Inhibition of Listeria monocytogenes Growth, Adherence and Invasion in Caco-2 Cells by Potential Probiotic Lactic Acid Bacteria Isolated from Fecal Samples of Healthy Neonates
Abstract
1. Introduction
2. Materials and Methods
2.1. Bacterial Strains and Growth Conditions
2.2. Antimicrobial Activity Assay
2.3. Cell Culture
2.4. Adhesion Assay
2.5. Invasion Assay
2.6. Statistical Analysis
3. Results
3.1. Antimicrobial Activity
3.2. Adhesion of Single Bacterial Strains on Caco-2 Cells
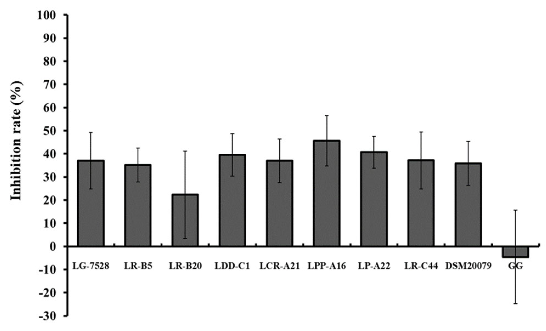
3.3. Inhibition of Adhesion
3.4. Inhibition of Invasion
4. Discussion
5. Conclusions
Author Contributions
Funding
Data Availability Statement
Acknowledgments
Conflicts of Interest
References
- Gagliardi, A.; Totino, V.; Cacciotti, F.; Iebba, V.; Neroni, B.; Bonfiglio, G.; Trancassini, M.; Passariello, C.; Pantanella, F.; Schippa, S. Rebuilding the gut microbiota ecosystem. Int. J. Environ. Res. Public Health 2018, 15, 1679. [Google Scholar] [CrossRef] [PubMed]
- Lebeer, S.; Vanderleyden, J.; De Keersmaecker, S.C.J. Host interactions of probiotic bacterial. Nat. Rev. Microbiol. 2010, 8, 171–184. [Google Scholar] [CrossRef] [PubMed]
- Thursby, E.; Juge, N. Introduction to the human gut microbiota. Biochem. J. 2017, 474, 1823–1836. [Google Scholar] [CrossRef] [PubMed]
- Matamoros, S.; Gras-Leguen, C.; Le Vacon, F.; Potel, G.; de La Cochetiere, M.-F. Development of intestinal microbiota in infants and its impact on health. Trends Microbiol. 2013, 21, 167–173. [Google Scholar] [CrossRef]
- Guaraldi, F.; Salvatori, G. Effect of breast and formula feeding on gut microbiota shaping in newborns. Front. Cell. Infect. Microbiol. 2012, 2, 94. [Google Scholar] [CrossRef]
- Ilhan, N. Gut microbiota and metabolism. Int. J. Med. Biochem. 2018, 115–128. [Google Scholar] [CrossRef]
- Schippa, S.; Conte, M.P. Dysbiotic events in gut microbiota: Impact on human health. Nutrients 2014, 6, 5786–5805. [Google Scholar] [CrossRef]
- Suez, J.; Zmora, N.; Segal, E.; Elinav, E. The pros, cons, and many unknowns of probiotics. Nat. Med. 2019, 25, 716–729. [Google Scholar] [CrossRef]
- Gueimonde, M.; Collado, M.C. Metagenomics and probiotics. Clin. Microbiol. Infect. 2012, 18, 32–34. [Google Scholar] [CrossRef]
- Bezkorovainy, A. Probiotics: Determinants of survival and growth in the gut. Am. J. Clin. Nutr. 2001, 73, 399–405. [Google Scholar] [CrossRef]
- Van Zyl, W.F.; Deane, S.M.; Dicks, L.M.T. Molecular insights into probiotic mechanisms of action employed against intestinal pathogenic bacteria. Gut Microbes 2020, 12, 1831339. [Google Scholar] [CrossRef]
- Servin, A.L.; Coconnier, M.-H. Adhesion of probiotic strains to the intestinal mucosa and interaction with pathogens. Best Pract. Res. Clin. Gastroenterol. 2003, 17, 741–754. [Google Scholar] [CrossRef]
- Ouwehand, A.C.; Salminen, S. In vitro adhesion assays for probiotics and their in vivo relevance: A review. Microb. Ecol. Health Dis. 2003, 15, 175–184. [Google Scholar]
- Fonseca, H.C.; de Sousa Melo, D.; Ramos, C.L.; Dias, D.R.; Schwan, R.F. Probiotic properties of lactobacilli and their ability to inhibit the adhesion of enteropathogenic bacteria to Caco-2 and HT-29 cells. Probiotics Antimicrob. Proteins 2021, 13, 102–112. [Google Scholar] [CrossRef]
- Jankowska, A.; Laubitz, D.; Antushevich, H.; Zabielski, R.; Grzesiuk, E. Competition of Lactobacillus paracasei with Salmonella enterica for adhesion to Caco-2 cells. J. Biomed. Biotechnol. 2008, 2008, 357964. [Google Scholar] [CrossRef]
- Collado, M.C.; Meriluoto, J.; Salminen, S. Role of commercial probiotic strains against human pathogen adhesion to intestinal mucus. Lett. Appl. Microbiol. 2007, 45, 454–460. [Google Scholar] [CrossRef]
- Poimenidou, S.V.; Chatzithoma, D.-N.; Nychas, G.-J.; Skandamis, P.N. Adaptive response of Listeria monocytogenes to heat, salinity and low pH, after habituation on cherry tomatoes and lettuce leaves. PLoS ONE 2016, 11, e0165746. [Google Scholar] [CrossRef]
- Poimenidou, S.V.; Chrysadakou, M.; Tzakoniati, A.; Bikouli, V.C.; Nychas, G.-J.; Skandamis, P.N. Variability of Listeria monocytogenes strains in biofilm formation on stainless steel and polystyrene materials and resistance to peracetic acid and quaternary ammonium compounds. Int. J. Food Microbiol. 2016, 237, 164–171. [Google Scholar] [CrossRef]
- Siderakou, D.; Zilelidou, E.; Poimenidou, S.; Tsipra, I.; Ouranou, E.; Papadimitriou, K.; Skandamis, P. Assessing the survival and sublethal injury kinetics of Listeria monocytogenes under different food processing-related stresses. Int. J. Food Microbiol. 2021, 346, 109159. [Google Scholar] [CrossRef]
- Siderakou, D.; Zilelidou, E.; Poimenidou, S.; Paramithiotis, S.; Mavrogonatou, E.; Zoumpopoulou, G.; Tsipra, I.; Kletsas, D.; Tsakalidou, E.; Skandamis, P.N. In vitro virulence potential, surface attachment, and transcriptional response of sublethally injured Listeria monocytogenes following exposure to peracetic acid. Appl. Environ. Microbiol. 2022, 88, e01582-2. [Google Scholar] [CrossRef]
- Zilelidou, E.A.; Milina, V.; Paramithiotis, S.; Zoumpopoulou, G.; Poimenidou, S.V.; Mavrogonatou, E.; Kletsas, D.; Papadimitriou, K.; Tsakalidou, E.; Skandamis, P.N. Differential modulation of Listeria monocytogenes fitness, in vitro virulence and transcription of virulence-associated genes in response to the presence of 3 different microorganisms. Appl. Environ. Microbiol. 2020, 86, e01165-20. [Google Scholar] [CrossRef] [PubMed]
- European Food Safety Authority (EFSA); European Centre for Disease Prevention and Control (ECDC). The European Union One Health 2021 Zoonoses Report. EFSA J. 2022, 19, e06406. [Google Scholar]
- Roberts, A.J.; Wiedmann, M. Pathogen, host and environmental factors contributing to the pathogenesis of listeriosis. Cell. Mol. Life Sci. 2003, 60, 904–918. [Google Scholar] [CrossRef] [PubMed]
- Moroni, O.; Kheadr, E.; Boutin, Y.; Lacroix, C. Inactivation of adhesion and invasion of food-borne Listeria monocytogenes by bacteriocin-producing Bifidobacterium strains of human origin. Appl. Environ. Microbiol. 2006, 72, 6894–6901. [Google Scholar] [CrossRef]
- Gueimonde, M.; Jalonen, L.; He, F.; Hiramatsu, M.; Salminen, S. Adhesion and competitive inhibition and displacement of human enteropathogens by selected lactobacilli. Food Res. Int. 2006, 39, 467–471. [Google Scholar] [CrossRef]
- Kotsou, M.G.; Mitsou, E.K.; Ioannis, G.; Oikonomou, A.; Kyriacou, A.A. In vitro assessment of probiotic properties of Lactobacillus strains from infant. Food Biotechnol. 2008, 22, 1–17. [Google Scholar] [CrossRef]
- Kirtzalidou, E.; Pramateftaki, P.; Kotsou, M.; Kyriacou, A. Screening for lactobacilli with probiotic properties in the infant gut microbiota. Anaerobe 2011, 17, 440–443. [Google Scholar] [CrossRef]
- Sambuy, Y.; De Angelis, I.; Ranaldi, G.; Scarino, M.L.; Stammati, A.; Zucco, F. The Caco-2 cell line as a model of the intestinal barrier: Influence of cell and culture-related factors on Caco-2 cell functional characteristics. Cell Biol. Toxicol. 2005, 21, 1–26. [Google Scholar] [CrossRef]
- Poimenidou, S.V.; Dalmasso, M.; Papadimitriou, K.; Fox, E.M.; Skandamis, P.N.; Jordan, K. Virulence gene sequencing highlights similarities and differences in sequences in Listeria monocytogenes serotype 1/2a and 4b strains of clinical and food origin from 3 different geographic locations. Front. Microbiol. 2018, 9, 1103. [Google Scholar] [CrossRef]
- Murray, E.G.D.; Webb, R.A.; Swann, M.B.R. A disease of rabbits characterised by a large mononuclear leucocytosis, caused by a hitherto undescribed bacillus Bacterium monocytogenes (n.sp.). J. Pathol. Bacteriol. 1926, 29, 407–439. [Google Scholar] [CrossRef]
- Pine, L.; Weaver, R.E.; Carlone, G.M.; Pienta, P.A.; Rocourt, J.; Goebel, W.; Kathariou, S.; Bibb, W.F.; Malcolm, G.B. Listeria monocytogenes ATCC 35152 and NCTC 7973 contain nonhemolytic, nonvirulent variant. J. Clin. Microbiol. 1987, 25, 2247–2251. [Google Scholar] [CrossRef]
- Toure, R.; Kheadr, E.; Lacroix, C.; Moroni, O.; Fliss, I. Production of antibacterial substances by bifidobacterial isolates from infant stool active against Listeria monocytogenes. J. Appl. Microbiol. 2003, 95, 1058–1069. [Google Scholar] [CrossRef]
- Georgieva, R.; Yocheva, L.; Tserovska, L.; Zhelezova, G.; Stefanova, N.; Atanasova, A.; Danguleva, A.; Ivanova, G.; Karapetkov, N.; Rumyan, N.; et al. Antimicrobial activity and antibiotic susceptibility of Lactobacillus and Bifidobacterium spp. intended for use as starter and probiotic cultures. Biotechnol. Biotechnol. Equip. 2015, 29, 84–91. [Google Scholar] [CrossRef]
- Milillo, S.R.; Story, R.S.; Pak, D.; O’Bryan, C.A.; Crandall, P.G.; Ricke, S.C. Antimicrobial properties of three lactic acid bacterial cultures and their cell free supernatants against Listeria monocytogenes. J. Environ. Sci. Health Part B 2013, 48, 63–68. [Google Scholar] [CrossRef]
- Tsigkrimani, M.; Panagiotarea, K.; Paramithiotis, S.; Bosnea, L.; Pappa, E.; Drosinos, E.H.; Skandamis, P.N.; Mataragas, M. Microbial ecology of sheep milk, artisanal Feta, and Kefalograviera cheeses. Part II: Technological, safety, and probiotic attributes of lactic acid bacteria isolates. Foods 2022, 11, 459. [Google Scholar] [CrossRef]
- Syrokou, M.K.; Tziompra, S.; Psychogiou, E.; Mpisti, S.; Paramithiotis, S.; Bosnea, L.; Mataragas, M.; Skandamis, P.N. Technological and safety attributes of lactic acid bacteria and yeasts isolated from spontaneously fermented Greek wheat sourdoughs. Microorganisms 2021, 9, 671. [Google Scholar] [CrossRef]
- Wang, C.; Lin, P.; Ng, C.; Shyu, Y. Probiotic properties of Lactobacillus strains isolated from the feces of breast-fed infants and Taiwanese pickled cabbage. Anaerobe 2010, 16, 578–585. [Google Scholar] [CrossRef]
- Doron, S.; Snydman, D.R.; Gorbach, S.L. Lactobacillus GG: Bacteriology and clinical applications. Gastroenterol. Clin. N. Am. 2005, 34, 483–498. [Google Scholar] [CrossRef]
- Mathipa-Mdakane, M.G.; Thantsha, M.S. Lacticaseibacillus rhamnosus: A suitable candidate for the construction of novel bioengineered probiotic strains for targeted pathogen control. Foods 2022, 11, 785. [Google Scholar] [CrossRef]
- Xu, H.; Jeong, H.S.; Lee, H.Y.; Ahn, J. Assessment of cell surface properties and adhesion potential of selected probiotic strains. Lett. Appl. Microbiol. 2009, 49, 434–442. [Google Scholar] [CrossRef] [PubMed]
- Jensen, H.; Grimmer, S.; Naterstad, K.; Axelsson, L. In vitro testing of commercial and potential probiotic lactic acid bacteria. Int. J. Food Microbiol. 2012, 153, 216–222. [Google Scholar] [CrossRef]
- Aljasir, S.F.; Amico, D.J.D. Probiotic potential of commercial dairy-associated protective cultures: In vitro and in vivo protection against Listeria monocytogenes infection. Food Res. Int. 2021, 149, 110699. [Google Scholar] [CrossRef]
- Lee, Y.-K.; Puong, K.-Y.; Ouwehand, A.C.; Salminen, S. Displacement of bacterial pathogens from mucus and Caco-2 cell surface by lactobacilli. J. Med. Microbiol. 2003, 52, 925–930. [Google Scholar] [CrossRef]
- Vázquez-Boland, J.A.; Kuhn, M.; Berche, P.; Chakraborty, T.; Dominguez-Bernal, G.; Goebel, W.; González-Zorn, B.; Wehland, J.; Kreft, J. Listeria pathogenesis and molecular virulence determinants. Clin. Microbiol. Rev. 2001, 14, 584–640. [Google Scholar] [CrossRef]







| Isolate | Coding | Neonate Information |
|---|---|---|
| Lacticaseibacillus rhamnosus | LR-1 | MCB + F |
| Lactobacillus gasseri | LG-7528 | MCB + F |
| Lactobacillus vaginalis | LV-6 | FCF |
| Lacticaseibacillus rhamnosus | LR-B19 | MNB |
| Lacticaseibacillus rhamnosus | LR-10 | FNB |
| Lacticaseibacillus rhamnosus | LR-A1 | FNB |
| Lacticaseibacillus rhamnosus | LR-B5 | MNB |
| Lacticaseibacillus rhamnosus | LR-B20 | FCB |
| Lactobacillus paragasseri | LA-B17 | FNB |
| Lactobacillus acidophilus | LA-B2 | MNB |
| Lactobacillus paragasseri | LDD-C1 | FCF |
| Lactobacillus gasseri | LA-A2 | FNB |
| Limosilactobacillus sp. | LF-B15 | FCB + F |
| Lacticaseibacillus rhamnosus | LR-A3 | MNB + F |
| Lacticaseibacillus rhamnosus | LA-A20 | FNB |
| Limosilactobacillus fermentum | LF-B14 | FCB + F |
| Lactobacillus crispatus | LCR-A21 | MNB + F |
| Lactobacillus brevis | LB-38 | MNB |
| Lactobacillus crispatus | LC-40 | FNB + F |
| Lactobacillus salivarius | LS-44 | MNB |
| Lacticaseibacillus rhamnosus | LR-46 | FCB + F |
| Lacticaseibacillus paracasei subsp. tolerans | LPP-A16 | MNB |
| Lactiplantibacillus pentosus | LP-A22 | MNB |
| Enterococcus sp. | E-49 | FNB |
| Lacticaseibacillus rhamnosus | LR-51 | FNB + F |
| Lacticaseibacillus rhamnosus | LR-52 | FNB |
| Lactobacillus crispatus | LC-C1 | FCB |
| Lactobacillus gasseri | LG-C5 | MCB |
| Lactobacillus gasseri | LG-C9 | FNB |
| Lactobacillus gasseri | LG-C15 | FNB |
| Lactobacillus gasseri | LG-C28 | FNB |
| Lactobacillus gasseri | LG-C32 | FCB |
| Lactobacillus gasseri | LG-C39 | MNB |
| Lacticaseibacillus rhamnosus | LR-C44 | MNB |
| Lactobacillus gasseri | LG-C45 | MNB |
| Lactobacillus gasseri | LG-C50 | MNB |
| Lactobacillus crispatus | LC-C51 | MNB |
| Lacticaseibacillus rhamnosus | LR-C58 | MNB + F |
| Lactobacillus gasseri | LG-C59 | MNB + F |
| L. paracasei paracasei | LPP-C68 | MNB |
| L. paracasei paracasei | LPP-C70 | FCB |
| Lactobacillus gasseri | LG-C72 | FCB |
| Lactobacillus gasseri | LG-C74 | FCB |
| Lactobacillus acidophilus | DSM20079 | reference strain |
| Lacticaseibacillus rhamnosus | GG | reference strain |
| Isolate | Origin | Year of Isolation | Country | Serotype |
|---|---|---|---|---|
| C5 | Cow feces | 2007 | Ireland | 4b |
| 6179 | Farmhouse cheese | 1999 | Ireland | 1/2a |
| ScottA | Human isolate | 1983 | USA | 4b |
| PL4 | Dairy farm environment | 2007 | Greece | 4b |
| PL11 | Chicken | 2007 | Greece | 1/2a |
| PL13 | Chicken | 2007 | Greece | 4b |
| PL18 | Chicken | 2007 | Greece | 1/2a |
| FL78 | Meat | 2012 | Greece | 4b |
| EGDe | Mammal | 1924 | [30] | 1/2a |
| DSM12464 | Mammal | [31] | 1/2a |
| L. monocytogenes Strains | ||||||||||
|---|---|---|---|---|---|---|---|---|---|---|
| LAB Isolates | C5 | 6179 | ScottA | PL4 | PL11 | PL13 | PL18 | FL78 | EGDe | DSM12464 |
| L. rhamnosus LR-1 | - | + | + | + | + | + | + | + | + | + |
| L. gasseri LG-7528 | - | + | + | + | + | + | + | + | + | + |
| L. vaginalis LV-6 | - | - | - | - | - | - | - | - | - | - |
| L. rhamnosus LR-B19 | ++ | + | ++ | ++ | ++ | ++ | ++ | + | + | + |
| L. rhamnosus LR-10 | + | + | ++ | ++ | ++ | ++ | ++ | + | + | + |
| L. rhamnosus LR-A1 | + | + | ++ | ++ | + | ++ | ++ | - | + | + |
| L. rhamnosus LR-B5 | + | + | ++ | ++ | ++ | +++ | ++ | + | + | + |
| L. rhamnosus LR-B20 | + | + | ++ | ++ | ++ | ++ | ++ | + | + | ++ |
| L. paragasseri LA-B17 | + | + | + | ++ | + | ++ | ++ | + | + | + |
| L. acidophilus LA-B2 | ++ | ++ | + | + | + | - | + | + | - | + |
| L. paragasseri LDD-C1 | + | + | ++ | ++ | ++ | ++ | + | + | + | + |
| L. gasseri LA-A2 | + | ++ | ++ | ++ | +++ | ++ | + | + | + | + |
| Limosilactobacillus sp. LF-B15 | + | + | - | - | + | + | - | - | + | |
| L. rhamnosus LR-A3 | + | + | ++ | ++ | ++ | +++ | +++ | + | + | ++ |
| L. rhamnosus LA-A20 | + | + | + | + | ++ | ++ | ++ | + | + | ++ |
| L. fermentum LF-B14 | + | + | + | + | - | + | + | + | - | + |
| L. crispatus LCR-A21 | + | + | ++ | ++ | + | ++ | + | + | + | + |
| L. brevis LB-38 | + | - | - | - | - | - | - | - | - | - |
| L. crispatus LC-40 | + | + | - | - | + | + | - | - | - | - |
| L. salivarius LS-44 | ++ | ++ | + | + | + | + | + | + | + | + |
| L. rhamnosus LR-46 | ++ | + | + | + | + | + | + | + | + | + |
| L. paracasei subsp. tolerans LPP-A16 | ++ | ++ | + | + | + | + | + | + | + | + |
| L. pentosus LP-A22 | ++ | ++ | + | + | + | + | + | + | - | + |
| Enterococcus sp. E-49 | ++ | ++ | + | + | + | + | - | + | - | - |
| L. rhamnosus LR-51 | ++ | ++ | + | + | + | + | + | + | + | + |
| L. rhamnosus LR-52 | ++ | ++ | + | + | ++ | + | + | + | + | + |
| L. crispatus LC-C1 | + | ++ | ++ | + | - | ++ | + | + | + | + |
| L. gasseri LG-C5 | - | + | + | - | + | + | ++ | + | - | + |
| L. gasseri LG-C9 | ++ | + | + | + | + | + | + | - | - | - |
| L. gasseri LG-C15 | - | - | - | - | - | - | - | + | - | + |
| L. gasseri LG-C28 | - | - | + | + | + | + | - | + | + | + |
| L. gasseri LG-C32 | + | - | - | + | + | + | + | - | - | - |
| L. gasseri LG-C39 | + | + | + | + | + | + | ++ | + | - | + |
| L. rhamnosus LR-C44 | ++ | ++ | ++ | + | ++ | ++ | + | + | + | + |
| L. gasseri LG-C45 | ++ | ++ | ++ | ++ | ++ | ++ | ++ | + | + | + |
| L. gasseri LG-C50 | + | + | + | ++ | + | ++ | + | + | + | + |
| L. crispatus LC-C51 | - | - | - | - | - | - | - | - | - | - |
| L. rhamnosus LR-C58 | + | + | + | + | + | + | + | + | + | + |
| L. gasseri LG-C59 | - | + | + | + | + | + | ++ | + | - | ++ |
| L. paracasei paracasei LPP-C68 | - | - | + | - | + | + | + | + | - | + |
| L. paracasei paracasei LPP-C70 | - | - | + | + | ++ | + | ++ | ++ | + | ++ |
| L. gasseri LG-C72 | - | - | + | + | + | - | + | ++ | - | ++ |
| L. gasseri LG-C74 | + | + | + | + | + | + | + | + | + | + |
| L. acidophilus DSM20079 | + | + | + | + | + | + | + | + | + | + |
| L. rhamnosus GG | + | + | + | - | + | + | + | + | + | + |
Disclaimer/Publisher’s Note: The statements, opinions and data contained in all publications are solely those of the individual author(s) and contributor(s) and not of MDPI and/or the editor(s). MDPI and/or the editor(s) disclaim responsibility for any injury to people or property resulting from any ideas, methods, instructions or products referred to in the content. |
© 2023 by the authors. Licensee MDPI, Basel, Switzerland. This article is an open access article distributed under the terms and conditions of the Creative Commons Attribution (CC BY) license (https://creativecommons.org/licenses/by/4.0/).
Share and Cite
Poimenidou, S.V.; Skarveli, A.; Saxami, G.; Mitsou, E.K.; Kotsou, M.; Kyriacou, A. Inhibition of Listeria monocytogenes Growth, Adherence and Invasion in Caco-2 Cells by Potential Probiotic Lactic Acid Bacteria Isolated from Fecal Samples of Healthy Neonates. Microorganisms 2023, 11, 363. https://doi.org/10.3390/microorganisms11020363
Poimenidou SV, Skarveli A, Saxami G, Mitsou EK, Kotsou M, Kyriacou A. Inhibition of Listeria monocytogenes Growth, Adherence and Invasion in Caco-2 Cells by Potential Probiotic Lactic Acid Bacteria Isolated from Fecal Samples of Healthy Neonates. Microorganisms. 2023; 11(2):363. https://doi.org/10.3390/microorganisms11020363
Chicago/Turabian StylePoimenidou, Sofia V., Athina Skarveli, Georgia Saxami, Evdokia K. Mitsou, Maria Kotsou, and Adamantini Kyriacou. 2023. "Inhibition of Listeria monocytogenes Growth, Adherence and Invasion in Caco-2 Cells by Potential Probiotic Lactic Acid Bacteria Isolated from Fecal Samples of Healthy Neonates" Microorganisms 11, no. 2: 363. https://doi.org/10.3390/microorganisms11020363
APA StylePoimenidou, S. V., Skarveli, A., Saxami, G., Mitsou, E. K., Kotsou, M., & Kyriacou, A. (2023). Inhibition of Listeria monocytogenes Growth, Adherence and Invasion in Caco-2 Cells by Potential Probiotic Lactic Acid Bacteria Isolated from Fecal Samples of Healthy Neonates. Microorganisms, 11(2), 363. https://doi.org/10.3390/microorganisms11020363
