In Vitro Investigation of the Antibacterial Activity of Nine Commercial Water Disinfectants, Acidifiers, and Glyceride Blends against the Most Important Poultry Zoonotic Bacteria
Abstract
1. Introduction
2. Materials and Methods
2.1. Tested Products
- (1)
- Water disinfectants: Cid 2000™ (CID LINES N.V., Leper, Belgium), Aqua-clean® (Kanters, Lieshout, The Netherlands), and Virkon® S (Lanxess, Belgium).
- (2)
- Water acidifiers: Agrocid Super™Oligo (Cid lines N.V., Leper, Belgium), Premium acid, Ultimate acid (Kanters, Lieshout, The Netherlands).
- (3)
- Water glyceride blends: CFC Floramix (Kanters, Lieshout, The Netherlands), FRA® LAC34, and FRA® Gut Balance (Framelco, Raamsdonksveer, The Netherlands).
2.2. Tested Bacterial Strains
2.3. Preparation of the Tested Inoculums
2.4. MIC Assay
2.5. Statistical Analysis
3. Results
3.1. Water Disinfectants
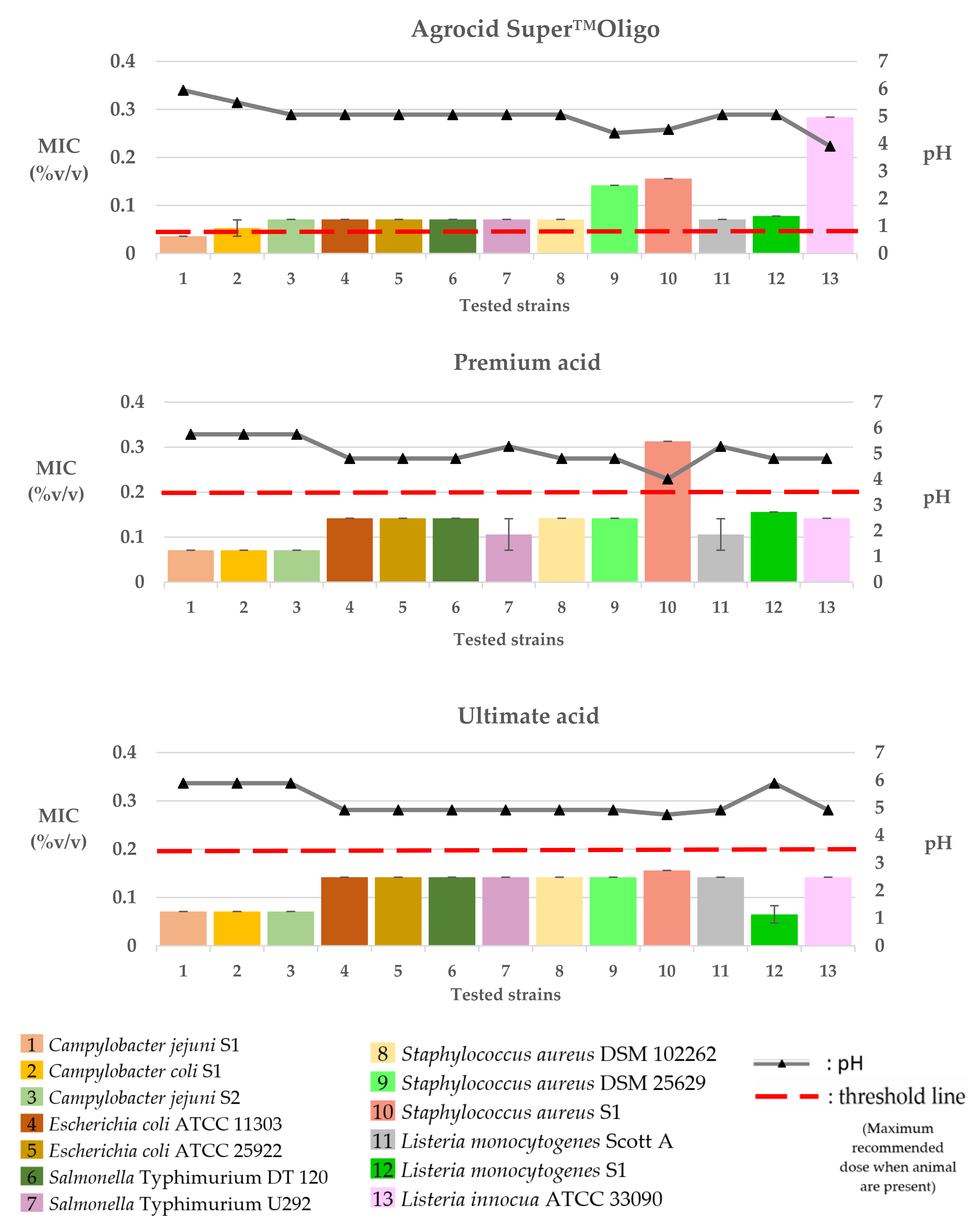
3.2. Water Acidifiers
3.3. Water Glyceride Blends
| Water Disinfectants | Water Acidifiers | Water Glyceride Blends | |||||||
|---|---|---|---|---|---|---|---|---|---|
| Tested Strain | Cid 2000™ | Aqua-Clean® | Virkon® S | Agrocid Super™Oligo | Premium Acid | Ultimate Acid | CFC Floramix | FRA® LAC34 | FRA® Gut Balance |
| C. jejuni S1 | 0.004 ± 0.000 | 0.002 ± 0.000 | 0.102 ± 0.000 | 0.036 ± 0.000 | 0.071 ± 0.000 | 0.071 ± 0.000 | 0.142 ± 0.000 | 0.036 ± 0.000 | 0.142 ± 0.000 |
| C. coli S1 | 0.004 ± 0.000 | 0.002 ± 0.000 | 0.102 ± 0.000 | 0.053 ± 0.017 | 0.071 ± 0.000 | 0.071 ± 0.000 | 0.142 ± 0.000 | 0.106 ± 0.035 | 0.142 ± 0.000 |
| C. jejuni S2 | 0.142 ± 0.000 | 0.071 ± 0.000 | 0.018 ± 0.028 | 0.071 ± 0.000 | 0.071 ± 0.000 | 0.071 ± 0.000 | 0.142 ± 0.000 | 0.071 ± 0.000 | 0.071 ± 0.000 |
| E. coli ATCC 11303 | 0.018 ± 0.000 | 0.009 ± 0.000 | 0.204 ± 0.000 | 0.071 ± 0.000 | 0.142 ± 0.000 | 0.142 ± 0.000 | 0.213 ± 0.071 | 0.284 ± 0.000 | 0.852 ± 0.284 |
| E. coli ATCC 25922 | 0.036 ± 0.000 | 0.018 ± 0.000 | 0.204 ± 0.000 | 0.071 ± 0.000 | 0.142 ± 0.000 | 0.142 ± 0.000 | 0.284 ± 0.000 | 0.568 ± 0.000 | 1.136 ± 0.000 |
| S. Typhimurium DT120 | 0.036 ± 0.000 | 0.018 ± 0.000 | 0.409 ± 0.000 | 0.071 ± 0.000 | 0.142 ± 0.000 | 0.142 ± 0.000 | 0.284 ± 0.000 | 0.568 ± 0.000 | 0.568 ± 0.000 |
| S. Typhimurium U292 | 0.018 ± 0.000 | 0.009 ± 0.000 | 0.204 ± 0.000 | 0.071 ± 0.000 | 0.106 ± 0.035 | 0.142 ± 0.000 | 0.213 ± 0.071 | 0.426 ± 0.142 | 0.568 ± 0.000 |
| S. aureus DSM 102262 | 0.004 ± 0.000 | 0.002 ± 0.000 | 0.026 ± 0.000 | 0.071 ± 0.000 | 0.142 ± 0.000 | 0.142 ± 0.000 | 0.284 ± 0.000 | 0.426 ± 0.142 | 0.852 ± 0.284 |
| S. aureus DSM 25629 | 0.004 ± 0.000 | 0.002 ± 0.000 | 0.013 ± 0.000 | 0.142 ± 0.000 | 0.142 ± 0.000 | 0.142 ± 0.000 | 0.284 ± 0.000 | 0.568 ± 0.000 | 0.568 ± 0.000 |
| S. aureus S1 | 0.036 ± 0.000 | 0.009 ± 0.000 | 0.026 ± 0.000 | 0.156 ± 0.000 | 0.313 ± 0.000 | 0.156 ± 0.000 | 0.208 ± 0.074 | 0.568 ± 0.000 | 0.568 ± 0.000 |
| L.monocytogenes Scott A | 0.071 ± 0.000 | 0.018 ± 0.000 | 0.076 ± 0.025 | 0.071 ± 0.000 | 0.106 ± 0.035 | 0.142 ± 0.000 | 0.142 ± 0.000 | 0.426 ± 0.142 | 0.284 ± 0.000 |
| L.monocytogenes S1 | 0.071 ± 0.000 | 0.013 ± 0.005 | 0.102 ± 0.000 | 0.078 ± 0.000 | 0.156 ± 0.000 | 0.065 ± 0.018 | 0.130 ± 0.037 | 0.426 ± 0.142 | 0.568 ± 0.000 |
| L. innocua ATCC 33090 | 0.071 ± 0.000 | 0.036 ± 0.000 | 0.102 ± 0.000 | 0.284 ± 0.000 | 0.142 ± 0.000 | 0.142 ± 0.000 | 0.568 ± 0.000 | 0.284 ± 0.000 | 1.136 ± 0.000 |




4. Discussion
5. Conclusions
Author Contributions
Funding
Institutional Review Board Statement
Informed Consent Statement
Data Availability Statement
Acknowledgments
Conflicts of Interest
References
- FAO (Food and Agriculture Organization). Meat Market Review—2019 Outlook. FAO Meat Market Review. December 2019. pp. 1–13. Available online: https://www.fao.org/3/ca8819en/CA8819EN.pdf (accessed on 1 December 2022).
- Espinosa, R.; Tago, D.; Treich, N. Infectious Diseases and Meat Production. Environ. Resour. Econ. 2020, 76, 1019–1044. [Google Scholar] [CrossRef] [PubMed]
- EFSA (European Food Safety Authority). The European Union One Health 2019 Zoonoses Report. EFSA J. 2021, 19, e06406. [Google Scholar] [CrossRef]
- Ghssein, G.; Awada, R.; Salami, A.; Bahmad, H.F.; Awad, A.; Joumaa, W.H.; El Roz, A. Prevalence, Laboratory Findings and Clinical Characteristics of Campylobacteriosis Agents among Hospitalized Children with Acute Gastroenteritis in Lebanon. Pediatr. Gastroenterol. Hepatol. Nutr. 2021, 24, 346–356. [Google Scholar] [CrossRef] [PubMed]
- Kaakoush, N.O.; Castaño-Rodríguez, N.; Mitchell, H.M.; Man, S.M. Global Epidemiology of Campylobacter Infection. Clin. Microbiol. Rev. 2015, 28, 687–720. [Google Scholar] [CrossRef]
- Ibrahim, J.N.; Eghnatios, E.; El Roz, A.; Fardoun, T.; Ghssein, G. Prevalence, antimicrobial resistance and risk factors for campylobacteriosis in Lebanon. J. Infect. Dev. Ctries. 2019, 13, 11–20. [Google Scholar] [CrossRef]
- Kapperud, G.; Espeland, G.; Wahl, E.; Walde, A.; Herikstad, H.; Gustavsen, S.; Tveits, I.; Natås, O.; Bevanger, L.; Digranes, A. Factors associated with increased and decreased risk of Campylobacter infection: A prospective case-control study in Norway. Am. J. Epidemiol. 2003, 158, 234–242. [Google Scholar] [CrossRef]
- Koutsoumanis, K.; Allende, A.; Alvarez-Ordóñez, A.; Bolton, D.; Bover-Cid, S.; Davies, R.; de Cesare, A.; Herman, L.; Hilbert, F.; Lindqvist, R.; et al. Update and review of control options for Campylobacter in broilers at primary production. EFSA J. 2020, 18, e06090. [Google Scholar] [CrossRef]
- Hamid, H.; Zhao, L.H.; Ma, G.Y.; Li, W.X.; Shi, H.Q.; Zhang, J.Y.; Ji, C.; Ma, Q.G. Evaluation of the overall impact of antibiotics growth promoters on broiler health and productivity during the medication and withdrawal period. Poult. Sci. 2019, 98, 3685–3694. [Google Scholar] [CrossRef]
- Broom, L.J. The sub-inhibitory theory for antibiotic growth promoters. Poult. Sci. 2017, 96, 3104–3108. [Google Scholar] [CrossRef]
- Dibner, J.J.; Richards, J.D. Antibiotic growth promoters in agriculture: History and mode of action. Poult. Sci. 2005, 84, 634–643. [Google Scholar] [CrossRef]
- Doyle, M.P.; Erickson, M.C. Reducing the carriage of foodborne pathogens in livestock and poultry. Poult. Sci. 2006, 85, 960–973. [Google Scholar] [CrossRef]
- Economou, V.; Gousia, P. Agriculture and food animals as a source of antimicrobial-resistant bacteria. Infect. Drug Resist. 2015, 8, 49–61. [Google Scholar] [CrossRef]
- US Department of Health and Human Services (HHS); Centers for Disease Control and Prevention (CDC). Antibiotic Resistance Threats in the United States; Centers for Disease Control and Prevention: Atlanta, GA, USA, 2019; pp. 1–113. Available online: https://www.cdc.gov/drugresistance/biggest_threats.html (accessed on 1 December 2022).
- European Parliament and the Council of the European Union. Regulation (EC) No 1831/2003. Off. J. Eur. Union 2003, 4, 29–43. Available online: http://eur-lex.europa.eu/legal-content/PT/TXT/?uri=celex:32003R1831 (accessed on 1 December 2022).
- US Food and Drug Administration. Guidance for Industry #213 New Animal Drugs and New Animal Drug Combination Products Administered in or on Medicated Feed or Drinking Water of Food- Producing Animals: Recommendations for Drug Sponsors for Voluntarily Aligning Product Use Conditions with GFI #209; US Food and Drug Administration: Silver Spring, MD, USA, 2013; p. 18. Available online: https://www.fda.gov/media/83488/download (accessed on 1 December 2022).
- Tsiouris, V. Poultry management: A useful tool for the control of necrotic enteritis in poultry. Avian Pathol. 2016, 45, 323–325. [Google Scholar] [CrossRef]
- Abd El-Hack, M.E.; El-Saadony, M.T.; Salem, H.M.; El-Tahan, A.M.; Soliman, M.M.; Youssef, G.B.A.; Taha, A.E.; Soliman, S.M.; Ahmed, A.E.; El-Kott, A.F.; et al. Alternatives to Antibiotics for Organic Poultry Production: Types, Modes of Action and Impacts on Bird’s Health and Production. Poult. Sci. 2022, 101, 101696. [Google Scholar] [CrossRef]
- El-Saadony, M.T.; Salem, H.M.; El-Tahan, A.M.; Abd El-Mageed, T.A.; Soliman, S.M.; Khafaga, A.F.; Swelum, A.A.; Ahmed, A.E.; Alshammari, F.A.; Abd El-Hack, M.E. The Control of Poultry Salmonellosis Using Organic Agents: An Updated Overview. Poult. Sci. 2022, 101, 101716. [Google Scholar] [CrossRef]
- Papatsiros, V.P.G.; Billinis, C. The Prophylactic Use of Acidifiers as Antibacterial Agents in Swine. In Antimicrobial Agents; IntechOpen: London, UK, 2012. [Google Scholar] [CrossRef]
- Regulation (EC) No 183/2005 of the European Parliament and of the Council of 12 January 2005 laying down requirements for feed hygiene. Off. J. L 035 2022, 35, 1–22. Available online: http://data.europa.eu/eli/reg/2005/183/oj (accessed on 1 December 2022).
- Wang, Y.; Heng, C.; Zhou, X.; Cao, G.; Jiang, L.; Wang, J.; Li, K.; Wang, D.; Zhan, X. Supplemental Bacillus subtilis DSM 29784 and enzymes, alone or in combination, as alternatives for antibiotics to improve growth performance, digestive enzyme activity, anti-oxidative status, immune response and the intestinal barrier of broiler chickens. Br. J. Nutr. 2021, 125, 494–507. [Google Scholar] [CrossRef]
- Huyghebaert, G.; Ducatelle, R.; Van Immerseel, F. An update on alternatives to antimicrobial growth promoters for broilers. Vet. J. 2011, 187, 182–188. [Google Scholar] [CrossRef]
- Kim, Y.Y.; Kil, D.Y.; Oh, H.K.; Han, I.K. Acidifier as an alternative material to antibiotics in animal feed. Asian-Australa. J. Anim. Sci. 2005, 18, 1048–1060. [Google Scholar] [CrossRef]
- Giannenas, I. Organic acids in pig and poultry nutrition. J. Hell. Vet. Med. Soc. 2006, 57, 51–62. [Google Scholar] [CrossRef]
- Van Immerseel, F.; Russell, J.B.; Flythe, M.D.; Gantois, I.; Timbermont, L.; Pasmans, F.; Haesebrouck, F.; Ducatelle, R. The Use of Organic Acids to Combat Salmonella in Poultry: A Mechanistic Explanation of the Efficacy. Avian Pathol. 2006, 35, 182–188. [Google Scholar] [CrossRef] [PubMed]
- Gavriil, A.; Thanasoulia, A.; Skandamis, P.N. Sublethal concentrations of undissociated acetic acid may not always stimulate acid resistance in Salmonella enterica sub. enterica serovar Enteritidis Phage Type 4: Implications of challenge substrate associated factors. PLoS ONE 2020, 15, e0234999. [Google Scholar] [CrossRef] [PubMed]
- Melo, A.D.; Amaral, A.F.; Schaefer, G.; Luciano, F.B.; de Andrade, C.; Costa, L.B.; Rostagno, M.H. Antimicrobial effect against different bacterial strains and bacterial adaptation to essential oils used as feed additives. Can. J. Vet. Res. 2015, 79, 285–289. [Google Scholar] [PubMed]
- Maillard, J.Y. Resistance of Bacteria to Biocides. Microbiol. Spectr. 2018, 6, 2. [Google Scholar] [CrossRef]
- Alonso-Hernando, A.; Rosa, C.; Miguel, P.; Carlos, A.C. Adaptation and Cross-Adaptation of Listeria Monocytogenes and Salmonella Enterica to Poultry Decontaminants. J. Microbiol. 2009, 47, 142–146. [Google Scholar] [CrossRef]
- Knapp, L.; Amézquita, A.; McClure, P.; Stewart, S.; Maillard, J.Y. Development of a protocol for predicting bacterial resistance to microbicides. Appl. Environ. Microbiol. 2015, 81, 2652–2659. [Google Scholar] [CrossRef]
- Gómez-García, M.; Argüello, H.; Pérez-Pérez, L.; Vega, C.; Puente, H.; Mencía-Ares, Ó.; Rubio, P.; Carvajal, A. Combined in-vitro and on-farm evaluation of commercial disinfectants used against Brachyspira hyodysenteriae. Porc. Health Manag. 2022, 8, 3. [Google Scholar] [CrossRef]
- Geraldes, C.; Verdial, C.; Cunha, E.; Almeida, V.; Tavares, L.; Oliveira, M.; Gil, S. Evaluation of a Biocide Used in the Biological Isolation and Containment Unit of a Veterinary Teaching Hospital. Antibiotics 2021, 10, 639. [Google Scholar] [CrossRef]
- Drauch, V.; Ibesich, C.; Vogl, C.; Hess, M.; Hess, C. In-vitro testing of bacteriostatic and bactericidal efficacy of commercial disinfectants against Salmonella Infantis reveals substantial differences between products and bacterial strains. Int. J. Food Microbiol. 2020, 328, 108660. [Google Scholar] [CrossRef]
- Kovanda, L.; Zhang, W.; Wei, X.; Luo, J.; Wu, X.; Atwill, E.R.; Vaessen, S.; Li, X.; Liu, Y. In Vitro Antimicrobial Activities of Organic Acids and Their Derivatives on Several Species of Gram-Negative and Gram-Positive Bacteria. Molecules 2019, 24, 3770. [Google Scholar] [CrossRef]
- Shaheen, H.B.; Hiott, L.M.; Gupta, S.K.; Barrett, J.B.; Woodley, T.A.; Johnston, J.J.; Jackson, C.R.; Frye, J.G. An Assay for Determining the Susceptibility of Salmonella Isolates to Commercial and Household Biocides. PLoS ONE 2018, 13, e0209072. [Google Scholar] [CrossRef]
- Clinical and Laboratory Standards Institute (CLSI). M07-A10; Methods for Dilution Antimicrobial Susceptibility Tests for Bacteria That Grow Aerobically. Approved Standard, 10th ed.; Clinical and Laboratory Standards Institute: Wayne, PA, USA, 2015.
- Clinical and Laboratory Standards Institute (CLSI). M100-S28; Performance Standards for Antimicrobial Susceptibility Testing. Twenty-Eighth Informational Supplement. CLSI document; Clinical and Laboratory Standards Institute: Wayne, PA, USA, 2018.
- Stefani, L.M.; Neves, G.B.; Brisola, M.C.; Crecencio, R.B.; Pick, E.C.; Araujo, D.N. Salmonella Heidelberg Resistant to Ceftiofur and Disinfectants Routinely Used in Poultry. Ciências Agrárias 2018, 39, 1029. [Google Scholar] [CrossRef]
- Griffin, K.; Brown, P.; Gambley, C. Media pH and media type can significantly affect the reliability of in vitro copper tolerance assessments of Pseudomonas syringae pv. tomato. J. Appl. Microbiol. 2018, 125, 216–226. [Google Scholar] [CrossRef]
- Juven, B.J.; Pierson, M.D. Antibacterial Effects of Hydrogen Peroxide and Methods for Its Detection and Quantitation. J. Food Prot. 1996, 59, 1233–1241. [Google Scholar] [CrossRef]
- Clark, T.; Dean, B.; Watkins, S. Evaluation of Different Hydrogen Peroxide Products for Maintaining Adequate Sanitizing Residual in Water. Avian Advice 2009, 11, 12. Available online: https://poultry-science.uark.edu/_resources/pdf/avianadvice_spr09.pdf (accessed on 1 December 2022).
- EFSA Panel on Biological Hazards (BIOHAZ). Scientific Opinion on the Evaluation of the Safety and Efficacy of Peroxyacetic Acid Solutions for Reduction of Pathogens on Poultry Carcasses and Meat. EFSA J. 2014, 12, 3599. [Google Scholar] [CrossRef]
- Hancock, A.; Hughes, J.; Watkins, S. In Search of the Ideal Water Line Cleaner. Avian Advice 2007, 9, 1–4. Available online: https://poultry-science.uark.edu/_resources/pdf/avianadvice_sp07.pdf (accessed on 1 December 2022).
- Bauermeister, L.J.; Bowers, J.W.; Townsend, J.C.; McKee, S.R. Validating the Efficacy of Peracetic Acid Mixture as an Antimicrobial in Poultry Chillers. J. Food Prot. 2008, 71, 1119–1122. [Google Scholar] [CrossRef]
- Briñez, W.J.; Roig-Sagués, A.X.; Hernández Herrero, M.M.; López-Pedemonte, T.; Guamis, B. Bactericidal Efficacy of Peracetic Acid in Combination with Hydrogen Peroxide against Pathogenic and Non-Pathogenic Strains of Staphylococcus Spp., Listeria Spp. and Escherichia Coli. Food Control. 2006, 17, 516–521. [Google Scholar] [CrossRef]
- Alkawareek, M.Y.; Bahlool, A.; Abulateefeh, S.R.; Alkilany, A.M. Synergistic Antibacterial Activity of Silver Nanoparticles and Hydrogen Peroxide. PLoS ONE 2019, 14, e0220575. [Google Scholar] [CrossRef] [PubMed]
- Martin, N.L.; Bass, P.; Liss, S.N. Antibacterial Properties and Mechanism of Activity of a Novel Silver-Stabilized Hydrogen Peroxide. PLoS ONE 2015, 10, e0131345. [Google Scholar] [CrossRef] [PubMed]
- El-Gohary, F.A.; Abdel-Hafez, L.J.M.; Zakaria, A.I.; Shata, R.R.; Tahoun, A.; El-Mleeh, A.; Abo Elfadl, E.A.; Elmahallawy, E.K. Enhanced Antibacterial Activity of Silver Nanoparticles Combined with Hydrogen Peroxide against Multidrug-Resistant Pathogens Isolated from Dairy Farms and Beef Slaughterhouses in Egypt. Infect. Drug Resist. 2020, 13, 3485–3499. [Google Scholar] [CrossRef]
- EFSA Panel on Additives and Products or Substances used in Animal Feed (FEEDAP). Revision of the Currently Authorised Maximum Copper Content in Complete Feed. EFSA J. 2016, 14, e0456. [Google Scholar] [CrossRef]
- Gutiérrez-Martín, C.B.; Yubero, S.; Martínez, S.; Frandoloso, R.; Rodríguez-Ferri, E.F. Evaluation of Efficacy of Several Disinfectants against Campylobacter Jejuni Strains by a Suspension Test. Res. Vet. Sci. 2011, 91, e44–e47. [Google Scholar] [CrossRef]
- Moustafa, G.Z.; Anwer, W.; Amer, H.M.; EL-Sabagh, I.M.; Rezk, A.; Badawy, E.M. In Vitro Efficacy Comparisons of Disinfectants Used in the Commercial Poultry Farms. Int. J. Poult. Sci. 2009, 8, 237–241. [Google Scholar] [CrossRef]
- Chaveerach, P.; Keuzenkamp, D.A.; Urlings, H.A.; Lipman, L.J.; van Knapen, F. In vitro study on the effect of organic acids on Campylobacter jejuni/coli populations in mixtures of water and feed. Poult. Sci. 2002, 81, 621–628. [Google Scholar] [CrossRef]
- Ricke, S.C. Perspectives on the use of organic acids and short chain fatty acids as antimicrobials. Poult. Sci. 2003, 82, 632–639. [Google Scholar] [CrossRef]
- Mateus-Vargas, R.H.; Kemper, N.; Volkmann, N.; Kietzmann, M.; Meissner, J.; Schulz, J. Low-frequency electromagnetic fields as an alternative to sanitize water of drinking systems in poultry production? PLoS ONE 2019, 14, e0220302. [Google Scholar] [CrossRef]
- Zhang, Y.; Zhao, X.; Zhang, X.; Peng, S. A review of different drinking water treatments for natural organic matter removal. Water Sci. Technol. Water Supply 2015, 15, 442–455. [Google Scholar] [CrossRef]
- Ferronato, G.; Prandini, A. Dietary Supplementation of Inorganic, Organic, and Fatty Acids in Pig: A Review. Animals 2020, 10, 1740. [Google Scholar] [CrossRef]
- Jackman, J.A.; Yoon, B.K.; Li, D.; Cho, N.-J. Nanotechnology Formulations for Antibacterial Free Fatty Acids and Monoglycerides. Molecules 2016, 21, 305. [Google Scholar] [CrossRef]
- Yoon, B.K.; Jackman, J.A.; Valle-González, E.R.; Cho, N.-J. Antibacterial Free Fatty Acids and Monoglycerides: Biological Activities, Experimental Testing, and Therapeutic Applications. Int. J. Mol. Sci. 2018, 19, 1114. [Google Scholar] [CrossRef]
- Preston, A.; Mandrell, R.E.; Gibson, B.W.; Apicella, M.A. The Lipooligosaccharides of Pathogenic Gram-Negative Bacteria. Crit. Rev. Microbiol. 1996, 22, 139–180. [Google Scholar] [CrossRef]
- Lallemand, E.A.; Lacroix, M.Z.; Toutain, P.L.; Boullier, S.; Ferran, A.A.; Bousquet-Melou, A. In vitro Degradation of Antimicrobials during Use of Broth Microdilution Method Can Increase the Measured Minimal Inhibitory and Minimal Bactericidal Concentrations. Front. Microbiol. 2016, 7, 2051. [Google Scholar] [CrossRef]
- Khan, S.; Beattie, T.K.; Knapp, C.W. The use of minimum selectable concentrations (MSCs) for determining the selection of antimicrobial resistant bacteria. Ecotoxicology 2017, 26, 283–292. [Google Scholar] [CrossRef]
- Pearlin, B.V.; Muthuvel, S.; Govidasamy, P.; Villavan, M.; Alagawany, M.; Ragab Farag, M.; Dhama, K.; Gopi, M. Role of acidifiers in livestock nutrition and health: A review. J. Anim. Physiol. Anim. Nutr. 2020, 104, 558–569. [Google Scholar] [CrossRef]

| PC | Tested Product | Form | Active Ingredients (% Concentration) | r. Dose 1 |
|---|---|---|---|---|
| Water Disinfectants | Cid 2000™ | Liquid | Hydrogen peroxide (15–30%), peracetic acid (5–15%), acetic acid (5–15%) | 0.040% |
| Aqua-clean® | Liquid | Hydrogen peroxide (25–50%), complexed silver | 0.025% | |
| Virkon® S | Solid | Pentapotassium bis (peroxymonosulphate) bis (sulphate) (25–50%), sodium dodecylbenzene sulfonate (10–25%), butanedioic acid (≤10%), sulphamic acid (≤5%), potassium hydrogen sulphate (≤5%), sodium chloride (≤5%), dipotassium peroxodisulphate (≤5%), dipotassium disulphate (≤5%), dipentene (<1%) | 0.100% | |
| Water Acidifiers | Agrocid Super™Oligo | Liquid | Formic acid (35–50%), propionic acid (15–30%), lactic acid (5–15%), citric acid monohydrate (1–5%), zinc chloride (0.1–1%), dicopper chloride trihydroxide (0.1–1%), sodium chloride, glucose syrup, E6-zinc = 2500 mg/kg, sorbic acid | 0.050% |
| Premium Acid | Liquid | Formic acid (29%), propionic acid (7.5%), lactic acid (9.2%), acetic acid (2.5%), sorbic acid (0.2%), oligofructose syrup (1%), copper sulphate pentahydrate (0.5%), sodium chloride (0.1%), zinc chelate of glycine hydrated (0.1%) | 0.200% | |
| Ultimate acid | Liquid | Formic acid (28%), ammonium formate (7.5%), acetic acid (4.5%), propionic acid (4.5%), copper chelate of glycine hydrated (3.8%), lactic acid (3.6%), zinc chelate of glycine hydrated (3.5%), sorbic acid (0.24%), monosodium phosphate dihydrate (0.034%), sodium chloride (0.034%) | 0.200% | |
| Water glycerides blends | CFC Floramix | Liquid | Mono- and diglycerides of fatty acids (30%), formic acid (18%), propionic acid (9%), glycerine (7%), lactic acid (3.2%), polyethylene glycol glyceryl ricinoleate (3%), oligofructose sirup (1.5%), sorbic acid (0.3%), citric acid monohydrate (0.15%), acetic acid (0.12%) | 0.150% |
| FRA® LAC34 | Liquid | Lactic acid, glycerides of propionic and butyric acid | 0.300% | |
| FRA® Gut Balance | Liquid | Glycerides of propionic, butyric, caprylic and capric acid | 0.300% |
| Species | Strain Designation | Gram Stain | Strain Type |
|---|---|---|---|
| Campylobacter jejuni | - | G- | wild |
| Campylobacter jejuni | - | G- | wild |
| Campylobacter coli | - | G- | wild |
| Escherichia coli | ATCC 11303 | G- | reference |
| Escherichia coli | ATCC 25922 | G- | reference |
| Salmonella Typhimurium | DT 120 | G- | reference |
| Salmonella Typhimurium | U292 | G- | reference |
| Staphylococcus aureus | DSM 102262 | G+ | reference |
| Staphylococcus aureus | DSM 25629 | G+ | reference |
| Staphylococcus aureus | - | G+ | wild |
| Listeria monocytogenes | Scott A | G+ | reference |
| Listeria innocua | ATCC 33090 | G+ | reference |
| Listeria monocytogenes | - | G+ | wild |
Disclaimer/Publisher’s Note: The statements, opinions and data contained in all publications are solely those of the individual author(s) and contributor(s) and not of MDPI and/or the editor(s). MDPI and/or the editor(s) disclaim responsibility for any injury to people or property resulting from any ideas, methods, instructions or products referred to in the content. |
© 2023 by the authors. Licensee MDPI, Basel, Switzerland. This article is an open access article distributed under the terms and conditions of the Creative Commons Attribution (CC BY) license (https://creativecommons.org/licenses/by/4.0/).
Share and Cite
Mantzios, T.; Tsiouris, V.; Kiskinis, K.; Economou, V.; Petridou, E.; Tsitsos, A.; Patsias, A.; Apostolou, I.; Papadopoulos, G.A.; Giannenas, I.; et al. In Vitro Investigation of the Antibacterial Activity of Nine Commercial Water Disinfectants, Acidifiers, and Glyceride Blends against the Most Important Poultry Zoonotic Bacteria. Pathogens 2023, 12, 381. https://doi.org/10.3390/pathogens12030381
Mantzios T, Tsiouris V, Kiskinis K, Economou V, Petridou E, Tsitsos A, Patsias A, Apostolou I, Papadopoulos GA, Giannenas I, et al. In Vitro Investigation of the Antibacterial Activity of Nine Commercial Water Disinfectants, Acidifiers, and Glyceride Blends against the Most Important Poultry Zoonotic Bacteria. Pathogens. 2023; 12(3):381. https://doi.org/10.3390/pathogens12030381
Chicago/Turabian StyleMantzios, Tilemachos, Vasilios Tsiouris, Konstantinos Kiskinis, Vangelis Economou, Evanthia Petridou, Anestis Tsitsos, Apostolos Patsias, Ioanna Apostolou, Georgios A. Papadopoulos, Ilias Giannenas, and et al. 2023. "In Vitro Investigation of the Antibacterial Activity of Nine Commercial Water Disinfectants, Acidifiers, and Glyceride Blends against the Most Important Poultry Zoonotic Bacteria" Pathogens 12, no. 3: 381. https://doi.org/10.3390/pathogens12030381
APA StyleMantzios, T., Tsiouris, V., Kiskinis, K., Economou, V., Petridou, E., Tsitsos, A., Patsias, A., Apostolou, I., Papadopoulos, G. A., Giannenas, I., & Fortomaris, P. (2023). In Vitro Investigation of the Antibacterial Activity of Nine Commercial Water Disinfectants, Acidifiers, and Glyceride Blends against the Most Important Poultry Zoonotic Bacteria. Pathogens, 12(3), 381. https://doi.org/10.3390/pathogens12030381

