Comparison of Novel Seismic Protection Devices to Attenuate the Earthquake Induced Energy
Abstract
1. Introduction
2. Details of Steel Frames, Modeling and Analysis
3. Verification of Analytical Models
4. Results and Discussion
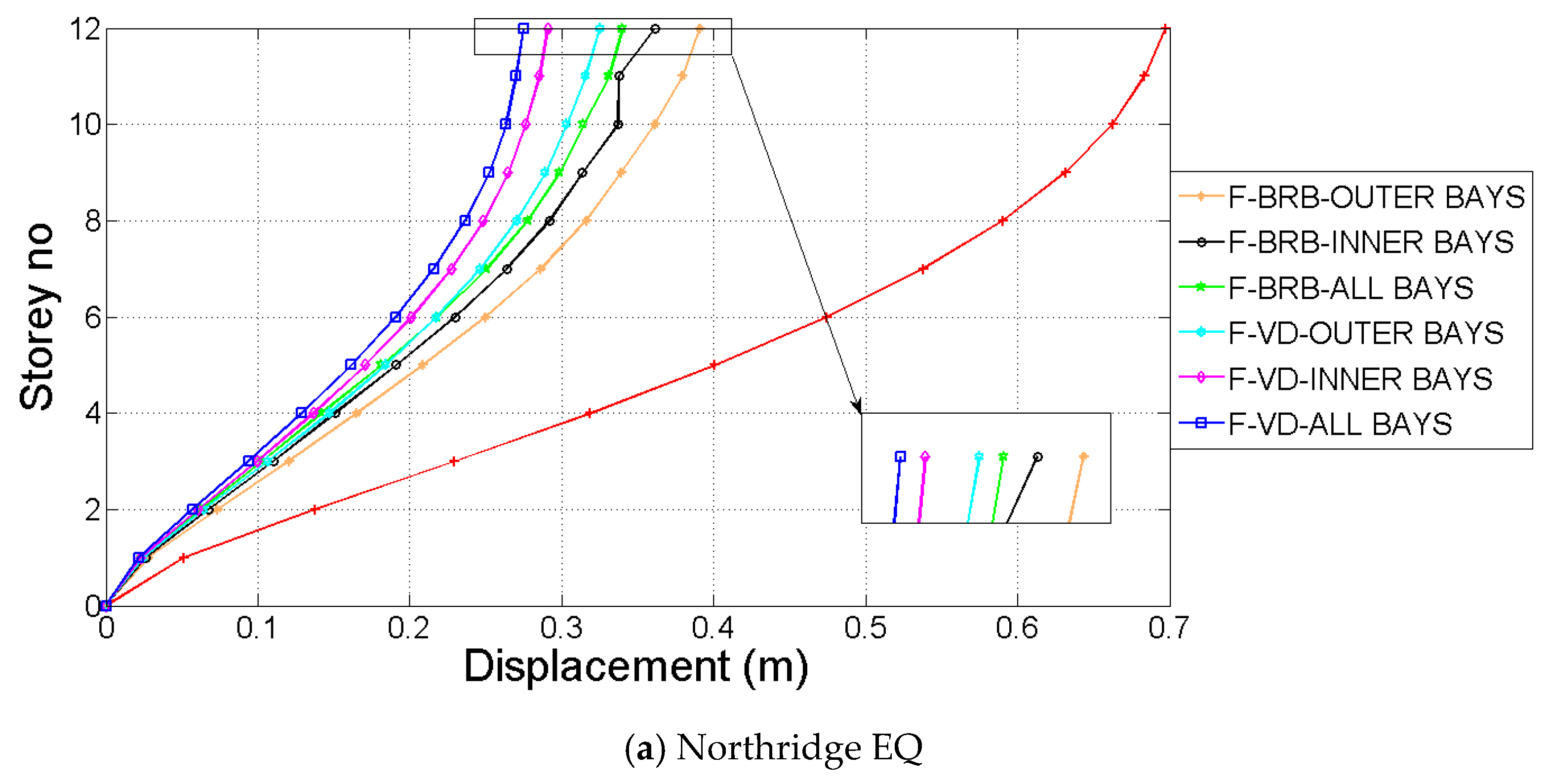
4.1. Variation of Displacement with Story Level
4.2. Variation of Interstory Drift Ratio with Story Level
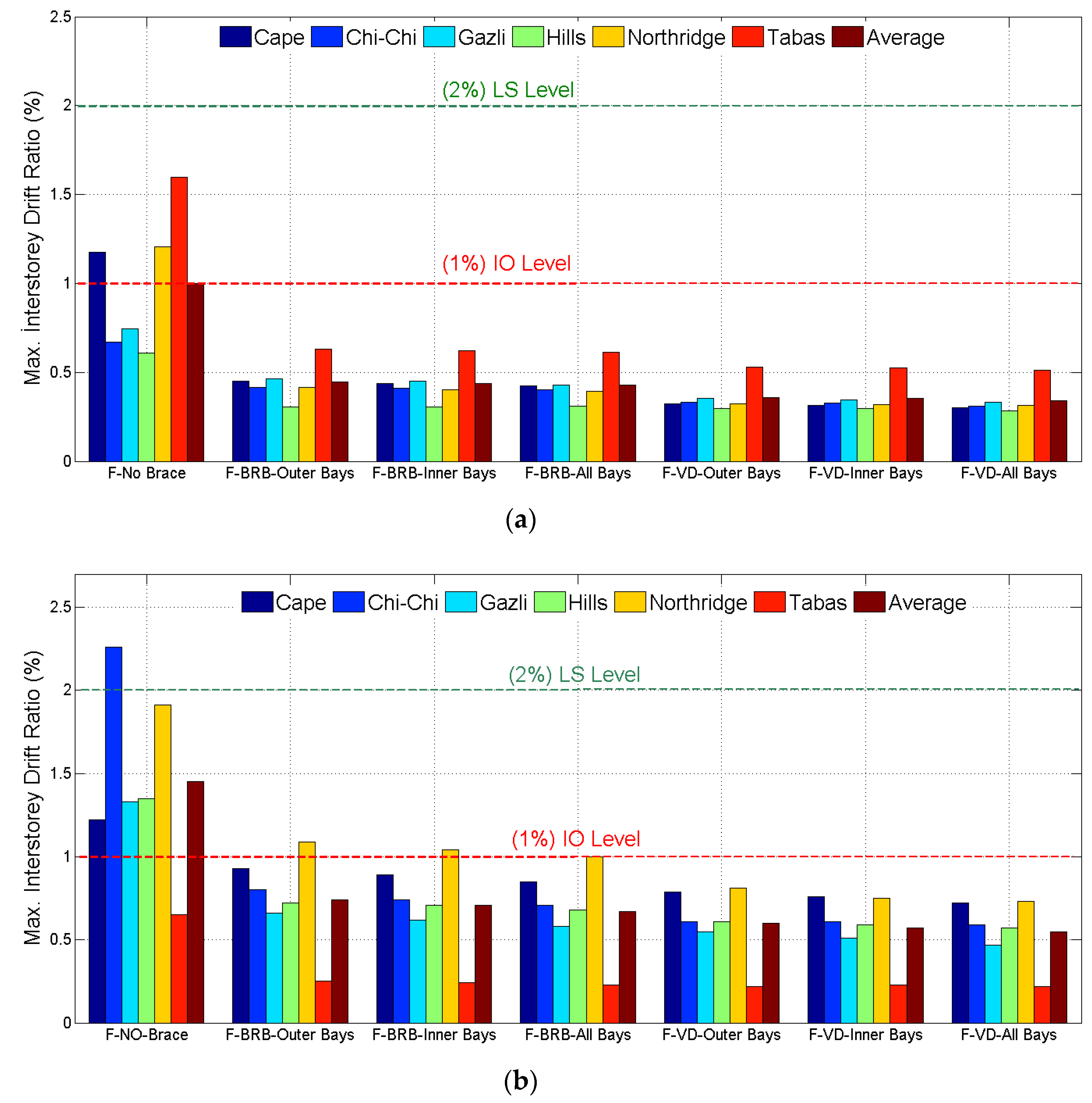
4.3. Maximum Interstory Drift Ratio (IDR) and Maximum Roof Drift Ratio (RDR)
4.4. Variation of Maximum Absolute Acceleration with Story Level
4.5. Maximum Base Shear
4.6. Time History of the First Story and Roof Displacements
5. Conclusions
- The lateral displacement demand in the four- and eight-story models decreased by about 80% and 70% after adding the VDs and BRBs in the all-bay configuration, respectively. The contribution of BRB was almost 10% lower than that of VD as long as the lateral displacement was taken into account. In the 12-story building, this effect decreased to 64% and 57%, respectively. For a given protective device, the configuration played a marked role such that the all-bay systems of VDs or BRBs had better performance in reducing the displacement demand and the inner and the outer configurations took place thereafter. When the seismic protection pattern switched from the all bay to the outer bay, the VD and BRB had a lower influence on decreasing the lateral displacement by as much as 8% and 11%, respectively.
- Seismic protection devices seemed to be very effective in the reduction of building deformations. The VD and BRB reduced the interstory drifts by 78% and 67%, respectively, in the eight-story models and 62% and 55%, respectively in the 12-story models.
- The average value of reduced floor accelerations from three buildings was 65% and 49% when the VD and BRB were employed in the all-bay configurations. When the buildings had the outer-bay system, the reducing effect of VD in the floor acceleration decreased by as much as 10%.
6. Recommendations for Future Work
Author Contributions
Funding
Conflicts of Interest
References
- Liu, C.; Fang, D.; Zhao, L. Reflection on earthquake damage of buildings in 2015 Nepal earthquake and seismic measures for post-earthquake reconstruction. Structures 2021, 30, 647–658. [Google Scholar] [CrossRef]
- Liu, C.; Yang, W.; Yan, Z.; Lu, Z.; Luo, N. Base pounding model and response analysis of base-ısolated structures under earthquake excitation. Appl. Sci. 2017, 8, 1. [Google Scholar] [CrossRef]
- Ma, Y.; Gong, J.X. Probability identification of seismic failure modes of reinforced concrete columns based on experimental observations. J. Earthq. Eng. 2018, 22, 1881–1899. [Google Scholar] [CrossRef]
- Sahoo, D.R.; Chao, S.H. Performance-based plastic design method for buckling-restrained braced frames. Eng. Struct. 2010, 32, 3950–3958. [Google Scholar] [CrossRef]
- Kumar, R.G.; Satish Kumar, S.R.; Kalyanaraman, V. Behaviour of frames with, Non-Buckling bracings under earthquake loading. J. Constr. Steel Res. 2007, 654–662. [Google Scholar] [CrossRef]
- Karavasilis, L. Assessment of capacity design of columns in steel moment resisting frames with viscous dampers. Soil Dyn. Earthq. Eng. 2016, 88, 215–222. [Google Scholar] [CrossRef]
- Abou-Elfath, H.; Ramadan, M.; Alkanai, F.O. Upgrading the seismic capacity of existing RC buildings using buckling restrained braces. Alex. Eng. J. 2017, 56, 251–262. [Google Scholar] [CrossRef]
- AISC. Seismic Provisions for Structural Steel Buildings; American Institute of Steel Construction, Inc.: Chicago, IL, USA, 2005. [Google Scholar]
- Asgarian, B.; Amirhesari, N. Comparison of dynamic nonlinear behavior of ordinary and buckling restrained braced frames subjected to strong ground motion. Struct. Des. Tall Spec. Build. 2008, 17, 367–386. [Google Scholar] [CrossRef]
- Liu, C.; Luo, X.; Fang, D.; Shi, C.; Sarvar, S.; Zhao, B. Study on flexural stiffness of diagrid non-stiffened node based on four spring assemblage model. Eng. Str. 2019, 198, 1–9. [Google Scholar] [CrossRef]
- Liu, C.; Zhao, B.; Yang, J.; Yi, Q.; Yao, Z.; Wu, J. Effects of brace-to-chord angle on capacity of multi-linear chs x-joints under out-of-plane bending moments. Eng. Str. 2020, 211, 1–11. [Google Scholar] [CrossRef]
- Liu, C.; Fang, D. Robustness analysis of vertical resistance to progressive collapse of diagrid structures in tall buildings. Struct. Des. Tall Spec. Build. 2020, 29, 2–13. [Google Scholar] [CrossRef]
- Apostolakis, G.; Dargush, G.F. Optimal seismic design of moment-resisting steel frames with hysteretic passive devices. Earthq. Eng. Struct. Dyn. 2010, 39, 355–376. [Google Scholar] [CrossRef]
- César, M.B.; Coelho, J.P.; Gonçalves, J. Semi-active vibration control of a non-collocated civil structure using evolutionary-based belbic. Actuators 2019, 8, 43. [Google Scholar] [CrossRef]
- Ghanchi, N.; Kewate, S. Dynamic analysis of 25 storey RCC building with and without viscous dampers. Int. J. Sci. Eng. Res. 2015, 6, 63–68. [Google Scholar]
- Kang, J.D.; Tagawa, H. Seismic performance of steel structures with seesaw energy dissipation system using fluid viscous dampers. Eng. Str. 2013, 56, 431–442. [Google Scholar] [CrossRef]
- Marshall, J.D.; Charney, F.A. A hybrid passive control device for steel structures, I: Development and Analysis. J. Constr. Steel Res. 2010, 66, 1278–1286. [Google Scholar] [CrossRef]
- Elias, S.; Matsagar, V. Seismic vulnerability of a non-linear building with distributed multiple tuned vibration absorbers. Str. Infrastruct. Eng. 2019, 15, 1103–1118. [Google Scholar] [CrossRef]
- Lin, P.C.; Takeuchi, T.; Matsui, R. Seismic performance evaluation of single damped-outrigger system incorporating buckling-restrained braces. Earthq. Eng. Struct. Dyn. 2018, 4343–4365. [Google Scholar] [CrossRef]
- Wang, H.; Feng, Y.; Wu, J.; Jiang, Q.; Chong, X. Damage, Concentration Effect of Multistory Buckling-Restrained Braced Frames. Adv. Civ. Eng. 2019, 2019. [Google Scholar] [CrossRef]
- Lin, K.C.; Lin, C.C.J.; Chen, J.Y.; Chang, H.Y. Seismic reliability of steel framed buildings. Struct. Saf. 2010, 32, 174–182. [Google Scholar] [CrossRef]
- Deulkar, W.N.; Modhera, C.D.; Patil, H.S. Buckling restrained braces for vibration control of building structure. Int. J. Res. Rev. Appl. Sci. 2010, 4, 363–372. [Google Scholar]
- Di Sarno, L.; Manfredi, G. Seismic Response of Reinforced Concrete Buildings Retrofitted with Dissipative Steel Braces. J. Civ. Eng. Archit. 2010, 4, 1934–7359. [Google Scholar]
- Jankhaneh, M.E.; Ebrahimi, A.H.; Amiri, M.S. Seismic performance of steel braced frames with an all-steel buckling restrained brace. ASCE-Pract. Period. Struct. Des. Constr. 2018, 23, 2–16. [Google Scholar]
- Hosseinzadeh, S.; Mohebi, B. Seismic evaluation of all-steel buckling restrained braces using finite element analysis. J. Constr. Steel Res. 2016, 119, 116–184. [Google Scholar] [CrossRef]
- Fahiminia, M.; Zahrai, S.M. Seismic performance of simple steel frames with buckling-restrained knee braces & SMA to reduce residual displacement. Soil Dyn. Earthq. Eng. 2020, 137, 1–21. [Google Scholar]
- Symans, M.D.; Charney, F.A.; Whittaker, A.S.; Constantinou, M.C.; Kircher, C.A.; Johnson, M.W.; McNamara, R.J. Energy dissipation systems for seismic applications: Current practice and recent developments. J. Struct. Eng. 2008, 134, 13–21. [Google Scholar] [CrossRef]
- Yaghmaei-Sabegh, S.; Jafari-Koucheh, E.; Ebrahimi-Aghabagher, M. Estimating the seismic response of nonlinear structures equipped with nonlinear viscous damper subjected to pulse-like ground records. Structures 2020, 28, 1915–1923. [Google Scholar] [CrossRef]
- SaiChethan, K.; Sirinivas, K.S.; Ranjitha, K.P. Seismic performance evaluation of fluid viscous dampers. Int. J. Res. Eng. Technol. 2017, 6, 27–32. [Google Scholar]
- Prasad, M.L.A.; Mazumder, E.A. Use of viscous damper as an energy dissipative device in steel structures. Int. J. Mech. Prod. Eng. 2016, 4, 59–66. [Google Scholar]
- Balkanlou, V.S.; Karimi, M.R.B.; Azar, B.B.; Behravesh, A. Evaluating effects of viscous dampers on optimizing seismic behavior of structures. Int. J. Curr. Eng. Technol. 2013, 3, 1150–1157. [Google Scholar]
- Narkhede, D.I.; Sinha, R. Behavior of nonlinear fluid viscous dampers for control of shock vibrations. J. Sound Vibr. 2014, 333, 80–98. [Google Scholar] [CrossRef]
- Silvestri, S.; Gasparini, G.; Trombetti, T. A five-step procedure for the dimensioning of viscous dampers to be iınserted in building structures. J. Earthq. Eng. 2010, 14, 417–447. [Google Scholar] [CrossRef]
- Milanchian, R.; Hosseini, M. Study of vertical seismic isolation technique with nonlinear viscous dampers for lateral response reduction. J. Build. Eng. 2019, 23, 144–154. [Google Scholar] [CrossRef]
- De Domenicoa, D.; Ricciardia, G.; Takewaki, I. Design strategies of viscous dampers for seismic protection of building structures: A review. Soil Dyn. Earthq. Eng 2019, 118, 144–165. [Google Scholar] [CrossRef]
- European Communities for Standardisation. Eurocode 3. In Design of Steel Structures. Part 1.1: General Rules and Rules for Buildings; European Communities for Standardisation: Brussels, Belgium, 2004. [Google Scholar]
- European Communities for Standardisation. Eurocode 8. In Design Provisions for Earthquake Resistance of Structures. Part 1.3: General Rules. Specific Rules for Various Materials and Elements; European Communities for Standardisation: Brussels, Belgium, 2004. [Google Scholar]
- Karavasilis, T.L.; Bazeos, N.; Beskos, D.E. Maximum displacement profiles for the performance based seismic design of plane steel moment resisting frames. Eng. Struct. 2006, 28, 9–22. [Google Scholar] [CrossRef]
- Deringol, A.H.; Güneyisi, E.M. Effect of friction pendulum bearing properties on behaviour of buildings subjected to seismic loads. Soil Dyn. Earthq. Eng. 2019, 125, 12–20. [Google Scholar] [CrossRef]
- FEMA. FEMA-356. In Prestandard and Commentary for the Seismic Rehabilitation of Buildings; ASCE-American Society of Civil Engineers: Reston, VA, USA, 2000; pp. 200–518. [Google Scholar]
- SAP 2000 Advanced Structural Analysis Program; Version 12; Computers and Structures Inc.: Walnut Creek, CA, USA, 2010.
- Mazanoglu, E.C.K.; Mazanaglu, K. An optimization study for viscous dampers between adjacent buildings. Mech. Syst. Signal Process. 2017, 89, 88–96. [Google Scholar] [CrossRef]
- Makris, N.; Constantinou, M. Fractional-derivative maxwell model for viscous dampers. J. Str. Eng. 1991, 117, 2708–2724. [Google Scholar] [CrossRef]
- Constantinou, M.C.; Symans, M.D. Experimental study of seismic response of buildings with supplemental fluid dampers. Str. Des. Tall Build. 1993, 2, 93–132. [Google Scholar] [CrossRef]
- Singh, M.; Verma, N.; Moreschi, L. Seismic analysis and design with maxwell dampers. J. Eng. Mech. 2003, 129, 273–282. [Google Scholar] [CrossRef]
- Akcelyan, S.; Lignos, D.G.; Hikino, T. Adaptive numerical method algorithms for nonlinear viscous and bilinear oil damper models subjected to dynamic loading. Soil Dyn. Earthq. Eng. 2018, 113, 488–502. [Google Scholar] [CrossRef]
- PEERC. The pacific earthquake engineering research center. In User’s Manual for the PEER Ground Motion Database Application; University of California: Berkeley, CA, USA, 2011. [Google Scholar]
- American Society of Civil Engineers ASCE. Minimum Design Loads for Buildings and Other Structures; ASCE: Reston, VA, USA, 2010. [Google Scholar]
- Palmer, K.D.; Christopulos, A.S.; Lehman, D.E.; Roeder, C.W. Experimental evaluation of cyclically loaded, large-scale, planar and 3-d buckling-restrained braced frames. J. Constr. Steel Res. 2014, 101, 415–425. [Google Scholar] [CrossRef]
- Christopulos, A.S. Improved Seismic Performance of Buckling Restrained Braced Frames. Master’s Thesis, University of Seattle, Seattle, WA, USA, 2005. [Google Scholar]
- Constantinou, M.C.; Symans, M.D. Experimental and Analytical Investigation of Seismic Response of Structures with Supplemental Fluid Dampers; Tech Report-NCEER 92 0032; State University of Newyork at Buffalo: Buffalo, NY, USA, 1992. [Google Scholar]
- FEMA. FEMA 273. In NEHRP Guidelines for the Seismic Rehabilitation of Buildings; Federal Emergency Management Agency: Washington, DC, USA, 1997. [Google Scholar]
- Vision 2000. Conceptual Framework for Performance Based Seismic Engineering of Buildings; Structual Engineers Association of Sacramento: California, CA, USA, 1995. [Google Scholar]






















| Name | Year | Mw | Rjb (km) | Rrup (km) | Vs30 (m/s) | PGA (g) | PGV (cm/s) |
|---|---|---|---|---|---|---|---|
| Cape | 1992 | 7.01 | 0 | 8.2 | 712.8 | 0.66 | 82.1 |
| Gazlı | 1976 | 6.8 | 3.9 | 5.5 | 659.6 | 0.72 | 65.39 |
| Northridge | 1994 | 6.69 | 0 | 5.3 | 441 | 0.84 | 122.7 |
| Hills | 1987 | 6.54 | 0.9 | 0.9 | 348.7 | 0.41 | 106.74 |
| Chi-Chi | 1999 | 7.62 | 0.6 | 0.6 | 305.9 | 0.82 | 127.8 |
| Tabas | 1978 | 7.35 | 1.8 | 2 | 766.8 | 0.80 | 118.29 |
Publisher’s Note: MDPI stays neutral with regard to jurisdictional claims in published maps and institutional affiliations. |
© 2021 by the authors. Licensee MDPI, Basel, Switzerland. This article is an open access article distributed under the terms and conditions of the Creative Commons Attribution (CC BY) license (https://creativecommons.org/licenses/by/4.0/).
Share and Cite
Hansu, O.; Güneyisi, E.M. Comparison of Novel Seismic Protection Devices to Attenuate the Earthquake Induced Energy. Actuators 2021, 10, 73. https://doi.org/10.3390/act10040073
Hansu O, Güneyisi EM. Comparison of Novel Seismic Protection Devices to Attenuate the Earthquake Induced Energy. Actuators. 2021; 10(4):73. https://doi.org/10.3390/act10040073
Chicago/Turabian StyleHansu, Osman, and Esra Mete Güneyisi. 2021. "Comparison of Novel Seismic Protection Devices to Attenuate the Earthquake Induced Energy" Actuators 10, no. 4: 73. https://doi.org/10.3390/act10040073
APA StyleHansu, O., & Güneyisi, E. M. (2021). Comparison of Novel Seismic Protection Devices to Attenuate the Earthquake Induced Energy. Actuators, 10(4), 73. https://doi.org/10.3390/act10040073

