Using SMART Magnetic Fluids and Gels for Prevention and Destruction of Bacterial Biofilms
Abstract
1. Introduction
2. Materials and Methods
3. Results
3.1. Properties of SMART Fluids
3.2. Toxicity Effect of SMART Fluids on Bacteria and G. mallonella
3.3. Surface Adhesion
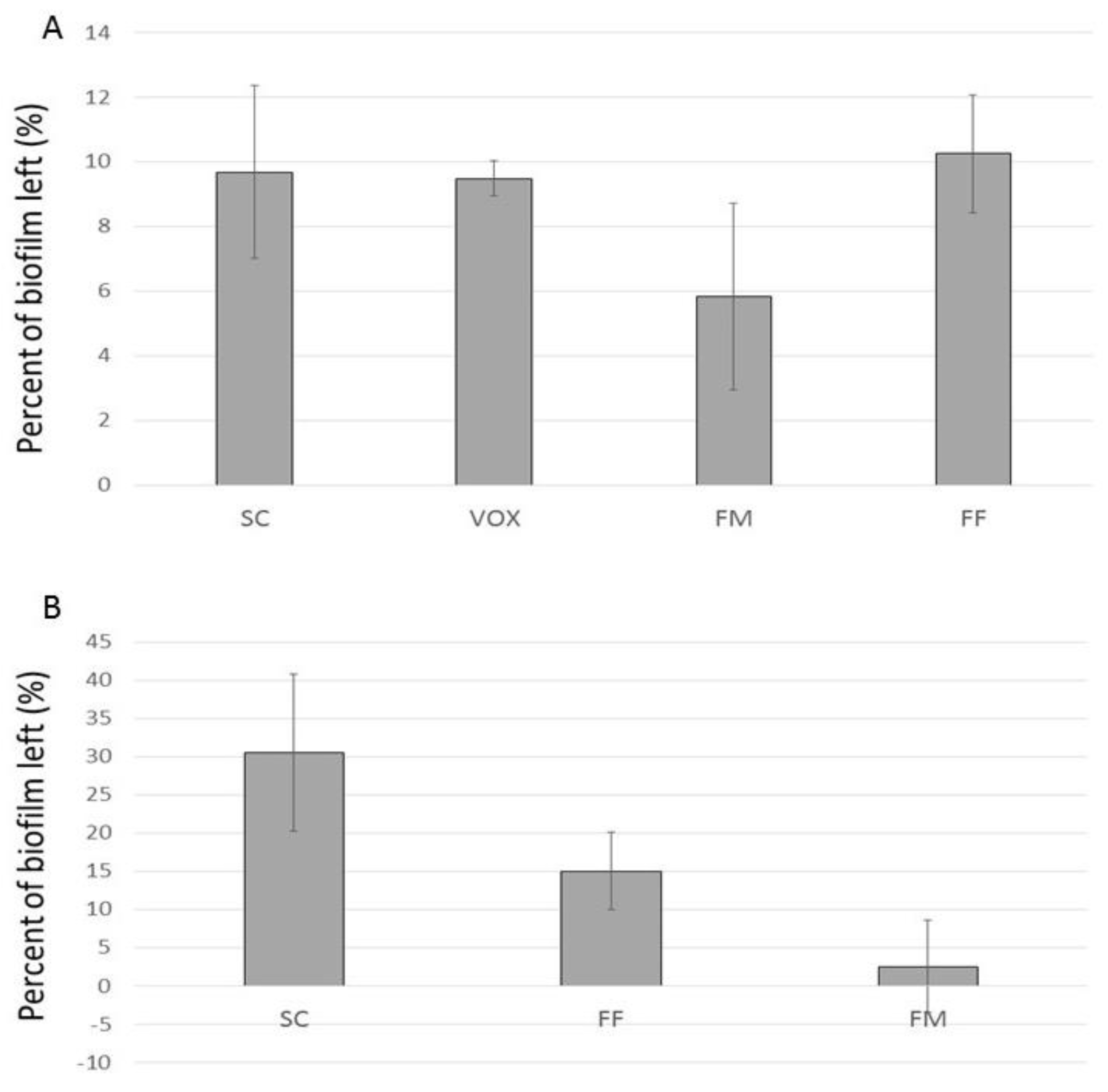
3.4. Removing Biofilm from Glass Tubes
3.5. Removing Biofilm from the Flat Glass Slides
3.6. Biofilm Removal from Microtiter Plates
3.7. Removing Biofilm from Urinary Tract Catheters and Flow Cells
3.8. Comparison of SMART Fluids to Other Methods of Removing Biofilms from Flat and Corrugated Surfaces
3.9. Biofilm Formation Inhibition by SMART Fluids
4. Discussion
5. Conclusions
Supplementary Materials
Author Contributions
Funding
Acknowledgments
Conflicts of Interest
References
- Donlan, R.M.; Costerton, J.W. Biofilms: Survival Mechanisms of Clinically Relevant Microorganisms. Clin. Microbiol. Rev. 2002, 15, 167–193. [Google Scholar] [CrossRef]
- Costerton, J.W.; Geesey, G.G.; Cheng, K.J. How Bacteria Stick. Sci. Am. 1978, 238, 86–95. [Google Scholar] [CrossRef]
- Ehrlich, G.D.; Ahmed, A.; Earl, J.; Hiller, N.L.; Costerton, J.W.; Stoodley, P.; Post, J.C.; DeMeo, P.; Hu, F.Z. The distributed genome hypothesis as a rubric for understanding evolution in situ during chronic bacterial biofilm infectious processes. FEMS Immunol. Med. Microbiol. 2010, 59, 269–279. [Google Scholar] [CrossRef]
- Borriello, G.; Werner, E.; Roe, F.; Kim, A.M.; Ehrlich, G.D.; Stewart, P.S. Oxygen Limitation Contributes to Antibiotic Tolerance of Pseudomonas aeruginosa in Biofilms. Antimicrob. Agents Chemother. 2004, 48, 2659–2664. [Google Scholar] [CrossRef]
- Borriello, G.; Richards, L.; Ehrlich, G.D.; Stewart, P.S. Arginine or Nitrate Enhances Antibiotic Susceptibility of Pseudomonas aeruginosa in Biofilms. Antimicrob. Agents Chemother. 2016, 50, 382–384. [Google Scholar] [CrossRef]
- Watnick, P.; Kolter, R. Biofilm, City of Microbes. J. Bacteriol. 2000, 182, 2675–2679. [Google Scholar] [CrossRef] [PubMed]
- Høiby, N.; Bjarnsholt, T.; Givskov, M.; Molin, S.; Ciofu, O. Antibiotic resistance of bacterial biofilms. Int. J. Antimicrob. Agents 2010, 35, 322–332. [Google Scholar] [CrossRef] [PubMed]
- Bridier, A.; Briandet, R.; Thomas, V.; Dubois-Brissonnet, F. Resistance of bacterial biofilms to disinfectants: A review. Biofouling 2011, 27, 1017–1032. [Google Scholar] [CrossRef] [PubMed]
- Wolcott, R.D.; Ehrlich, G.D. Biofilms and chronic infections. JAMA 2008, 299, 2682–2684. [Google Scholar] [CrossRef]
- Tuttle, M.S.; Mostow, E.; Mukherjee, P.; Hu, F.Z.; Melton-Kreft, R.; Ehrlich, G.D.; Dowd, S.E.; Ghannoum, M.A. Characterization of Bacterial Communities in Venous Insufficiency Wounds by Use of Conventional Culture and Molecular Diagnostic Methods. J. Clin. Microbiol. 2011, 49, 3812–3819. [Google Scholar] [CrossRef]
- Geredew Kifelew, L.; Mitchell, J.G.; Speck, P. Mini-review: Efficacy of lytic bacteriophages on multispecies biofilms. Biofouling 2019, 35, 472–481. [Google Scholar] [CrossRef] [PubMed]
- Grassi, L.; Maisetta, G.; Esin, S.; Batoni, G. Combination Strategies to Enhance the Efficacy of Antimicrobial Peptides against Bacterial Biofilms. Front. Microbiol. 2017, 8, 2409. [Google Scholar] [CrossRef] [PubMed]
- Stewart, P.S.; Ghannoum, M.; Parsek, M.; Whiteley, M.; Mukherjee, P. Antimicrobial Tolerance in Biofilms. Microbiol. Spectr. 2015, 3, 3. [Google Scholar] [CrossRef] [PubMed]
- Hughes, G.; Webber, M.A. Novel approaches to the treatment of bacterial biofilm infections. Br. J. Pharmacol. 2017, 174, 2237–2246. [Google Scholar] [CrossRef]
- Wolfmeier, H.; Pletzer, D.; Mansour, S.C.; Hancock, R.E.W. New Perspectives in Biofilm Eradication. ACS Infect. Dis. 2018, 4, 93–106. [Google Scholar] [CrossRef]
- Banerjee, A.; Chowdhury, P.; Bauri, K.; Saha, B.; De, P. Inhibition and eradication of bacterial biofilm using polymeric materials. Biomater. Sci. 2023, 11, 11–36. [Google Scholar] [CrossRef]
- Song, J.; Yuan, C.; Jiao, T.; Xing, R.; Yang, M.; Adams, D.J.; Yan, X. Multifunctional Antimicrobial Biometallohydrogels Based on Amino Acid Coordinated Self-Assembly. Small 2016, 16, 1907309. [Google Scholar] [CrossRef]
- Hall, D.C., Jr.; Palmer, P.; Ji, H.-F.; Ehrlich, G.D.; Król, J.E. Bacterial Biofilm Growth on 3D-Printed Materials. Front. Microbiol. 2021, 12, 646303. [Google Scholar] [CrossRef]
- Król, J.E.; Nguyen, H.D.; Rogers, L.M.; Beyenal, H.; Krone, S.M.; Top, E.M. Increased Transfer of a Multidrug Resistance Plasmid in Escherichia coli Biofilms at the Air-Liquid Interface. Appl. Environ. Microbiol. 2011, 77, 5079–5088. [Google Scholar] [CrossRef]
- Król, J.E.; Wojtowicz, A.J.; Rogers, L.M.; Heuer, H.; Smalla, K.; Krone, S.M.; Top, E.M. Invasion of E. coli biofilms by antibiotic resistance plasmids. Plasmid 2013, 70, 110–119. [Google Scholar] [CrossRef]
- Król, J.E. Regulatory loop between the CsrA system and NhaR, a high salt/high pH regulator. PLoS ONE 2018, 13, e0209554. [Google Scholar] [CrossRef] [PubMed]
- Król, J.E.; Hall, D.C.; Balashov, S.; Pastor, S.; Sibert, J.; McCaffrey, J.; Lang, S.; Ehrlich, R.L.; Earl, J.; Mell, J.C.; et al. Genome rearrangements induce biofilm formation in Escherichia coli C—An old model organism with a new application in biofilm research. BMC Genom. 2019, 20, 767. [Google Scholar] [CrossRef] [PubMed]
- Stanway, R. Smart fluids: Current and future developments. Mater. Sci. Technol. 2004, 20, 931–939. [Google Scholar] [CrossRef]
- Behera, A. Smart Fluid. In Advanced Materials: An Introduction to Modern Materials Science; Behera, A., Ed.; Springer International Publishing: Cham, Switzerland, 2022; pp. 193–223. [Google Scholar]
- Morillas, J.R.; de Vicente, J. Magnetorheology: A review. Soft Matter 2020, 16, 9614–9642. [Google Scholar] [CrossRef]
- Oehlsen, O.; Cervantes-Ramírez, S.I.; Cervantes-Avilés, P.; Medina-Velo, I.A. Approaches on Ferrofluid Synthesis and Applications: Current Status and Future Perspectives. ACS Omega 2022, 7, 3134–3150. [Google Scholar] [CrossRef]
- Li, Y.; Li, J.; Li, W.; Du, H. A state-of-the-art review on magnetorheological elastomer devices. Smart Mater. Struct. 2014, 23, 123001. [Google Scholar] [CrossRef]
- Liu, G.; Gao, F.; Wang, D.; Liao, W.-H. Medical applications of magnetorheological fluid: A systematic review. Smart Mater. Struct. 2022, 31, 043002. [Google Scholar] [CrossRef]
- Hewlin, R.L.; Edwards, M.; Schultz, C. Design and Development of a Traveling Wave Ferro-Microfluidic Device and System Rig for Potential Magnetophoretic Cell Separation and Sorting in a Water-Based Ferrofluid. Micromachines 2023, 14, 889. [Google Scholar] [CrossRef]
- Zefeng, X.; Guobin, W.; Kaixiong, T.; Jianxing, L.; Yuan, T. Preparation and acute toxicology of nano-magnetic ferrofluid. J. Huazhong Univ. Sci. Technol. [Med. Sci.] 2005, 25, 59–61. [Google Scholar] [CrossRef]
- Lübbe, A.S.; Bergemann, C.; Huhnt, W.; Fricke, T.; Riess, H.; Brock, J.W.; Huhn, D. Preclinical Experiences with Magnetic Drug Targeting: Tolerance and Efficacy. Cancer Res. 1996, 56, 4694–4701. [Google Scholar]
- Cohen, P.R.; Arfa, K.S. Ferrofluid-associated Cutaneous Dyschromia: Discoloration of Hand and Fingers Following Accidental Exposure to Ferromagnetic Fluid. J. Clin. Aesthetic Dermatol. 2016, 9, 51–54. [Google Scholar]
- Rudramurthy, G.; Swamy, M.; Sinniah, U.; Ghasemzadeh, A. Nanoparticles: Alternatives Against Drug-Resistant Pathogenic Microbes. Molecules 2016, 21, 836. [Google Scholar] [CrossRef] [PubMed]
- Asab, G.; Zereffa, E.A.; Abdo Seghne, T. Synthesis of Silica-Coated Fe3O4 Nanoparticles by Microemulsion Method: Characterization and Evaluation of Antimicrobial Activity. Int. J. Biomater. 2020, 2020, 4783612. [Google Scholar] [CrossRef] [PubMed]
- Zhang, Z.; Wang, L.; Chan, T.K.F.; Chen, Z.; Ip, M.; Chan, P.K.S.; Sung, J.J.Y.; Zhang, L. Micro-/Nanorobots in Antimicrobial Applications: Recent Progress, Challenges, and Opportunities. Adv. Healthc. Mater. 2021, 11, 2101991. [Google Scholar] [CrossRef]
- Li, J.; Nickel, R.; Wu, J.; Lin, F.; Van Lierop, J.; Liu, S. A new tool to attack biofilms: Driving magnetic iron-oxide nanoparticles to disrupt the matrix. Nanoscale 2019, 11, 6905–6915. [Google Scholar] [CrossRef]
- Babeer, A.; Oh, M.J.; Ren, Z.; Liu, Y.; Marques, F.; Poly, A.; Karabucak, B.; Steager, E.; Koo, H. Microrobotics for Precision Biofilm Diagnostics and Treatment. J. Dent. Res. 2022, 101, 1009–1014. [Google Scholar] [CrossRef] [PubMed]
- Hwang, G.; Paula, A.J.; Hunter, E.E.; Liu, Y.; Babeer, A.; Karabucak, B.; Stebe, K.; Kumar, V.; Steager, E.; Koo, H. Catalytic antimicrobial robots for biofilm eradication. Sci. Robot. 2019, 4, eaaw2388. [Google Scholar] [CrossRef]
- Wang, Q.; Vachon, J.; Prasad, B.; Pybus, C.A.; Lapin, N.; Chopra, R.; Greenberg, D.E. Alternating magnetic fields and antibiotics eradicate biofilm on metal in a synergistic fashion. NPJ Biofilms Microbiomes 2021, 7, 68. [Google Scholar] [CrossRef]
- Sabnis, N.A.; Yang, H.; Romeo, T. Pleiotropic Regulation of Central Carbohydrate Metabolism in Escherichia coli via the Gene csrA. J. Biol. Chem. 1995, 270, 29096–29104. [Google Scholar] [CrossRef]
- Jurcisek, J.A.; Dickson, A.C.; Bruggeman, M.E.; Bakaletz, L.O. In vitro Biofilm Formation in an 8-well Chamber Slide. J. Vis. Exp. 2011, 47, e2481. [Google Scholar] [CrossRef]
- Vyas, N.; Sammons, R.L.; Addison, O.; Dehghani, H.; Walmsley, A.D. A quantitative method to measure biofilm removal efficiency from complex biomaterial surfaces using SEM and image analysis. Sci. Rep. 2016, 6, 32694. [Google Scholar] [CrossRef] [PubMed]
- Piatek, M.; Sheehan, G.; Kavanagh, K. Galleria mellonella: The Versatile Host for Drug Discovery, In Vivo Toxicity Testing and Characterising Host-Pathogen Interactions. Antibiotics 2021, 10, 1545. [Google Scholar] [CrossRef] [PubMed]
- Maldonado-Camargo, L.; Unni, M.; Rinaldi, C. Magnetic Characterization of Iron Oxide Nanoparticles for Biomedical Applications. In Methods in Molecular Biology; Springer: New York, NY, USA, 2017; pp. 47–71. [Google Scholar]
- Gudkov, S.V.; Burmistrov, D.E.; Serov, D.A.; Rebezov, M.B.; Semenova, A.A.; Lisitsyn, A.B. Do Iron Oxide Nanoparticles Have Significant Antibacterial Properties? Antibiotics 2021, 10, 884. [Google Scholar] [CrossRef] [PubMed]
- Falk, N.A. Surfactants as Antimicrobials: A Brief Overview of Microbial Interfacial Chemistry and Surfactant Antimicrobial Activity. J. Surfactants Deterg. 2019, 22, 1119–1127. [Google Scholar] [CrossRef] [PubMed]
- O’Toole, G.A. Microtiter Dish Biofilm Formation Assay. J. Vis. Exp. 2011, 47, e2437. [Google Scholar] [CrossRef]
- Müsken, M.; di Fiore, S.; Römling, U.; Häussler, S. A 96-well-plate–based optical method for the quantitative and qualitative evaluation of Pseudomonas aeruginosa biofilm formation and its application to susceptibility testing. Nat. Protoc. 2010, 5, 1460–1469. [Google Scholar] [CrossRef]
- Nicolle, L.E. Catheter associated urinary tract infections. Antimicrob. Resist. Infect. Control 2014, 3, 23. [Google Scholar] [CrossRef]
- Velusamy, P.; Su, C.H.; Kannan, K.; Kumar, G.V.; Anbu, P.; Gopinath, S.C.B. Surface engineered iron oxide nanoparticles as efficient materials for antibiofilm application. Biotechnol. Appl. Biochem. 2022, 69, 714–725. [Google Scholar] [CrossRef]
- Shkodenko, L.; Kassirov, I.; Koshel, E. Metal Oxide Nanoparticles Against Bacterial Biofilms: Perspectives and Limitations. Microorganisms 2020, 8, 1545. [Google Scholar] [CrossRef]
- Quan, K.; Zhang, Z.; Ren, Y.; Busscher, H.J.; Van Der Mei, H.C.; Peterson, B.W. Possibilities and impossibilities of magnetic nanoparticle use in the control of infectious biofilms. J. Mater. Sci. Technol. 2021, 69, 69–78. [Google Scholar] [CrossRef]
- Slavin, Y.N.; Asnis, J.; Häfeli, U.O.; Bach, H. Metal nanoparticles: Understanding the mechanisms behind antibacterial activity. J. Nanobiotechnol. 2017, 15, 65. [Google Scholar] [CrossRef] [PubMed]
- Teja, A.S.; Koh, P.-Y. Synthesis, properties, and applications of magnetic iron oxide nanoparticles. Prog. Cryst. Growth Charact. Mater. 2009, 55, 22–45. [Google Scholar] [CrossRef]
- Roca, A.G.; Costo, R.; Rebolledo, A.F.; Veintemillas-Verdaguer, S.; Tartaj, P.; González-Carreño, T.; Morales, M.P.; Serna, C.J. Progress in the preparation of magnetic nanoparticles for applications in biomedicine. J. Phys. D Appl. Phys. 2009, 42, 224002. [Google Scholar] [CrossRef]
- Rosensweig, R.E. Magnetic Fluids. Annu. Rev. Fluid Mech. 1987, 19, 437–461. [Google Scholar] [CrossRef]
- Behera, S.S.; Patra, J.K.; Pramanik, K.; Panda, N.; Thatoi, H. Characterization and Evaluation of Antibacterial Activities of Chemically Synthesized Iron Oxide Nanoparticles. World J. Nano Sci. Eng. 2012, 2, 196–200. [Google Scholar] [CrossRef]
- Prabhu, Y.T.; Rao, K.V.; Kumari, B.S.; Kumar, V.S.S.; Pavani, T. Synthesis of Fe3O4 nanoparticles and its antibacterial application. Int. Nano Lett. 2015, 5, 85–92. [Google Scholar] [CrossRef]
- Al-Rawi, M.; Al-Mudallal, N.; Taha, A.A. Determination of Ferrous Oxide Nanoparticles Minimum Inhibitory Concentration against Local Virulent Bacterial Isolates. Arch. Razi. Inst. 2021, 76, 795–808. [Google Scholar] [CrossRef]
- Thomas Webster, T.J. Bactericidal effect of iron oxide nanoparticles on Staphylococcus aureus. Int. J. Nanomed. 2010, 5, 277–283. [Google Scholar] [CrossRef]
- Darwish, M.S.A.; Nguyen, N.H.A.; Ševců, A.; Stibor, I. Functionalized Magnetic Nanoparticles and Their Effect on Escherichia coli and Staphylococcus aureus. J. Nanomater. 2015, 2015, 416012. [Google Scholar] [CrossRef]
- Casula, M.F.; Corrias, A.; Arosio, P.; Lascialfari, A.; Sen, T.; Floris, P.; Bruce, I.J. Design of water-based ferrofluids as contrast agents for magnetic resonance imaging. J. Colloid. Interface Sci. 2011, 357, 50–55. [Google Scholar] [CrossRef]
- Imran, M.; Affandi, A.M.; Alam, M.M.; Khan, A.; Khan, A.I. Advanced biomedical applications of iron oxide nanostructures based ferrofluids. Nanotechnology 2021, 32, 422001. [Google Scholar] [CrossRef] [PubMed]
- Mihaiescu, D.; Horja, M.; Gheorghe, I.; Ficai, A.; Grumezescu, A.; Bleotu, C.; Chifiriuc, M. Water soluble magnetite nanoparticles for antimicrobial drugs delivery. Lett. Appl. NanoBioSci 2012, 1, 45–49. [Google Scholar]
- Nickel, R.; Kazemian, M.R.; Wroczynskyj, Y.; Liu, S.; Van Lierop, J. Exploiting shape-selected iron oxide nanoparticles for the destruction of robust bacterial biofilms—Active transport of biocides via surface charge and magnetic field control. Nanoscale 2020, 12, 4328–4333. [Google Scholar] [CrossRef]
- Quan, K.; Zhang, Z.; Chen, H.; Ren, X.; Ren, Y.; Peterson, B.W.; Van Der Mei, H.C.; Busscher, H.J. Artificial Channels in an Infectious Biofilm Created by Magnetic Nanoparticles Enhanced Bacterial Killing by Antibiotics. Small 2019, 15, 1902313. [Google Scholar] [CrossRef]
- Quan, K.; Zhang, Z.; Ren, Y.; Busscher, H.J.; Van Der Mei, H.C.; Peterson, B.W. Homogeneous Distribution of Magnetic, Antimicrobial-Carrying Nanoparticles through an Infectious Biofilm Enhances Biofilm-Killing Efficacy. ACS Biomater. Sci. Eng. 2020, 6, 205–212. [Google Scholar] [CrossRef]
- Malaekeh-Nikouei, B.; Fazly Bazzaz, B.S.; Mirhadi, E.; Tajani, A.S.; Khameneh, B. The role of nanotechnology in combating biofilm-based antibiotic resistance. J. Drug Deliv. Sci. Technol. 2020, 60, 101880. [Google Scholar] [CrossRef]
- Malone, M.; Goeres, D.M.; Gosbell, I.; Vickery, K.; Jensen, S.; Stoodley, P. Approaches to biofilm-associated infections: The need for standardized and relevant biofilm methods for clinical applications. Expert Rev. Anti-Infect. Ther. 2017, 15, 147–156. [Google Scholar] [CrossRef] [PubMed]
- Azeredo, J.; Azevedo, N.F.; Briandet, R.; Cerca, N.; Coenye, T.; Costa, A.R.; Desvaux, M.; Di Bonaventura, G.; Hébraud, M.; Jaglic, Z.; et al. Critical review on biofilm methods. Crit. Rev. Microbiol. 2017, 43, 313–351. [Google Scholar] [CrossRef]
- Ceri, H.; Olson, M.E.; Stremick, C.; Read, R.R.; Morck, D.; Buret, A. The Calgary Biofilm Device: New Technology for Rapid Determination of Antibiotic Susceptibilities of Bacterial Biofilms. J. Clin. Microbiol. 1999, 37, 1771–1776. [Google Scholar] [CrossRef]
- Goeres, D.M.; Loetterle, L.R.; Hamilton, M.A.; Murga, R.; Kirby, D.W.; Donlan, R.M. Statistical assessment of a laboratory method for growing biofilms. Microbiology 2005, 151 Pt 3, 757–762. [Google Scholar] [CrossRef]
- Spiers, A.J.; Bohannon, J.; Gehrig, S.M.; Rainey, P.B. Biofilm formation at the air–liquid interface by the Pseudomonas fluorescens SBW25 wrinkly spreader requires an acetylated form of cellulose. Mol. Microbiol. 2003, 50, 15–27. [Google Scholar] [CrossRef] [PubMed]
- Niepa, T.H.R.; Vaccari, L.; Leheny, R.L.; Goulian, M.; Lee, D.; Stebe, K.J. Films of Bacteria at Interfaces (FBI): Remodeling of Fluid Interfaces by Pseudomonas aeruginosa. Sci. Rep. 2017, 7, 17864. [Google Scholar] [CrossRef] [PubMed]
- Song, B.; Zhang, E.; Han, X.; Zhu, H.; Shi, Y.; Cao, Z. Engineering and Application Perspectives on Designing an Antimicrobial Surface. ACS Appl. Mater. Interfaces 2020, 12, 21330–21341. [Google Scholar] [CrossRef] [PubMed]
- Birkett, M.; Dover, L.; Cherian Lukose, C.; Wasy Zia, A.; Tambuwala, M.M.; Serrano-Aroca, Á. Recent Advances in Metal-Based Antimicrobial Coatings for High-Touch Surfaces. Int. J. Mol. Sci. 2022, 23, 1162. [Google Scholar] [CrossRef]
- Ali, A.; Shah, T.; Ullah, R.; Zhou, P.; Guo, M.; Ovais, M.; Tan, Z.; Rui, Y. Review on Recent Progress in Magnetic Nanoparticles: Synthesis, Characterization, and Diverse Applications. Front. Chem. 2021, 9, 629054. [Google Scholar] [CrossRef]










| Group | Ferrofluid | Carrier | Viscosity | Magnetic Particles |
|---|---|---|---|---|
| 1 | FerroTec EFH1 | Light Hydrocarbon | 6 mPa·s | 7.8% ** |
| FerroTec EFH3 | Light Hydrocarbon | 12 mPa·s | 12% ** | |
| 2 | FerroTec PBG200 | Water-miscible | <2 mPa·s | 4% ** |
| FerroTec EMG605 | Water | <5 mPa·s | 4% ** | |
| FerroTec EMG705 | Water | <5 mPa·s | 4% | |
| 3 | FerroTec EMG900 | Light Hydrocarbon Oil | 60.0 mPa·s | 17.7% ** |
| FerroTec EMG901 | Light Hydrocarbon Oil | >10.0 mPa·s | 11.8% ** | |
| FerroTec EMG905 | Light Hydrocarbon Oil | >5.0 mPa·s | 7.8% ** | |
| FerroTec EMG909 | Light Hydrocarbon Oil | >5.0 mPa·s | 3.9% ** | |
| FerroTec EMG911 | Light Hydrocarbon Oil | >5.0 mPa·s | 2.0% ** | |
| 4 | MRF-122EG | Light Hydrocarbon Oil | 42 mPa·s | 72% |
| AMT-DAMPRO | Light Hydrocarbon Oil | 55 mPa·s | 76% | |
| AMT-MAGNAFLO | Light Hydrocarbon Oil | 98 mPa·s | 80% | |
| AMT-SMARTEC | Light Hydrocarbon Oil | 188 mPa·s | 82% | |
| AMT-RHEOTEC | Light Hydrocarbon Oil | 240 mPa·s | 84% | |
| 5 | Kerosene 1.625 (K1) | 0 mPa·s * | 1.69% | |
| Kerosene 3.75 (K2) | 0 mPa·s * | 3.37% | ||
| Kerosene 7.5 (K3) | 0 mPa·s * | 6.75% | ||
| Kerosene 15 (K4) | 0 mPa·s * | 13.5% | ||
| Kerosene 30 (K5) | 0 mPa·s * | 27% | ||
| Kerosene 45 (K6) | 0 mPa·s * | 40.5% | ||
| Kerosene 60 (K7) | 0 mPa·s * | 54% | ||
| 6 | Total Home Hand Soap (TH) | Total Home Hand Soap | 6635 mPa·s * | 27% |
| HIGHMARK Dishwashing Liquid (DL) | HIGHMARK Dishwashing Liquid | 5010 mPa·s * | 27% | |
| Seventh Generation Inc. Powered by Plants Dish Liquid (PP) | Seventh Generation Inc. Powered by Plants Dish Liquid | 3162 mPa·s * | 27% | |
| 7 | Aliver Facemask (FM) | 8,6725 mPa·s * | n.d. |
Disclaimer/Publisher’s Note: The statements, opinions and data contained in all publications are solely those of the individual author(s) and contributor(s) and not of MDPI and/or the editor(s). MDPI and/or the editor(s) disclaim responsibility for any injury to people or property resulting from any ideas, methods, instructions or products referred to in the content. |
© 2023 by the authors. Licensee MDPI, Basel, Switzerland. This article is an open access article distributed under the terms and conditions of the Creative Commons Attribution (CC BY) license (https://creativecommons.org/licenses/by/4.0/).
Share and Cite
Król, J.E.; Ehrlich, G.D. Using SMART Magnetic Fluids and Gels for Prevention and Destruction of Bacterial Biofilms. Microorganisms 2023, 11, 1515. https://doi.org/10.3390/microorganisms11061515
Król JE, Ehrlich GD. Using SMART Magnetic Fluids and Gels for Prevention and Destruction of Bacterial Biofilms. Microorganisms. 2023; 11(6):1515. https://doi.org/10.3390/microorganisms11061515
Chicago/Turabian StyleKról, Jarosƚaw E., and Garth D. Ehrlich. 2023. "Using SMART Magnetic Fluids and Gels for Prevention and Destruction of Bacterial Biofilms" Microorganisms 11, no. 6: 1515. https://doi.org/10.3390/microorganisms11061515
APA StyleKról, J. E., & Ehrlich, G. D. (2023). Using SMART Magnetic Fluids and Gels for Prevention and Destruction of Bacterial Biofilms. Microorganisms, 11(6), 1515. https://doi.org/10.3390/microorganisms11061515

