Axial Stiffness Augmentation by Adding Superconductor Bulks or Limiting Permanent Magnet Rings to a Horizontal Axis Zero-Field Cooled High-Tc Radial Passive Superconducting Bearing
Abstract
1. Introduction
2. Materials and Methods
2.1. Designs and Materials of the Studied HTS ZFC Passive Bearing Experimental Prototype
2.2. Geometry Modifications to Augment the Axial Stiffness of the HTS ZFC Passive Bearing
2.3. Adopted Method to Reduce Numerical Processing in the Prediction of Magnetic Guidance Forces
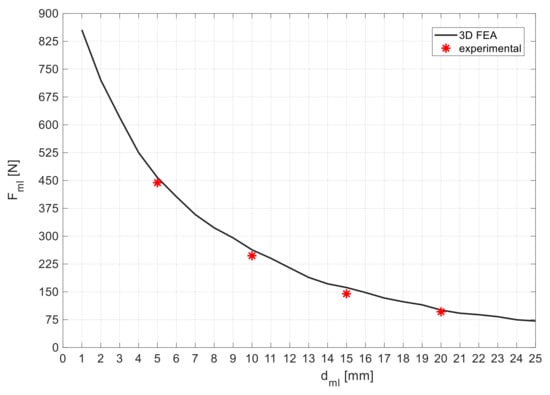
3. Results
3.1. Equivalent Magnetic Permeability for HTS Bulks with No Radial Deviation of the PM Rotor

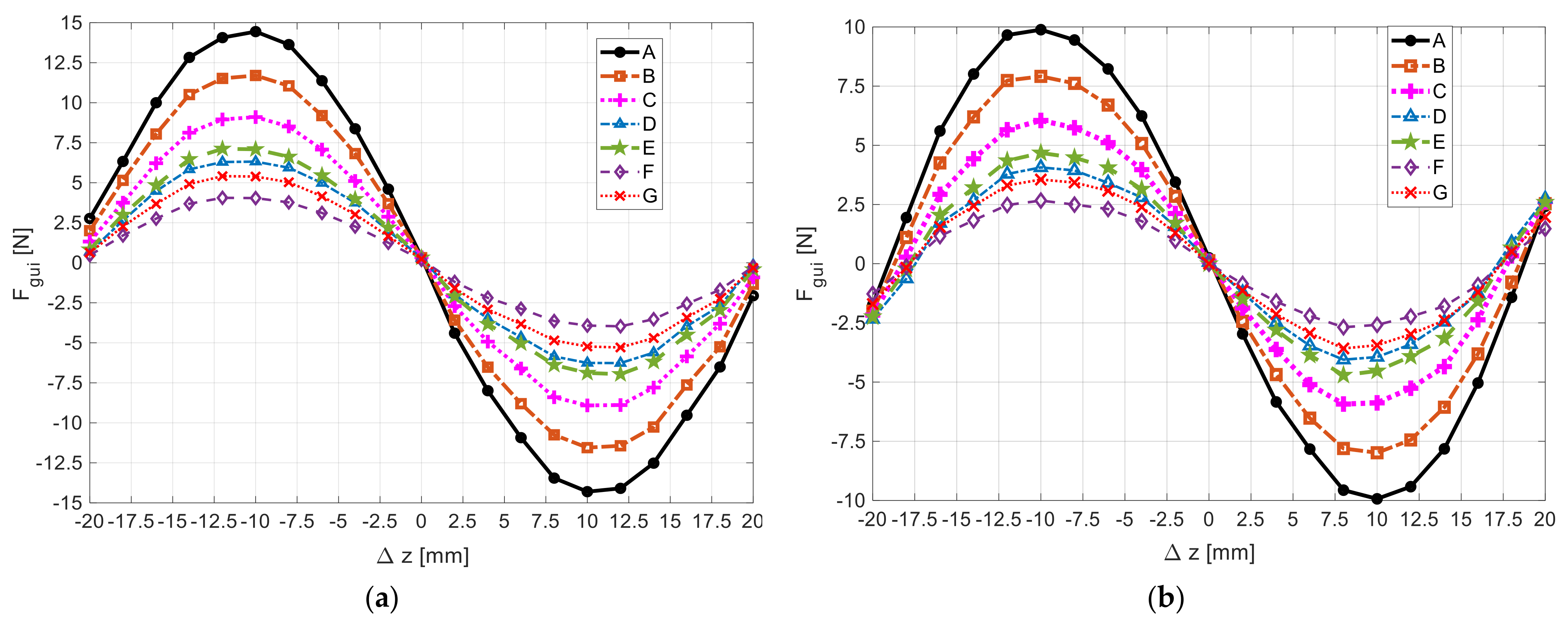
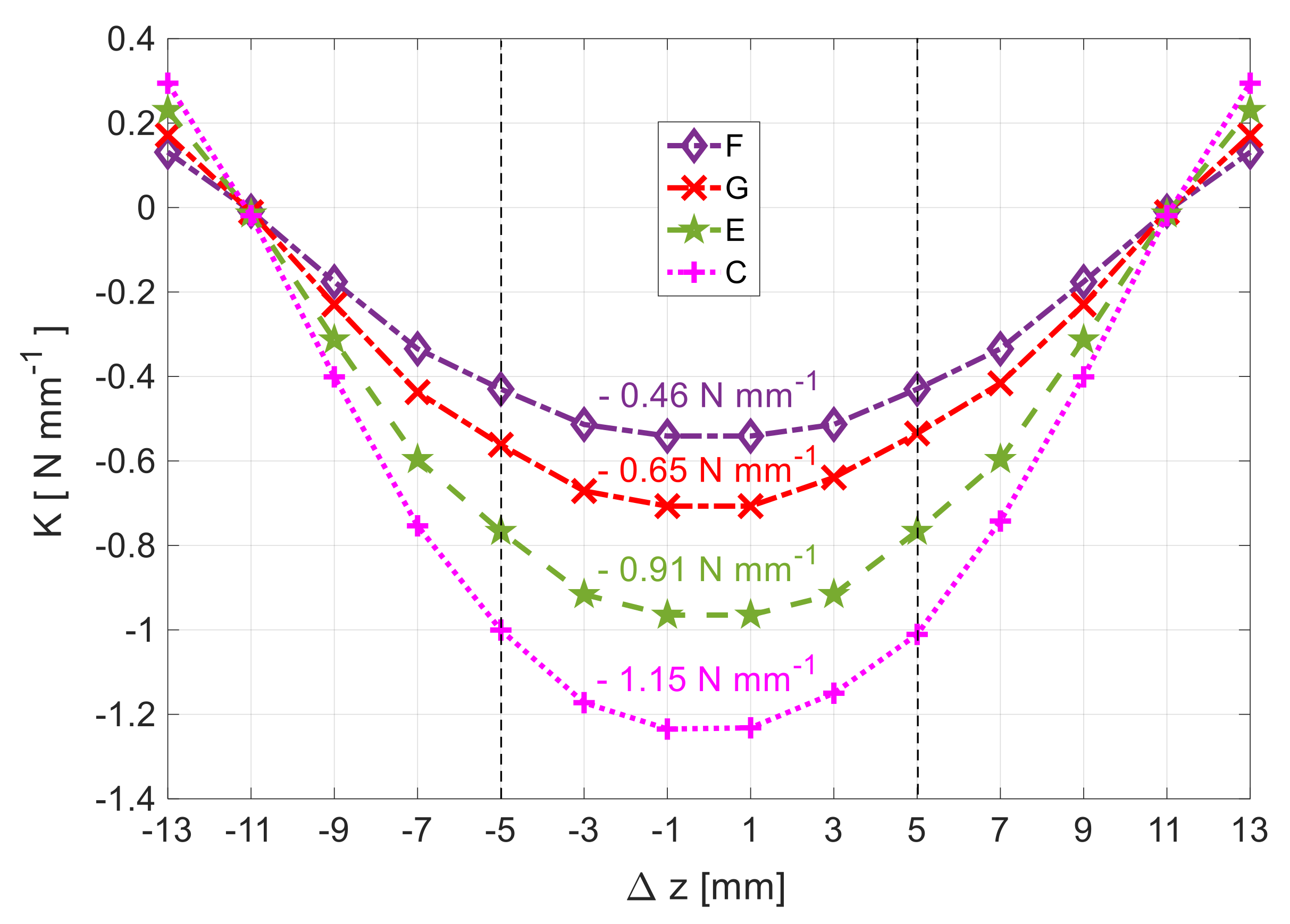
3.2. Axial Stiffness Augmentation by Adding HTS Bulks to the Stator
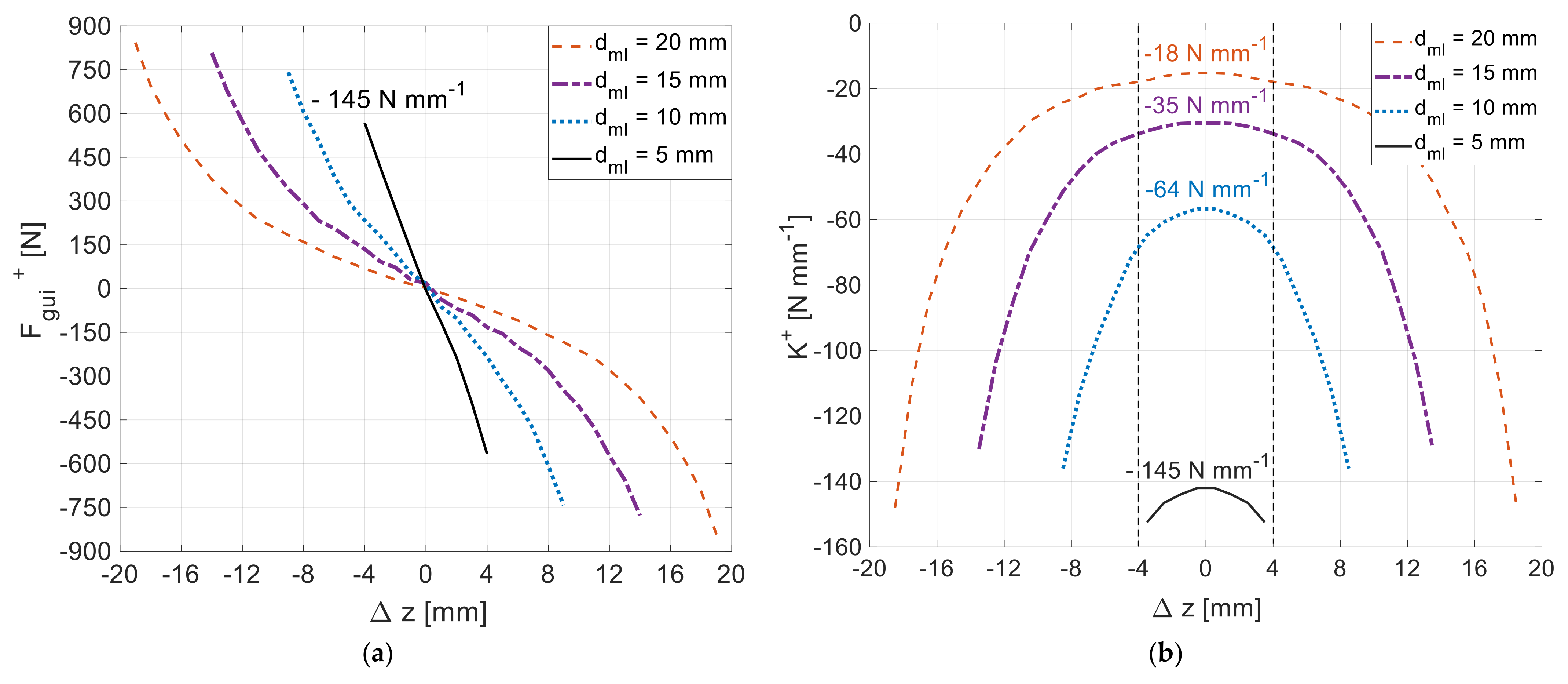
3.3. Axial Stiffness Augmentation by Adding Limiting PM Rings
4. Discussion
5. Conclusions
Author Contributions
Funding
Data Availability Statement
Conflicts of Interest
References
- Sivrioglu, S.; Basaran, S.; Yildiz, A.S. Multisurface HTS-PM Levitation for a Flywheel System. IEEE Trans. Appl. Supercond. 2016, 26, 3603206. [Google Scholar] [CrossRef]
- Ma, K.B.; Chen, Q.Y.; Postrekhin, E.; Ye, H.; Zhang, Y.; Chu, W.K. High temperature superconductor levitation bearings for space application. Phys. C Supercond. 2000, 341–348, 2517–2520. [Google Scholar] [CrossRef]
- Anischenko, I.V.; Pokrovskii, S.V.; Rudnev, I.A. Simulation of thrust magnetic bearings for levitation systems. Phys. Conf. Ser. 2019, 1590, 012061. [Google Scholar] [CrossRef]
- Hossain, M.; Abdkader, A.; Cherif, C.; Sparing, M.; Berger, D.; Fuchs, G.; Schultz, L. Innovative twisting mechanism based on superconducting technology in a ring-spinning system. Text. Res. J. 2014, 84, 871–880. [Google Scholar] [CrossRef]
- Deng, Z.; Zheng, J.; Lin, Q.; Li, J.; Zhang, Y.; Wang, S.; Wang, J. Improved Maglev Performance of Bulk High-Temperature Superconductors with a Re-magnetization Process After Zero-Field Cooling. J. Low. Temp. Phys. 2011, 162, 72–79. [Google Scholar] [CrossRef]
- Li, S.L.; Wen, H.H.; Zhao, Z.X. Modeling and simulation on the magnetization in field-cooling and zero-field-cooling processes. Phys. C Supercond. 1999, 316, 293–299. [Google Scholar] [CrossRef]
- Yang, W.M.; Zhou, L.; Feng, Y.; Zhang, P.X.; Nicolsky, R.; de Andrade, R. The characterization of levitation force and attractive force of single-domain YBCO bulk under different field cooling process. Phys. C Supercond. 2003, 398, 141–146. [Google Scholar] [CrossRef]
- Fujishiro, H.; Naito, T. Simulation of temperature and magnetic field distribution in superconducting bulk during pulsed field magnetization. Supercond. Sci. Technol. 2010, 23, 105021. [Google Scholar] [CrossRef]
- Arnaud, J.; Branco, P.J.C. Electrothermal characteristics of YBCO bulk magnets deep in LN2: A preliminary analysis for its use as excitation system of low-speed synchronous generators. IEEE Trans. Appl. Supercond. 2016, 26, 6800608. [Google Scholar] [CrossRef]
- Ceniga, L.; Diko, P. Matrix crack formation in Y–Ba–Cu–O superconductor. Phys. C Supercond. 2003, 385, 329–336. [Google Scholar] [CrossRef]
- Diko, P.; Krabbes, G. Formation of c-macrocracks during oxygenation of TSMG YBa2Cu3O7/Y2BaCuO5 single-grain superconductors. Phys. C Supercond. 2003, 399, 151–157. [Google Scholar] [CrossRef]
- Rastogi, A.; Coombs, T.A.; Campbell, A.M.; Hall, R. Axial Stiffness of Journal Bearings in Zero-Field and Field-Cooled Modes. IEEE Trans. Appl. Supercond. 2005, 15, 2242–2244. [Google Scholar]
- AlizadehTir, M.; Marignetti, F.; Mirimani, S.M. Axial Flux Machine Using Passive Magnetic Bearing with Axial Magnetization. In Proceedings of the 2018 International Symposium on Power Electronics, Electrical Drives, Automation and Motion, Amalfi, Italy, 20–22 June 2018; pp. 1–6. [Google Scholar]
- Lee, J.-Y.; Nam, G.-D.; Yu, I.-K.; Park, M. Design and Characteristic Analysis of an Axial Flux High-Temperature Superconducting Motor for Aircraft Propulsion. Materials 2023, 16, 3587. [Google Scholar] [CrossRef]
- Zhu, Y.; Li, Q.; Xu, D.; Zhang, M. Modeling of Axial Magnetic Force and Stiffness of Ring-Shaped Permanent-Magnet Passive Vibration Isolator and Its Vibration Isolating Experiment. IEEE Trans. Magn. 2012, 48, 2228–2238. [Google Scholar] [CrossRef]
- Sun, J.; Chen, D.; Ren, Y. Stiffness Measurement Method of Repulsive Passive Magnetic Bearing in SGMSCMG. IEEE Trans. Instrum. Meas. 2013, 62, 2960–2965. [Google Scholar] [CrossRef]
- Li, W.; Yang, T.; Xin, Y. Principle, Modeling and Experiment of a New Axial-Type Superconducting Magnetic Bearing with Superconducting Coil. IEEE Trans. Appl. Supercond. 2024, 34, 3601705. [Google Scholar] [CrossRef]
- McDonald, A.; Jaen-Sola, P. A Stiffness Approach for Coupling Structural and Magnetic Models for the Sustainable Design, Optimisation and Real-Time Structural Integrity Assessment of Radial Flux Permanent Magnet Generators for Direct-Drive Wind Turbines. Sustainability 2024, 16, 2393. [Google Scholar] [CrossRef]
- Sun, Y.; Meng, K.; Yuan, S.; Zhao, J.; Xie, R.; Yang, Y.; Luo, J. Modeling Electromagnetic Force and Axial-Stiffness for an Electromagnetic Negative-Stiffness Spring Toward Vibration Isolation. IEEE Trans. Magn. 2019, 55, 8000410. [Google Scholar]
- Arsénio, A.J.; Roque, M.; Cardeira, C.; Branco, P.J.C.; Melicio, R. Prototype of a Zero-Field-Cooled YBCO Bearing with Continuous Ring Permanent Magnets. IEEE Trans. Appl. Supercond. 2018, 28, 5207407. [Google Scholar] [CrossRef]
- Arsénio Costa, A.J.; Fernandes, J.F.P.; Melicio, R.; Cardeira, C.; Costa Branco, P.J. Numerical and Experimental Analysis of the ZFC Heat Release from a YBCO Bulk and Validation of YBCO Thermal Parameters. Crystals 2023, 13, 532. [Google Scholar] [CrossRef]
- Costa Arsénio, A.J.; Costa Branco, P.J. Thermo-Hydraulic Analysis of a Horizontal HTS ZFC Levitating Bearing Concerning Its Autonomy Safety Service Time. IEEE Trans. Appl. Supercond. 2021, 31, 3602010. [Google Scholar]
- Arsénio, A.J.; Silva, F.F.; Fernandes, J.F.P.; Branco, P.J.C. Optimization of the Guiding Stability of a Horizontal Axis HTS ZFC Radial Levitation Bearing. Actuators 2021, 10, 311. [Google Scholar] [CrossRef]
- Peixoto, I.S.P.; da Silva, F.F.; Fernandes, J.F.P.; da Costa Branco, P.J. 3D Equivalent Space-Varying Permeability Model of HTS Bulks for Computation of Electromagnetic Forces. IEEE Trans. Appl. Supercond. 2021, 31, 3600907. [Google Scholar] [CrossRef]
- Hong, Z.; Campbell, H.M.; Coombs, T.A. Computer Modeling of Magnetisation in High Temperature Superconductors. IEEE Trans. Appl. Supercond. 2007, 17, 3761–3764. [Google Scholar] [CrossRef]
- Zhang, M.; Coombs, T.A. 3D modeling of high-Tc superconductors by finite element software. IOP Supercond. Sci. Technol. 2012, 25, 015009. [Google Scholar] [CrossRef]
- Marignetti, F.; Tir, M.A.; Mirimani, S.M. An axial passive magnetic bearing using three PM rings. IET Electr. Power Appl. 2021, 15, 415–428. [Google Scholar] [CrossRef]
















| Topology | # HTS Bulks | |
|---|---|---|
| F | ||
| G | 8 | |
| E | 10 | |
| C | 12 |
Disclaimer/Publisher’s Note: The statements, opinions and data contained in all publications are solely those of the individual author(s) and contributor(s) and not of MDPI and/or the editor(s). MDPI and/or the editor(s) disclaim responsibility for any injury to people or property resulting from any ideas, methods, instructions or products referred to in the content. |
© 2024 by the authors. Licensee MDPI, Basel, Switzerland. This article is an open access article distributed under the terms and conditions of the Creative Commons Attribution (CC BY) license (https://creativecommons.org/licenses/by/4.0/).
Share and Cite
Arsénio Costa, A.J.; Fernandes, J.F.P.; Costa Branco, P.J. Axial Stiffness Augmentation by Adding Superconductor Bulks or Limiting Permanent Magnet Rings to a Horizontal Axis Zero-Field Cooled High-Tc Radial Passive Superconducting Bearing. Actuators 2024, 13, 196. https://doi.org/10.3390/act13060196
Arsénio Costa AJ, Fernandes JFP, Costa Branco PJ. Axial Stiffness Augmentation by Adding Superconductor Bulks or Limiting Permanent Magnet Rings to a Horizontal Axis Zero-Field Cooled High-Tc Radial Passive Superconducting Bearing. Actuators. 2024; 13(6):196. https://doi.org/10.3390/act13060196
Chicago/Turabian StyleArsénio Costa, António J., João F. P. Fernandes, and Paulo J. Costa Branco. 2024. "Axial Stiffness Augmentation by Adding Superconductor Bulks or Limiting Permanent Magnet Rings to a Horizontal Axis Zero-Field Cooled High-Tc Radial Passive Superconducting Bearing" Actuators 13, no. 6: 196. https://doi.org/10.3390/act13060196
APA StyleArsénio Costa, A. J., Fernandes, J. F. P., & Costa Branco, P. J. (2024). Axial Stiffness Augmentation by Adding Superconductor Bulks or Limiting Permanent Magnet Rings to a Horizontal Axis Zero-Field Cooled High-Tc Radial Passive Superconducting Bearing. Actuators, 13(6), 196. https://doi.org/10.3390/act13060196
