Thermo-Mechanical Performance of Sustainable Lightweight Sandwich Panels Utilizing Ultra-High-Performance Fiber-Reinforced Concrete
Abstract
1. Introduction
2. Experimental Program
2.1. Material Properties
2.2. Concrete Mixes’ Preparation
2.3. Properties of UHPFRC and CLC
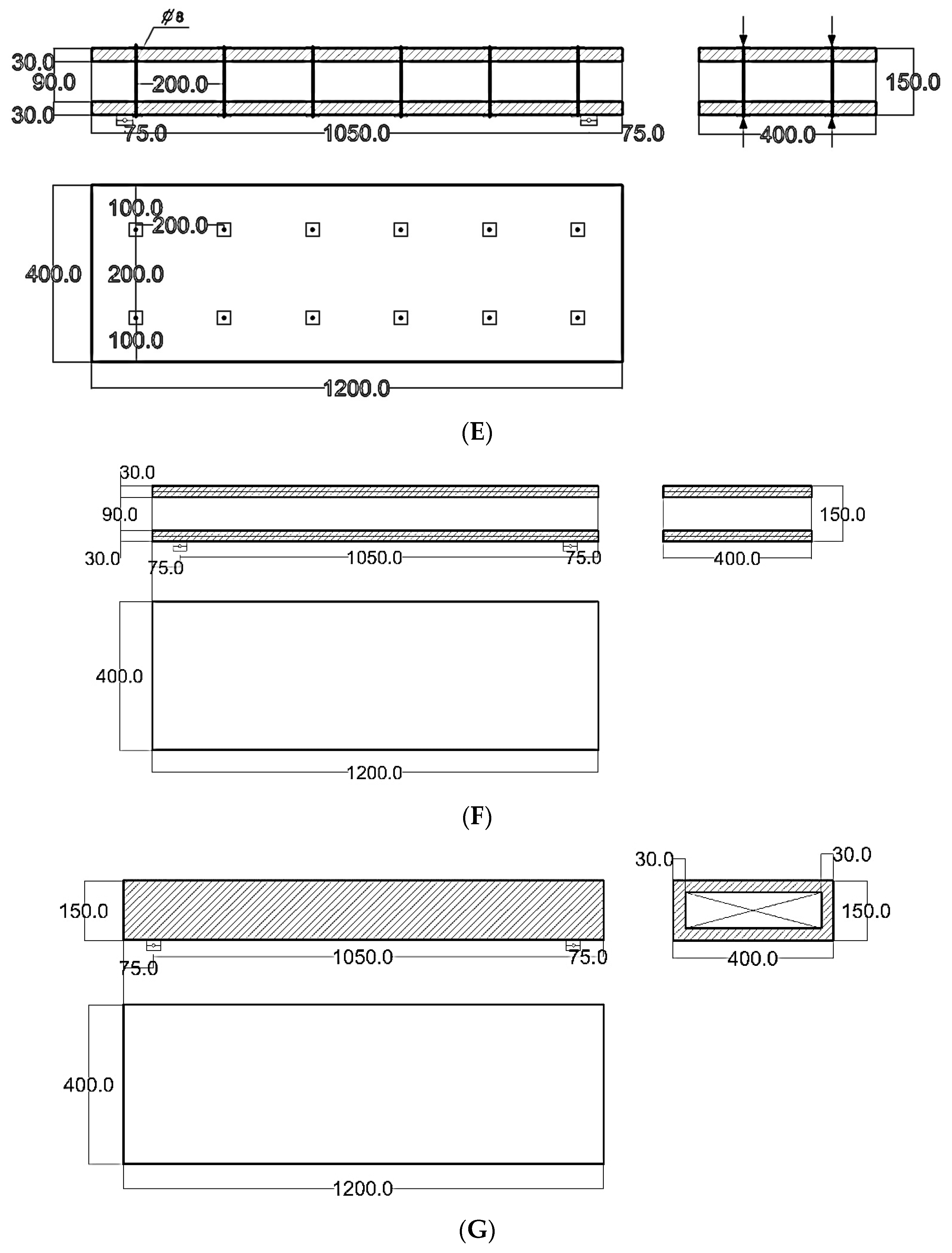
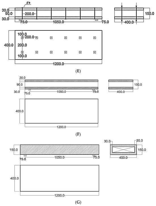
2.4. Sandwich Panel Specimen’s Preparation
2.5. Test Setup and Instrumentation
2.6. Thermal Properties
2.6.1. Thermal Properties of the Used Materials
2.6.2. Thermal Properties of PSC
3. Test Results and Discussion
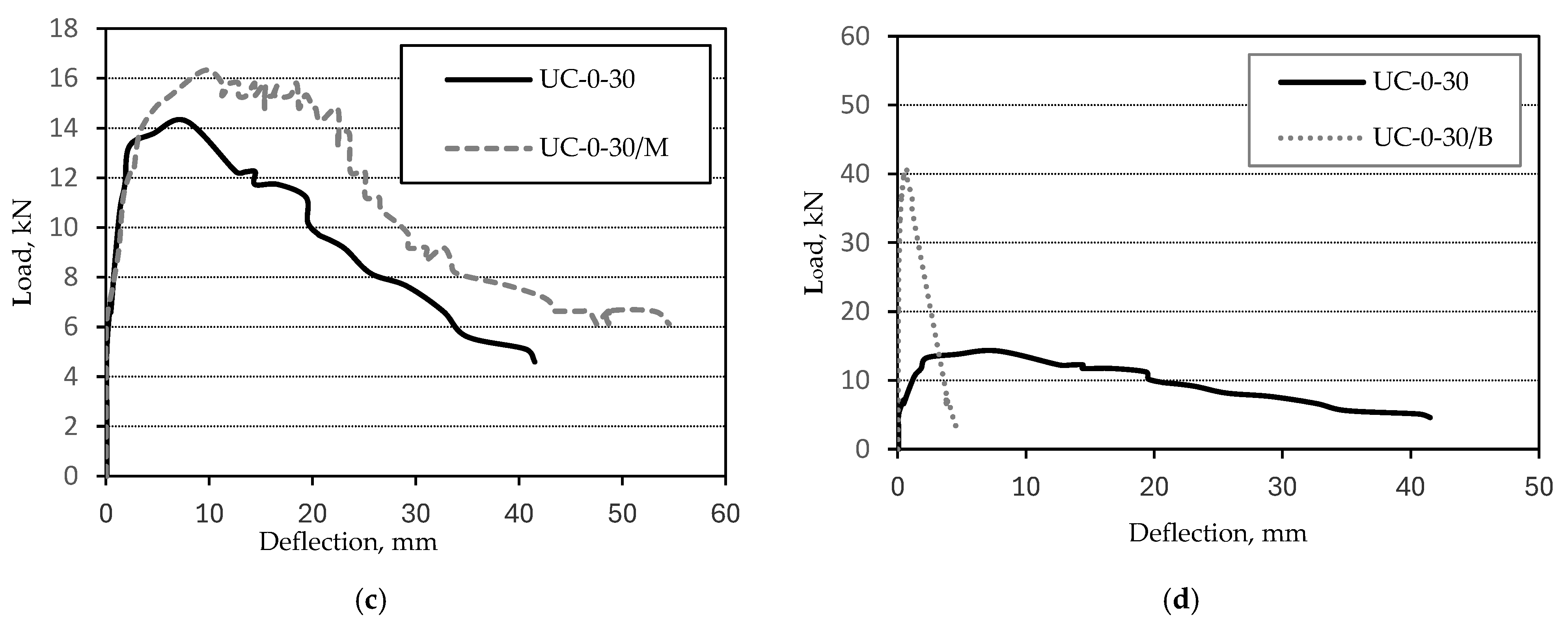
3.1. Load–Deflection Behavior
3.2. Serviceability Load
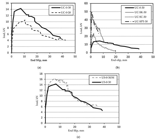
3.3. Load–End Slip Responses
3.4. Energy Absorption
3.5. Ductility Ratio
3.6. Load–Strain Responses
3.7. Degree of Composite Action
3.8. Crack Behavior and Failure Modes
3.9. Thermal Properties of UHPFRC and CLC Specimens
4. Estimation of the Thermal Properties of Composite Sandwich Sections
- (a)
- Heat flowing through the two UHPFRC wythes and the CLC layer;
- (b)
- Heat passing through the shear connector.
- (a)
- The panels were subjected to uniform temperatures both inside and outside;
- (b)
- Heat transfer occurred solely in one direction perpendicular to the surface of the panel;
- (c)
- The panel exhibited a uniform and constant temperature throughout the experiment;
- (d)
- The UHPFRC and CLC layers had a consistent nominal thickness and thermal resistance;
- (e)
- The impact of moisture can be disregarded.
Verification of One-Dimensional Model Using the Hot-Box Test
5. Conclusions
- –
- Increasing the thickness of UHPFRC results in a slight increase in flexural loading capacity, but performance is remarkably enhanced with shear connectors.
- –
- Using shear connectors enhanced the flexural performance of the tested panels. Moreover, the enhancements in flexural load capacity were 252%, 214%, and 67% compared to the control sample without shear connectors for post-tension steel shear connectors, shear keys, and steel shear connectors.
- –
- The flexural performances were evaluated using the composite action ratio, which revealed that the post-tension steel shear connectors technique achieved the best composite action ratio of 68.8%.
- –
- Designing the composite sandwich section with post-tension steel shear connectors and shear keys provided better flexural performance compared with the box section, considering the ultimate capacity as well as the mode of failure, which was more brittle in the case of the box section.
- –
- UHPFRC showed higher thermal conductivity values compared with CLC, which supports building up composite sections to produce sustainable constructions. The thermal conductivity was 2.515 W/mK and 0.326 W/mK for UHPFRC and CLC, respectively.
- –
- One-dimensional heat transfer models can be utilized to accurately estimate thermal conductivity values of composite panels with and without shear connectors.
- –
- Using steel bars as shear connectors resulted in an increase in thermal conductivity compared with shear keys, offering support for shear key method in the manufacturing of sandwich panels.
- –
- The thermo-mechanical factor was introduced to evaluate both the mechanical and thermal performance of the composite panels. Implementing post-tension steel bars as shear connectors showed the best thermo-mechanical performance with the best mode of failure.
- –
- Further investigations are recommended to explore factors affecting sandwich panel performance, such as using geopolymer concrete or alkali-activated ultra-high-performance (UHP) concrete for sustainable outer layers, implementing post-tension glass fiber bars as shear connectors, and studying the long-term deflection of these panels. These research efforts could significantly enhance the efficiency and sustainability of sandwich panel technology.
Author Contributions
Funding
Data Availability Statement
Conflicts of Interest
References
- Huang, J.Q.; Dai, J.G. Flexural performance of precast geopolymer concrete sandwich panel enabled by FRP connector. Compos. Struct. 2020, 248, 112563. [Google Scholar] [CrossRef]
- Kulpa, M.; Siwowski, T. Stiffness and strength evaluation of a novel FRP sandwich panel for bridge redecking. Compos. Part B Eng. 2019, 167, 207–220. [Google Scholar] [CrossRef]
- Keller, T. Material-Tailored Use of FRP Composites in Bridge and Building Construction. In Proceedings of the CIAS International Seminar 2007, Nicosia, Cyprus, 23–26 April 2007. [Google Scholar]
- Bush, T.D.; Stine, G.L. Flexural behavior of composite precast concrete sandwich panels with continuous truss connectors. PCI J. 1994, 39, 112–121. [Google Scholar] [CrossRef]
- Mugahed, A.Y.; Rashid, R.S.; Hejazi, F.; Abang, A.A.; Safiee, N.A.; Bida, S.M. Structural performance of precast foamed concrete sandwich panel subjected to axial load. KSCE J. Civ. Eng. 2018, 22, 1179–1192. [Google Scholar] [CrossRef]
- Mohamed, M.; Anandan, S.; Huo, Z.; Birman, V.; Volz, J.; Chandrashekhara, K. Manufacturing and characterization of polyurethane based sandwich composite structures. Compos. Struct. 2015, 123, 169–179. [Google Scholar] [CrossRef]
- Norris, T.G.; Chen, A. Development of insulated FRP-confined precast concrete sandwich panel with side and top confining plates and dry bond. Compos. Struct. 2016, 152, 444–454. [Google Scholar] [CrossRef]
- Mahdi, S.; Ali, M.M.; Sheikh, A.; Elchalakani, M.; Xie, T. An investigation into the feasibility of normal and fibre-reinforced ultra-high performance concrete multi-cell and composite sandwich panels. J. Build. Eng. 2021, 41, 102728. [Google Scholar] [CrossRef]
- Sobuz, H.R.; Oehlers, D.J.; Visintin, P.; Hasan, N.M.; Hoque, M.I.; Akid, A.S. Flow and strength characteristics of ultra-high performance fiber reinforced concrete: Influence of fiber type and volume-fraction. J. Civ. Eng. Constr. 2017, 6, 15–21. [Google Scholar]
- Visintin, P.; Ali, M.M.; Xie, T.; Sturm, A. Experimental investigation of moment redistribution in ultra-high-performance fibre reinforced concrete beams. Constr. Build. Mater. 2018, 166, 433–444. [Google Scholar] [CrossRef]
- Xie, T.; Fang, C.; Ali, M.M.; Visintin, P. Characterizations of autogenous and drying shrinkage of ultra-high performance concrete (UHPC): An experimental study. Cem. Concr. Compos. 2018, 91, 156–173. [Google Scholar] [CrossRef]
- Wang, D.; Shi, C.; Wu, Z.; Xiao, J.; Huang, Z.; Fang, Z. A review on ultra high performance concrete: Part II. Hydration, microstructure and properties. Constr. Build. Mater. 2015, 96, 368–377. [Google Scholar] [CrossRef]
- Graybeal, B.A. Material Property Characterization of Ultra-High Performance Concrete; Office of Infrastructure, United States Federal Highway Administration: Washington, DC, USA, 2006. [Google Scholar]
- Graybeal, B.A. Ultra-High Performance Concrete Composite Connections for Precast Concrete Bridge Decks; Office of Infrastructure, United States Federal Highway Administration: Washington, DC, USA, 2012. [Google Scholar]
- Graybeal, B.A. Tensile mechanical response of ultra-high-performance concrete. Adv. Civ. Eng. Mater. 2015, 4, 62–74. [Google Scholar] [CrossRef]
- Sobuz, H.; Visintin, P.; Ali, M.M.; Singh, M.; Griffith, M.; Sheikh, A. Manufacturing ultra-high performance concrete utilising conventional materials and production methods. Constr. Build. Mater. 2016, 111, 251–261. [Google Scholar] [CrossRef]
- Kravanja, G.; Mumtaz, A.R.; Kravanja, S. A Comprehensive review of the advances, manufacturing, properties, innovations, environmental impact and applications of ultra-high-performance concrete (UHPC). Buildings 2024, 14, 382. [Google Scholar] [CrossRef]
- Sturm, A.; Visintin, P.; Oehlers, D.; Seracino, R. Time-dependent tension-stiffening mechanics of fiber-reinforced and ultra-high-performance fiber-reinforced concrete. J. Struct. Eng. 2018, 144, 04018122. [Google Scholar] [CrossRef]
- Yoo, D.Y.; Yoon, Y.S. A review on structural behavior, design, and application of ultra-high-performance fiber-reinforced concrete. Int. J. Concr. Struct. Mater. 2016, 10, 125–142. [Google Scholar] [CrossRef]
- Habel, K.; Viviani, M.; Denarié, E.; Brühwiler, E. Development of the mechanical properties of an ultra-high performance fiber reinforced concrete (UHPFRC). Cem. Concr. Res. 2006, 36, 1362–1370. [Google Scholar] [CrossRef]
- Yoo, D.Y.; Banthia, N. Mechanical properties of ultra-high-performance fiber-reinforced concrete: A review. Cem. Concr. Compos. 2016, 73, 267–280. [Google Scholar] [CrossRef]
- Buttignol, T.E.T.; Sousa, J.; Bittencourt, T. Ultra high-performance fiber-reinforced concrete (UHPFRC): A review of material properties and design procedures. Rev. IBRACON Estrut. Mater. 2017, 10, 957–971. [Google Scholar] [CrossRef]
- Wu, Z.; Shi, C.; He, W.; Wu, L. Effects of steel fiber content and shape on mechanical properties of ultra high performance concrete. Constr. Build. Mater. 2016, 103, 8–14. [Google Scholar] [CrossRef]
- Hannawi, K.; Bian, H.; Prince-Agbodjan, W.; Raghavan, B. Effect of different types of fibers on the microstructure and the mechanical behavior of ultra-high performance fiber-reinforced concretes. Compos. Part B Eng. 2016, 86, 214–220. [Google Scholar] [CrossRef]
- Jin, Y.; Wang, X.; Huang, W.; Li, X.; Ma, Q. Mechanical and durability properties of hybrid natural fibre reinforced roadbed foamed concrete. Constr. Build. Mater. 2023, 409, 134008. [Google Scholar] [CrossRef]
- Ramamurthy, K.; Nambiar, E.K.; Ranjani, G.I.S. A classification of studies on properties of foam concrete. Cem. Concr. Compos. 2009, 31, 388–396. [Google Scholar] [CrossRef]
- Mastali, M.; Valente, I.; Barros, J.A. Flexural performance of innovative hybrid sandwich panels with special focus on the shear connection behavior. Compos. Struct. 2017, 160, 100–117. [Google Scholar] [CrossRef]
- Raj, A.; Sathyan, D.; Mini, K. Physical and functional characteristics of foam concrete: A review. Constr. Build. Mater. 2019, 221, 787–799. [Google Scholar] [CrossRef]
- Ge, Z.; Yuan, H.; Sun, R.; Zhang, H.; Wang, W.; Qi, H. Use of green calcium sulphoaluminate cement to prepare foamed concrete for road embankment: A feasibility study. Constr. Build. Mater. 2020, 237, 117791. [Google Scholar] [CrossRef]
- Prabha, P.; Palani, G.; Lakshmanan, N.; Senthil, R. Flexural behaviour of steel-foam concrete composite light-weight panels. J. Civ. Eng. 2018, 22, 3534–3545. [Google Scholar] [CrossRef]
- Shaheen, Y.B.; Eid, F.M.; Dayer, M.A.S. Developing of Light Weight Ferrocement Composite Plates. In Proceedings of the Tenth Alexandria International Conference on Structural, Geotechnical Engineering and Management (AICSGE-10), Alexandria, Egypt, 17–19 December 2019. [Google Scholar]
- Sylaj, V.; Fam, A.; Hachborn, M.; Burak, R. Flexural response of double-wythe insulated ultra-high-performance concrete panels with low to moderate composite action. PCI J. 2020, 65, 24–40. [Google Scholar] [CrossRef]
- Morcous, G.; Kodsy, A.; El-Khier, M.A. Flexural behavior of composite ultrahigh-performance concrete sandwich wall panels. J. Archit. Eng. 2024, 30, 04024007. [Google Scholar] [CrossRef]
- Li, X.; Zhang, W.; Zhang, C.; Liu, J.; Li, L.; Wang, S. Flexural behavior of GFRP and steel bars reinforced lightweight ultra-high performance fiber-reinforced concrete beams with various reinforcement ratios. Structures 2024, 70, 107897. [Google Scholar] [CrossRef]
- Bashir, M.T.; Kahn, A.B.; Khan, M.H.; Rasheed, K.; Saad, S.; Farid, F. Evaluating the implementation of green building material in the construction sector of developing nations. J. Hum. Earth Future 2024, 5, 28–40. [Google Scholar] [CrossRef]
- Abdul Rahman, S.S.; Satyanarayanan, K.S. Experimental and numerical simulation of effects of high temperature on RC frame infilled with sandwich panel. Civ. Eng. J. 2024, 10, 280–298. [Google Scholar] [CrossRef]
- Kazemi, F.; Shafighfard, T.; Jankowski, R.; Yoo, D. Active learning on stacked machine learning techniques for predicting compressive strength of alkali-activated ultra-high-performance concrete. Arch. Civ. Mech. Eng. 2025, 25, 24. [Google Scholar] [CrossRef]
- Woltman, G.; Noel, M.; Fam, A. Experimental and numerical investigations of thermal properties of insulated concrete sandwich panels with fiberglass shear connectors. Energy Build. 2017, 145, 22–31. [Google Scholar] [CrossRef]
- Zhai, X.; Wang, Y.; Wang, X. Thermal performance of precast concrete sandwich walls with a novel hybrid connector. Energy Build. 2018, 166, 109–121. [Google Scholar] [CrossRef]
- O’Hegarty, R.; Reilly, A.; West, R.; Kinnane, O. Thermal investigation of thin precast concrete sandwich panels. J. Build. Eng. 2020, 27, 100937. [Google Scholar] [CrossRef]
- Yu, S.; Liu, Y.; Wang, D.; Bahaj, A.S.; Wu, Y.; Liu, J. Review of thermal and environmental performance of prefabricated buildings: Implications to emission reductions in China. Renew. Sustain. Energy Rev. 2021, 137, 110472. [Google Scholar] [CrossRef]
- BS EN 197-1:2011; Cement—Part 1: Composition, specifications and conformity criteria for common cements. British Standard Institute: London, UK, 2019; p. 56.
- ASTM C1240-20; Standard Specification for Silica Fume Used in Cementitious Mixtures. American Society of Testing Materials: West Conshohocken, PA, USA, 2020; Volume 04.01, p. 7. Available online: https://www.astm.org/c1240-20.html (accessed on 10 January 2025).
- ASTM C494/ C494M-24; Standard Specification for Chemical Admixtures for Concrete. American Society of Testing Materials: West Conshohocken, PA, USA, 2024; Volume 0.4.02. Available online: https://www.astm.org/c0494_c0494m-17.html (accessed on 10 January 2025).
- EN 14889-1:2006; Fibres for Concrete. Steel Fibres—Definitions, Specifications and Conformity. European Standards: Brussels, Belgium, 2006.
- ISO 6935-1/2007; Steel for the Reinforcement of Concrete—Part 1: Plain Bars. International Organization for Standardization: Geneva, Switzerland, 2007.
- ASTM A370-24a; Standard Test Methods and Definitions for Mechanical Testing of Steel Products. American Society of Testing Materials: West Conshohocken, PA, USA, 2024. Available online: https://www.astm.org/standards/a370 (accessed on 10 January 2025).
- Ghazy, M.F.; Abd-Elaty, M.A.; Sakr, M.; Arafa, E. Mechanical Properties of Ultra-High-Performance Concrete Affected by Fiber Type. In Proceedings of the International Conference on Advances in Structural and Geotechnical Engineering, Hurghada, Egypt, 6–9 March 2023. [Google Scholar]
- ASTM C1856/C1856M-17; Standard Practice for Fabricating and Testing Specimens of Ultra-High Performance Concrete. American Society of Testing Materials: West Conshohocken, PA, USA, 2017.
- Bing, C.; Zhen, W.; Ning, L. Experimental research on properties of high-strength foamed concrete. J. Mater. Civ. Eng. 2012, 24, 113–118. [Google Scholar] [CrossRef]
- EN, B. 12390-3; Testing Hardened Concrete—Part 3: Compressive Strength of Test Specimens. British Standards Institution: London, UK, 2009; p. 22.
- RILEM Technical Committee. Test methods and design of textile reinforced concrete: Uniaxial tensile test: Test method to determine the load bearing behavior of tensile specimens made of textile reinforced concrete. Mater. Struct. 2016, 49, 4923–4927. [Google Scholar] [CrossRef]
- El-Khoriby, R.S.; Taher, S.E.; Ghazy, M.F.; Abd-Elaty, M.A. Performance of pre-cracked beams exposed to corrosion environment cast with ultra-high-performance concrete. Ain Shams Eng. J. 2023, 14, 102171. [Google Scholar] [CrossRef]
- EN, B. 12390-5; Testing Hardened Concrete—Part 5: Flexural Strength of Test Specimens. British Standards Institution: London, UK, 2009; p. 22.
- BS 1881-114; Methods for Determination of Density of Hardened Concrete. Institution BS: London, UK, 1983.
- Pavlović, M.; Marković, Z.; Veljković, M.; Buđevac, D. Bolted shear connectors vs. headed studs behaviour in push-out tests. J. Constr. Steel Res. 2013, 88, 134–149. [Google Scholar] [CrossRef]
- Asadi, I.; Shafigh, P.; Hassan, Z.; Mahyuddin, N.B. Thermal conductivity of concrete—A review. J. Build. Eng. 2018, 20, 81–93. [Google Scholar] [CrossRef]
- Zheng, Q.; Kaur, S.; Dames, C.; Prasher, R.S. Analysis and improvement of the hot disk transient plane source method for low thermal conductivity materials. Int. J. Heat Mass Transf. 2020, 151, 119331. [Google Scholar] [CrossRef]
- ISO 22007-2:2022; Plastics—Determination of thermal conductivity and thermal diffusivity, Part 2: Transient plane heat source (hot disc) method. International Organization for Standardization: Geneva, Switzerland, 2022.
- ASTM C1363-24; Standard Test Method for Thermal Performance of Building Materials and Envelope Assemblies by Means of a Hot Box Apparatus. American Society of Testing Materials: West Conshohocken, PA, USA, 2024. [CrossRef]
- Mostafa, A. Numerical analysis on the effect of shear keys pitch on the shear performance of foamed sandwich panels. Eng. Struct. 2015, 101, 216–232. [Google Scholar] [CrossRef]
- Ahmad, A.; Singh, Y. Flexural behavior of expanded polystyrene core reinforced concrete sandwich panels with different construction methods and end conditions. Structures 2021, 34, 2900–2911. [Google Scholar] [CrossRef]
- Joseph, J.D.R.; Prabakar, J.; Alagusundaramoorthy, P. Experimental study on the flexural behavior of insulated concrete sandwich panels with wires as shear connectors. Alex. Eng. J. 2019, 58, 901–908. [Google Scholar] [CrossRef]
- Shaaban, I.G.; Shaheen, Y.B.; Elsayed, E.L.; Kamal, O.A.; Adesina, P.A. Flexural behaviour and theoretical prediction of lightweight ferrocement composite beams. Case Stud. Constr. Mater. 2018, 9, E00204. [Google Scholar] [CrossRef]
- Benayoune, A.; Samad, A.A.; Trikha, D.; Ali, A.A.; Ellinna, S. Flexural behaviour of pre-cast concrete sandwich composite panel–experimental and theoretical investigations. Constr. Build. Mater. 2008, 22, 580–592. [Google Scholar] [CrossRef]
- Abd-Elaty, M.A.; Ghazy, M.F.; Khalifa, O.H. Mechanical and impact properties of fibrous rubberized geopolymer concrete. Mansoura Eng. J. 2023, 48, 5. [Google Scholar] [CrossRef]
- Bian, Y.; Liu, Y. In-plane shear performance and damage evolution of FRP connectors for composite sandwich panels. Eng. Struct. 2024, 314, 118326. [Google Scholar] [CrossRef]
- Shaheen, Y.B.; Eltehawy, E.A. Structural behaviour of ferrocement channels slabs for low cost housing. Chall. J. Concr. Res. Lett. 2017, 8, 48–64. [Google Scholar] [CrossRef]
- Thamrin, R.; Zaidir, Z.; Iwanda, D. Ductility estimation for flexural concrete beams longitudinally reinforced with hybrid FRP–steel bars. Polymers 2022, 14, 1017. [Google Scholar] [CrossRef] [PubMed]
- Seeber, K. PCI Committee on Precast Concrete Sandwich Wall Panels. State of the art of precast/prestresses sandwich wall panels. PCI J. 1997, 42, 92–133. [Google Scholar]
- ACI 544.4R-18; Guide to Design with Fiber-Reinforced Concrete. American Concrete Institute: Farmington Hills, MI, USA, 2018.
- Mahdi, S.; Sheikh, A.; Ali, M.M.; Elchalakani, M. Experimental investigation into the structural behaviour of ultra-high-performance fibre-reinforced concrete box-celled composite panels. Compos. Part C 2022, 9, 100329. [Google Scholar] [CrossRef]
- Zhang, Y.; Lei, Q.; Zhao, W.; Yang, Y.; Wang, Y.; Yan, Z. An improved micromechanical model for the thermal conductivity of multi-scale fiber reinforced ultra-high performance concrete under high temperatures. Mater. Des. 2023, 236, 112503. [Google Scholar] [CrossRef]
- Suryanita, R.; Firzal, Y.; Maizir, H.; Mustafa, I.; Arsh, M.F.B. Experimental study on performance of cellular lightweight concrete due to exposure high temperature. GEOMATE J. 2012, 21, 20–27. [Google Scholar] [CrossRef]
- Yu, S.; Liu, Y.; Wang, D.; Ma, C.; Liu, J. Theoretical, experimental and numerical study on the influence of connectors on the thermal performance of precast concrete sandwich walls. J. Build. Eng. 2022, 57, 104886. [Google Scholar] [CrossRef]
- Lee, B.J.; Pessiki, S. Thermal performance evaluation of precast concrete three-wythe sandwich wall panels. Energy Build. 2006, 38, 1006–1014. [Google Scholar] [CrossRef]




















| Cementitious Materials | |||||||
| Type | Specific Area (cm2/g) | Color | Initial Setting (min) | Final Setting (min) | Specific Gravity | ||
| Cement * + | 3250 | Dark gray | 90 | 315 | 3.15 | ||
| Silica fume * | 150,000 | Light gray | - | - | 2.22 | ||
| Fibers (as given by supplier) | |||||||
| Type | Diameter (mm) | Length (mm) | Density (g/cm3) | Tensile strength (Mpa) | Modulus of elasticity (Gpa) | Shape | Appearance |
| MSF * | 0.2 | 20 and 13 | 7.9 | 2850 | 200 | Hooked ends | Brass-coated |
| PP + | 0.018 | 12 | 0.91 | 400 | 5 | Straight | Natural |
| Foam Agent + (as given by supplier) | |||||||
| Appearance | Wet density g/cm3 | Foam stability minutes | pH | ||||
| Liquid dark brown, without foreign impurities | 1.07 | 60 | 7–7.2. | ||||
| Shear Connector and Welded Steel Mesh | |||||||
| Type | Dimension size (mm) | Weight (g/cm2) | Yield strength (Mpa) | Ultimate strength (Mpa) | Proof strain (mm/mm) | Ultimate strain (mm/mm) | |
| Shear connector * | ϕ8 | - | 254 | 365 | 1.2 × 10−3 | 2 × 10−3 | |
| Welded steel mesh *(as given by supplier) | 1.25 × 1.25 × 1 | 0.43 | 400 | 600 | 1.17 × 10−3 | 58 × 10−3 | |
| UHPFRC | ||||||
| Cement | Micro Silica Fume | Sand | Quartz | Water/Binder | SP | MSF |
| 1 | 0.176 | 1.18 | 0.3 | 0.165 | 0.047 | 2% vol. |
| CLC | ||||||
| Cement | Quartz | PPF | Water/Cement | Foam Agent | ||
| 1 | 0.525 | 0.1% vol. | 0.55 | 2 kg per 1 m3 | ||
| Type | Bulk Density g/cm3 | Compressive Strength (Mpa) | Direct Tensile Strength (Mpa) | Flexural Strength (Mpa) |
|---|---|---|---|---|
| UHPFC | 2.515 | 123.1 | 6.75 | 21.23 |
| CLC | 0.6 | 2.45 | 0.225 | 0.95 |
| Panel ID | Cross-Section (mm) | Effective Span (mm) | UHPFRC Thickness (mm) | CLC Thickness (mm) | Welded Mesh | Shear Connector Type |
|---|---|---|---|---|---|---|
| UC-0-20 | 150 × 400 | 1050 | 20 | 110 | N/A | N/A |
| UC-0-30 | 150 × 400 | 1050 | 30 | 90 | N/A | N/A |
| UC-SK-30 | 150 × 400 | 1050 | 30 | 90 | N/A | Shear key |
| UC-SC-30 | 150 × 400 | 1050 | 30 | 90 | N/A | Steel bars (D = 8@200 mm) |
| UC-SPT-30 | 150 × 400 | 1050 | 30 | 90 | N/A | Post-tension steel bars (D = 8 mm, strain ɛ = 600 µm) |
| UC-0-30/M | 150 × 400 | 1050 | 30 | 90 | One layer | N/A |
| U-0-30/B | 150 × 400 | 1050 | 30 | N/A | N/A | N/A |
| Panel ID | Weight (kg) | PC (kN) | Pu (kN) | Ps (kN) | Δi (mm) | Δu (mm) | Max End Slip (mm) | Energy Absorption (kN mm) | µd | Mode of Failure |
|---|---|---|---|---|---|---|---|---|---|---|
| UC-0-20 | 101 | 5.28 | 10.56 | 8.68 | 0.66 | 10.18 | 42.3 | 274 | 15.4 | Layer separation |
| UC-0-30 | 113 | 6.63 | 14.28 | 13.76 | 0.47 | 7.79 | 38.7 | 592 | 16.55 | Layer separation |
| UC-SK-30 | 120 | 18.87 | 44.88 | 41.31 | 0.15 | 2.8 | 12.75 | 957 | 17.95 | Flexural |
| UC-SC-30 | 115 | 16.32 | 23.97 | 18.87 | 0.17 | 2.94 | 19.85 | 625 | 17.26 | Flexural |
| UC-SPT-30 | 118 | 27.48 | 50.4 | 45.57 | 0.14 | 2.87 | 6.85 | 895 | 20.5 | Flexural |
| UC-0-30/M | 116 | 7.65 | 16.32 | 13.77 | 0.53 | 9.54 | 35.5 | 605 | 18.0 | Layer separation |
| U-0-30/B | 95 | 25.4 | 40.8 | 8.16 | 0.31 | 0.69 | - | 96 | 2.2 | Shear |
| ID | Thermal Conductivity (W/mK) | Thermal Diffusivity (mm2/s) | Specific Heat (MJ/m3 K) |
|---|---|---|---|
| UHPFRC | 2.515 | 1.18 | 2.13 |
| CLC | 0.326 | 0.33 | 0.56 |
| Panel ID | Shear Connector | Thermal Resistance (m2 K/W) | Thermal Conductivity (W/mK) | Load Capacity (kN) | * Thermo-Mechanical Performance |
|---|---|---|---|---|---|
| UC-0-20 | N/A | 0.35 | 0.42 | 10.56 | 25.1 |
| UC-0-30 | N/A | 0.3 | 0.5 | 14.28 | 28.52 |
| UC-SK-30 | Shear key | 0.27 | 0.55 | 44.88 | 89.8 |
| UC-SC-30 | Steel bar | 0.26 | 0.57 | 23.97 | 42 |
| UC-SPT-30 | Steel bar | 0.27 | 0.55 | 50.4 | 91.6 |
| UC-0-30/M | N/A | 0.29 | 0.51 | 16.32 | 32 |
| U-0-30/B | N/A | 0.36 | 0.4 | 40.8 | 102 |
Disclaimer/Publisher’s Note: The statements, opinions and data contained in all publications are solely those of the individual author(s) and contributor(s) and not of MDPI and/or the editor(s). MDPI and/or the editor(s) disclaim responsibility for any injury to people or property resulting from any ideas, methods, instructions or products referred to in the content. |
© 2025 by the authors. Licensee MDPI, Basel, Switzerland. This article is an open access article distributed under the terms and conditions of the Creative Commons Attribution (CC BY) license (https://creativecommons.org/licenses/by/4.0/).
Share and Cite
Ghazy, M.F.; Abd Elaty, M.a.a.; Sakr, M.A.E.; Arafa, E.M. Thermo-Mechanical Performance of Sustainable Lightweight Sandwich Panels Utilizing Ultra-High-Performance Fiber-Reinforced Concrete. Buildings 2025, 15, 593. https://doi.org/10.3390/buildings15040593
Ghazy MF, Abd Elaty Maa, Sakr MAE, Arafa EM. Thermo-Mechanical Performance of Sustainable Lightweight Sandwich Panels Utilizing Ultra-High-Performance Fiber-Reinforced Concrete. Buildings. 2025; 15(4):593. https://doi.org/10.3390/buildings15040593
Chicago/Turabian StyleGhazy, Mariam Farouk, Metwally abd allah Abd Elaty, Mohamed Abd Elkhalek Sakr, and Eslam Mohamed Arafa. 2025. "Thermo-Mechanical Performance of Sustainable Lightweight Sandwich Panels Utilizing Ultra-High-Performance Fiber-Reinforced Concrete" Buildings 15, no. 4: 593. https://doi.org/10.3390/buildings15040593
APA StyleGhazy, M. F., Abd Elaty, M. a. a., Sakr, M. A. E., & Arafa, E. M. (2025). Thermo-Mechanical Performance of Sustainable Lightweight Sandwich Panels Utilizing Ultra-High-Performance Fiber-Reinforced Concrete. Buildings, 15(4), 593. https://doi.org/10.3390/buildings15040593
