, I.; Jembrek, M.J.; Vlainić, J. The Spectrum of Berberine Antibacterial and Antifungal Activities. In Promising Antimicrobials from Natural Products; Rai, M., Kosalec, I., Eds.; Springer International Publishing: Cham, Switzerland, 2022; pp. 119–132. ISBN 978-3-030-83503-3. [Google Scholar]
- Cho, J.; Choi, H.; Lee, J.; Kim, M.-S.; Sohn, H.-Y.; Lee, D.G. The Antifungal Activity and Membrane-Disruptive Action of Dioscin Extracted from Dioscorea Nipponica. Biochim. Biophys. Acta Biomembr. 2013, 1828, 1153–1158. [Google Scholar] [CrossRef]
- Yang, L.; Liu, X.; Zhong, L.; Sui, Y.; Quan, G.; Huang, Y.; Wang, F.; Ma, T. Dioscin Inhibits Virulence Factors of Candida albicans. BioMed Res. Int. 2018, 2018, 4651726. [Google Scholar] [CrossRef]
- Li, Z.; Guo, X.; Dawuti, G.; Aibai, S. Antifungal Activity of Ellagic Acid In Vitro and In Vivo. Phytother. Res. 2015, 29, 1019–1025. [Google Scholar] [CrossRef]
- Possamai Rossatto, F.C.; Tharmalingam, N.; Escobar, I.E.; d’Azevedo, P.A.; Zimmer, K.R.; Mylonakis, E. Antifungal Activity of the Phenolic Compounds Ellagic Acid (EA) and Caffeic Acid Phenethyl Ester (CAPE) against Drug-Resistant Candida auris. J. Fungi 2021, 7, 763. [Google Scholar] [CrossRef]
- Wijesinghe, G.K.; Maia, F.C.; de Oliveira, T.R.; de Feiria, S.N.B.; Joia, F.; Barbosa, J.P.; Boni, G.C.; de Cássia Orlandi Sardi, J.; Rosalen, P.L.; Höfling, J.F. Effect of Cinnamomum Verum Leaf Essential Oil on Virulence Factors of Candida Species and Determination of the In-Vivo Toxicity with Galleria mellonella Model. Memórias Do Inst. Oswaldo Cruz 2020, 115, e200349. [Google Scholar] [CrossRef]
- Cano, A.; Ramírez-Apan, M.T.; Delgado, G. Biotransformation of Sclareolide by Filamentous Fungi: Cytotoxic Evaluations of the Derivatives. J. Braz. Chem. Soc. 2011, 22, 1177–1182. [Google Scholar] [CrossRef]
- Chen, Q.; Tang, K.; Guo, Y. Discovery of Sclareol and Sclareolide as Filovirus Entry Inhibitors. J. Asian Nat. Prod. Res. 2020, 22, 464–473. [Google Scholar] [CrossRef]
- Choudhary, M.I.; Musharraf, S.G.; Sami, A.; Rahman, A.U. Microbial Transformation of Sesquiterpenes, (−)-Ambrox ® and (+)-Sclareolide. Helv. Chim. Acta 2004, 87, 2685–2694. [Google Scholar] [CrossRef]
- Fang, Y.; Wang, Z.; Shi, Y.; Liu, F.; Wang, J.; Yang, T.; Xin, Y.; Gu, Z.; Zhang, L. Efficient Biotransformation of Sclareol to Sclareolide by Filobasidium Magnum JD1025. Appl. Biochem. Biotechnol. 2023, 195, 1184–1196. [Google Scholar] [CrossRef] [PubMed]
- Chen, S.; Wang, Y.; Zhang, W.-L.; Dong, M.-S.; Zhang, J.-H. Sclareolide Enhances Gemcitabine-Induced Cell Death through Mediating the NICD and Gli1 Pathways in Gemcitabine-Resistant Human Pancreatic Cancer. Mol. Med. Rep. 2017, 15, 1461–1470. [Google Scholar] [CrossRef]
- Völler, J.-S. Expedient Route to Meroterpenoids. Nat. Catal. 2020, 3, 92. [Google Scholar] [CrossRef]
- Marín, V.; Bart, B.; Cortez, N.; Jiménez, V.A.; Silva, V.; Leyton, O.; Cabrera-Pardo, J.R.; Schmidt, B.; Heydenreich, M.; Burgos, V. Drimane Sesquiterpene Aldehydes Control Candida Yeast Isolated from Candidemia in Chilean Patients. Int. J. Mol. Sci. 2022, 23, 11753. [Google Scholar] [CrossRef]
- Bergmann, S.; Schümann, J.; Scherlach, K.; Lange, C.; Brakhage, A.A.; Hertweck, C. Genomics-Driven Discovery of PKS-NRPS Hybrid Metabolites from Aspergillus nidulans. Nat. Chem. Biol. 2007, 3, 213–217. [Google Scholar] [CrossRef]
- Wang, X.; Zhou, W.-T.; Dong, H.-H.; Li, C.; Jiang, Y.-Y.; Xie, P.; Xu, Z.; Xie, S.; Yang, S.-X.; Huang, L. Isobavachalcone: A Redox Antifungal Agent Impairs the Mitochondria Protein of Cryptococcus neoformans. Int. J. Antimicrob. Agents 2024, 64, 107253. [Google Scholar] [CrossRef] [PubMed]
- Hensens, O.D.; Helms, G.L.; Jones, E.T.T.; Harris, G.H. Structure Elucidation of Australifungin, a Potent Inhibitor of Sphinganine N-Acyltransferase in Sphingolipid Biosynthesis from Sporormiella Australis. J. Org. Chem. 1995, 60, 1772–1776. [Google Scholar] [CrossRef]
- World Health Organization. Guidelines for the Diagnosis, Prevention, and Management of Cryptococcal Disease in HIV-Infected Adults, Adolescents and Children. In Supplement to the 2016 Consolidated Guidelines of the Use of Antiretroviral Drugs for Treating and Preventing HIV Infection; World Health Organization: Geneva, Switzerland, 2018. [Google Scholar]
- Vidal, J.E.; de Albuquerque Moraes, C.; de Siqueira, R.E.B.; Miranda, N.F.B.; Marcusso, R.; Boulware, D.R.; de Oliveira, A.C.P. HIV-Associated Cryptococcal Meningitis Patients Treated with Amphotericin B Deoxycholate plus Flucytosine under Routine Care Conditions in a Referral Center in São Paulo, Brazil. Mycopathologia 2021, 186, 93–102. [Google Scholar] [CrossRef]
- Andriani, G.M.; de Almeida Spoladori, L.F.; Fabris, M.; Camargo, P.G.; Pereira, P.M.L.; Santos, J.P.; Bartolomeu-Gonçalves, G.; Alonso, L.; Lancheros, C.A.C.; Alonso, A. Synergistic Antifungal Interaction of N-(Butylcarbamothioyl) Benzamide and Amphotericin B against Cryptococcus neoformans. Front. Microbiol. 2023, 14, 1040671. [Google Scholar] [CrossRef]
- Molloy, S.F.; Kanyama, C.; Heyderman, R.S.; Loyse, A.; Kouanfack, C.; Chanda, D.; Mfinanga, S.; Temfack, E.; Lakhi, S.; Lesikari, S.; et al. Antifungal Combinations for Treatment of Cryptococcal Meningitis in Africa. N. Engl. J. Med. 2018, 378, 1004–1017. [Google Scholar] [CrossRef] [PubMed]
- Rossato, L.; Loreto, E.S.; Venturini, T.P.; Azevedo, M.I.; Weiblen, C.; Botton, S.A.; Santurio, J.M.; Alves, S.H. In Vitro Interaction of Antifungal and Antibacterial Drugs against Cryptococcus neoformans Var. Grubii before and after Capsular Induction. Med. Mycol. 2015, 53, 885–889. [Google Scholar] [CrossRef] [PubMed]
- Rossi, S.A.; de Oliveira, H.C.; Agreda-Mellon, D.; Lucio, J.; Mendes-Giannini, M.J.S.; García-Cambero, J.P.; Zaragoza, O. Identification of off-Patent Drugs That Show Synergism with Amphotericin B or That Present Antifungal Action against Cryptococcus neoformans and Candida spp. Antimicrob. Agents Chemother. 2020, 64, 10–1128. [Google Scholar] [CrossRef] [PubMed]
- McCloskey, A.P.; Lee, M.; Megaw, J.; McEvoy, J.; Coulter, S.M.; Pentlavalli, S.; Laverty, G. Investigating the In Vivo Antimicrobial Activity of a Self-Assembling Peptide Hydrogel Using a Galleria mellonella Infection Model. ACS Omega 2019, 4, 2584–2589. [Google Scholar] [CrossRef]
- da Cunha, M.G.; de Cássia Orlandi Sardi, J.; Freires, I.A.; Franchin, M.; Rosalen, P.L. Antimicrobial, Anti-Adherence and Antibiofilm Activity against Staphylococcus Aureus of a 4-Phenyl Coumarin Derivative Isolated from Brazilian Geopropolis. Microb. Pathog. 2020, 139, 103855. [Google Scholar] [CrossRef]







| Compounds | MIC (µg/mL) | FICI | Action |
|---|---|---|---|
| Sclareolide | 16 | 2 to 1 | Indifferent effect |
| Amp B | 0.25 | NA | NA |
Disclaimer/Publisher’s Note: The statements, opinions and data contained in all publications are solely those of the individual author(s) and contributor(s) and not of MDPI and/or the editor(s). MDPI and/or the editor(s) disclaim responsibility for any injury to people or property resulting from any ideas, methods, instructions or products referred to in the content. |
© 2024 by the authors. Licensee MDPI, Basel, Switzerland. This article is an open access article distributed under the terms and conditions of the Creative Commons Attribution (CC BY) license (https://creativecommons.org/licenses/by/4.0/).
Share and Cite
Ganeshkumar, A.; Lima, P.M.N.d.; Haribabu, J.; Borges, B.M.; Preite, N.W.; Loures, F.V.; Arulraj, A.; Junqueira, J.C. Sclareolide as Antifungal Strategy Against Cryptococcus neoformans: Unveiling Its Mechanisms of Action. Microorganisms 2024, 12, 2324. https://doi.org/10.3390/microorganisms12112324
Ganeshkumar A, Lima PMNd, Haribabu J, Borges BM, Preite NW, Loures FV, Arulraj A, Junqueira JC. Sclareolide as Antifungal Strategy Against Cryptococcus neoformans: Unveiling Its Mechanisms of Action. Microorganisms. 2024; 12(11):2324. https://doi.org/10.3390/microorganisms12112324
Chicago/Turabian StyleGaneshkumar, Arumugam, Patricia Michelle Nagai de Lima, Jebiti Haribabu, Bruno Montanari Borges, Nycolas Willian Preite, Flavio Vieira Loures, Arunachalam Arulraj, and Juliana Campos Junqueira. 2024. "Sclareolide as Antifungal Strategy Against Cryptococcus neoformans: Unveiling Its Mechanisms of Action" Microorganisms 12, no. 11: 2324. https://doi.org/10.3390/microorganisms12112324
APA StyleGaneshkumar, A., Lima, P. M. N. d., Haribabu, J., Borges, B. M., Preite, N. W., Loures, F. V., Arulraj, A., & Junqueira, J. C. (2024). Sclareolide as Antifungal Strategy Against Cryptococcus neoformans: Unveiling Its Mechanisms of Action. Microorganisms, 12(11), 2324. https://doi.org/10.3390/microorganisms12112324

