Sign in to use this feature.

Years

Between: -

Subjects

remove_circle_outline
remove_circle_outline
remove_circle_outline
remove_circle_outline
remove_circle_outline
remove_circle_outline
remove_circle_outline
remove_circle_outline
remove_circle_outline

Journals

remove_circle_outline
remove_circle_outline
remove_circle_outline
remove_circle_outline
remove_circle_outline
remove_circle_outline
remove_circle_outline
remove_circle_outline
remove_circle_outline
remove_circle_outline

Article Types

Countries / Regions

remove_circle_outline
remove_circle_outline
remove_circle_outline
remove_circle_outline

Search Results (814)

Search Parameters:
Keywords = event-triggered control

Order results
Result details
Results per page
Select all
Export citation of selected articles as:
37 pages, 928 KB  
Review
The Xenopus Oocyte System: Molecular Dynamics of Maturation, Fertilization, and Post-Ovulatory Fate
by Ken-Ichi Sato
Biomolecules 2026, 16(1), 22; https://doi.org/10.3390/biom16010022 - 23 Dec 2025
Abstract
The Xenopus oocyte has long served as a versatile and powerful model for dissecting the molecular underpinnings of reproductive and developmental processes. Its large size, manipulability, and well-characterized cell cycle states have enabled generations of researchers to illuminate key aspects of oocyte maturation, [...] Read more.
The Xenopus oocyte has long served as a versatile and powerful model for dissecting the molecular underpinnings of reproductive and developmental processes. Its large size, manipulability, and well-characterized cell cycle states have enabled generations of researchers to illuminate key aspects of oocyte maturation, fertilization, and early embryogenesis. This review provides an integrated overview of the cellular and molecular events that define the Xenopus oocyte’s transition from meiotic arrest to embryonic activation—or alternatively, to programmed demise if fertilization fails. We begin by exploring the architectural and biochemical landscape of the oocyte, including polarity, cytoskeletal organization, and nuclear dynamics. The regulatory networks governing meiotic resumption are then examined, with a focus on MPF (Cdk1/Cyclin B), MAPK cascades, and translational control via CPEB-mediated cytoplasmic polyadenylation. Fertilization is highlighted as a calcium-dependent trigger for oocyte activation. During fertilization in vertebrates, sperm-delivered phospholipase C zeta (PLCζ) is a key activator of Ca2+ signaling in mammals. In contrast, amphibian species such as Xenopus lack a PLCZ1 ortholog and instead appear to rely on alternative protease-mediated signaling mechanisms, including the uroplakin III–Src tyrosine kinase pathway and matrix metalloproteinase (MMP)-2 activity, to achieve egg activation. The review also addresses the molecular fate of unfertilized eggs, comparing apoptotic and necrotic mechanisms and their relevance to reproductive health. Finally, we discuss recent innovations in Xenopus-based technologies such as mRNA microinjection, genome editing, and in vitro ovulation systems, which are opening new avenues in developmental biology and translational medicine. By integrating classic findings with emerging frontiers, this review underscores the continued value of the Xenopus model in elucidating the fundamental processes of life’s origin. We conclude with perspectives on unresolved questions and future directions in oocyte and early embryonic research. Full article
(This article belongs to the Special Issue Gametogenesis and Gamete Interaction, 2nd Edition)
Show Figures

Graphical abstract

15 pages, 1516 KB  
Article
Event-Triggered Fuzzy-Networked Control System For A 3-DOF Quadcopter with Limited-Bandwidth Communication
by Ti-Hung Chen
Appl. Syst. Innov. 2026, 9(1), 4; https://doi.org/10.3390/asi9010004 - 22 Dec 2025
Abstract
Quadcopters are attracting widespread attention due to their growing demand for use in various applications. Since wired communication would severely restrict a quadcopter’s range, maneuverability, and applications, quadcopters usually communicate via wireless networks. Although wireless communication allows the freedom of movement necessary for [...] Read more.
Quadcopters are attracting widespread attention due to their growing demand for use in various applications. Since wired communication would severely restrict a quadcopter’s range, maneuverability, and applications, quadcopters usually communicate via wireless networks. Although wireless communication allows the freedom of movement necessary for a wide array of quadcopter applications, it is subject to bandwidth constraints. When multiple quadcopters operate simultaneously, the bandwidth of a wireless network will not meet the requirements. To address this issue, we propose an event-triggered fuzzy-networked control system for 3-DOF quadcopters that reduces the bandwidth requirement. We utilized a fuzzy-networked controller to control a 3-DOF quadcopter. After that, we adopted an event-triggered control approach to reduce the bandwidth requirement. Using the proposed method, one only needs to translate the signals while the event-triggering condition is satisfied, thus reducing the amount of data transmitted over the network. Also, to analyze the stability of the overall system, the Lyapunov stability theorem was adopted. Finally, the proposed method was validated through a 3-DOF quadcopter simulation model. The computer simulations are presented to demonstrate that the proposed control strategy enables a 75.2% (without external disturbance) reduction in bandwidth, which is sufficient to achieve the control objective. This reflects the fact that the proposed control scheme can achieve good control performance with relatively little bandwidth resources and indicates its potential to allow scalable deployment of UAVs. Full article
19 pages, 3837 KB  
Article
Trajectory Tracking of Unmanned Hovercraft: Event-Triggered NMPC Under Actuation Limits and Disturbances
by Haolun Zhang, Yuanhui Wang and Han Sun
Actuators 2026, 15(1), 6; https://doi.org/10.3390/act15010006 - 22 Dec 2025
Abstract
This study addresses the trajectory tracking problem for unmanned hovercrafts operating under unknown time-varying environmental disturbances and actuator saturation. To balance real-time performance with control accuracy, an event-triggered adaptive nonlinear model predictive control (EANMPC) method is proposed. The approach dynamically adjusts the prediction [...] Read more.
This study addresses the trajectory tracking problem for unmanned hovercrafts operating under unknown time-varying environmental disturbances and actuator saturation. To balance real-time performance with control accuracy, an event-triggered adaptive nonlinear model predictive control (EANMPC) method is proposed. The approach dynamically adjusts the prediction horizon based on tracking error and incorporates an event-triggering mechanism to reduce unnecessary control updates. This design significantly alleviates computational burden while maintaining robust tracking performance. Furthermore, a rigorous input-to-state stability proof is provided without resorting to local linearization. Simulation results under two distinct trajectories demonstrate that the proposed method achieves superior tracking accuracy and reduces computational cost by 57% compared to conventional NMPC. The framework thus offers a practical and efficient control solution for underactuated hovercraft systems operating in complex maritime environments. Full article
Show Figures

Figure 1

25 pages, 1429 KB  
Article
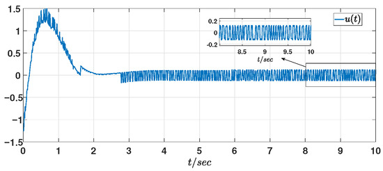
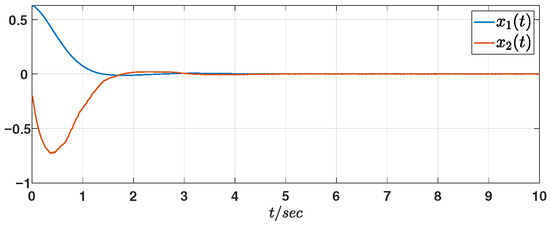
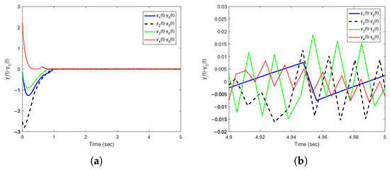
Event-Trigger-Based Fuzzy Adaptive Finite-Time Control for Uncertain Nonlinear Systems with Unmeasurable States
by Zhiqiang Wu and Lei Xing
Symmetry 2026, 18(1), 12; https://doi.org/10.3390/sym18010012 - 20 Dec 2025
Viewed by 29
Abstract
This article delves into the fuzzy finite-time adaptive control problem for uncertain nonlinear systems where state measurements are unavailable, nonlinear functions are unknown, and communication is limited. To emulate the unknown nonlinear relationships within the control methodology, we exploit fuzzy logic systems, while [...] Read more.
This article delves into the fuzzy finite-time adaptive control problem for uncertain nonlinear systems where state measurements are unavailable, nonlinear functions are unknown, and communication is limited. To emulate the unknown nonlinear relationships within the control methodology, we exploit fuzzy logic systems, while also proposing a state observer to address the challenge of unobservable states. To avoid the “complexity explosion” problem intrinsic to conventional backstepping techniques, the controller is developed based on the dynamic surface control methodology, which incorporates first-order filters to successfully alleviate this issue. An event-triggered approach is introduced to alleviate the computational and communication overhead. By leveraging the finite-time control approach, an adaptive finite-time fuzzy control algorithm is constructed using the adaptive backstepping technique. An event-triggered mechanism is designed to reduce communication frequency, while rigorously maintaining closed-loop stability and ensuring a positive minimum inter-event time to avoid Zeno behavior. The proposed finite-time controller achieves finite-time stability of the controlled systems, thereby guaranteeing that all system signals remain bounded within a finite time, despite the presence of unmeasurable states, unknown nonlinear functions, and limited communication constraints. This paper differentiates itself from recent related studies by proposing a co-designed observer–controller framework that rigorously guarantees finite-time stability under an event-triggered communication mechanism, thereby effectively addressing the multiple concurrent challenges of state estimation, rapid convergence, and limited network resources. Simulation examples are conducted to illustrate the effectiveness and feasibility of the derived control algorithm. Full article
(This article belongs to the Section Mathematics)
23 pages, 3492 KB  
Article
Multi-Objective Reinforcement Learning for Virtual Impedance Scheduling in Grid-Forming Power Converters Under Nonlinear and Transient Loads
by Jianli Ma, Kaixiang Peng, Xin Qin and Zheng Xu
Energies 2025, 18(24), 6621; https://doi.org/10.3390/en18246621 - 18 Dec 2025
Viewed by 199
Abstract
Grid-forming power converters play a foundational role in modern microgrids and inverter-dominated distribution systems by establishing voltage and frequency references during islanded or low-inertia operation. However, when subjected to nonlinear or impulsive impact-type loads, these converters often suffer from severe harmonic distortion and [...] Read more.
Grid-forming power converters play a foundational role in modern microgrids and inverter-dominated distribution systems by establishing voltage and frequency references during islanded or low-inertia operation. However, when subjected to nonlinear or impulsive impact-type loads, these converters often suffer from severe harmonic distortion and transient current overshoot, leading to waveform degradation and protection-triggered failures. While virtual impedance control has been widely adopted to mitigate these issues, conventional implementations rely on fixed or rule-based tuning heuristics that lack adaptivity and robustness under dynamic, uncertain conditions. This paper proposes a novel reinforcement learning-based framework for real-time virtual impedance scheduling in grid-forming converters, enabling simultaneous optimization of harmonic suppression and impact load resilience. The core of the methodology is a Soft Actor-Critic (SAC) agent that continuously adjusts the converter’s virtual impedance tensor—comprising dynamically tunable resistive, inductive, and capacitive elements—based on real-time observations of voltage harmonics, current derivatives, and historical impedance states. A physics-informed simulation environment is constructed, including nonlinear load models with dominant low-order harmonics and stochastic impact events emulating asynchronous motor startups. The system dynamics are modeled through a high-order nonlinear framework with embedded constraints on impedance smoothness, stability margins, and THD compliance. Extensive training and evaluation demonstrate that the learned impedance policy effectively reduces output voltage total harmonic distortion from over 8% to below 3.5%, while simultaneously limiting current overshoot during impact events by more than 60% compared to baseline methods. The learned controller adapts continuously without requiring explicit load classification or mode switching, and achieves strong generalization across unseen operating conditions. Pareto analysis further reveals the multi-objective trade-offs learned by the agent between waveform quality and transient mitigation. Full article
Show Figures

Figure 1

22 pages, 1721 KB  
Article
ADP-Based Event-Triggered Optimal Control of Grid-Connected Voltage Source Inverters
by Zemeng Mi, Jiawei Wang, Hanguang Su, Dongyuan Zhang, Wencheng Yan and Yuanyuan Bai
Machines 2025, 13(12), 1146; https://doi.org/10.3390/machines13121146 - 17 Dec 2025
Viewed by 84
Abstract
In this paper, an event-triggered optimal control strategy is proposed for three-phase grid-connected voltage source inverters (VSIs) based on the voltage-modulated direct power control (VM-DPC) principle. The optimization control problem of VSIs is addressed in the framework of nonzero sum (NZS) games to [...] Read more.
In this paper, an event-triggered optimal control strategy is proposed for three-phase grid-connected voltage source inverters (VSIs) based on the voltage-modulated direct power control (VM-DPC) principle. The optimization control problem of VSIs is addressed in the framework of nonzero sum (NZS) games to ensure mutual cooperation between active power and reactive power. To achieve optimal performance, the power components are driven to track their desired references while minimizing the individual performance index function. Accurate tracking of active and reactive powers not only stabilizes the grid but also guarantees compliant renewable integration. An adaptive dynamic programming (ADP) approach is adopted, where the critic neural network (NN) approximates the value function and provides optimal control policies. Moreover, an event-triggered mechanism with a dead-zone operation is incorporated to reduce redundant updates, thereby saving computational and communication resources. The stability of the closed-loop system and a strictly positive minimum inter-event interval are guaranteed. Simulation results verify that the proposed method achieves accurate power tracking, improved dynamic performance, and efficient implementation. Full article
Show Figures

Figure 1

21 pages, 1088 KB  
Article
Dynamic Event-Triggered, Fixed-Time Control for Heterogeneous Multi-Agent Systems with Hybrid DoS Attacks
by Ji Han and He Jiang
Mathematics 2025, 13(24), 4009; https://doi.org/10.3390/math13244009 - 16 Dec 2025
Viewed by 88
Abstract
In this article, the fixed-time, quasi-consensus control problem for heterogeneous multi-agent systems (HMASs) under denial-of-service (DoS) attacks is investigated. Unlike most previous studies in this area, which focus on periodic (or single-type) DoS attacks with static event-triggered control, this paper ensures that HMASs [...] Read more.
In this article, the fixed-time, quasi-consensus control problem for heterogeneous multi-agent systems (HMASs) under denial-of-service (DoS) attacks is investigated. Unlike most previous studies in this area, which focus on periodic (or single-type) DoS attacks with static event-triggered control, this paper ensures that HMASs achieve fixed-time quasi-consensus under aperiodic hybrid DoS attacks via dynamic event-triggered control. According to whether DoS attacks are known, two control protocols based on dynamic event-triggered conditions are given, which both ensure that HMASs achieve output quasi-consensus within a fixed time and exhibit less conservative triggering conditions than static event-triggered protocols. Moreover, the proof that the given dynamic event-triggered conditions can avoid Zeno-behavior is provided. Lastly, simulation examples are presented to support the obtained points. Full article
(This article belongs to the Section E2: Control Theory and Mechanics)
Show Figures

Figure 1

13 pages, 826 KB  
Article
Risks of Stroke and Transient Cerebral Ischemia up to 4 Years Post-SARS-CoV-2 Infection in Large Diverse Urban Population in the Bronx
by Sagar Changela, Roham Hadidchi, Aditi Vichare, Liora Rahmani, Sonya Henry and Tim Q. Duong
Diagnostics 2025, 15(24), 3183; https://doi.org/10.3390/diagnostics15243183 - 13 Dec 2025
Viewed by 1521
Abstract
Background: SARS-CoV-2 infection could trigger hypercoagulation and hyperinflammation that may predispose patients to cerebrovascular events. The long-term risk of stroke among COVID-19 patients remains unclear. This study investigated the long-term risks of ischemic stroke and transient cerebral ischemia (TCI) among patients with and [...] Read more.
Background: SARS-CoV-2 infection could trigger hypercoagulation and hyperinflammation that may predispose patients to cerebrovascular events. The long-term risk of stroke among COVID-19 patients remains unclear. This study investigated the long-term risks of ischemic stroke and transient cerebral ischemia (TCI) among patients with and without COVID-19. Methods: We conducted an observational cohort study in the Montefiore Health System (February 2020–January 2024), with 52,117 COVID+ and 837,395 COVID− patients without prior cerebrovascular events. Demographics, comorbidities, insurance, unmet social needs, and median income were adjusted for using inverse probability weighting. Cox-proportional regression hazard ratios (HR) and their 95% confidence intervals were computed for ischemic stroke and TCI. Results: Compared to COVID− controls, ischemic stroke risk was higher among hospitalized COVID+ patients (HR = 1.32 [1.12–1.55]) and non-hospitalized COVID+ patients (1.21 [1.05–1.39]). Compared to COVID− controls, TCI risk was similar among hospitalized COVID+ patients (1.00 [0.75–1.33]), but higher among non-hospitalized COVID+ patients (2.15 [1.81–2.56]). Conclusions: Hospitalized and non-hospitalized COVID-19 patients had a higher long-term risk of ischemic stroke while only non-hospitalized COVID-19 patients had a higher long-term risk of TCI. These findings underscore the needs for long-term monitoring of cerebrovascular risk factors in COVID-19 survivors. Full article
(This article belongs to the Special Issue Neurological Diseases: Biomarkers, Diagnosis and Prognosis)
Show Figures

Figure 1

16 pages, 705 KB  
Article
Event-Triggered Control for Discrete-Time Linear Systems Under Actuator and Sensor Constraints
by Jinze Jia, Yonggang Chen, Jishen Jia, Liping Luo and Rui Dong
Actuators 2025, 14(12), 605; https://doi.org/10.3390/act14120605 - 12 Dec 2025
Viewed by 240
Abstract
This paper focuses on designing an event-triggered dynamic output feedback controller for discrete-time linear systems subject to actuator and sensor constraints as well as external disturbances. A dynamic event-triggered condition with two generalized weighting parameters is introduced to regulate sensor-to-controller communication. By integrating [...] Read more.
This paper focuses on designing an event-triggered dynamic output feedback controller for discrete-time linear systems subject to actuator and sensor constraints as well as external disturbances. A dynamic event-triggered condition with two generalized weighting parameters is introduced to regulate sensor-to-controller communication. By integrating generalized sector conditions, Lyapunov analysis, and linearization techniques, sufficient conditions are derived in terms of linear matrix inequalities, ensuring bounded closed-loop trajectories, prescribed H performance, and asymptotic stability in the disturbance-free case. Furthermore, optimization problems are formulated to maximize the event-triggering rate while preserving the desired system performance. Simulation results show that, compared to time-triggered control, the event-triggered control effectively reduces the communication frequency, thereby significantly conserving communication resources. Compared with existing results, this work presents the first event-triggered dynamic output feedback scheme for discrete-time linear systems with dual saturation constraints. The inclusion of generalized weighting parameters and the use of generalized sector conditions allow the design to be carried out within a flexible local framework with reduced conservatism. Full article
(This article belongs to the Section Control Systems)
Show Figures

Figure 1

34 pages, 4772 KB  
Article
Rain- and Seismic-Triggered Mass Movements in Coastal Ecuador—A Case Study of the “El Florón” Landslide in Portoviejo
by Melany Melgar, Nayeska Ramírez-Cevallos, Kervin Chunga and Theofilos Toulkeridis
Earth 2025, 6(4), 156; https://doi.org/10.3390/earth6040156 - 11 Dec 2025
Viewed by 840
Abstract
On 23 April 2023, a rotational landslide occurred at El Florón III (Portoviejo, Ecuador), triggered by intense rainfall that increased saturation and water pressure in the pores of the colluvial materials. Therefore, the current research predominantly aimed to (i) characterize the geological, geophysical, [...] Read more.
On 23 April 2023, a rotational landslide occurred at El Florón III (Portoviejo, Ecuador), triggered by intense rainfall that increased saturation and water pressure in the pores of the colluvial materials. Therefore, the current research predominantly aimed to (i) characterize the geological, geophysical, and geotechnical conditions that controlled the instability, (ii) identify and validate the fault surface, and (iii) evaluate a stabilization alternative in accordance with the Ecuadorian Construction Standard (NEC-15). Additionally, a probabilistic analysis was conducted based on the post-landslide geotechnical characteristics of the material, obtained from direct shear tests, which served as the basis for the back-analysis that determined the parameters governing the soil’s behavior during the event. Based on the parameters obtained for the landslide analysis and the determination of safety factors in accordance with the guidelines of the Ecuadorian Construction Standard, a ground reinforcement configuration was proposed through the implementation of micropiles combined with terracing. This approach allowed for establishing a methodology applicable to landslide scenarios in equivalent environments, considering the specific geotechnical and climatic conditions of the area. Full article
Show Figures

Figure 1

27 pages, 9001 KB  
Article
The Research on a Collaborative Management Model for Multi-Source Heterogeneous Data Based on OPC Communication
by Jiashen Tian, Cheng Shang, Tianfei Ren, Zhan Li, Eming Zhang, Jing Yang and Mingjun He
Sensors 2025, 25(24), 7517; https://doi.org/10.3390/s25247517 - 10 Dec 2025
Viewed by 334
Abstract
Effectively managing multi-source heterogeneous data remains a critical challenge in distributed cyber-physical systems (CPS). To address this, we present a novel and edge-centric computing framework integrating four key technological innovations. Firstly, a hybrid OPC communication stack seamlessly combines Client/Server, Publish/Subscribe, and P2P paradigms, [...] Read more.
Effectively managing multi-source heterogeneous data remains a critical challenge in distributed cyber-physical systems (CPS). To address this, we present a novel and edge-centric computing framework integrating four key technological innovations. Firstly, a hybrid OPC communication stack seamlessly combines Client/Server, Publish/Subscribe, and P2P paradigms, enabling scalable interoperability across devices, edge nodes, and the cloud. Secondly, an event-triggered adaptive Kalman filter is introduced; it incorporates online noise-covariance estimation and multi-threshold triggering mechanisms. This approach significantly reduces state-estimation error by 46.7% and computational load by 41% compared to conventional fixed-rate sampling. Thirdly, temporal asynchrony among edge sensors is resolved by a Dynamic Time Warping (DTW)-based data-fusion module, which employs optimization constrained by Mahalanobis distance. Ultimately, a content-aware deterministic message queue data distribution mechanism is designed to ensure an end-to-end latency of less than 10 ms for critical control commands. This mechanism, which utilizes a “rules first” scheduling strategy and a dynamic resource allocation mechanism, guarantees low latency for key instructions even under the response loads of multiple data messages. The core contribution of this study is the proposal and empirical validation of an architecture co-design methodology aimed at ultra-high-performance industrial systems. This approach moves beyond the conventional paradigm of independently optimizing individual components, and instead prioritizes system-level synergy as the foundation for performance enhancement. Experimental evaluations were conducted under industrial-grade workloads, which involve over 100 heterogeneous data sources. These evaluations reveal that systems designed with this methodology can simultaneously achieve millimeter-level accuracy in field data acquisition and millisecond-level latency in the execution of critical control commands. These results highlight a promising pathway toward the development of real-time intelligent systems capable of meeting the stringent demands of next-generation industrial applications, and demonstrate immediate applicability in smart manufacturing domains. Full article
(This article belongs to the Section Communications)
Show Figures

Figure 1

22 pages, 698 KB  
Article
Model Predictive Load Frequency Control for Virtual Power Plants: A Mixed Time- and Event-Triggered Approach Dependent on Performance Standard
by Liangyi Pu, Jianhua Hou, Song Wang, Haijun Wei, Yanghaoran Zhu, Xiong Xu and Xiongbo Wan
Technologies 2025, 13(12), 571; https://doi.org/10.3390/technologies13120571 - 5 Dec 2025
Viewed by 309
Abstract
To improve the load frequency control (LFC) performance of power systems incorporating virtual power plants (VPPs) while reducing network resource consumption, a model predictive control (MPC) method based on a mixed time/event-triggered mechanism (MTETM) is proposed. This mechanism integrates an event-triggered mechanism (ETM) [...] Read more.
To improve the load frequency control (LFC) performance of power systems incorporating virtual power plants (VPPs) while reducing network resource consumption, a model predictive control (MPC) method based on a mixed time/event-triggered mechanism (MTETM) is proposed. This mechanism integrates an event-triggered mechanism (ETM) with a time-triggered mechanism (TTM), where ETM avoids unnecessary signal transmission and TTM ensures fundamental control performance. Subsequently, for the LFC system incorporating VPPs, a state hard constrained MPC problem is formulated and transformed into a “min-max” optimisation problem. Through linear matrix inequalities, the original optimisation problem is equivalently transformed into an auxiliary optimisation problem, with the optimal control law solved via rolling optimisation. Theoretical analysis demonstrates that the proposed auxiliary optimisation problem possesses recursive feasibility, whilst the closed-loop system satisfies input-to-state stability. Finally, validation through case studies of two regional power systems demonstrates that the MPC approach based on MTETM outperforms the ETM-based MPC approach in terms of control performance while maintaining a triggering rate of 33.3%. Compared with the TTM-based MPC algorithm, the MTETM-based MPC method reduces the triggering rate by 66.7%, while maintaining nearly equivalent control performance. Consequently, the results validate the effectiveness of the MTETM-based MPC approach in conserving network resources while maintaining control performance. Full article
(This article belongs to the Special Issue Next-Generation Distribution System Planning, Operation, and Control)
Show Figures

Figure 1

23 pages, 808 KB  
Article
Leader–Follower Consensus of Switched Multi-Agent Systems Under Distributed Event-Triggered Scheme
by Jia Zheng, Xiuling Li, Tongchao Wang, Hongying Wang and Jiaxuan Sun
Symmetry 2025, 17(12), 2079; https://doi.org/10.3390/sym17122079 - 4 Dec 2025
Viewed by 225
Abstract
This paper proposes an event-triggered distributed switching strategy, which solves the consensus problem of switching multi-agent systems. By introducing an event-triggering mechanism, the exchange signals of each agent are updated only at discrete trigger moments, thereby reducing communication and computing loads. The design [...] Read more.
This paper proposes an event-triggered distributed switching strategy, which solves the consensus problem of switching multi-agent systems. By introducing an event-triggering mechanism, the exchange signals of each agent are updated only at discrete trigger moments, thereby reducing communication and computing loads. The design of the trigger conditions takes into account the error between the follower and its neighbor states to ensure consensus is reached. By constructing multiple Lyapunov functions and using loop functions related to event triggering, the conservativeness of multiple Lyapunov function methods is relaxed. It is shown that the closed-loop system achieves exponential leader—follower consensus even when all subsystems are unstable, while strictly excluding Zeno behavior. Numerical simulations verify the effectiveness of the proposed method. Full article
Show Figures

Figure 1

29 pages, 1476 KB  
Article
A Spatio-Temporally Cooperative Guidance Law for Highly Maneuverable Target
by Jia Liu, Yang Guo, Shaobo Wang, Shiyuan Zhang, Jimao Sang and Chengyi Zhang
Aerospace 2025, 12(12), 1079; https://doi.org/10.3390/aerospace12121079 - 4 Dec 2025
Viewed by 269
Abstract
Conventional guidance laws often exhibit difficulty in approaching highly maneuverable targets and suffer from poor robustness. To address these limitations, this paper proposes a spatio-temporally consistent cooperative guidance method based on the fully actuated system (FAS) approach. First, a cooperative guidance model incorporating [...] Read more.
Conventional guidance laws often exhibit difficulty in approaching highly maneuverable targets and suffer from poor robustness. To address these limitations, this paper proposes a spatio-temporally consistent cooperative guidance method based on the fully actuated system (FAS) approach. First, a cooperative guidance model incorporating the approaching-time and approaching-angle constraints is established based on kinematic and dynamic equations, subsequently transformed into an FAS formulation. Second, leveraging the backstepping design, a sliding-mode-like guidance law and an event-triggered control barrier function optimization method are designed within the FAS framework. Specifically, cooperative guidance laws are developed for the line-of-sight (LOS) radial and normal directions, respectively, tailored for approaching a highly maneuverable target. The consistent convergence properties of the proposed method are rigorously proven theoretically. Finally, the effectiveness of the proposed guidance scheme is validated through comprehensive numerical simulations. Full article
Show Figures

Figure 1

23 pages, 841 KB  
Article
Observer-Based Neural Sliding Mode Control of Fuzzy Markov Jump Systems via Dynamic Event-Triggered Approach
by Jianping Deng, Yiming Yang and Baoping Jiang
Electronics 2025, 14(23), 4758; https://doi.org/10.3390/electronics14234758 - 3 Dec 2025
Viewed by 260
Abstract
This study addresses the challenge of designing an event-triggered observer for neural network-enhanced sliding mode control in nonlinear Takagi–Sugeno fuzzy Markov jump systems, where premise variables are not directly measurable. Firstly, for the purpose of state observer design, a dynamic event-triggered mechanism integrated [...] Read more.
This study addresses the challenge of designing an event-triggered observer for neural network-enhanced sliding mode control in nonlinear Takagi–Sugeno fuzzy Markov jump systems, where premise variables are not directly measurable. Firstly, for the purpose of state observer design, a dynamic event-triggered mechanism integrated with a neural network-based compensator is developed. Secondly, through the construction of an integral sliding surface, the dynamic behaviors of both the sliding mode and the error system are formulated, incorporating estimated premise parameters. Thirdly, rigorous stochastic stabilization criteria are established, incorporating H disturbance attenuation with a specified level γ, while accounting for transition rates with general uncertainty characteristics. Subsequently, a fuzzy adaptive sliding mode control scheme is synthesized to ensure finite-time convergence of the system states to the predefined sliding surface. Finally, the effectiveness of the proposed control strategy is thoroughly validated through high-fidelity numerical simulations on a practical example. Full article
(This article belongs to the Section Systems & Control Engineering)
Show Figures

Figure 1

Back to TopTop