Next Article in Journal
Adaptive Gain Twisting Sliding Mode Controller Design for Flexible Manipulator Joints with Variable Stiffness
Previous Article in Journal
A Fine-Grained Access Control Method for Control Instructions of the Industrial Control Network
 
 
Font Type:
Arial Georgia Verdana
Font Size:
Aa Aa Aa
Line Spacing:
Column Width:
Background:
Article

Trajectory Tracking of Unmanned Hovercraft: Event-Triggered NMPC Under Actuation Limits and Disturbances

College of Intelligent Systems Science and Engineering, Harbin Engineering University, Harbin 150006, China
*
Author to whom correspondence should be addressed.
Actuators 2026, 15(1), 6; https://doi.org/10.3390/act15010006 (registering DOI)
Submission received: 25 November 2025 / Revised: 15 December 2025 / Accepted: 18 December 2025 / Published: 22 December 2025

Abstract

This study addresses the trajectory tracking problem for unmanned hovercrafts operating under unknown time-varying environmental disturbances and actuator saturation. To balance real-time performance with control accuracy, an event-triggered adaptive nonlinear model predictive control (EANMPC) method is proposed. The approach dynamically adjusts the prediction horizon based on tracking error and incorporates an event-triggering mechanism to reduce unnecessary control updates. This design significantly alleviates computational burden while maintaining robust tracking performance. Furthermore, a rigorous input-to-state stability proof is provided without resorting to local linearization. Simulation results under two distinct trajectories demonstrate that the proposed method achieves superior tracking accuracy and reduces computational cost by 57% compared to conventional NMPC. The framework thus offers a practical and efficient control solution for underactuated hovercraft systems operating in complex maritime environments.

1. Introduction

A hovercraft is a high-performance vessel that can maneuver at high speeds on the sea surface. The hovercraft’s strong nonlinearity and environmental coupling necessitate robust control strategies. The trajectory tracking control of a small unmanned hovercraft is inevitably affected by environmental interference and uncertainty. Therefore, studying the trajectory tracking control of hovercraft under interference has important engineering application value. In previous studies, feedback linearization has provided a robust solution for dealing with nonlinearities [1]. The trajectory tracking control of hovercraft aims to highlight underactuated characteristics through a few actuators so that the hovercraft can track the reference trajectory as much as possible. The first result of studying global tracking was obtained through a cascading method and analyzed for stability based on linear time-varying theory [2]. However, the design of the unmanned hovercraft’s motion controller still faces several challenges, such as actuator constraint boundaries.
Nevertheless, the preceding control methods have a common deficiency, namely the inability to handle control system constraints, such as actuator constraints [3,4], state constraints [5,6,7], and state increment constraints [8,9]. Hovercrafts can be limited by physical actuators or the pitch angle and yaw angle allowed for safety. The adaptive neural network method and adaptive trajectory tracking cannot intuitively be applied to hovercraft control systems. Due to the underactuated characteristics of hovercrafts, the system state can easily exceed the safety boundaries, leading to issues such as sideslip and tail-flick. Therefore, it is necessary to take into consideration these constraints in the control process. Relative to most traditional controls [10], the authors of [11] used the tube-based MPC algorithm to design the controller and tried to reduce the computational complexity to ensure timeliness by improving the accuracy of optimal control problems. Nikou, Verginis and Dimarogonas [12] designed traditional finite control set MPC with control ability. An additional merit of EANMPC tracking control is the inherent robustness to uncertainties and disturbances, which makes it suitable for hovercraft control systems [13,14]. But they only focused on trajectory tracking control performance and ignored the computational costs of the control process. The prediction horizon domain is required to ensure good tracking performance. The heavy calculation burdens involved affect the solving speed and make it hard to ensure that the control action is transmitted in time.
The motion control of a hovercraft is susceptible to external disturbances such as winds, currents, and model uncertainties, making it complex. Robust model predictive control can maintain the advantages of its controller performance characteristics for systems affected by parameter disturbances. Therefore, robust model predictive control is worth applying in trajectory tracking controller design. In terms of robust model predictive control, Shishika, Yim, and Paley [10] designed a robust model predictive control algorithm for systems with multiple uncertainties and bounded noise, mainly to provide boundaries for optimization problems at future sampling times, and they verified the effectiveness of the proposed method through experiments. This algorithm can reduce computational burden while expanding the system’s attractive domain. The optimization problem of the algorithm can be solved to obtain the optimal open-loop control quantity so that the system state reaches the equilibrium point. The feedback control law keeps the actual trajectory of the system moving within the surrounding range of the ideal trajectory (tube-invariant set). A robust NMPC scheme was designed in a study by Heshmati-Alamdari, Nikou, and Dimarogonas [11] to handle the trajectory tracking problem of underactuated UAVs in uncertain workspaces. Despite the dynamic model uncertainty and environmental disturbances, it was still possible to avoid any detected obstacles. A distributed nonlinear model predictive control algorithm was designed in [13] for uncertain continuous-time multi-agent systems with bounded disturbances, and the simulation results verified the correctness of the framework. Traditional MPC methods, while effective in constraint handling, suffer from prohibitive computational demands, limiting their applicability to real-time hovercraft control under dynamic disturbances. The contributions embodied in this article are as follows:
  • A novel event-triggered adaptive-horizon NMPC framework is proposed for unmanned hovercraft trajectory tracking. Unlike conventional fixed-horizon or standalone event-triggered MPC, this method dynamically shrinks the prediction horizon as the tracking error decreases and triggers control updates only when necessary. This dual mechanism significantly enhances computational efficiency without compromising tracking precision.
  • A rigorous stability analysis is conducted for the closed-loop system under the proposed EANMPC scheme. The proof establishes input-to-state stability without relying on local linearization, thereby ensuring robustness against strong nonlinearities, model uncertainties, and bounded disturbances.
  • Comprehensive simulation validation is performed under realistic conditions, including actuator saturation and time-varying maritime disturbances. The results demonstrate that the proposed method achieves a balance between control performance and real-time feasibility, notably reducing computational cost by 57% compared to standard NMPC while maintaining competitive tracking accuracy.
This article is organized as follows: A hovercraft model with actuator limits and external disturbances is given, and a controller with an adaptive predictive horizon based on the EANMPC algorithm is designed in Section 2. The control system input-to-state stability of the hovercraft system is given in Section 3. Section 4 describes simulations under different trajectories and analyzes the results of the simulations. In Section 5, the MSEs of two cases are calculated, and conclusions are drawn.

2. Problem Formulation

2.1. Dynamics of the Hovercraft

The trajectory tracking control design is based on a three-degree-of-freedom (3-DOF) nonlinear dynamic model of an underactuated hovercraft, accounting for surge, sway, and yaw motions. The model is derived using two reference frames: an Earth-fixed inertial frame O E X E Y E and a body-fixed frame O B X B Y B attached to the vehicle’s center of mass, as illustrated in Figure 1.
As a result of the assumption above, the following motion control model with model uncertainty and actual wave and wind disturbances could be provided:
x ˙ y ˙ ϕ ˙ ψ ˙ = cos ψ sin ψ cos ϕ 0 0 sin ψ cos ψ cos ϕ 0 0 0 0 1 0 0 0 0 cos ϕ u v p r
u ˙ = v r + F x D + Δ F x D + D u + τ u m v ˙ = u r + F y D + Δ F y D + D v + τ v m p ˙ = M x D + Δ M x D J x r ˙ = M z D + Δ M z D + D r + τ r J z
where η = x , y , φ , ψ T R 4 denotes the position and attitude vectors in the e-frame, including surge position x , sway position y , roll angle φ π 2 , π 2 , and yaw angle ψ π , π . The vector including the velocity of the surge, sway, roll, and yaw orientations is v = u , v , p , r T R 4 , which represents the hovercraft system. The control input vectors for the generator are governed by the hovercraft tube air propellers and the hovercraft air rudders: τ = τ u , 0 , 0 , τ r T R 4 . M R 4 × 4 represents the inertia matrix, and C ( v ) , D ( v ) , E ( v ) represent the Coriolis, damping, and resistance matrices, respectively. Based on these parameters, (Fu, 2022) [14] first distinguished this model from traditional surface ships. Considering the model uncertainties, M = M 0 + Δ M is the system inertia matrix, C ( v ) = C 0 + Δ C is the Coriolis–centripetal matrix, and D ( v ) = D 0 + Δ D is the damping matrix, where M 0 , C 0 , and D 0 are the nominal system inertia matrix, nominal Coriolis–centripetal matrix, and nominal damping matrix. d = [ d u , d v , 0 , d r ] represents the lumped unknown disturbances [15]. The damping matrix is positive-definite.
Assumption 1.
The total hovercraft system uncertainty and the change rate of the total uncertainty are bounded, such that  Δ F i D Δ F i D ,  Δ F ˙ i D Δ F ¯ i D , and  Δ F ¯ i D ,  Δ F i D  are constant.
When hovercrafts are sailing at sea, they are suspended on the surface and mainly affected by wind and extreme ocean conditions. Thus, our model assumes that the hovercraft disturbance D is bounded so that Assumption 1 holds.
Input saturation can be defined by
τ i min τ i τ i max , i = u , v , r
where τ i min and τ i max represent the minimal and maximal forces and moments of the propellers and rudders. The model can be rewritten in the following form:
x ˙ ( t ) = f ( x ( t ) , u ( t ) , d ( t ) )
y ( t ) = C x ( t )
x ( t ) = [ x , y , ψ , u , v , r ] T n represents the state vector, the control input is written as u ( t ) = τ , and the nonlinear function is denoted as f ( ) . The output vector is y ( t ) = C x ( t ) and C = 1 0 0 0 0 0 0 0 0 1 0 0 0 0 0 0 0 0 0 0 1 0 0 0 0 0 0 1 0 0 0 0 0 0 0 0 0 0 0 1 is the output matrix. Therefore, Equations (4) and (5) can be discretized for MPC:
x ( k + 1 ) = f ( x ( k ) , u ( k ) , d ( k ) )
y ( k ) = C x ( k )
x ( k ) Q represents the state vector at time k , and Δ t is the time interval from time k .
Assumption 2.
The variables  Q  and  U  are bounded and closed. The function  f ( )  is locally bounded and satisfies  f ( 0 , 0 , 0 ) = 0 . The set  Q  is positive.
A Lyapunov function in X with R : Q is defined for the discrete system (6), and if there exist class K functions b 1 ( ) , b 2 ( ) , b 3 ( ) , and u ( k ) satisfying x n , u ( k ) is asymptotically stabilizing on X :
b 1 ( x ) K ( x ) b 2 ( x )
sup K ( f ( x ( k ) , u ( k ) , d ( k ) ) ) K ( x ( k ) ) b 3 ( x )
The hovercraft trajectory tracking problem under a complex environment is investigated, and the purpose is to let the hovercraft track the time-varying continuous reference trajectory. The desired trajectory is written as p d ( t ) = [ x d ( t ) , y d ( t ) , u d ( t ) , ψ d ( t ) , r d ( t ) ] T . Simultaneously, the state vector corresponding to the reference trajectory is defined as x d t .

2.2. Optimal Problem

MPC is widely used due to its ability to handle the constraints of a tracking control system, and it has an explicit advantage regarding the problem of model uncertainty and disturbances [16,17]. For a small unmanned hovercraft’s tracking control, the optimal control problem can be defined as
J N P ( x ) = min x ( k ) , u ( k ) i = 1 N p ζ ( x ( k + i | k ) , u ( k + i | k ) ) + P f ( x ( k + N p ( k ) | k ) + i = 1 N c 1 Δ u k + i R 2
ζ ( x ( k + i | k ) , u ( k + i | k ) ) = ( y y r e f ) Τ Q ( y y r e f ) + u Τ R u y ( k | k ) = C x ( k ) , k = 0 , 1 , , N p 1 u min u k + i u max , i = 0 , 1 , , N c 1 Δ u min Δ u k + i Δ u max , i = 1 , , N c 1
where N p denotes the time-varying predictive horizon, and N c denotes the control horizon. ζ ( , ) is the tracking error and input consumption cost function, P f = { x : ( x ( k + N p ( k ) | k ) P 2 ε 2 } with ε > 0 is the terminal cost, and Δ u ( ) is the actuator’s change rate constraints at time k + i [18].
At each moment k that satisfies the above constraints, the optimal problem (10) is solved to obtain the state vector x ( k k ) and the predicted horizon N p ( k ) . Then, the first element of the solution sequence is applied to (6). Whether the optimal problem can be solved to predict the next moment is mainly based on whether the norm of the current state error will exceed the triggering condition (17) at the next moment k + 1 and whether the corresponding prediction time N p ( k + 1 ) has been updated.
Assumption 3.
A robust terminal set  Θ ε  is defined, and a corresponding controller is denoted as  Ω ( k ) ,  x ( k ) Θ ε .
P f ( x ( k + 1 ) ) P f ( x ( k ) ) L ( x ( k ) , Ω ( k ) )
Definition 1
[19]. Let  = { m × n } . Suppose  η : > 0 , κ : > 0  and  γ : > 0 > 0  is a function that is continuous. For  ϕ > 0 ,  α > 0 , and  ( m , n ) , if
η α ( m , n ) ϕ + g = m 0 m 1 h = n 0 n 1 κ ( g , h ) γ ( η ( g , h ) )
then
η ( m , n ) { P α 1 [ P α ( ϕ ) + N ( m , n ) ] } 1 α
where for all  m m 1  and  n n 1 ,
P α ( z ) = 1 z d s γ ( g   1 / α ) , N ( m , n ) = g = m 0 m 1 h = n 0 n 1 κ ( g , h )
P α 1 is the inverse of  P α , and  ( m , n )  is chosen so that  Ρ α ( ϕ ) + N ( m , n )  is in the domain of  P α 1  for the above conditions.

2.3. Event-Based NMPC Method

When NMPC is utilized for hovercraft tracking control, the tracking accuracy and computer cost are intricately linked to the choice of the control horizon. Selecting an appropriately balanced predictive horizon is crucial, as it can simultaneously minimize tracking errors and alleviate computational demands. Conversely, an excessively long predictive horizon can degrade real-time system performance and substantially elevate computational costs, thereby impairing control efficacy. To address this, we propose an EANMPC strategy that dynamically optimizes control based on the tracking error of the state from the last step. Specifically, the prediction horizons are adaptively reduced as the tracking error approaches zero.
In conventional NMPC frameworks, as shown in Figure 2., the optimal control is solved at each step, with only the initial control action applied to the system, leading to inefficient use of computational resources. Additionally, the predictive horizon remains constant, resulting in a fixed problem dimension regardless of the system’s proximity to the terminal region. Our approach integrates an event-triggering mechanism within NMPC to decrease the frequency of solving the OCP. Concurrently, we adjust the prediction horizon to reduce the problem’s dimensionality and computational complexity, thereby enhancing overall efficiency and performance.
Remark 1.
The constraints in the optimal control problem adhere to standard formulations in the NMPC method. At each triggered time, the solver is initialized using the actual state condition, as indicated by constraint (11), which serves as the feedback mechanism. To ensure system stability, the terminal state at the end of the predictive horizon must enter a predefined terminal set, a condition also imposed in constraint (11).
Remark 2.
A short predictive horizon leads to inadequate dynamic prediction, resulting in poor tracking performance. Conversely, an excessively long predictive horizon can also result in suboptimal tracking performance due to inaccuracies from model mismatches and disturbances. Therefore, selecting an appropriate predictive horizon is crucial. The main goal of the proposed EANMPC method is to achieve a balance between control performance and computational cost.
Triggering conditions can be set between the optimal predicted value at the previous triggering moment. Assume that t 0 = 0 is the initial trigger time. Then, the proposed method can be defined as
t n [ t k , t k + 1 ) , u ( t n ) = u ( k )
t k + 1 = inf { t > t k | y e ( t ) η }
where η denotes the fixed threshold. The control input u ( k ) will only be updated when condition (17) is triggered under the event-triggered mechanism. The minimum triggering time has been set to avoid the Zeno phenomenon [20]. Combining the condition x d k j = p d k j and the Lipschitz condition yields
x d k j + m p d k j + m | k j = L p ι i = 0 m 1 x d k j + i p d k j + i + m μ
applying the inequality given in [21] to Definition 1 yields
x d k j + m p d k j + m | k j m μ e L p ι ( m 1 )
By comparing this with Equation (17), we create the trigger condition η = σ μ e L p ι ( σ 1 ) , where σ 1 . The predicted horizon after triggering is given by
N p k j + 1 = sup x d k j + m p d k j + m | k j < σ μ e L p ι ( m 1 )
Therefore, choosing σ represents a trade-off between tracking performance and triggering frequency. Due to the prior lack of an optimal control input vector, the system will automatically be triggered at the initial time k 0 . Therefore, the upper and lower bounds of the adaptive time domain are set to σ < N p < N p .

3. Stability Analysis

Proof of Stability

Shrinking the time domain of the predictive control horizon can directly affect the dimensionality of the optimal control problem [22]. As the tracking error approaches the terminal region, a shorter horizon may suffice to ensure the terminal constraint is achieved. The shortest prediction time domain of the adaptive update predicted at the previous prediction moment can be represented as
N p = inf i : x e k j + i | k j P f , i 0 , N k j 1
Shrinking the prediction horizon too much may render the optimal problem unsolvable and the system unstable. The condition k j + 1 + N k j + 1 > k j + N k j ensures system stability. The prediction horizon is bounded by min N p N k j , N k j N k j + 1 . Figure 3 describes the relationships between N p , N k j , and N k j + 1 below. The prediction horizon at k j + 1 should satisfy
k j + N k j < k j + 1 + N k j + 1 < k j + 1 + N k j
The cost function is set as the objective Lyapunov function, and the cost difference between k j and k j + 1 is solved below.
V N p ( k + 1 ) x ( k + 1 ) V N p ( k ) x ( k ) V ^ N p ( k + 1 ) x ( k + 1 ) V N p ( k ) x ( k ) = J N p ( k + 1 ) x ( k + 1 ) J N p ( k ) x ( k ) = i = 0 N p ( k + 1 ) 1 ζ x ^ i k + 1 , u ^ i k + 1 + P f x ^ N p k + 1 k + 1 i = 0 N p ( k ) 1 ζ x i k , u i k + P f x N p k k = ζ x ( k ) , u ( k ) + i = 0 N p ( k + 1 ) 1 ζ x ^ i k , u i k ζ x ( i + 1 k ) , u ( i + 1 k ) i = N p ( k + 1 ) + 1 N p ( k ) 1 ζ x ^ i k + 1 , u ^ i k + 1 + P f x ^ N p k + 1 k + 1 P f x N p k k = ζ x ( k ) , u ( k ) + i = N p ( k + 1 ) 1 N p ( k ) 1 ζ x ^ i k + 1 , u ^ i k + 1 + P f x ^ N p k + 1 k + 1 P f x N p k k
Then, Equation (23) can be written as
V N p ( k + 1 ) x ( k + 1 ) V N p ( k ) x ( k ) = i = 0 m k j 1 x e k j + i k j Q 2 + u e k j + i k j P 2 + i = m k j N k j 1 x e k j + i k j Q 2 u e k j + i k j P 2 + i = N k j N k j + 1 1 x e k j + i k j + 1 Q 2 + u e k j + i k j + 1 P 2 + x e k j + N j + 1 k j + 1 R 2 x e k j + N k j k j R 2 i = 0 m k j 1 x e k j + i k j Q 2 + u e k j + i k j P 2 + ω m k , N k j , d
where ω m k , N k j , η is a κ function with respect to η . The hovercraft is controlled by optimizing control u p ( k j + i | k j ) at time k j + i . The controller’s prediction horizon is determined by (20). Controller (6) can be defined as having input-to-state stability.
To ensure closed-loop stability and feasibility, the following assumptions are introduced:
Assumption 4.
The total disturbance vector  d k = D x k , D y k , D r k T  and its first-order difference are bounded. That is, there exist known positive constants  d ¯  and  d ¯ Δ  such that for all  d ( k ) d ¯ ,   d ( k + 1 ) d ( k ) d ¯ Δ ,   k 0 .
The event-triggering mechanism and adaptive-horizon updates necessitate a careful feasibility analysis [23]. We now demonstrate that if the optimization problem is feasible at the initial time, it remains feasible at all subsequent triggering instants.
At a triggering instant k j , let the optimal control sequence be u ( k j ) = { u ( k j | k j ) , u ( k j + 1 | k j ) , , u ( k j + N p ( k j ) 1 | k j ) } . Suppose the next triggering instant is k j + 1 k j ; we then construct a candidate control sequence for the problem at k j as u k j + 1 = { u ( k j + 1 | k j ) , , u ( k j + N p ( k j ) 1 | k j ) , κ f ( x ^ ( k j + N p ( k j ) | k j ) ) , } , where the tail is extended by the terminal controller κ f to achieve length N p k j + 1 . The terminal controller keeps the state in Θ f and satisfies the input constraints. Hence, u k j + 1 is feasible at k j + 1 , ensuring recursive feasibility.

4. Experiments and Verification

This section evaluates the performance of the proposed EANMPC method against several benchmark controllers, alongside describing experiments from different studies with unmanned hovercrafts [24]. The computer used has an Inter 13,700K processor (with 16 cores and 24 threads; the main frequency can reach up to 5.4 GHz, RAM 32 GB) and a 64-bit Windows 10 operating system.

4.1. Control Parameters and Model

The small unmanned hovercraft weighs about m = 2.5   kg and has a length of about L = 0.30   m . The hovercraft’s model uncertainties are set to be Δ M = 0.1 M 0 , Δ C = 0.1 C 0 and Δ M = 0.1 M 0 . The wind and wave disturbance models are designed as follows [23,24,25]:
d uwind ( t ) = 1 2 m ρ a u wind 2 sin w wind t S P P , d vwind ( t ) = 1 2 m ρ a u wind 2 sin w wind t S H P d pwind ( t ) = 1 2 I x ρ a u wind 2 cos w wind t S H P H hov , d rwind ( t ) = 1 2 I z ρ a u wind 2 cos w wind t S P P l c u wind ( t ) = 2 S wind cos w wind t , S wind ( t ) = δ u 2 ( z ) w p 1 + 1.5 w wind w p δ u ( z ) = 0.15 z 20 a V a , w p = 2 π × 0.0025 V a
where the density of air is ρ a = 1.293   kg / m 3 , and S p p and S H P are the front and sides of the projected area of the small hovercraft. The hovercraft air cushion’s length and height are defined as l c and H h o v , and a = 0.015 . w w a v e = 0.08   s 1 is the wave frequency, and the density of the water is ρ w = 103   kg / s 3 . g = 9.8   m / s 2 is the gravitational acceleration.
d w a v e u t = ρ w g l c S w a v e sin w w a v e t d w a v e v t = 0.11 ρ w g l c S w a v e sin w w a v e t d w a v e r t = 0.46 ρ w g l c S w a v e sin w w a v e t S w a v e = A w w a v e 5 e B w w a v e 4 , A = 8.1 × 10 3 g 2 , B = 3.11
In this experiment, cases with different model uncertainties and disturbances compared to the nominal model are investigated to indicate the robustness of the proposed method.
In Figure 4, to verify the robustness of the system, the uncertainties of the system are set to 0, 10%, and 20%. Under the combined effect of disturbances, compared with the nominal system, the control system has good robustness and tracking ability. In addition, the time-varying environmental disturbances are shown in Figure 5.

4.2. Tracking Performance with Disturbance

The prediction step and control step T p = 8   h are defined, and Q = d i a g ( 10 , 10 , 2 ) , P = d i a g 1 , 1 , 1 , R = d i a g ( 1 , 1 , 1 ) are chosen as the weight matrices of the controller. h = 0.1 sec is the sampling period. The output limit of the thruster is set to approximately 1.5 , 1.5 , 2 . The initialization states are defined as X ( 0 ) = [ 0 , 0.5 , 0 , 0 , 0 , 0 ] . In order to handle the ENMPC problem given in Equations (10) and (11), the problem is discretized. Smooth differentiable trajectories are used to test trajectory tracking performance. The desired trajectory defined below is the first case (Case 1):
x d t = A sin ω t 1 + cos 2 ω t y d t = A sin ω t cos ω t 1 + cos 2 ω t
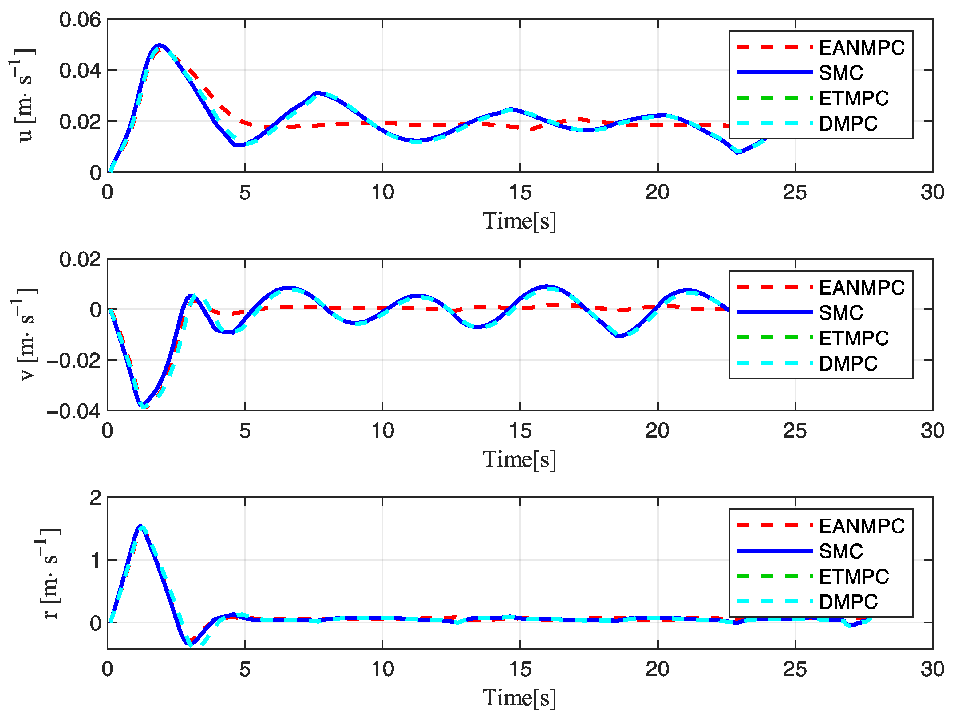
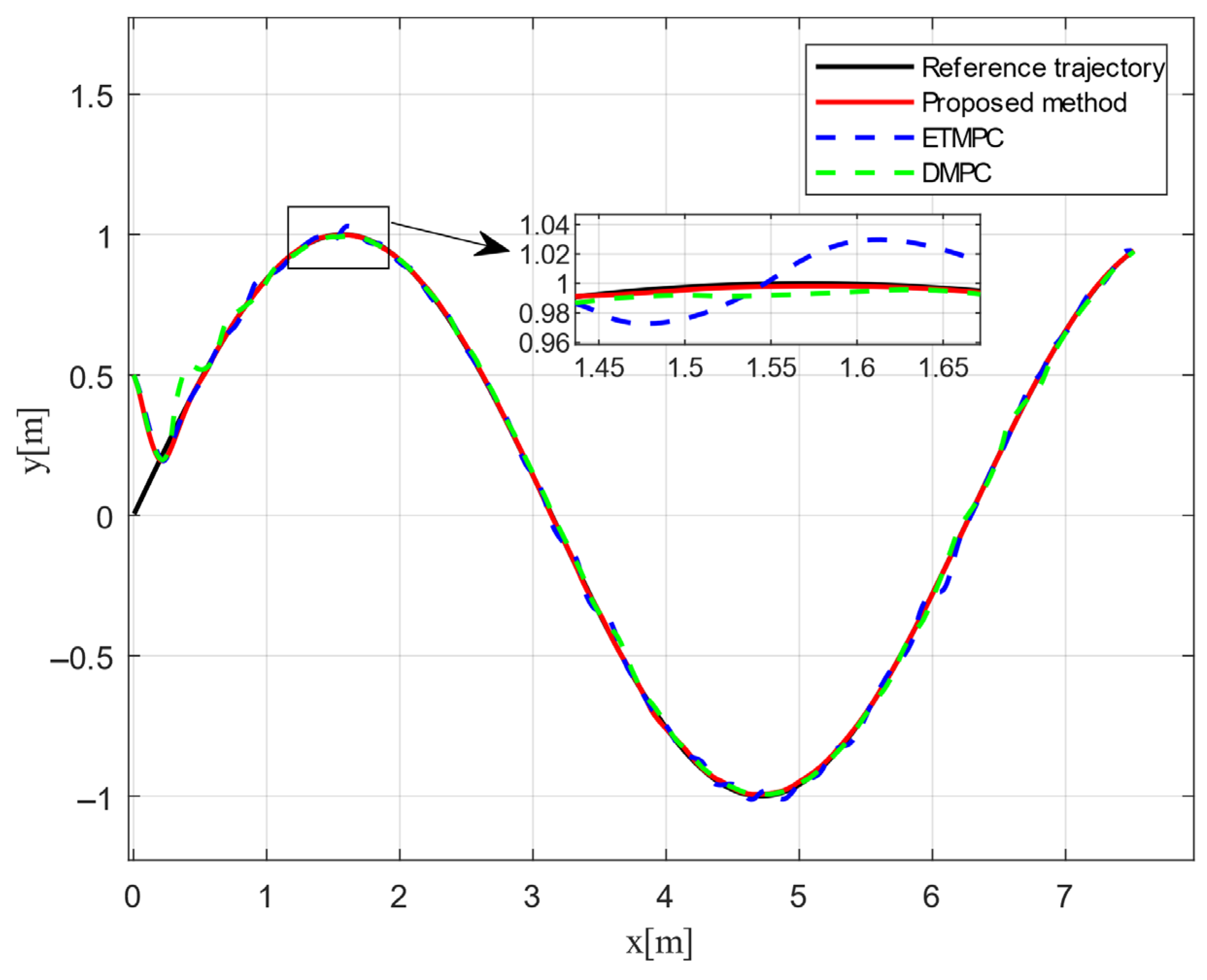
where A controls the scale and ω the frequency. This path contains time-varying curvature, bidirectional motion, and sharp turning points, providing a rigorous test for tracking adaptability and transient performance. Figure 6 indicates the small hovercraft’s trajectory tracking performance under three methods. The proposed EANMPC method has the best tracking performance, as seen from the partially enlarged image. Figure 7 and Figure 8 show that the speed and control input of the proposed method can remain relatively stable, while other methods have larger changes. Figure 9 indicates the prediction horizon under different schemes. Figure 10 shows the trigger time intervals of the proposed EANMPC method and another method by Sun et al. [25], respectively.
The second trajectory is defined below:
q 2 ( t ) = x r 2 t = a t y r 2 t = a sin t
Moreover, Figure 11 indicates the hovercraft’s tracking performance under different schemes for the second trajectory. From the partially enlarged image, it can be seen that the proposed control method has better tracking performance.
Figure 12 and Figure 13 show the speed tracking performance and control inputs of hovercraft under different methods. Figure 14 shows the cost function changes under different methods. Figure 15 shows the triggering time intervals under different methods, respectively. Figure 14 depicts the evolution of the cost function J for Case 2 under the three control schemes. The proposed EANMPC method (blue solid line), after the initial transient period, rapidly converges to and maintains the lowest steady-state value. This indicates its superior efficiency in balancing tracking accuracy against control effort. In contrast, DMPC (red dashed line) exhibits the highest and most oscillatory cost, reflecting potential control chattering induced by its fixed high-frequency optimization during dynamic tracking. While ETMPC (yellow dotted line) reduces updates via event-triggering, its steady-state cost remains higher than EANMPC’s, suggesting that event-triggering alone is insufficient for optimizing long-horizon predictive performance.
Comparing these methods, ETMPC [25] surpasses DMPC in computational efficiency but offers limited improvement in tracking accuracy. A standalone adaptive-horizon MPC might still use excessively long horizons for internal prediction even when not triggered, failing to reduce computation. The proposed EANMPC successfully merges the strengths of both approaches. It is most suitable for scenarios with limited computational resources that still require high-precision tracking of complex trajectories over extended durations, such as long-range path-following tasks for unmanned surface vehicles/hovercraft. For scenarios with extremely gentle trajectories or where computation time is not critical, traditional DMPC may still be applicable due to its design simplicity.
To further analyze the results, MSEs (mean square errors) are employed to compare the actual situation of predicted value errors. The MSEs of position and head angle in the X direction and Y direction can be defined as
M S E = 1 N i = 1 N ε i ε i 2
where ε i ε i represents the longitudinal and lateral errors between the desired and actual values. The MAE results are shown in the two tables below. It can be observed that the proposed method has better performance than the DMPC method.
The quantitative data from Table 1 and Table 2 demonstrate that EANMPC achieves the highest tracking accuracy across all trajectory types. Moreover, to compare the trigger times and cost times under different methods, the computational costs at the aforementioned times are also recorded in Table 3 and Table 4. This improvement is most evident (approximately 26% reduction in position MSE compared to DMPC) for the model featuring sudden turns. This validates the core value of the adaptive prediction horizon: it maintains or even extends the horizon when the tracking error increases to better anticipate path changes and shortens it during steady tracking to focus on short-term dynamics, thereby mitigating negative impacts from model mismatch. The robust performance maintained under varying uncertainty levels, as shown in Figure 4, benefits from integrating bounded disturbance estimation into the receding-horizon optimization framework, enabling a degree of “feedforward compensation” rather than relying solely on feedback correction.
The above tables indicate that the EANMPC method demonstrated better tracking performance in tracking trajectory errors compared to the other two methods. The proposed method has the shortest trigger time, indicating that it has the best computational performance.

5. Conclusions

This article proposes a method for trajectory tracking of an unmanned small hovercraft based on the EANMPC with adaptive prediction horizon under external disturbances. First, an EANMPC method based on the predicted state at the previous time point and the current observed state with a prediction time domain update strategy is proposed. Second, in the process of modeling and tracking control, considering the inherent input saturation, unknown environmental disturbances, and model uncertainty of the system, discretizing the model facilitates the proposal and application of optimization problems. The results of the two simulation cases indicate that the triggering frequency and cost function value for solving the OCP problem decrease as the error decreases. A future research direction is uncovering ways to improve the stability of the proposed method, which would allow the disturbances to be unbounded. Another interesting topic would be applying the methods in this article to existing small hovercrafts.

Author Contributions

H.Z., software, graphing, literature search, data curation and writing; Y.W., methodology, study design, and funding acquisition. H.S., methodology, funding acquisition. All authors have read and agreed to the published version of the manuscript.

Funding

This work was supported by the Fundamental Research Funds for the Central Universities (3072024GH0401) and the National Natural Science Foundation of China (Grant No.52471377).

Institutional Review Board Statement

Not applicable.

Informed Consent Statement

Not applicable.

Data Availability Statement

The data presented in this study are available on request from the corresponding author.

Acknowledgments

Our deepest gratitude goes to the Editor-in-Chief, the Associate Editor, and the anonymous reviewers for their careful work and thoughtful suggestions that have helped improve this paper substantially.

Conflicts of Interest

The authors declare no conflicts of interest.

References

  1. Liu, C.; Hu, Q.; Wang, X.; Yin, J. Event-triggered-based nonlinear model predictive control for trajectory tracking of underactuated ship with multi-obstacle avoidance. Ocean. Eng. 2022, 253, 111278. [Google Scholar] [CrossRef]
  2. Mayne, D.Q.; Rawlings, J.B.; Rao, C.V.; Scokaert, P.O.M. Constrained model predictive control: Stability and optimality. Automatica 2000, 36, 789–814, Erratum in Automatica 2001, 37, 483. https://doi.org/10.1016/S0005-1098(00)00173-4. [Google Scholar] [CrossRef]
  3. Tanaka, K.; Iwasaki, M.; Wang, H. Switching control of an R/C hovercraft: Stabilization and smooth switching. IEEE Trans. Syst. MAN Cybern.—PART B Cybern. 2001, 31, 853–863. [Google Scholar] [CrossRef]
  4. Zheng, Z.; Huang, Y.; Xie, L.; Zhu, B. Adaptive Trajectory Tracking Control of a Fully Actuated Surface Vessel With Asymmetrically Constrained Input and Output. IEEE Trans. Control Syst. Technol. 2018, 26, 1851–1859. [Google Scholar] [CrossRef]
  5. Fu, M.; Zhang, T.; Ding, F.; Wang, D. Safety-guaranteed adaptive neural motion control for a hovercraft with multiple constraints. Ocean. Eng. 2021, 220, 108401. [Google Scholar] [CrossRef]
  6. Gao, J.; Proctor, A.A.; Shi, Y.; Bradley, C. Hierarchical Model Predictive Image-Based Visual Servoing of Underwater Vehicles With Adaptive Neural Network Dynamic Control. IEEE Trans. Cybern. 2016, 46, 2323–2334. [Google Scholar] [CrossRef] [PubMed]
  7. Guerreiro, B.J.; Silvestre, C.; Cunha, R.; Pascoal, A. Trajectory Tracking Nonlinear Model Predictive Control for Autonomous Surface Craft. IEEE Trans. Control Syst. Technol. 2014, 22, 2160–2175. [Google Scholar] [CrossRef]
  8. Shen, C.; Shi, Y. Distributed implementation of nonlinear model predictive control for AUV trajectory tracking. Automatica 2020, 115, 108863. [Google Scholar] [CrossRef]
  9. Wang, N.; Qian, C.; Sun, J.-C.; Liu, Y.-C. Adaptive Robust Finite-Time Trajectory Tracking Control of Fully Actuated Marine Surface Vehicles. IEEE Trans. Control Syst. Technol. 2016, 24, 1454–1462. [Google Scholar] [CrossRef]
  10. Shishika, D.; Yim, J.K.; Paley, D.A. Robust Lyapunov Control Design for Bioinspired Pursuit With Autonomous Hovercraft. IEEE Trans. Control Syst. Technol. 2017, 25, 509–520. [Google Scholar] [CrossRef]
  11. Heshmati-Alamdari, S.; Nikou, A.; Dimarogonas, D.V. Robust trajectory tracking control for underactuated autonomous underwater vehicles in uncertain environments. IEEE Trans. Autom. Sci. Eng. 2020, 18, 1288–1301. [Google Scholar] [CrossRef]
  12. Nikou, A.; Verginis, C.K.; Dimarogonas, D.V. A Tube-Based MPC Scheme for Interaction Control of Underwater Vehicle Manipulator Systems. In Proceedings of the 2018 IEEE/OES Autonomous Underwater Vehicle Workshop (AUV), Porto, Portugal, 6–9 November 2018. [Google Scholar] [CrossRef]
  13. Raghuraman, V.; Koeln, J.P. Hierarchical MPC for coupled subsystems using adjustable tubes. Automatica 2022, 143, 110435. [Google Scholar] [CrossRef]
  14. Fu, M.; Lijing, D.; Yujie, X.; Dan, B. A novel asymmetrical integral barrier Lyapunov function-based trajectory tracking control for hovercraft with multiple constraints. Ocean. Eng. 2022, 263, 112–132. [Google Scholar] [CrossRef]
  15. Yang, H.; Wang, Z.; Xia, Y.; Zuo, Z. EMPC with adaptive APF of obstacle avoidance and trajectory tracking for autonomous electric vehicles. ISA Trans. 2023, 135, 438–448. [Google Scholar] [CrossRef]
  16. Zhu, C.; Chen, J.; Iwasaki, M.; Zhang, H. Event-Triggered Deep Learning Control of Quadrotors for Trajectory Tracking. IEEE Trans. Ind. Electron. 2024, 71, 2726–2736. [Google Scholar] [CrossRef]
  17. Fossen, T.I. Handbook of Marine Craft Hydrodynamics and Motion Control; John Wiley & Sons: Hoboken, NJ, USA, 2011. [Google Scholar]
  18. Wang, T.; Wei, Y.; Peng, X.; Huang, L. Trajectory tracking of autonomous underwater vehicle under disturbance based on time-delay adaptive high-order sliding mode control. Ocean. Eng. 2023, 288, 116081. [Google Scholar] [CrossRef]
  19. Liu, Z.; Zhang, Y.; Yu, X.; Yuan, C. Unmanned surface vehicles: An overview of developments and challenges. Annu. Rev. Control 2016, 41, 71–93. [Google Scholar] [CrossRef]
  20. Cheung, W.-S.; Ren, J. Discrete non-linear inequalities and applications to boundary value problems. J. Math. Anal. Appl. 2006, 319, 708–724. [Google Scholar] [CrossRef]
  21. Gong, P.; Yan, Z.; Zhang, W.; Tang, J. Lyapunov-based model predictive control trajectory tracking for an autonomous underwater vehicle with external disturbances. Ocean. Eng. 2021, 232, 109010. [Google Scholar] [CrossRef]
  22. Shi, Y.; Shen, C.; Fang, H.; Li, H. Advanced Control in Marine Mechatronic Systems: A Survey. IEEE/ASME Trans. Mechatron. 2017, 22, 1121–1131. [Google Scholar] [CrossRef]
  23. Fu, M.; Gao, S.; Wang, C.; Li, M. Design of driver assistance system for air cushion vehicle with uncertainty based on model knowledge neural network. Ocean. Eng. 2019, 172, 296–307. [Google Scholar] [CrossRef]
  24. Shen, C.; Shi, Y.; Buckham, B. Trajectory Tracking Control of an Autonomous Underwater Vehicle Using Lyapunov-Based Model Predictive Control. IEEE Trans. Ind. Electron. 2018, 65, 5796–5805. [Google Scholar] [CrossRef]
  25. Sun, M.; Zhuang, G.; Xia, J.; Wang, Y.; Chen, G. Stochastic admissibility and H∞ output feedback control for singular Markov jump systems under dynamic measurement output event-triggered strategy. Chaos Solitons Fractals 2022, 164, 112635. [Google Scholar] [CrossRef]
Figure 1. Diagram of the Earth-fixed frame and the body-fixed frames.
Figure 1. Diagram of the Earth-fixed frame and the body-fixed frames.
Actuators 15 00006 g001
Figure 2. Composite controller structure.
Figure 2. Composite controller structure.
Actuators 15 00006 g002
Figure 3. Relationships between N k j , N k j , N k j + 1 , and m k j .
Figure 3. Relationships between N k j , N k j , N k j + 1 , and m k j .
Actuators 15 00006 g003
Figure 4. Position tracking performance under different uncertainties.
Figure 4. Position tracking performance under different uncertainties.
Actuators 15 00006 g004
Figure 5. Time-varying environmental disturbances.
Figure 5. Time-varying environmental disturbances.
Actuators 15 00006 g005
Figure 6. Trajectory tracking performance comparison of EANMPC, DMPC, and ETMPC under Case 1.
Figure 6. Trajectory tracking performance comparison of EANMPC, DMPC, and ETMPC under Case 1.
Actuators 15 00006 g006
Figure 7. Velocity comparison of EANMPC, DMPC, and ETMPC under Case 1.
Figure 7. Velocity comparison of EANMPC, DMPC, and ETMPC under Case 1.
Actuators 15 00006 g007
Figure 8. Control input comparison of EANMPC, DMPC, and ETMPC under Case 1.
Figure 8. Control input comparison of EANMPC, DMPC, and ETMPC under Case 1.
Actuators 15 00006 g008
Figure 9. Cost function comparison of EANMPC, DMPC, and ETMPC under Case 1.
Figure 9. Cost function comparison of EANMPC, DMPC, and ETMPC under Case 1.
Actuators 15 00006 g009
Figure 10. The time interval comparison of EANMPC, DMPC, and ETMPC under Case 1.
Figure 10. The time interval comparison of EANMPC, DMPC, and ETMPC under Case 1.
Actuators 15 00006 g010
Figure 11. Trajectory tracking performance comparison of EANMPC, DMPC, and ETMPC under Case 2.
Figure 11. Trajectory tracking performance comparison of EANMPC, DMPC, and ETMPC under Case 2.
Actuators 15 00006 g011
Figure 12. Velocities comparison of EANMPC, DMPC, and ETMPC under Case 2.
Figure 12. Velocities comparison of EANMPC, DMPC, and ETMPC under Case 2.
Actuators 15 00006 g012
Figure 13. Control input comparison of EANMPC, DMPC, and ETMPC under Case 2.
Figure 13. Control input comparison of EANMPC, DMPC, and ETMPC under Case 2.
Actuators 15 00006 g013
Figure 14. Cost function comparison of EANMPC, DMPC, and ETMPC under Case 2.
Figure 14. Cost function comparison of EANMPC, DMPC, and ETMPC under Case 2.
Actuators 15 00006 g014
Figure 15. The time interval comparison of EANMPC, DMPC, and ETMPC under Case 2.
Figure 15. The time interval comparison of EANMPC, DMPC, and ETMPC under Case 2.
Actuators 15 00006 g015
Table 1. Mean square errors with disturbances—Case 1.
Table 1. Mean square errors with disturbances—Case 1.
MSEDMPCEANMPCImprovement
x [m2]0.39860.276630.6%
y [m2]0.03390.030310.6%
ψ [rad2]0.00490.000491.8%
Table 2. Mean square errors with disturbances—Case 2.
Table 2. Mean square errors with disturbances—Case 2.
MSEDMPCEANMPCImprovement
x [m2]0.00340.002720.6%
y [m2]0.03420.027918.4%
ψ [rad2]0.24380.22129.26%
Table 3. Computational performance indexes under different methods—Case 1.
Table 3. Computational performance indexes under different methods—Case 1.
Computational DateDMPCETMPCEANMPC
Cost time (s)1468763
Trigger times967831523
Table 4. Computational performance indexes under different methods—Case 2.
Table 4. Computational performance indexes under different methods—Case 2.
Computational DateDMPCETMPCEANMPC
Cost time (s)1529256
Trigger times1012767431
Disclaimer/Publisher’s Note: The statements, opinions and data contained in all publications are solely those of the individual author(s) and contributor(s) and not of MDPI and/or the editor(s). MDPI and/or the editor(s) disclaim responsibility for any injury to people or property resulting from any ideas, methods, instructions or products referred to in the content.

Share and Cite

MDPI and ACS Style

Zhang, H.; Wang, Y.; Sun, H. Trajectory Tracking of Unmanned Hovercraft: Event-Triggered NMPC Under Actuation Limits and Disturbances. Actuators 2026, 15, 6. https://doi.org/10.3390/act15010006

AMA Style

Zhang H, Wang Y, Sun H. Trajectory Tracking of Unmanned Hovercraft: Event-Triggered NMPC Under Actuation Limits and Disturbances. Actuators. 2026; 15(1):6. https://doi.org/10.3390/act15010006

Chicago/Turabian Style

Zhang, Haolun, Yuanhui Wang, and Han Sun. 2026. "Trajectory Tracking of Unmanned Hovercraft: Event-Triggered NMPC Under Actuation Limits and Disturbances" Actuators 15, no. 1: 6. https://doi.org/10.3390/act15010006

APA Style

Zhang, H., Wang, Y., & Sun, H. (2026). Trajectory Tracking of Unmanned Hovercraft: Event-Triggered NMPC Under Actuation Limits and Disturbances. Actuators, 15(1), 6. https://doi.org/10.3390/act15010006

Note that from the first issue of 2016, this journal uses article numbers instead of page numbers. See further details here.

Article Metrics

Back to TopTop