Abstract
The emulsion pump’s flow loss directly affects its performance and efficiency. However, the annular plunger chamber leakage and valve core hysteresis are challenging to avoid during operation. This study systematically investigated the impact of the annular gap in the plunger cavity on emulsion pump performance. Using theoretical analysis and computational fluid dynamics methods, it explored the mechanism of the port valve hysteresis during discharge. The simulation results show that the leakage of the annular gap is proportional to the gap thickness and the inlet pressure and inversely proportional to the dynamic viscosity of the emulsion. With the increase of plunger eccentricity, the leakage increases slowly. The increase in the outlet diameter of the port valve will lead to more significant hysteresis of the valve core. The change of outlet pressure has little effect on the hysteresis and flow of the spool, and the response speed of the wing-guided bevel discharge valve is faster than that of the ordinary poppet valve. Considering the above factors, the flow distribution process of the emulsion pump can be accurately analyzed, providing a reference for pump optimization.
1. Introduction
The emulsion pump station is the power source of hydraulic support. Given its essential position in coal production, the research and development of emulsion pump stations are actively promoted at home and abroad. The goal is to continuously improve their performance, efficiency, and safety to better meet the needs of the coal industry [1,2,3]. As the flow rate and pressure increase during an emulsion pump’s suction and discharge process, the plunger’s radial gap and the valve core hysteresis caused by the pump’s long-term operation can result in leakage. This leakage can reduce the pump’s efficiency and affect the stability of the liquid supply, making it difficult to adapt to the emulsion pump’s high-pressure and significant flow rate working conditions [4]. Therefore, it is necessary to simulate the flow distribution process of the emulsion pump dynamically.
Several scholars have analyzed the flow distribution process dynamics of reciprocating pumps. Li et al. [5] investigated the dynamic characteristics of a reciprocating pump’s discharge valve using numerical analysis and experiments. They explored the effect of valve opening lift on the discharge coefficient and flow rate. Gu et al. [6] constructed an experimental platform with a reciprocating pump, valve, and pipe to study the dynamic characteristics of the emulsion pump using numerical simulations and experiments while examining the impact of discharge pipe pressure pulsation and flow control valve resistance. Huang et al. [7] proposed a two-dimensional piston pump model and constructed a new mathematical model for the volumetric efficiency of reciprocating pumps. They found that the gap greatly influences the volumetric efficiency of the two-dimensional pump. Qiu et al. [8] established the valve system of a high-pressure liquid hydrogen reciprocating pump, optimized the simulation model through a liquid hydrogen pressure test, and discussed the relationship between spring preload and valve hysteresis. Zhao et al. [9] conducted experiments to study the effect of liquid Euler number and other factors on the leakage flow rate of piston pumps at different diameter ratios of the physical model. Ahmed et al. [10] evaluated the impact of load and flow pulsation on acoustics and vibration in a reservoir-pipeline-gate system.
Fischer et al. [11] simulated the fluid leakage phenomenon of a metal ball seat valve based on Persson contact mechanics theory and verified the simulation results by experiments. FG et al. [12] simulated the valve leakage phenomenon during valve failure through a zero-dimensional numerical method based on crank angle and verified it through experiments. Li et al. [13] analyzed the motion characteristics of the emulsion pump valve through the Internet of Things and cellular automation technology and evaluated the motion displacement of the pump valve, which verified the feasibility of the method. Ma et al. [14,15] used the computational fluid dynamics (CFD) method to study the dynamic performance of the valve during opening and closing, studied the influence of the lag angle on the pressure pulsation and other factors, and studied the turbulent gas flow and droplet motion behavior in the valve of the reciprocating multiphase pump with a particle image velocimeter. Li et al. [16] created a CFD model of a reciprocating pump valve. The model is three-dimensional and transient. They discussed the flow state and pressure characteristics of the discharge valve and verified these through experiments.
The literature mentioned above has discussed the characteristics and parameters of a single valve and the emulsion pump’s piston and valve system. However, there is no in-depth analysis of the flow loss caused by the plunger annular gap and flow port valve hysteresis during the whole dynamic process of emulsion pump operation. The annular gap caused by the plunger’s long-term operation needs to be considered, which leads to the plunger’s eccentricity and inclination. It is essential to consider the effect of piston attitude and valves on the flow loss of an emulsion pump through transient simulation. Currently, the impact of the valve outlet size, pressure, and specific shape of the valve core on the hysteresis of the valve core is disregarded. Therefore, it is crucial to analyze this influence for a more comprehensive understanding of the flow loss in the emulsion pump.
To further explore the influence of the plunger annular gap and flow port valve hysteresis on the flow loss of the emulsion pump, in this paper, a theoretical model is constructed, and the flow loss mechanism caused by the annular gap of the plunger chamber and the hysteresis of the port valve is analyzed in detail. The simulation model of the annular gap of the plunger chamber and the port valve has been established using the COMSOL 6.1. The membrane flow and dynamic mesh module are used to analyze the velocity and pressure distribution characteristics of the plunger and the distribution port valve of the emulsion pump in depth. In this process, special attention is given to the performance changes under actual working conditions, such as plunger eccentricity and inclination. This paper discusses the influence of different parameters on the dynamic flow loss of the emulsion pump. The optimal parameter range suitable for this type of emulsion pump is also determined. This study comprehensively analyzes the working state of the pump, identifying and resolving potential issues promptly to ensure stable and efficient operation.
2. Emulsion Pump Flow Loss Modeling
2.1. Mathematical Modeling of Emulsion Pump Flow
An emulsion pump is a reciprocating pump with high pressure and a significant flow rate. The motor transfers power to the crankshaft via the reducer gear. This rotation drives the plunger group to execute linear reciprocating motion, which causes the suction and discharge valves to alternate, completing the suction and discharge process. This process enables the conversion of mechanical energy into hydraulic energy [17,18]. The emulsion pump generally uses three or five plungers to reduce the flow fluctuation at the outlet end. The structural model of its emulsion pump is shown in Figure 1, and the schematic diagram of the plunger movement is shown in Figure 2.
Figure 1.
Emulsion pump structure model.
Figure 2.
Diagram of plunger motion.
The displacement of the plunger can be expressed as:
where is the piston displacement, is the radius of the crank, is the link length, is the transmission ratio, = /, and is the crankshaft angle.
The theoretical instantaneous flow of the piston pump is determined by the change in volume of its working chamber [19]. Taking a single plunger as the research object, its theoretical flow can be expressed as:
where is the plunger cross-sectional area, is the piston pump outlet flow velocity, is the piston diameter, and is the crankshaft angular velocity.
2.2. Flow Loss Model Caused by Valve Hysteresis
The negative pressure in the plunger chamber may cause the suction valve to temporarily insufficiently suction while in the suction state. At the same time, the discharge valve has not been closed in time, which will cause backflow at the discharge valve. The pressure in the plunger chamber increases rapidly while in the discharge state. The discharge valve takes some time to reach its maximum limit. Hence, the oil will flow back to the tank if the suction valve is not closed in time [20,21,22]. Taking the valve port gap during discharge as the research object, it can be seen as a liquid flowing through a contraction section and then expanding. Therefore, during the discharge process, according to Figure 3, the leakage flow of the recoil jet caused by the flow rate of the suction valve that is not closed in time and the flow rate flowing through the valve port of the discharge valve can be expressed as:
where is the discharge coefficient, is the cross-sectional area of the hole of the suction valve, is the cross-sectional area of the hole of the discharge valve, is the suction valve spool diameter, is the discharge valve spool diameter, is the discharge valve port diameter, is the pressure difference before and after the valve core, is the poppet valve incident angle, and is the Emulsion density.
Figure 3.
Port valve structure diagram.
2.3. Flow Loss Caused by Gap Flow
When assembling an emulsion pump, using a water film between the plunger and sleeve is essential to decrease friction and increase the lifespan of the pump [23]. Gaps are unavoidable during the assembly process. However, it is essential to note that gap leakage may occur during the operation, as shown in Figure 4. Leakage in a plunger pump is caused by differential pressure flow and shear flow. The leakage can be expressed as:
where is the emulsion viscosity, is the gap thickness, is the gap length, and is the plunger speed.
Figure 4.
Sketch of plunger motion.
3. Analysis of Dynamic Flow Loss in the Annular Gap of the Plunger Cavity
3.1. Numerical Simulation Model of Annular Gap
The film flow module in COMSOL is used to simulate the transient leakage of the annular gap in the plunger cavity, as shown in Figure 5. The fluid medium is an emulsion, the density is 998 kg/m3, and the dynamic viscosity is 5.23 mPa·s. The boundary conditions are set to the velocity inlet and pressure outlet, the pressure difference is set to 20 MPa, the gap thickness is set to 50 μm, the simulation time is set to one second, and the plunger velocity function is set to the base velocity of the plunger wall. The grid adopts a structured grid. The maximum grid element is set to 1 mm, and the minimum grid element is set to 0.01 mm. The number of grid elements is 100,320. The structured grid can more accurately represent the geometry and solution domain, and improve the solution with higher accuracy.
Figure 5.
Plunger gap leakage model.
3.2. Effect of Inlet Pressure on Flow Loss
Since the pressure difference of this type of emulsion pump can reach 40 MPa, the inlet pressure is set to 10, 20, 30, and 40 MPa as a control variable for transient simulation. This gap leakage can be similar to the differential pressure flow between parallel plates. There is a proportional relationship between inlet pressure and leakage, meaning that leakage increases with an increase in inlet pressure, as shown in Figure 6. This is because, in the empirical Equation (5), the impact of the second term is relatively small, so the increase of pressure difference directly leads to a significant increase in leakage. At the same time, the growth of instantaneous flow also shows an equal proportion trend, and the fluctuation range of instantaneous flow remains relatively stable under different inlet pressures.
Figure 6.
(a) Instantaneous outlet flow and (b) total leakage under different inlet pressures.
3.3. The Influence of Emulsion Dynamic Viscosity on Flow Loss
According to the dynamic viscosity of oil-in-water emulsion with different water content, the dynamic viscosity of the emulsion is set to 1.25, 5.23, 10.15, and 43.71 mPa·s as control variables for transient simulation [24,25]. It can be seen from Figure 7 that this viscosity parameter has a significant effect on the leakage of the gap. The smaller the dynamic viscosity, the greater the leakage. In particular, the change of leakage is particularly obvious within the viscosity range of 1.25 to 5.23 mPa·s. This is because when the hydraulic oil becomes more viscous, it adheres more strongly to the walls, causing a slower flow of liquid. It can be observed that when the dynamic viscosity of the oil reaches 43.371 mPa·s, a slight undulation appears at the trough of the instantaneous outlet flow trace. This undulation is attributed to the continuity of the plunger’s reciprocating motion and the elastic behavior of the oil. At the point of minimum leakage, as the internal pressure of the oil adjusts, the flow of the oil may recover to some degree, leading to a small fluctuation or rebound in the instantaneous leakage flow rate.
Figure 7.
(a) Instantaneous outlet flow and (b) total leakage under different dynamic viscosities.
3.4. The Influence of Gap Thickness on Flow Loss
Thickness is set to 10, 30, 50, and 70 μm as the control variable for transient simulation. Figure 8 shows that the simulation results agree well with the theoretical formula, confirming the model’s accuracy. When the gap thickness is 10 μm, the leakage is almost negligible. However, the leakage exhibits a significant exponential growth trend and fluctuation in instantaneous outlet flow as the gap thickness increases. It can be observed from Equation (5) that the leakage increases by a factor of 343 when the gap width is increased from 10 μm to 70 μm. However, a gap thickness that is too low will hinder the smooth reciprocating motion of the plunger, thereby increasing the risk of blockage. In the actual production process, the dimensional tolerance of the plunger and shaft sleeve will affect the clearance between plunger and shaft sleeve, and too small will increase the friction resistance of plunger in shaft sleeve. Too large will lead to emulsion leakage more easily under high pressure. Considering the manufacturing tolerance of the plunger, the manufacturing tolerance of the shaft sleeve and the provisions of the fit clearance of this type of emulsion pump, the following formula shall be met:
where is the maximum dimensions of the inner diameter of the shaft sleeve, is the minimum dimensions of the inner diameter of the shaft sleeve, is the maximum of the outer diameter of the plunger, is the minimum dimensions of the outer diameter of the plunger, is the maximum pump clearances, and is the minimum pump clearances.
Figure 8.
(a) Instantaneous outlet flow and (b) total leakage under different gap thicknesses.
According to the above information and the simulation results, the gap thickness should be controlled within 12–38 μm.
3.5. The Influence of Plunger Eccentricity on Flow Loss
It can be seen from Figure 9 that the plunger is eccentric in actual operation. Figure 10 demonstrates that during the operation of a piston pump, the gap between the plunger and the plunger sleeve will increase, and irregular gaps will increase the flow loss of the pump fluid from the gap [26,27]. In the case of plunger eccentricity, the gap at any angle is , and the flow between the annular gaps corresponding to the infinitesimal arc can be approximately regarded as the flow between the parallel plate gaps, which can be expressed as:
where is the gap value in the radius direction when the inner and outer circles are concentric.
Figure 9.
Sketch of plunger motion when the plunger is eccentric.
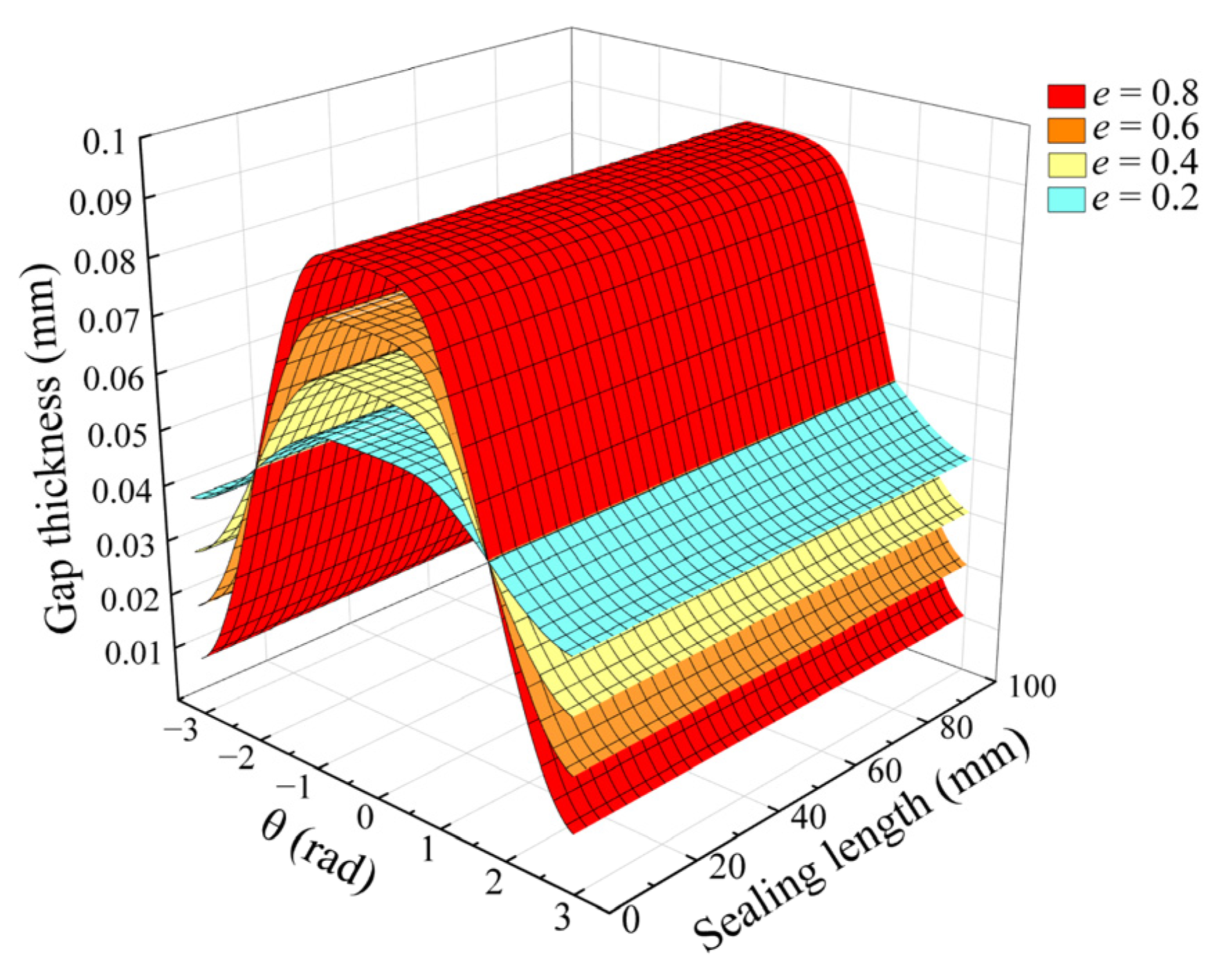
Figure 10.
Three-dimensional expansion diagram of gap thickness when the plunger is eccentric.
After integral on both sides at the same time, the correction formula of leakage flow when the plunger is eccentric can be expressed as:
where is the relative eccentricity and is the eccentricity at any angle.
The eccentricity e is set to 0.2, 0.4, 0.6, and 0.8, respectively, and the parametric processing is carried out. Since the 0.33 s flow field is relatively stable and is the highest point of instantaneous flow rate, the flow velocity pressure comparison diagram is made at this moment. Figure 10 shows that higher eccentricity results in greater gap thickness change amplitude. When e = 0.8, the maximum difference in gap thickness is 80 μm.
Figure 11 shows that increasing eccentricity does not affect pressure, which decreases uniformly from 20 MPa to 0 MPa. Further analysis of the flow field characteristics shows that with the increase of the eccentricity of the plunger, the stability of the flow field is significantly reduced. The average flow velocity is relatively small on the side, with a smaller gap thickness. The average flow velocity increases considerably on the side with a larger gap thickness. Especially when the eccentricity reaches 0.8, the velocity difference between the two sides is as high as 25.45 m/s. This is mainly due to the intensification of the eccentricity of the plunger, which makes the flow on one side more fully developed.
Figure 11.
Comparison diagram of flow velocity and pressure when the plunger is eccentric.
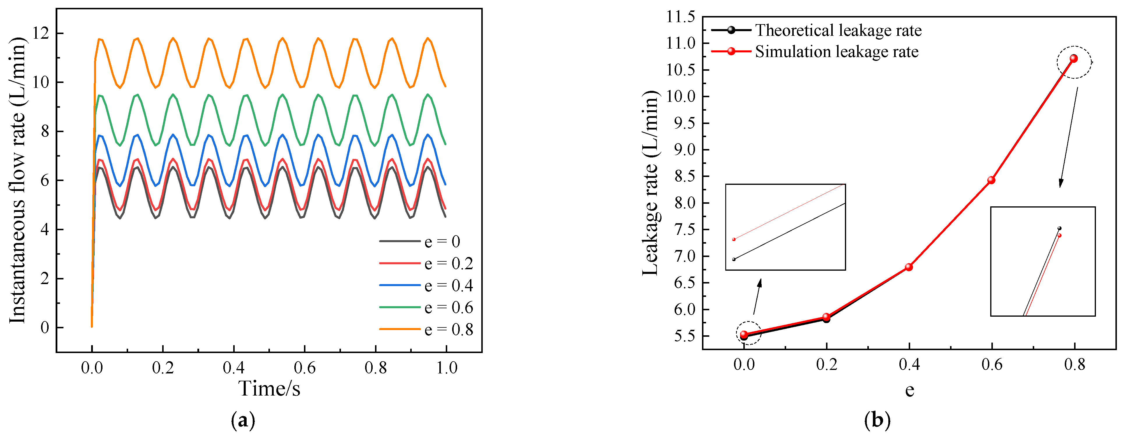
As shown in Figure 12, the growth of leakage increases significantly with the increase in eccentricity. Although the change range has less influence on the outlet flow rate than the gap thickness, the difference in leakage amount reaches 5.25 L/min between no eccentricity and eccentricity up to 0.8. The amplitude of the instantaneous outlet flow rate remains constant for different eccentricity conditions. This is because the thicker side of the wall dominates the outlet flow rate. The flow field in the annular gap will exhibit both laminar and turbulent states. This state makes the contact between the plunger and the plunger sleeve more likely to occur, which in turn affects the system’s dynamic performance and may even lead to the stuck plunger phenomenon. From the above analysis, it can be seen that when the plunger eccentricity increases, not only will the leakage increase, but also the movement of the plunger will cause adverse effects. Therefore, the plunger eccentricity should be controlled within 0.2 as far as possible.
Figure 12.
(a) Instantaneous outlet flow and (b) total leakage at different eccentricities.
3.6. The Influence of Plunger Inclination on Flow Loss
It can be seen from Figure 13 that the plunger may tilt to a certain extent during the operation of the piston pump. Muller [28,29] found that the leakage of inclined clearance is smaller than that of eccentric clearance through experiments. The experimental data reveal that the leakage flow rate will change with the change in the inclination angle. In particular, the flow rate is only about half of that in the coaxial state when the gap reaches the maximum inclination.
Figure 13.
Sketch of plunger motion when the plunger is in inclination.
The gap thickness when the plunger is inclined can be expressed as:
where is the function value of any point in the Z direction, the eccentricity of each point in the z direction can be calculated through COMSOL, and is inclination.
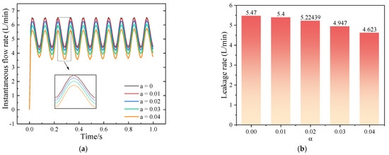
The offset angle α is set to 0.01, 0.02, 0.03, and 0.04 for parameterization. It can be seen from Figure 14 that due to the inclination of the plunger, the gap thickness also changes in the sealing length, which makes the flow field more complex and changeable. When α = 0.04, the maximum difference in gap thickness is 69.8 μm.
Figure 14.
Three-dimensional expansion diagram of gap thickness when the plunger is inclined.
From Figure 15, it can be seen that the flow velocity difference when inclined is smaller than the flow velocity difference when eccentric. When the plunger is from Figure 15, it can be seen that the flow velocity difference when inclined is smaller than the flow velocity difference when eccentric, and a high-speed flow field will be formed from the gap thickness at the entrance to the gap thickness at the exit. The velocity is the highest at the center, and a low-speed flow field is formed at the thin wall on both sides. With the increase of the inclination angle, the flow velocity difference will increase, and the boundary between the high-speed and low-speed areas will be more obvious. From the pressure cloud diagram, it can be seen that the pressure cloud diagram has also changed in the radial direction due to the inclination of the plunger. The pressure change at the thin wall is more significant, and the pressure change at the gap thickness is more minor.
Figure 15.
Comparison diagram of velocity and pressure when the plunger is inclined.
From Figure 16, the influence of the inclination angle on the sealing performance of the plunger can be observed. The outlet flow shows a decreasing trend with the gradual inclination angle increase. Compared with the non-tilting state, the flow field of the plunger is more complicated when tilting, which further affects the flow characteristics of the fluid so that the leakage amount decreases with the increase of the tilting angle. When α = 0.04, the leakage is only reduced by 0.843 L/min compared with that without inclination, which is the most minor factor affecting the leakage in each variable. When the plunger is inclined, the flow path of the fluid changes, increasing the inhomogeneity of the velocity distribution. This inhomogeneity reduces the flow rate of some fluids at the outlet, thereby reducing the outlet flow rate. Although this helps to reduce the leakage, the excessive inclination angle will aggravate the wear of the plunger end face. Once the end face is worn, it will directly lead to a significant increase in leakage and severely threaten the system’s overall performance. Therefore, to ensure system stability and prolong service life, it is recommended to control the inclination angle within 0.02. This helps to balance the risk of leakage reduction and end face wear, ensuring efficient and stable system operation.
Figure 16.
(a) Instantaneous outlet flow and (b) total leakage at different inclination angles.
4. Analysis of Dynamic Flow Loss and Influencing Factors of Port Valve
4.1. Numerical Simulation Model of Port Valve
In the study of the emulsion pump’s discharge stroke, the port valve plays a critical role in determining the efficiency and stability of the pump. Therefore, as shown in Figure 17, the transient simulation analysis of the suction and discharge valves is carried out, respectively. In order to carry out numerical calculation more effectively and improve the overall analysis efficiency, the physical modeling process of the valve and plunger system is reasonably simplified and assumed. In the simulation, we simplified the valve core structure of the valve. It mainly focuses on its key functional characteristics, while secondary or detailed elements such as springs and fillets are omitted. This can significantly reduce the computational complexity.
Figure 17.
Port valve model.
The unstructured grid method is used to discretize the computational domain. The unstructured grid has the characteristics of high flexibility and strong adaptability, which can adapt well to the complex geometry of the valve. Especially for the discharge valve, because the initial state of the valve core is close to the valve seat, the flow state is particularly complex. Therefore, the minimum unit size of the discharge valve is set to 0.2 mm to ensure that the internal flow details can be accurately captured during the simulation process.
The fluid–solid coupling physical field in COMSOL is used to visually analyze the internal flow field of the suction and discharge valves, and the dynamic grid theory is used to simulate the movement of the valve core. The Reynolds number in the flow channel of the emulsion pump is higher than 8000. Compared with other turbulence models, the k-ε model can predict the dispersion rate of plane jet and circular jet more accurately. When confronted with adverse pressure gradients, the k-ε model accurately captures the flow state within the computational domain, including phenomena such as boundary layers, flow separation, and circulation flows. Therefore, the turbulent k-ε model is selected for this study [30,31]. The influence of the variables at the spool of the suction and discharge valves on the flow loss caused by the hysteresis of the suction and discharge valves is studied. In the discharge stage, the outlet position of the plunger pump is used to inlet the suction and discharge valves. Because the pressure of the plunger pump will increase sharply during the discharge, it acts on the suction valve and the discharge valve at the same time, so the velocity at the outlet of the plunger pump is used to simulate the inlet velocity of the suction and discharge valves during the discharge. Because the height difference of the tank liquid level is not significant, the outlet pressure of the suction valve is set to 0 MPa, and the outlet pressure of the discharge valve is set to the rated pressure of 40 MPa.
The unstructured grid method is used to discretize the computational domain. The unstructured grid has the characteristics of high flexibility and strong adaptability, which can adapt well to the complex geometry of the valve. Especially for the discharge valve, because the initial state of the valve core is close to the valve seat, the flow state is particularly complex. Therefore, the minimum unit size of the discharge valve and suction valve are set to 0.2 mm to ensure that the internal flow details can be accurately captured during the simulation process. The moving part of the valve core adopts a moving mesh module and is locally encrypted. In order to analyze the influence of grid quality on the dynamic opening and closing of the valve, the grid density of simulation area is improved to ensure the accuracy of simulation. The average mesh quality of the suction valve and discharge valve is above 0.67.
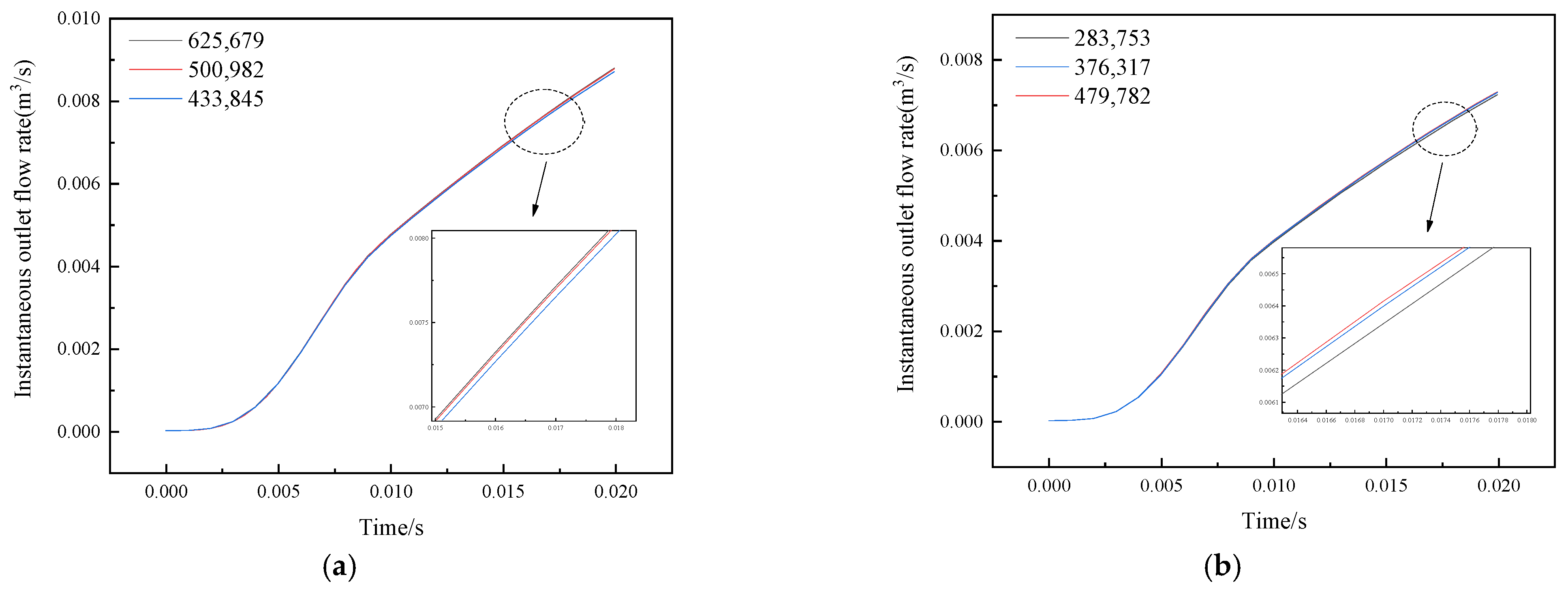
In the simulation of the discharge valve, the grid independence is verified by generating three groups of grids with the numbers of 625,679, 500,982, and 433,845. As shown in Figure 18a below, when the grid is increased to 500,982, the change of instantaneous outlet flow of the discharge valve is basically the same as that of grid 625,679, and the relative error between them is less than 0.1%. However, the relative error of 433,845 and 500,982 is more than 7%. In order to improve the calculation accuracy and save computing resources, the 500,982 grid is used for simulation research.
Figure 18.
(a) Verification of mesh independence of the discharge valve and (b) verification of mesh independence of the suction valve.
In the simulation of the suction valve, the grid independence is verified by generating three groups of grids with the numbers of 479,782, 376,317, and 283,753. As shown in Figure 18b below, when the grid is increased to 376,317, the change of instantaneous outlet flow of the discharge valve is basically the same as that of grid 479,782, and the relative error between them is less than 0.4%. However, the relative error of 433,845 and 500,982 is more than 8%. In order to improve the calculation accuracy and save computing resources, the 376,317 grid is used for simulation research.
4.2. Dynamic Flow Loss Analysis of Port Valve
4.2.1. Dynamic Flow Loss Analysis of Suction Valve
We select the xy section and xz section of the valve port for in-depth analysis to explore the dynamic change of the flow field of the suction valve in more detail. Since the flow field is most stable at 0.015 s, the velocity pressure diagram at 0.015 s is selected as the 3D legend. In the discharge stage, a significant pressure difference is generated inside the system when the plunger begins to move. This pressure difference causes the liquid in the plunger cavity to push the suction valve. However, the valve cannot reach the valve seat immediately and needs to undergo a transition time due to the inherent hysteresis of the spool itself.
By observing Figure 19, it can be seen that with the gradual increase of the pressure in the plunger cavity, the lower part of the valve core begins to form a negative pressure zone after about 0.01 s. The formation of this negative pressure zone directly leads to the downward movement of the spool. Due to rapid pressure changes at the valve port, the emulsion forms a high-speed recoil jet [32]. This recoil jet is not only very fast, but its speed will also increase further as the valve core and seat gradually approach.
Figure 19.
(a) Flow velocity and (b) pressure diagram of suction valve port.
The emulsion at the valve port will form a high-speed recoil jet, and as the valve core is close to the valve seat, the velocity of the recoil jet will be higher and higher. It not only affects the sealing performance of the valve, but also may affect the stability and life of the system.
From Figure 20, it can be seen that with the gradual increase of the pressure difference between the upper and lower valve ports, the falling speed of the suction valve spool shows a significant acceleration trend. In this process, the change of spool falling speed is not a simple linear growth, but presents a more uniform increasing trend. This phenomenon reflects the influence of the pressure difference in fluid dynamics on the movement speed of the valve core and also reflects the dynamic characteristics of the valve core during the movement [33].
Figure 20.
Suction valve spool displacement and instantaneous leakage.
At the same time, it is noted that as the velocity of the recoil jet increases, the instantaneous leakage also increases. However, as the valve core gradually approaches the valve seat, the flow area of the valve port continues to decrease, and the increase in instantaneous leakage gradually decreases. This change process reflects the restriction of the flow area of the valve port on the leakage and also reflects the complex characteristics of the fluid flowing in the confined space.
4.2.2. Analysis of Dynamic Flow Loss of Discharge Valve
As can be seen from Figure 21, hydraulic oil undergoes a significant acceleration process when passing through the wing-guided bevel structure. The flow velocity reaches its maximum when the hydraulic oil reaches the throttling structure between the spool and the valve seat. In addition, from the perspective of the cross-section of the valve port, the position away from the valve core forms an apparent high-speed region. In contrast, the position near the valve core shows the characteristics of a low-speed region.
Figure 21.
(a) Flow velocity and (b) pressure diagram of the valve port of the discharge valve.
The maximum flow velocity shows a trend of increasing first and then decreasing. This phenomenon is mainly due to the eddy current generation at the throttle outlet. The eddy current not only blocks the flow of the fluid, but also reduces the effective flow area, resulting in a decrease in the flow rate.
The pressure inside the plunger chamber can quickly approach the outlet pressure of 40 MPa. A significant pressure difference is formed between this high pressure and the area above the spool [34]. With the gradual increase of the valve opening, the pressure on the xz section from the center to the periphery decreases first and then increases, which is always less than the pressure of the plunger chamber. This phenomenon is mainly attributed to the reduction of the flow area at the throttling structure, resulting in a rapid decrease in pressure here.
Upon observing the valve port cross-section, it was noted that the pressure distribution increases gradually from the outside toward the inside, resulting in an increasing pressure field. The formation of this pressure field further verifies the influence of the throttling structure on fluid flow and pressure distribution.
As we can observe from Figure 22, the valve spool’s hysteresis causes it to gradually rise to its maximum limit with the increasing pressure difference, resulting in a faster speed that can considerably impact the upper limit device. At the beginning of the outlet flow, the change rate is small due to the influence of the step function and hysteresis. This is because the corresponding inertia force must be overcome during the movement of the discharge valve, which will cause the movement of the valve core to be delayed.
Figure 22.
Comparison chart of spool displacement and instantaneous outlet flow of discharge valve.
4.3. Analysis of Influencing Factors of Dynamic Flow Loss
4.3.1. Effect of Outlet Diameter on Dynamic Flow Loss of Suction Valve
The initial outlet diameter is 45 mm, and the outlet diameters are set to 40 mm, 42.5 mm, and 47.5 mm as controls. Since the flow field is the most stable at 0.015 s, the velocity and pressure contours of the xy section at each outlet diameter are taken now. From Figure 23, it can be observed that as the outlet diameter decreases, the angle of the recoil jet injection shows an increasing trend. This is because the decrease in the outlet diameter limits the flow area of the fluid, thereby increasing the flow velocity of the fluid at the outlet. When the high-speed fluid encounters the spool, the jet angle becomes more significant due to the sharp contraction of space [35,36]. This change not only affects the direction of the jet, but, more importantly, increases the impact of the jet on the spool and seat.
Figure 23.
Comparison diagram of velocity and pressure at different outlet diameters.
The wall effect becomes more noticeable when the outlet diameter becomes smaller and smaller. The wall-attachment effect is a unique phenomenon when the fluid flows in a confined space, which causes the fluid to form a high-speed flow area near the wall. Due to the decrease of the outlet spacing, the wall attachment effect enhances the impact force of the recoil jet so that the incident angle is close to 45 deg, and the impact force on the valve core and valve seat is further enhanced. It can be seen from the pressure field in Figure 23 that the decrease in the outlet diameter leads to a decrease in the cross-sectional area at the valve port, which, in turn, increases the average pressure of the plunger cavity. This change not only affects the sealing performance of the valve, but also may have a potential impact on the stability and safety of the system.
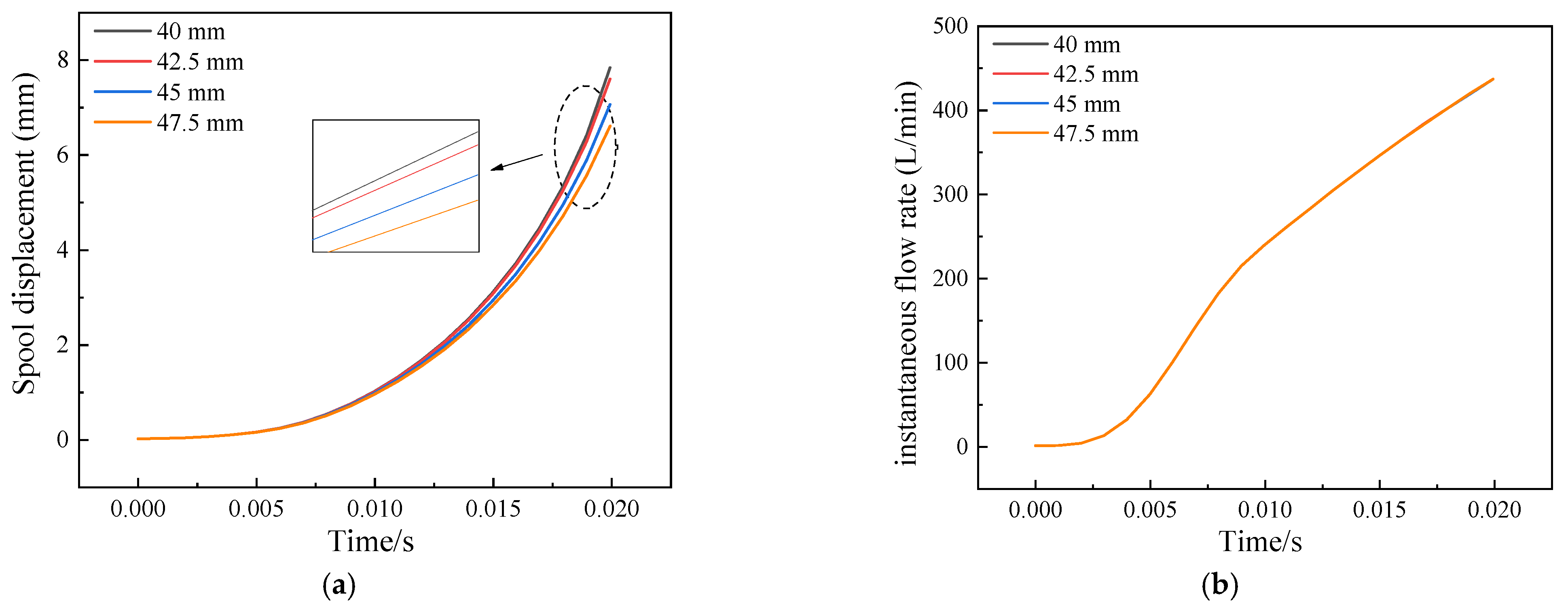
From Figure 24, it can be observed that in the initial stage of 0–0.01 s, as the plunger chamber pressure gradually increases, the valve core begins to move slowly downward. At this stage, the spool displacement under different outlet diameters shows a similar and consistent trend. This shows that in the initial stage of the spool movement, the change in the outlet diameter has not yet had a significant effect on the movement of the spool.
Figure 24.
(a) Spool displacement and (b) instantaneous outlet flow rate under different outlet diameters.
However, when the time was advanced to 0.01 s, the situation changed. Due to the different outlet diameters, the pressure difference before and after the valve port began to show significant differences. Specifically, the valve with a smaller outlet diameter has a greater pressure difference before and after the valve port. The change in pressure difference directly affects the hydraulic power of the valve core. The smaller the outlet diameter, the stronger the hydrodynamic force on the spool, so that the response of the spool is more rapid.
In addition, although the valve port with a smaller outlet diameter has a faster flow rate, the size of the outlet also has an important impact on the total leakage. The two factors of flow velocity and outlet size work together to keep the outlet flow basically unchanged under different outlet diameters.
4.3.2. Effect of Outlet Pressure on Dynamic Flow Loss of Discharge Valve
To study the influence of outlet pressure on the hysteresis and flow loss of the valve core and keep other conditions unchanged, the outlet pressure is set to 20, 30, 40, and 50 MPa, respectively. It can be seen from Figure 25 that the pressure will gradually rise to the outlet pressure and remain stable as the spool overcomes the gravity spring preload and begins to rise. The flow rate of the valve port under each outlet pressure is basically unchanged. This is because the pressure difference before and after the valve port under each outlet pressure is basically the same. Before 0.005 s, the plunger cavity is boosted, and the valve core is not started, so the pressure difference is negative. After 0.005 s, the valve core starts, and the upper side pressure gradually exceeds the lower side and reaches the highest value at 0.014 s. The pressure then decreases and tends to be stable. From Figure 26, the valve port pressure difference under different outlet pressures is the same, so the valve port flow rate does not change even under different outlet pressures.
Figure 25.
(a) Valve port pressure and (b) valve port speed under different outlet pressures.
Figure 26.
Valve port pressure difference under different outlet pressures.
It can be seen from Figure 27 that only in the final stage of the spool lift is the spool speed of 50 MPa slightly faster than in other cases, and the instantaneous outlet flow is the same. This is because in the spool lift stage, the pressure difference before and after the spool is basically the same, and the pressure difference of the spool is also basically the same, resulting in the spool speed and valve port flow rate under different outlet pressures being the same. This shows that the size of the outlet pressure has little effect on the valve core hysteresis and instantaneous outlet flow.
Figure 27.
(a) Spool displacement and (b) instantaneous outlet flow under different outlet pressures.
4.3.3. Influence of Wing-Guided Bevel Structure on Dynamic Flow Loss of Discharge Valve
The valve core is replaced with a plane cone valve, and the quality of the valve core is adjusted to study the influence of the wing-guided bevel structure on the hysteresis and flow loss of the valve core. From Figure 28, due to the throttling effect of the wing-guided bevel structure, the maximum velocity of the plane cone valve after 0.005 s is smaller than that of the wing-guided bevel structure. With the rise of the valve core, the outlet throttling diameter becomes larger and larger, and a cross-type high-speed flow field will be formed in the basin below the valve port, and a low-speed flow field near the wall and the lower valve core will be formed. Because the guide airfoil structure is limited, a flow velocity map increasing outward from the center of the spool will be formed on the xz section. From the pressure diagram of the valve port of the plane cone valve, it can be seen that compared with the guide airfoil cone valve, the pressure gradient of the upper and lower plane cone valve at the valve port is more gentle. The pressure diagram decreases outward from the center of the valve core on the xz section.
Figure 28.
(a) Flow velocity and (b) pressure diagram of plane cone valve port.
During the first 0.005 s, the outlet flow of the wing-guided bevel discharge valve and the plane poppet valve are equal, according to Figure 29. Gradually, the spool rising speed of the wing-guided bevel discharge valve will exceed that of the plane poppet valve after 0.005 s. At 0.015 s, the difference between the two values hits its peak and then gradually decreases. This is due to the unique wing-guided bevel structure. The pressure will decrease sharply when the emulsion passes through the wing-guided bevel area, so the pressure difference between the front and back of the valve core will increase, resulting in a sudden increase in the flow velocity of the valve port. Therefore, the wing-guided bevel discharge valve core responds better in the spool lift stage.
Figure 29.
Effect of guide vane structure on (a) spool displacement and (b) instantaneous outlet flow.
5. Conclusions
In this paper, through an in-depth analysis of the theory of flow loss of high water-based emulsion pumps, the root cause of flow loss of emulsion pumps is found. The leakage characteristics and influence mechanism of the annular gap in the plunger cavity under different parameters were systematically studied. Furthermore, the dynamic finite element model of the valve port of the emulsion pump is constructed. Through the accurate model analysis, the flow velocity and pressure distribution characteristics at the valve port are deeply discussed, and the specific influence of different parameters on the hysteresis of the valve port is studied. The following conclusions can be drawn:
- (1)
- With the increase of gap thickness, the leakage amount increases, and the growth rate increases gradually. The leakage is proportional to the inlet pressure, and the instantaneous flow increases proportionally. Increasing hydraulic oil viscosity can slow the liquid flow, reduce the dynamic viscosity, and reduce the leakage. It is recommended to control the gap thickness at 12–38 μm.
- (2)
- The increase in the plunger’s eccentricity will reduce the flow field’s stability and lead to uneven flow velocity distribution. At high eccentricity, the velocity difference is particularly significant. In addition, with the increase of eccentricity, the instantaneous outlet flow increases gradually. It is recommended that eccentricity be controlled within 0.2 to maintain the stability of the flow field.
- (3)
- With the increase of the inclination angle, the leakage decreases slowly. However, if the inclination angle is too large, the wear of the plunger end face will be significantly aggravated. Once the end face wear occurs, it will directly lead to a significant increase in leakage and have a severe adverse effect on the system’s overall performance. Therefore, the plunge’s inclination angle should be controlled within 0.02 to ensure the system performance’s stability.
- (4)
- Decreasing the outlet diameter will increase the pressure difference of the valve port, enhance the hydrodynamic force, and accelerate the response of the valve core. Under different outlet pressures, the pressure difference in the lift stage of the spool is the same, resulting in a slight difference in the hysteresis of the spool. The structure of the wing-guided bevel structure can enhance the valve core’s responsiveness. Therefore, it is necessary to comprehensively consider the outlet diameter and valve core structure to optimize the system’s performance in the design of an emulsion pump.
This study offers insights into the annular gap leakage of the plunger cavity and hysteresis analysis of the valve, focusing on various operational parameters of the emulsion pump. It provides a reference for further research and optimization to improve the performance of the pump.
Author Contributions
Conceptualization, L.W.; methodology, Y.Y. and Z.S.; software, Y.Y.; validation, L.W. and Y.Y.; formal analysis, Z.S. and G.S.; investigation, L.W. and R.Z.; resources, L.W.; data curation, Y.Y. and G.Q.; writing—original draft preparation, Y.Y.; writing—review and editing, Y.Y. and Z.S.; visualization, Y.Y.; supervision, Z.S.; project administration, L.W. and G.S.; funding acquisition, L.W. and R.Z. All authors have read and agreed to the published version of the manuscript.
Funding
This research was funded by the Shandong Construction Machinery Intelligent Equipment Innovation and Entrepreneurship Community (grant no. GTT20220206) and the National Natural Science Foundation of China (52274132, U23A20599).
Data Availability Statement
The data used to support the findings of this study are available from the corresponding author upon request.
Conflicts of Interest
Author Ruwei Zhang was employed by the company Shandong Community Engineering Machinery Co., Ltd. The remaining authors declare that the research was conducted in the absence of any commercial or financial relationships that could be construed as a potential conflict of interest.
Nomenclature
| Piston displacement (mm) | |
| Radius of the crank (mm) | |
| Link length (mm) | |
| Transmission ratio (-) | |
| Crankshaft angle (°) | |
| Plunger cross-sectional area (mm2) | |
| Piston pump outlet Flow velocity (mm/s) | |
| Piston diameter (mm) | |
| Crankshaft angular velocity (rad/s) | |
| Discharge coefficient (-) | |
| Cross-sectional area of the hole of the suction valve (mm2) | |
| Cross-sectional area of the hole of the discharge valve (mm2) | |
| Suction valve spool diameter (mm) | |
| Discharge valve spool diameter (mm) | |
| discharge valve port diameter (mm) | |
| Poppet valve incident angle (°) | |
| Emulsion density (-) | |
| Pressure difference before and after the valve core (MPa) | |
| Emulsion viscosity (mPa·s) | |
| Gap thickness (mm) | |
| Gap length (mm) | |
| Plunger speed (mm/s) | |
| Leakage in a plunger pump (L/min) | |
| Relative eccentricity (-) | |
| Eccentricity at any angle (-) | |
| Gap value in the radius direction when the inner and outer circles are concentric (mm) | |
| Leakage when plunger is eccentric (L/min) | |
| Function value of any point in Z direction, the eccentricity of each point in the z direction can be calculated through COMSOL (mm) | |
| Inclination (°) |
References
- Zeng, Q.; Qi, G.; Wan, L.; Wang, J.; Yu, X.; Li, Z. Numerical research on dynamic responses of the emulsion pump crankshaft under multiple working conditions. Eng. Fail. Anal. 2023, 154, 107712. [Google Scholar] [CrossRef]
- Zeng, X.; Wang, D. Optimal tracking control of the coal mining face fluid supply system via adaptive dynamic programming. Sci. Rep. 2023, 13, 20002. [Google Scholar] [CrossRef] [PubMed]
- Tian, J.; Liu, W.; Wang, H.; Yuan, X.; Zhou, R.; Li, J. Energy-Saving Testing System for a Coal Mine Emulsion Pump Using the Pressure Differential Flow Characteristics of Digital Relief Valves. Processes 2023, 11, 2632. [Google Scholar] [CrossRef]
- Wan, L.; Dai, H.; Zeng, Q.; Lu, Z.; Sun, Z.; Tian, M.; Lu, Y. Characteristic Analysis of Digital Emulsion Relief Valve Based on the Hydraulic Loading System. Shock Vib. 2020, 2020, 1–20. [Google Scholar] [CrossRef]
- Li, B.; Guo, S.; Cai, B.; Shi, Z. Study on Pressure Pulsation Suppression of Reciprocating Pump. J. Phys. Conf. Ser. 2019, 1187, 032039. [Google Scholar] [CrossRef]
- Gu, Z.; Bai, C.; Zhang, H. Experimental and Numerical Research on Fluid Dynamic Interaction Effects of Reciprocating Pump-Pipeline System. J. Press. Vessel. Technol.-Trans. ASME 2023, 145, 031401. [Google Scholar] [CrossRef]
- Huang, Y.; Ruan, J.; Ding, C.; Li, S. Effect of clearance on volumetric efficiency in 2D piston pumps. Adv. Mech. Eng. 2021, 13, 16878140211047727. [Google Scholar] [CrossRef]
- Qiu, N.; Shang, X.; Liu, R.; Jin, P.; Gao, W. Analysis of the Dynamic Characteristics of the Pump Valve System of an Ultra-High Pressure Liquid Hydrogen Reciprocating Pump. Energies 2022, 15, 4255. [Google Scholar] [CrossRef]
- Zhao, K.; Tian, W.; Li, X.; Bai, B. A physical model for liquid leakage flow rate during plunger lifting process in gas wells. J. Nat. Gas Sci. Eng. 2018, 49, 32–40. [Google Scholar] [CrossRef]
- Ahmed, F.; Eames, I.; Azarbadegan, A.; Moeendarbary, E. Acoustics and vibrations in a complex piping network with pump startup-shutdown transients. Int. J. Mech. Sci. 2022, 227, 107357. [Google Scholar] [CrossRef]
- Fischer, F.; Rhein, A.; Schmitz, K. Influence of Inertia Terms on High-Pressure Gap Flow Applications in Hydraulics. In Proceedings of the ASME/BATH 2019 Symposium on Fluid Power and Motion Control, Longboat Key, FL, USA, 7–9 October 2019. [Google Scholar]
- Farzaneh-Gord, M.; Khoshnazar, H. Valve fault detection for single-stage reciprocating compressors. J. Nat. Gas Sci. Eng. 2016, 35, 1239–1248. [Google Scholar] [CrossRef]
- Li, R.; Wang, D.; Wei, W.; Li, S. Analysis of the Movement Characteristics of the Pump Valve of the Mine Emulsion Pump Based on the Internet of Things and Cellular Automata. Mob. Inf. Syst. 2021, 2021, 9032769. [Google Scholar] [CrossRef]
- Ma, Y.; Ni, Y.; Zhang, H.; Zhou, S.; Deng, H. Influence of valve’s lag characteristic on pressure pulsation and performance of reciprocating multiphase pump. J. Pet. Sci. Eng. 2018, 164, 584–594. [Google Scholar] [CrossRef]
- Ma, Y.; Zhang, M.; Luo, H. Investigation of the droplet-carrying characteristics of the gas flow in multiphase pump valves. Chem. Eng. Res. Des. 2020, 162, 173–186. [Google Scholar] [CrossRef]
- Li, R.; Wei, W.; Liu, H.; Ye, J.; Wang, D.; Li, S.; Wang, W. Experimental and Numerical Study on the Dynamic and Flow Characteristics of a Reciprocating Pump Valve. Processes 2022, 10, 1328. [Google Scholar] [CrossRef]
- Wang, D.; Li, R.; Liu, H.; Ye, J. Wear analysis of slideway in emulsion pumps based on finite element method. Sci. Rep. 2024, 14, 1930. [Google Scholar] [CrossRef]
- Li, Y.; Zhu, Z.; Chen, G.; Cao, G. A novel energy regeneration system for emulsion pump tests. J. Mech. Sci. Technol. 2013, 27, 1155–1163. [Google Scholar] [CrossRef]
- Tong, G.; Zhao, S.; Yu, Y.; Peng, S. Design and theoretical analysis of a sliding valve distribution radial piston pump. J. Mech. Sci. Technol. 2016, 30, 327–335. [Google Scholar] [CrossRef]
- Suo, X.; Jiang, Y.; Wang, W. Hydraulic axial plunger pump: Gaseous and vaporous cavitation characteristics and optimization method. Eng. Appl. Comput. Fluid Mech. 2021, 15, 712–726. [Google Scholar] [CrossRef]
- He, T.; Li, Z.; Deng, H.; Chen, Q.; Wang, C.; Zhao, K. Flow characteristics analysis of a balanced valve distribution double-row axial piston pump. Mech. Sci. 2022, 13, 207–223. [Google Scholar] [CrossRef]
- Zhao, B.; Guo, W.; Quan, L. Cavitation of a Submerged Jet at the Spherical Valve Plate/Cylinder Block Interface for Axial Piston Pump. Chin. J. Mech. Eng. 2020, 33, 67. [Google Scholar] [CrossRef]
- Prata, A.T.; Fernandes, J.R.S.; Fagotti, F. Dynamic Analysis of Piston Secondary Motion for Small Reciprocating Compressors. J. Tribol. 2000, 122, 752–760. [Google Scholar] [CrossRef]
- Saad, M.A.; Kamil, M.; Abdurahman, N.H.; Yunus, R.M.; Awad, O. An Overview of Recent Advances in State-of-the-Art Techniques in the Demulsification of Crude Oil Emulsions. Processes 2019, 7, 470. [Google Scholar] [CrossRef]
- Yan, S.; Kuroda, S. Lubrication with emulsion: II. The viscosity coefficients of emulsions. Wear 1997, 206, 238–243. [Google Scholar] [CrossRef]
- Christopher, N.; Peter, J.M.F.; Kloker, M.J.; Hickey, J.P. DNS of turbulent flat-plate flow with transpiration cooling. Int. J. Heat. Mass. Transf. 2020, 157, 119972. [Google Scholar] [CrossRef]
- Muller, H. Fluid Sealing Technology: Principles and Applications; Routledge: Abingdon, UK, 2019. [Google Scholar]
- Cui, L.; Tian, K.; Cheng, J.; Li, Z. Study on Failure Analysis of Gas Lift Plunger Under Eccentric State. Arab. J. Sci. Eng. 2022, 47, 11733–11744. [Google Scholar] [CrossRef]
- Xia, Y.; Li, Z.; Liu, W.; Tan, S.; Xu, S.; Liu, S.; Xia, S. Effects of the Cross Angle on Output Characteristics and Tilting Behaviour for 750 mL/r Axial Piston Pumps. Alex. Eng. J. 2024, 99, 347–362. [Google Scholar] [CrossRef]
- Liang, A.; Li, H.; Zhang, W.; Yao, Z.; Zhu, B.; Wang, F. Study on pressure fluctuation and rotating stall characteristics in the vaneless space of a pump-turbine in pump mode. J. Energy Storage 2024, 94, 112385. [Google Scholar] [CrossRef]
- Hu, L.; Liang, A.; Li, H.; Zhang, W.; Zhu, B. Impact of rotor–stator axial spacing on the gas–liquid–solid flow characteristics of a multiphase rotodynamic pump based on the Euler multi-fluid model. Phys. Fluids 2024, 36, 063314. [Google Scholar] [CrossRef]
- Arzate, A.; Tanguy, P.A. Hydrodynamics of Liquid Jet Application in High-Speed Jet Coating: Newtonian and Shear-thinning Fluids. Chem. Eng. Res. Des. 2005, 83, 111–125. [Google Scholar] [CrossRef]
- Zhang, Y.; Xu, C.; Yao, Q. The Velocity Variation Characteristics of the Flow Field and the Related Structural Parameter Optimization of the Direct Jet Nozzle. Iran. J. Sci. Technol. Trans. Mech. Eng. 2022, 46, 347–357. [Google Scholar] [CrossRef]
- Chen, C.H. Effect of viscous dissipation on heat transfer in a non-Newtonian liquid film over an unsteady stretching sheet. J. Non-Newton. Fluid Mech. 2006, 135, 128–135. [Google Scholar] [CrossRef]
- Yang XI, A.; Urzay, J.; Bose, S.; Moin, P. Aerodynamic Heating in Wall-Modeled Large-Eddy Simulation of High-Speed Flows. AIAA J. 2018, 56, 731–742. [Google Scholar] [CrossRef]
- Lu, L.; Xie, S.; Yin, Y.; Ryu, S. Experimental and numerical analysis on the surge instability characteristics of the vortex flow produced large vapor cavity in u-shape notch spool valve. Int. J. Heat Mass Transf. 2020, 146, 118882. [Google Scholar] [CrossRef]
Disclaimer/Publisher’s Note: The statements, opinions and data contained in all publications are solely those of the individual author(s) and contributor(s) and not of MDPI and/or the editor(s). MDPI and/or the editor(s) disclaim responsibility for any injury to people or property resulting from any ideas, methods, instructions or products referred to in the content. |
© 2024 by the authors. Licensee MDPI, Basel, Switzerland. This article is an open access article distributed under the terms and conditions of the Creative Commons Attribution (CC BY) license (https://creativecommons.org/licenses/by/4.0/).




























