Next Article in Journal
Evaluating Housing Quality, Energy Performance, Indoor Environment, and User Satisfaction in Renovated Locked-In Owner-Occupied Homes in Belgium
Next Article in Special Issue
Experimental Study on Flexural Behavior of Retard-Bonded Prestressed UHPC Beams with Different Reinforcement Ratios
Previous Article in Journal
Advancements in Fiber-Reinforced Polymer (FRP) Retrofitting Techniques for Seismic Resilience of Reinforced Concrete Structures
Previous Article in Special Issue
Flexural Response of UHPC Wet Joints Subjected to Vibration Load: Experimental and Theoretical Investigation
 
 
Font Type:
Arial Georgia Verdana
Font Size:
Aa Aa Aa
Line Spacing:
Column Width:
Background:
Article

Flexural Performance of RC Beams Strengthened with High-Strength Steel Wire Mesh and UHPC

1
Chongqing Design Group Co., Ltd., Chongqing 400015, China
2
State Key Laboratory of Mountain Bridge and Tunnel Engineering, Chongqing Jiaotong University, Chongqing 400074, China
3
School of Civil Engineering, Chongqing Jiaotong University, Chongqing 400074, China
4
Guizhou Provincial Transportation Planning Survey and Design Institute Co., Ltd., Guiyang 550081, China
*
Author to whom correspondence should be addressed.
Buildings 2025, 15(4), 589; https://doi.org/10.3390/buildings15040589
Submission received: 25 December 2024 / Revised: 30 January 2025 / Accepted: 12 February 2025 / Published: 14 February 2025

Abstract

This study proposes a strengthening technique comprising a combination of high-strength steel wire mesh and ultra-high performance concrete (UHPC) to address the challenge of the insufficient bearing capacity of existing structures. The tensile performance of high-strength wire mesh and the crack resistance of UHPC were comprehensively considered in this technique. To evaluate the influence of the steel fiber volume ratio and the high-strength steel mesh strengthening ratio on the axial tensile performance, uniaxial tensile tests were carried out on two sets of dumbbell-shaped specimens. A constitutive model of the wire mesh UHPC that matched the experimental results was established. The finite element analysis of RC beams strengthened with high-strength wire mesh and UHPC was carried out, based on this constitutive model. The experimental results indicated the following: (a) The crack resistance and ultimate strength of the specimen reinforced with the high-strength steel wire mesh were effectively enhanced, with enhancement ratios of 97.8% and 124.8%, respectively. (b) The embedded interactions between the steel wire mesh and UHPC were simulated by considering the material nonlinearity. The finite element modeling of RC beams strengthened with wire mesh UHPC was achieved. (c) Positive correlations were observed between the thickness of the UHPC layer, the steel fiber volume ratio, and the high-strength wire mesh layer with the flexural capacity of the strengthened beams. The cracking and ultimate moments were maximally enhanced by 96.2% and 99.4%, respectively.

1. Introduction

Reinforced concrete (RC) structures were damaged by loads, environmental erosion, and other factors during service, which inevitably led to structural performance degradation. The normal utilization of the structure could be affected, posing potential safety hazards [1]. UHPC, as a new type of cementitious composite material [2], offers significant advantages in terms of durability, elastic modulus, and tensile and compressive strength [3,4]. The high density and low porosity of UHPC also provided it with a higher anti-deterioration ability [5,6], which makes it an ideal choice for strengthening existing concrete structures [7,8].
The application of UHPC in RC beam strengthening achieved both the light weight and high efficiency of the strengthened structure, i.e., the ultimate tensile strength far exceeded that of ordinary concrete (NC), making the strengthened structure thinner and lighter [9]. Scholars have carried out considerable research on the flexural performance of RC beams strengthened by employing the characteristics of UHPC [10]. Wei J et al. [11] conducted tests on the impact resistance of RC with UHPC-jacketed RC beams and concluded that the strengthening effect of UHPC was excellent. Zhang et al. [12] observed that the pre-damage of RC beams was negatively correlated with the cracking and flexural capacity of the UHPC layer. Ke, L. [13] and Nadir, W. [14] found that UHPC strengthening could inhibit the generation and development of cracks. Meanwhile, the bearing capacity and durability of the components could be improved. Dhafer Mirdan et al. [15] demonstrated that the application of a UHPC layer on the tensile side of RC beams significantly enhanced their flexural stiffness (by 20–132%) and effectively delayed the initiation of cracks. Yoo, D. Y. et al. [16] firmly bonded the UHPFRC strengthening layer to the RC beam. The experiment showed that even with a relatively thin UHPFRC layer, the flexural stiffness and load-carrying capacity of the component can be effectively improved. In addition, other scholars [17] conducted numerical simulation experiments using finite element software to research the flexural performance of RC beams strengthened with UHPC. All the experiments indicated that the flexural capacity of the strengthened RC beams was significantly enhanced. Yu et al. [18] established a multi-scale analysis method to simulate the mechanical behavior of the NC–UHPC interface. The results indicated that the interface roughness and the strength of the concrete substrate have a positive effect on the mechanical properties of the interface. Krishna et al. [19] determined the tensile and compressive behavior of UHPC. A numerical model was established to simulate the behavior of UHPC.
The strengthening effect of high-strength steel wire mesh on the mortar matrix has been demonstrated. The strengthening layer composed of high-strength steel wire mesh and mortar can effectively improve the extreme bearing capacity and stiffness of the RC beam. Paschalis et al. [20] used a steel mesh cement wrapping to increase the load-bearing capacity of columns. Compared to NC columns, the bearing capacity of fiber-reinforced steel mesh cement mortar restraint columns was increased by 51%. Shafieifar et al. [21] effectively improved the deformability and ductility of concrete specimens by adding new composite materials composed of high-strength steel rings, wire mesh, and modified high-strength mortar. Zhao et al. [22] investigated the influence of mesh type, wrapping method, and loading on the performance of RC square columns. The results indicated that the strength of columns reinforced with high-strength steel wire mesh mortar was significantly improved. Moreover, UHPC itself exhibits extremely high durability. Through the synergistic effect with high-strength steel wire mesh, it can not only improve the bearing capacity and overall stiffness of the structure but also delay the aging and damage process caused by the external environment. This greatly improves the durability and long-term service performance of the structure and provides a reliable guarantee for structural strengthening in complex environments [23]. Especially under high loads or extreme conditions, it can effectively reduce the safety risks caused by structural failure. In practical engineering, the propagation speed and depth of structural cracks directly impact its durability and safety. By increasing the strengthening ratio of high-strength steel wire mesh, crack propagation can be effectively delayed, ensuring that the structure maintains stable mechanical performance over a long period.
In summary, studies on RC structures strengthened with high-strength steel wire mesh and UHPC are scarce. The failure modes of RC beams strengthened with thin layers of high-strength steel mesh UHPC, as well as the impact of parameters such as strengthening layer thickness and steel fiber volume on their flexural capacity, remain unknown. Corresponding calculation methods are still lacking. In this study, the axial tensile mechanical behavior characteristics of high-strength steel mesh UHPC materials were explored through theoretical analysis, model tests, and finite element numerical analysis. The influence of various parameter changes on the ultimate bearing capacity and deflection of the strengthened beams was analyzed. The flexural mechanical performance of RC beams strengthened with high-strength steel wire mesh UHPC was investigated.

2. Experimental Program

2.1. Design of Axial Tension Specimen

A dumbbell-shaped uniaxial tensile specimen was designed with a cross-sectional width and thickness of 40 mm and 30 mm, respectively. The inclination angle of 75.26° on the side of the end was set to facilitate the use of the fixture. The high-strength steel wire mesh is installed in the middle of the specimens. The detailed dimensions are shown in Figure 1.
A total of 21 dumbbell-shaped uniaxial tensile specimens in seven categories were designed and divided into two groups (see Table 1). The experimental parameters included the thickness of the UHPC layer, the steel fiber volume, and the strengthening ratio of the high-strength steel wire mesh. The detailed specimen configuration is shown in Table 1. In the first group (SU-1~3), the thickness of the specimen was 30 mm. There was no high-strength steel wire mesh layer, and only the steel fiber volume was different. The second group (SU-4~7) included four combinations of different steel fiber volumes and strengthening ratios of the high-strength steel mesh.

2.2. Test Material

2.2.1. UHPC

The mix proportions of UHPC are shown in Table 2. Referring to GB/T 31387-2015 [24], three types of UHPC compressive strength standard cube specimens, with dimensions of 100 mm × 100 mm × 100 mm and different volume fractions of steel fiber volume, were produced. After curing for 28 days, the compressive strengths of the UHPC were measured. The test results are shown in Table 3.

2.2.2. High-Strength Steel Wire Mesh

The high-strength steel wire mesh utilized in this study was fabricated by welding cold-drawn low-carbon steel wires with a diameter of 2 mm, forming a mesh with a 15 mm opening size. Six 20 cm long steel wire specimens were removed from the high-strength steel wire mesh and tested for their uniaxial tensile properties, according to GB 1499.2-2018 [25]. The results are shown in Table 4.

2.3. Loading Scheme

The experiment was loaded using an MTS mechanical universal testing machine. To avoid cracking at the variable cross-section of the specimen, the steel sheets were bonded with epoxy resin adhesive to enhance the strength and stiffness at the variable cross-section. Before testing, two shallow marks were made 25 mm from the mid-span on both sides of the specimen. The blades of the extensometer were then clamped into these shallow marks, and the extensometer was fixed onto the specimen using a stretched rubber band. The test was performed under displacement-controlled loading. Initially, a pre-load of 0.5 kN was applied to securely clamp the specimen at both ends, followed by continuous loading at a rate of 0.05 mm/min. The loading procedure and measurement setup are illustrated in Figure 2.

3. Analysis and Discussion of Results

3.1. Failure Mode

The SU-1~SU-3 specimens were not stiffened with high-strength steel wire mesh. The only difference among these groups was in the volume fraction of the steel fibers, denoted as υ f . The specimens were damaged by over-extension of the primary crack, with significant steel fiber pullout observed following damage. The SU-1 group specimens were mainly damaged by excessive extension of the primary crack. Due to the low steel fiber dosage, the specimens could not effectively limit the crack extension after cracking, which led to the damage of the specimens under lower strains. The specimens of group SU-2 were able to bridge the steel fibers at the primary crack to limit the extension of the crack during the loading process, but they were still damaged because of the extension of the primary crack. The specimens of group SU-3 included a higher steel fiber dosage. When the specimens were subjected to tensile loading, they were able to effectively resist the formation and extension of cracks at the initial stage. With the increase in load, although the primary cracks started to appear, the numerous steel fibers played an effective bridging role between the cracked surfaces and prevented the further extension of the cracks. This bridging effect enabled the specimens to maintain a high level of structural integrity before reaching the ultimate load capacity. Notably, the primary cracks were not always located at the mid-span position, as shown in Figure 3.
Compared to the pure UHPC specimens, the specimens strengthened with high-strength steel wire mesh exhibited significantly lower propagation rates of the primary cracks during the strain-softening stage. The relative slip between the high-strength wire mesh and UHPC matrix was not observed. However, the phenomenon of the early pull-off of the high-tensile steel wire mesh occurred in groups SU-5 and SU-7 during the strain-softening stage. This resulted in a stress–strain curve characterized by a stepwise rather than a smooth decrease in the softening phase. The failure modes of the specimens are illustrated in Figure 4.

3.2. Stress–Strain Curve

The stress–strain curves of the pure UHPC specimens are shown in Figure 5. The fiber-reinforced concrete can be classified into strain-hardening and strain-softening materials in terms of their axial tensile constitutive relationship [26]. It can be seen from the stress–strain curves that UHPC materials in this test were strain-hardening materials; however, the degree of hardening of the materials varied with different steel fiber volumes.
The stress–strain curves in the SU-1 group (Figure 5a) increased linearly during the initial loading stage. A continuous increase in strain, with almost no change in stress, was observed after the elastic limit was reached, exhibiting an inconspicuous strain-hardening behavior. This phenomenon is attributed to the fact that the steel fiber volume is only 1%, and the limited number of steel fibers cannot effectively restrain the crack development after the specimen cracks. The curves entered the softening stage once the ultimate stress was reached. However, some specimens displayed noticeable elastic unloading behavior due to the primary crack occurring outside the gauge measurement range. The significant strain-hardening behavior was observed in the SU-2 group (Figure 5b). After reaching the elastic limit, the slope of the curve decreased significantly; however, the stress still increased with increasing strain until the ultimate stress was reached. Notably, the stress–strain curves of specimens SU-2(1) and SU-2(2) are very similar, demonstrating good consistency. Besides, the stress–strain curve for specimen SU-2(3) continued to rise after the elastic limit but exhibited elastic unloading once the ultimate strength was reached. This behavior is attributed to the primary crack of specimen SU-2(3) being located outside the gauge measurement range, despite the presence of micro-cracks within the gauge distance of the indenter. A similar phenomenon was observed in specimens SU-3(1) and SU-3(3).
To summarize, not all portions of UHPC entered the strain-hardening stage after reaching the elastic limit under axial tensile force. The uncracked portion remained linearly elastic, even as the stress reached the strain-hardening stage. The appearance of microcracks, however, caused plastic deformation throughout the material, resulting in the slope of the stress–strain curve decreasing in the strain-hardening stage. After UHPC reaches its ultimate tensile stress, the further propagation of the main crack causes the material to exhibit strain-softening behavior. The gradual decrease in stresses carried by the material, however, resulted in the retraction of other micro-cracks, with elastic unloading behavior in other parts (except for the primary cracks).
The stress–strain curves of the second group of specimens are shown in Figure 6. The SU-5 specimen group contained only two specimens with test data because of improper demolding. The specimens with the primary crack located outside the electronic indenter scale exhibited similar characteristics to those of the SU-1~SU-3 specimens. Specifically, the tested section continued to rise, with an approximately elastic slope, after reaching the material’s elastic limit and entered the elastic unloading stage after reaching the ultimate strength. Comparing Figure 5a with Figure 6a reveals that the stiffening effect of the high-strength steel mesh effectively enhances the cracking stress and initial cracking stress of the specimen, while significantly increasing the ultimate strain. This results in a more gradual strengthening segment in the stress–strain curve of the specimen, making it closer to the stress–strain curve of low-strain-hardening materials. It can be observed that the enhancement of the axial tensile performance of the specimens by the increase in the high-strength wire mesh layer was relatively limited. However, the slope of the strain-hardening stage of the SU-5 specimen was significantly increased compared to that of the SU-4 specimen. This indicated that while increasing the enhancement ratio of high-tensile steel wire mesh could not substantially improve the axial tensile performance, it effectively improved its axial stiffness during the strain-hardening stage.
The strain-hardening stage of the SU-6 and SU-7 specimens existed in two stages with different slopes, both of which included horizontal segments before they reached their ultimate strengths. Combined with the observation of the experimental process, it is observed that the better synergistic effect of both the steel fibers and the high-strength steel wire mesh was produced in the SU-6 and SU-7 specimens with the higher steel fiber content. It is noteworthy that the high-tensile steel wire mesh itself consisted of bright round steel wires. During specimen cracking, there was no effective bonding between the steel wire surface and the UHPC matrix at the cracks, which led to partial bond slip. The stress–strain curves of some specimens thus showed a smoother strain-hardening stage. However, the interlocking force of the high-strength steel mesh grid can effectively prevent further slippage of the steel wires, leading to a redistribution of internal forces between the steel fibers and the steel wires at the crack, resulting in a synergistic load-bearing effect and the increased axial stiffness of the specimen. Compared to specimen SU-6, specimen SU-7 exhibits stronger synergy between the high-strength steel mesh and the steel fibers after cracking due to the higher strengthening ratio of the high-strength steel mesh, making the slippage of steel wires less noticeable.

3.3. Characteristic Parameters

The relevant characteristic parameters in Figure 5 are summarized in Table 5 and Figure 7. A positive correlation between steel fiber volume and initial cracking stress–strain, ultimate stress, and strain of pure UHPC specimens was observed. The average ultimate stress and strain of the SU-2 specimens increased by 52.1% and 147.3%, respectively, compared with those of the SU-1 specimens. The average ultimate stress and strain of the SU-3 specimens increased by 28.5% and 43.6%, respectively, compared with those of the SU-2 specimens. The average cracking stress and strain of the SU-3 specimens increased by 45.9% and 36.0%, respectively, compared with those of the SU-2 specimens. However, the cracking stress and strain of the SU-1 specimens were higher than those of the SU-2 specimens. This is attributed to the fact that the SU-1 specimens already showed microcracks before reaching the strain-hardening stage. Meanwhile, the primary crack of the SU-2 specimen was not within the marked range, and its cracking load was not captured in a timely manner.
The relevant characteristic parameters in Figure 6 are summarized in Table 6 and Figure 8. It can be seen that the steel fiber volume significantly influenced the initial cracking stress of the specimens. The average initial cracking stress of the SU-6 and SU-7 specimens, with 3% steel fiber volume, increased by 32.4% and 22.0%, respectively, compared with that of the SU-4 and SU-5 specimens. The corresponding initial cracking stresses also increased significantly. The initial cracking stress of the SU-6 and SU-7 specimens with different enhancement ratios of high-strength wire mesh differed by only 13.3%. The ultimate stresses of the specimens were positively correlated with both the steel fiber admixture and the high-strength wire mesh enhancement ratio as the ultimate strength was reached. In particular, the average ultimate strength of the SU-7 group reached 15.15 MPa, which was more than twice that of the pure UHPC specimens.

4. Strain-Hardened Tensile Constitutive Model

Based on the analysis of the test results presented in Section 3, the UHPC used in this test exhibited three stages as the stress level increased during axial tension.
(I)
Elastic stage: The specimen was uncracked.
(II)
Strain-hardening stage: The primary crack developed. The steel fibers at the crack, however, were still effective in bridging the forces, with a further rise in stress and a rapid increase in strain.
(III)
Strain-softening stage: The primary crack extended rapidly once the ultimate strength was reached, and the stress decreased.
These characteristics of the stress–strain curve were close to those of the constitutive relationship of typical UHPC strain-hardening proposed by Wille [26], as shown in Figure 9.
In the chart, the stress and strain of high-strength steel mesh UHPC at the limit of the elastic stage are denoted into σ c c and ε c c , respectively. The stress and strain at the limit of the variable strain-hardening stage are denoted as σ p c and ε p c , respectively.
In order to simplify the analysis and capture the primary behavior of the material prior to reaching ultimate strength, a two-stage UHPC axial tensile constitutive model containing an elastic segment and strain-hardening stage model was established, according to the methodology described in the literature [26].
As shown in Figure 9, the parameters that determine the two-stage axial tensile constitutive model for UHPC included the stress and strain at cracking, as well as the ultimate stress and strain. In stage I, the UHPC has not yet cracked, and the steel fibers and UHPC matrix work synergistically within the material. Therefore, the cross-section can achieve load equilibrium, as follows:
E c c ε c c A c c = E u ε u A u + E s ε s A s
A s = υ f × A c c
where E c c and A c c are the modulus of elasticity and the cross-sectional area, respectively, when UHPC reaches the elastic limit. E u , ε u , and ε u are the modulus of elasticity, the strain, and the cross-sectional area of the UHPC matrix, respectively. E s , ε s , and A s are the elastic modulus, the strain, and the cross-sectional equivalent area of the steel fibers, respectively.
Given that when uncracked, ε c c = ε u = ε s , A c c = A u + A s , we can obtain the following:
E c c = ( 1 υ f ) E u + υ f E s
The elastic modulus of the steel fibers is 210 GPa, while the elastic modulus of the UHPC is approximately equal to its elastic modulus under compression [5]. Its compressive elastic modulus can be directly adopted. However, since no test on the elastic modulus of UHPC had been previously conducted, an approximate formula for calculating the elastic modulus, proposed in the literature [5], was used here, as follows:
E u = k 0 × f c c 1 / 3
where k 0 is the conversion factor; f c c is the compressive strength of UHPC.
The stage I constitutive model of UHPC can be determined only by determining any of the parameters σ c c and ε c c . The existing literature showed that the elastic limit strength ( σ c c ) of UHPC under axial tension was related to the tensile strength ( σ c t ), the volume fraction of the steel fiber ( υ f ), and the slenderness ratio of the steel fiber ( l / d f ). The relationship is expressed as follows:
σ c c = σ c t + α υ f l d f
where α is the effect coefficient of the fiber. The elastic ultimate strength ( σ c t ) is the arithmetic average of the cracking strength of UHPC when υ f = 0%.
Since the parameters σ c c and ε c c had been confirmed, the stage II model of the UHPC strain-hardening constitutive model can be determined by further determining the parameters σ p c and ε p c . During the strain-hardening stage, UHPC cracks appeared and entered the multiple cracking stage. After the UHPC cracked under tension, the uncracked portion did not completely enter the plastic stage, and its stress–strain curve continued to rise in an approximately elastic state. The extension of microcracks is the main reason for the decrease in the slope of the curve. As the steel fiber volume increased, the width of all microcracks in the tested section would increase, while the crack extension rate would decrease. If only the influence of the parameter υ f was considered, the stress–strain slope of stage II and its linear fitting functions σ p c and υ f can be established based on the test results. The stage II constitutive model of UHPC could be established.
In summary, the following constitutive relationship model can be established:
σ = E u + E s E u υ f ε 0 ε < ε c c σ = σ c t + α υ f l d f + β υ f ε ε c c ε c c ε ε p c
where σ is the UHPC axial tensile stress; ε is the UHPC axial tensile strain; β is the strain-hardening fitting factor. The ε c c and ε p c are calculated using the following formula:
ε c c = σ c t + α υ f l d f E u + E s E u υ f
ε p c = ε c c + γ υ f l d f
where γ is the fitting factor of the UHPC ultimate stress.
According to the results of this test, the parameters in the model are as follows:
Bringing the parameters in Table 7 into Equation (6), the constitutive relationship model was calculated as follows:
σ = 6.95 × 10 3 1 υ f f c c 1 / 3 + 2.1 × 10 5 υ f ε 0 ε < ε c c σ = 3.01 + 50.7 υ f + 3.2 × 10 4 υ f ε ε c c ε c c ε ε p c
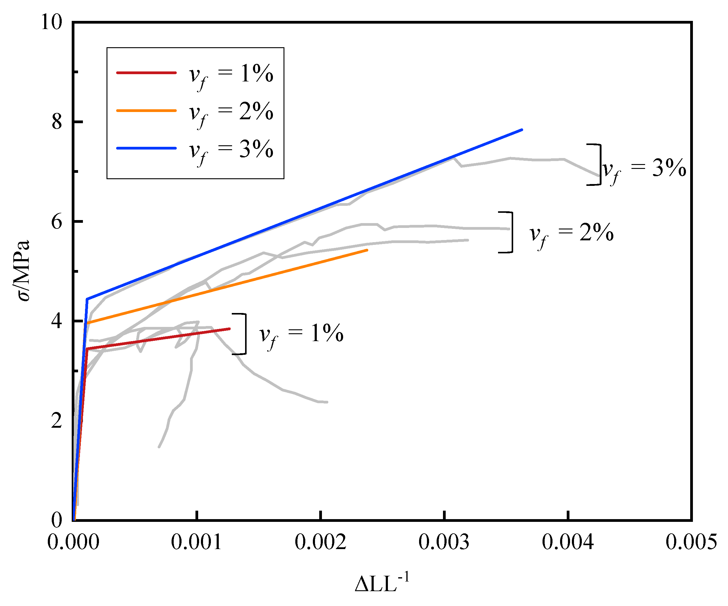
By incorporating the steel fiber volume fraction υ f into Equation (9), the constitutive relationship model of UHPC under different steel fiber volumes could be calculated. These calculated results were compared to the experimental results in Figure 10.
A good simulation effect of the constitutive relationship model, with υ f = 1% and υ f = 3%, could be observed in Figure 10. However, since the cracking stress of the SU-2 group was generally lower, even lower than that of the SU-1 group, the simulation effect of the constitutive relationship model with υ f = 2% was relatively inferior to that of the other two groups.

5. Finite Element Analysis

5.1. Simulation of High-Strength Steel Wire Mesh UHPC Axial Tension Specimens

5.1.1. Analytical Methods

In this section, the finite element software ABAQUS/Standard 2022 was employed to replicate the experiments conducted in Section 3 to obtain an effective simulation method for high-strength steel wire mesh UHPC. Based on this, the finite element simulation of the RC beam strengthened with a thin layer of high-strength steel mesh UHPC was carried out. The relationship between the flexural performance of the strengthened beams and the thickness of the high-strength steel wire mesh UHPC layer, steel fiber volume, and high-strength steel wire mesh enhancement ratio parameters were discussed. Additionally, by simulating the nonlinear bond–slip effect of the UHPC–NC interface, the influence of interface roughening and implantation rebar on the bond stability of the UHPC–NC interface was analyzed. Finally, a reference for the finite element analysis of RC beams strengthened with high-strength steel wire mesh UHPC was provided.

5.1.2. Elements

A total of four materials, i.e., NC, UHPC, high-strength steel mesh, and reinforcement, were used in the finite element simulation in this study. The simulation elements used in each part are shown in Table 8.

5.1.3. Interaction

Embedded region constraints were used to simulate the constraints between the reinforcement and the concrete. The existence of slip between the high-strength steel mesh and UHPC has been experimentally proven in this paper. However, the interlocking force of the mesh could effectively mitigate further slippage. To capture this behavior, truss elements were employed in the transverse direction of the high-strength steel wire mesh to simulate its interaction with the UHPC. The embedded region constraint was applied between the selected unit and the UHPC. The specific effects are shown in Figure 11.
Beam elements were adopted to simulate the interface reinforcement, which was connected to UHPC and NC through embedding constraints. The UHPC–NC interface bonding effect was simulated by setting the cohesive element with zero thickness.
The interface debonding effect of the UHPC–NC was determined by the UHPC–NC bilinear bond–slip model fitted by Yang et al. [27], based on experimental results. The tensile strength of the NC was applied as the strength limit in the bond–slip model. The resulting model is shown in Figure 12.

5.1.4. Material Constitutive Model

The elastic–plastic constitutive model was adopted for high-strength steel wire mesh and steel reinforcement, based on the relevant provisions in Appendix C of GB 50010-2010 and related specifications [28,29,30,31]. An obvious yield stage and strengthening stage of the steel reinforcement used in the strengthened test were observed during the axial tension test. However, the high-strength steel wire mesh only displayed a strengthening stage, and its yield stage had not been observed. The constitutive relationship is set as shown in Figure 13.
In the figure, k1 and k2 are the slopes of the strengthening stage in the tensile constitutive relationship between the steel bar and the steel wire, respectively. The yield strength of the reinforcement with diameters of 8 mm and 10 mm, determined by axial tensile tests, were 421.1 MPa and 434.0 MPa, respectively.
The stress–strain relationship of concrete was set according to the relevant provisions of Appendix C in GB 50010-2010, and the standard value of concrete compressive strength was used as its ultimate strength.
The ascending branch of the axial tensile stress–strain relationship for UHPC was determined using the constitutive model in Section 4. Based on the test results, the softening branch of the UHPC tensile stress–strain relationship was established, as shown in Figure 14 (the ultimate strain was the measured average value of the test).
The parameter values of NC and UHPC were all based on the results of the team’s previous tests [27,32]. The viscosity parameter, which mainly affected the convergence performance of the model, was uniformly set to 0.0005. In addition, the d k of NC was set according to the relevant research results in Reference [27], as shown in Equation (10). The damage to the UHPC material was calculated according to Equation (11) [27].
d k = 1 η k ε k ~ i n E 0 σ k + 1 η k ε k ~ i n E 0
d k = A 0 e ε n o r m i n / t 0 + B 0
where the subscript k = c , t represents axial compression and axial tension, respectively. ε k ~ i n is inelastic strain; E 0 is the initial elastic modulus of the material; η k is 0.6 under compression and 0.9 when under tension. ε n o r m i n is the normalized inelastic strain; t 0 represents the rate of change of the damage factor with the increase in inelastic strain, which here is 0.6. A 0 and B 0 are related parameters that can be determined using Equation (12).
A 0 = 1 e 1 / t 0 1 B 0 = 1 e 1 / t 0 1

5.1.5. Finite Element Verification

To confirm that the mechanical performance of the high-strength steel mesh UHPC composite material matched the test results, the finite element model of the SU-4~SU-7 groups was established based on the relevant parameters specified in Section 4. The element sizes of the high-strength steel mesh and UHPC in the model were set to 2 mm and 5 mm, respectively. A vertical fixed constraint was applied to one end surface, and a displacement was applied to the other end. The details of the established model are shown in Figure 15.
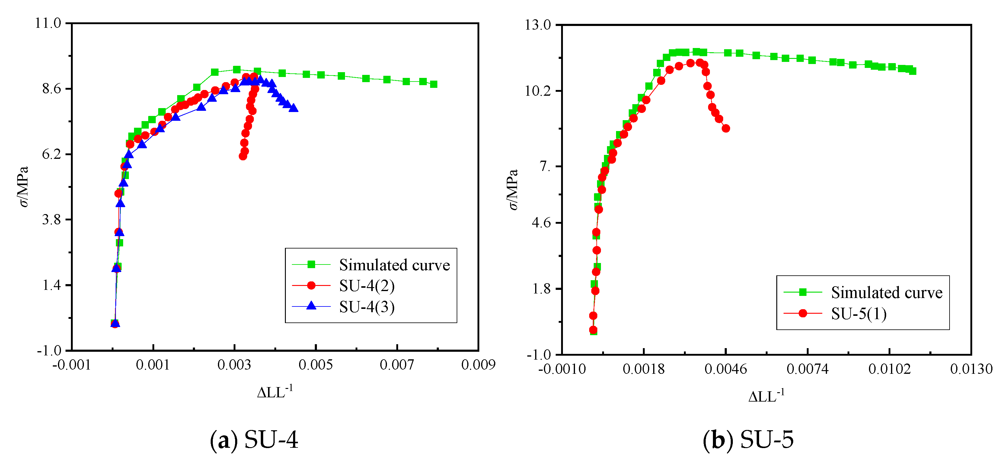
The internal forces of the UHPC unit and the steel wire in the mid-span section of the specimen were separately integrated. The two internal forces were added and divided by the cross-sectional area to obtain the cross-sectional equivalent stress. The cross-sectional equivalent stress was combined with the strain of the UHPC unit at the mid-span to derive the axial tensile stress–strain relationship of the SU-4 to SU-7 specimens, which was then compared with the test results, as shown in Figure 16.
It can be seen that the calculation results for each finite element model were consistent with the test results before the stress–strain curve reached the descending stage. The simulation results of the SU-6 specimen differ greatly from the curve of the SU-6(2) specimen, primarily because the relative slip between the high-strength steel wire mesh and UHPC was not simulated in the model. However, the ultimate strength and ultimate tensile strain remained relatively close.
It is noteworthy that the model poorly matched the simulation results for the descending section (except for SU-7). Preliminary analysis showed that the deformation between the high-strength steel wire mesh unit and the UHPC unit in the model was relatively well-coordinated. However, the main crack of the specimen expanded rapidly after reaching the ultimate strength in the test. The strains of the UHPC and the steel wire at the main crack were extremely inconsistent. The stress at the crack rapidly redistributed from UHPC to the steel wire, resulting in a sharp reduction in load-bearing capacity. Consequently, the descending branch in the model was relatively gradual, while the test curve was steeper. In summary, the finite element simulation results could effectively simulate the test curve.

5.2. Finite Element Simulation of RC Beams Strengthened with High-Strength Steel Wire Mesh UHPC

When the simulation results for the high-strength steel wire mesh UHPC were in good agreement with the test results, the further finite element simulation analysis of its strengthened RC beam was carried out. The effects of various parameters on the flexural mechanical properties of RC beams were explored. To ensure more accurate and reliable simulation results, the experimentally verified constitutive model and the UHPC–NC interface bond–slip relationship were used. However, both exhibited strong nonlinear behavior characteristics and required more computing resources. Therefore, a small RC beam was selected as the strengthened object for the parametric analysis of RC beams strengthened with high-strength steel mesh UHPC, optimizing computational efficiency while maintaining model accuracy.

5.2.1. Structural Features

A rectangular cross-sectional RC beam was designed, with a length of 1500 mm and a cross-sectional size of 150 mm × 200 mm. The beams were made of C50-grade concrete, as defined in GB 50010-2010. The detailed dimensions of the designed RC beam are shown in Figure 17.
The effects of the strengthening method, high-strength steel wire mesh enhancement ratio (ρw), strengthening layer thickness (t), and steel fiber volume (vf) on the flexural performance of RC beams strengthened with high-strength steel wire mesh UHPC were studied in this section. A total of 11 RC beam models were established, and the variable settings are shown in Table 9.
The finite element model of the specimen was established based on the relevant conclusions in Section 4. The distance between the two supports was 1400 mm, and the pure bending section in the mid-span was 400 mm. The established geometric model and the boundary conditions are shown in Figure 18.
To achieve high solution accuracy and convergence, while minimizing computation time, the final mesh sizes for the model were determined as follows: 30 mm in the horizontal direction, 15 mm in the vertical direction, and 10 mm along the beam. The mesh size of the UHPC thin layer was 10 mm. The mesh size for the longitudinal reinforcement, vertical reinforcement, and stirrups was 25 mm. The mesh size of the interface reinforcement was 10 mm. The mesh size of the high-strength steel wire mesh was 10 mm.
After the mesh sizes were determined, the finite element modes of 11 strengthened beams were established. Using the UHS-3 specimen model as an example, the various parts of the model are shown in Figure 19.

5.2.2. Failure Modes

Specimens UHS-0, UHS-1, UHS-2, UHS-4, UHS-5, UHS-9, and UHS-10 all experienced longitudinal reinforcement yield failure. Except for UHS-4, the failure of the other specimens was attributed to an insufficient strengthening layer and inadequate tensile side stiffness of the section. By observing the loading process of UHS-4, it was found that the strengthening layer showed a high enhancement ratio of high-strength steel wire mesh, which gave the strengthening layer a high axial stiffness. The extension of the crack was effectively suppressed, and the specimen also displayed a sufficient cross-sectional compression area when the longitudinal reinforcement yielded.
UHS-3 and UHS-6 to UHS-8 were all crushed by the concrete. Because the relatively weak strengthening layer could not effectively limit the extension of cracks, UHS-3, UHS-6, and UHS-7 failed due to the small height of the cross-section compression zone under the limited state. Notably, the excessive strength of the strengthening layer caused UHS-8 to become an over-reinforced beam. The concrete in the compression zone was crushed before the reinforcement layer and the longitudinal reinforcement softened or yielded.
The stress cloud diagram of the UHS-0 to UHS-10 specimens under the ultimate state is shown in Figure 20. It can be seen that each specimen exhibited a localized stress concentration at the top loading point. Meanwhile, the stress peak value generally exceeded the standard value of C50 concrete compressive strength of 32.4 MPa. Except for UHS-3 and UHS-6 to UHS-8, the concrete stress at the top of the mid-span surpassed the standard value of C50 concrete compressive strength, which aligns with the observed failure mode.

5.2.3. Load-Displacement Curve

The load-deflection curves of the UHS-0 to UHS-10 specimens are shown in Figure 21. It can be seen that the vertical stiffness of the specimens was at its maximum before cracking occurred. As the load continued to increase, cracks formed in the concrete in the tensile zone of the specimen. Meanwhile, the vertical stiffness of the specimen decreased significantly. However, the stress on the strengthening layer and the longitudinal reinforcement increased as the internal force of the specimen was redistributed. The vertical stiffness of the specimen regained a certain degree of increase. Then, the deflection of the specimen increased rapidly until the longitudinal reinforcement yielded, the reinforcement layer softened, or the concrete in the compressive zone crushed. At this point, the specimen reached its ultimate load.
The variation trend of the load-deflection curve with ρw in the strengthening layer is shown in Figure 21a. Before the concrete beam cracked, the vertical stiffness of the strengthened specimen was significantly higher than that of UHS-0, and the linear deviation point of the curve was also higher. After cracking, the influence of ρw on the vertical stiffness of the specimen was more obvious, generally increasing as ρw increased.
As ρw increased, the ultimate bearing capacity of the specimen effectively improved, but its deflection scarcely increased. In contrast, the deflection of the specimen increased significantly with the increase in the thickness of the strengthening layer. The load and deflection of the specimen in the cracking, wire yielding, and ultimate load stages for the extracted model are shown in Table 10.
Among all the parameters, t and vf had the most significant impact on the cracking load of the specimen. When other parameters were kept constant, the cracking load of the UHS-2, with a reinforcement layer thickness of 30 mm, increased by 41.6% compared to that of the UHS-10, which had a reinforcement layer thickness of 10 mm. The cracking load of the UHS-8, with a steel fiber volume of 3%, increased by 34.5% compared to that of the UHS-5 without steel fiber.
When the steel wire yielded, the UHS-4 specimen with vf = 2.09% carried the largest load, reaching 86.8 kN. Once the limit was reached, the ultimate load of the specimens strengthened with a high-strength steel wire mesh layer was greatly improved. Among them, the thickness of the UHPC contributed the most significant improvement in bearing capacity, and the ultimate load of the UHS-4 specimen was 98.1 kN. Notably, the effect of the high-strength steel wire mesh enhancement ratio on the ultimate load of the specimen was more complex. When vf increased from 0.70% to 1.40%, the ultimate load of the specimen scarcely increased. However, when vf increased from 1.40% to 2.09%, the ultimate load increased by 21.0%. This indicates that when using a thin layer of high-strength steel mesh UHPC for strengthening, if the stiffness of the strengthening layer is weak and cannot effectively restrain the crack expansion in the beam, only a sufficiently high vf can effectively increase the ultimate load of the strengthened beam.

5.2.4. Interfacial Damage and Peeling

The cohesive element was used to simulate the bond–slip behavior of the UHPC–NC interface in the model. Therefore, the debonding and damage of the UHPC–NC interface could be obtained by monitoring the degradation rate of the cohesive element stiffness (SDEG) and the stress along the beam direction.
The stress and stiffness degradation of the UHPC–NC interface of the UHS-2 specimen at the time the longitudinal reinforcement yielded is given in Figure 22. It can be seen that the units on both sides of the UHPC–NC interface had almost completely degraded, and the stiffness degradation rate had reached 0.93. Both sides of the UHPC–NC interface had separated, and the stress peak on both sides of the UHPC–NC interface had shifted toward the mid-span. Some units of the UHPC–NC interface had reached the stress peak, which was tentatively attributed to concrete cracking in the mid-span.
The relationship between the stress at the UHPC–NC interface and the position of the interface shear key of the UHS-2 specimen is shown in Figure 23. The stress peaks on both sides of the interface remained outside the anchoring range of the shear bonds, and their tendency to peel was effectively restrained by the interface shear bonds. The anchoring effect of the outermost shear key ensured that its stress never reached the peak stress of the interface.
The UHS-4 specimen exhibited the highest ultimate bearing capacity, while the UHS-10 specimen displayed the lowest. At the ultimate state, the UHPC–NC interface stress condition of the UHS-4 specimen should be the most complex, while the opposite was observed for the UHS-10 specimen. The interface stress and stiffness degradation rate of UHS-1 to UHS-10 were extracted, as shown in Figure 24.
By comparing Figure 22, Figure 23, and Figure 24a to Figure 24c, it can be seen that with the increased vf in the strengthening layer, the interface peeling on both sides of each specimen became more pronounced. When vf ranged from 0% to 1.4%, the UHPC–NC interface peeled only at the weak edges on both sides. However, when the vf reached 2.09%, significant peeling occurred not only at the edges of the interface under the limit state but also in the oblique shear section of the specimen, with considerable peeling, concentrated at the weak points between the shear keys. Overall, the existence of the shear key effectively restricted the further interface peeling.
Compared with the direct increase in the strengthening ratio of high-strength steel wire mesh, increasing the steel fiber volume in UHPC had a relatively minor impact on the interfacial bonding performance under ultimate conditions. However, as the steel fiber volume increased, the debonding phenomenon on both sides of the UHPC–NC interface gradually became more pronounced. Nevertheless, the interface in the oblique shear section still maintained a relatively strong bonding effect.
When the UHS-10 specimen reached the load limit, the UHPC layers on both sides of the specimen were nearly completely peeled off. The stress concentration phenomenon also occurred at the shear keys of the oblique shear section.
In summary, the interface shear bond effectively inhibited the interface debonding phenomenon between the strengthening layer and the original structure. In the absence of interface shear reinforcement, the high-strength steel wire mesh UHPC layer gradually debonded from the strengthened beam as the load increased. However, at the location with the interface shear bond, the interface debonding phenomenon was suppressed. Although the interface between the shear bonds still tended to debond, the presence of the shear bond successfully prevented the debonding from spreading to other locations.

6. Conclusions

(1) The initial cracking strength and ultimate strength of RC beams strengthened with a thin layer of UHPC and high-strength steel wire mesh were significantly improved. The ultimate load capacity of the UHS-4 specimen strengthened with UHPC with three layers of high tensile steel wire mesh increased by 99.4% compared to that of the unstrengthened beam. The significant increase in bearing capacity also reduces the risk of damage to the structure under long-term loads.
(2) The thickness of the UHPC layer and the volume of steel fibers in the strengthening layer had a significant impact on the cracking load of the specimens. Compared to the results for the UHS-10 specimen, an increase in the thickness of the UHPC layer by 20 mm (i.e., UHS-7) resulted in a 41.6% increase in the cracking load. Compared to results for the UHS-5 specimen, an increase in the volume of steel fibers by 3% (i.e., UHS-8) led to a 34.5% increase in the cracking load of the strengthened beam. The increase in cracking load can reduce the occurrence of cracks or control the crack width, effectively preventing the ingress of corrosive media.
(3) The axial stiffness of the high-strength steel wire mesh UHPC layer was identified as the primary factor influencing the crack propagation speed and depth in the strengthened beam. Among various methods, increasing the strengthening ratio of high-strength steel wire mesh within the UHPC layer was the most effective way to enhance its stiffness. By raising the strengthening ratio of high-strength steel wire mesh, the crack propagation speed during loading could be effectively delayed. The crack depth under ultimate load could also be reduced.
(4) An UHPC–RC interface bond–slip model considering cohesion was constructed. Following calculations and analyses, it was determined that the effective bonding of the interfaces was not guaranteed by relying only on the bonding between the UHPC–NC interfaces. The interface debonding could be effectively suppressed and the mechanical performance of the strengthened beams can be ensured by using shear keys to constrain the UHPC–NC interface. The optimal choice is recommended to be a reinforced beam with a UHPC strengthening layer thickness of 30 mm, a steel fiber volume of 2%, and a high-strength steel wire mesh enhancement ratio of 2.09%, as this configuration achieves the best overall performance. Given the differences in steel fiber volume and specimen thickness used in practical reinforcement projects, future research should focus on conducting controlled variable studies on these key parameters.

Author Contributions

Conceptualization, C.Z.; methodology, Z.J.; software, Z.J.; validation, Y.Q. and J.C.; formal analysis, J.Y.; investigation, C.D. and Y.Q.; Resources, Y.L.; data curation, Y.L.; writing—original draft, C.D.; writing—review & editing, C.Z.; supervision, J.Y.; project administration, Z.Z.; funding acquisition, Z.Z. and J.C. All authors have read and agreed to the published version of the manuscript.

Funding

The authors greatly appreciate the financial support from the Science and Technology Research Program of Chongqing Municipal Education Commission (Grant Nos. KJQN202300723 and KJQN202400701) and the Technology Project of the Transportation Department of Guizhou Province (Grant No. 2024-122-001).

Data Availability Statement

The raw data supporting the conclusions of this article will be made available by the authors on request.

Conflicts of Interest

Author Chao Zhu and Chunlin Du are employed by the Chongqing Design Group Co., Ltd. Author Yinbin Li is employed by the Guizhou Provincial Transportation Planning Survey and Design Institute Co., Ltd. The remaining authors declare that the research was conducted in the absence of any commercial or financial relationships that could be construed as a potential conflict of interest.

References

  1. Zhu, Y.; Zhang, Y.; Hussein, H.H.; Chen, G. Flexural strengthening of reinforced concrete beams or slabs using ultra-high performance concrete (UHPC): A state of the art review. Eng. Struct. 2020, 205, 110035. [Google Scholar] [CrossRef]
  2. Zhang, Z.; Pang, K.; Xu, L.; Zou, Y.; Yang, J.; Wang, C. The bond properties between UHPC and stone under different interface treatment methods. Constr. Build. Mater. 2023, 365, 130092. [Google Scholar] [CrossRef]
  3. Graybeal, B.; Tanesi, J. Durability of an ultrahigh-performance concrete. J. Mater. Civ. Eng. 2007, 19, 848–854. [Google Scholar] [CrossRef]
  4. Li, Y.; Zhou, H.; Zhang, Z.; Yang, J.; Wang, X.; Wang, X.; Zou, Y. Macro-micro investigation on the coefficient of friction on the interface between steel and cast-in-place UHPC. Eng. Struct. 2024, 318, 118769. [Google Scholar] [CrossRef]
  5. Wille, K.; El-Tawil, S.; Naaman, A.E. Properties of strain hardening ultra high performance fiber reinforced concrete (UHP-FRC) under direct tensile loading. Cem. Concr. Compos. 2014, 48, 53–66. [Google Scholar] [CrossRef]
  6. Zhou, J.; Leng, J.; Yang, J.; Zhang, Z.; Du, J.; Zou, Y. Experimental investigation on shear behavior of damaged and acid rain-corroded RC T-beams strengthened with ultra-high-performance concrete. Eng. Struct. 2025, 327, 119618. [Google Scholar] [CrossRef]
  7. Sun, G.; Shi, J.; Qu, Y. Cracking and yield behavior of reinforced UHPC beams containing steel slag under flexural test. Eng. Struct. 2023, 280, 115693. [Google Scholar] [CrossRef]
  8. Huang, L.; Yuan, M.; Wei, B.; Yan, D.; Liu, Y. Experimental investigation on sing fiber pullout behaviour on steel fiber-matrix of reactive powder concrete (RPC). Constr. Build. Mater. 2022, 318, 125899. [Google Scholar] [CrossRef]
  9. Yang, J.; Xia, J.; Zhang, Z.; Zhou, J.; Zou, Y.; Wang, Y.; Shen, X. Mesoscopic shear behavior and strength characteristic of UHPC-NC interface considering the combined effect of mechanical interlocking and dowel action. Eng. Fract. Mech. 2024, 307, 110306. [Google Scholar] [CrossRef]
  10. Zhang, Y.; Zhang, C.; Zhu, Y.; Cao, J.; Shao, X. An experimental study: Various influence factors affecting interfacial shear performance of UHPC-NSC. Constr. Build. Mater. 2020, 236, 117480. [Google Scholar] [CrossRef]
  11. Wei, J.; Li, J.; Wu, C.; Hao, H.; Liu, J. Experimental and numerical study on the impact resistance of ultra-high performance concrete strengthened RC beams. Eng. Struct. 2023, 277, 115474. [Google Scholar] [CrossRef]
  12. Zhang, Y.; Li, X.; Zhu, Y.; Shao, X. Experimental study on flexural behavior of damaged reinforced concrete (RC) beam strengthened by toughness-improved ultra-high performance concrete (UHPC) layer. Compos. Part B Eng. 2020, 186, 107834. [Google Scholar] [CrossRef]
  13. Ke, L.; Guo, J.; Yan, B.; Cheng, H.; Feng, Z.; Zhou, J.; Yoo, D.-Y. Shear performance evaluation of damaged RC beams strengthened with cast-in-place U-shaped UHPFRC shell. Structures 2023, 58, 105530. [Google Scholar] [CrossRef]
  14. Nadir, W.; Kadhim, M.M.A.; Jawdhari, A.; Fam, A.; Majdi, A. RC beams strengthened in shear with FRP-Reinforced UHPC overlay: An experimental and numerical study. Structures 2023, 53, 693–715. [Google Scholar] [CrossRef]
  15. Mirdan, D.; Saleh, A.R. Flexural performance of reinforced concrete (RC) beam strengthened by UHPC layer. Case Stud. Constr. Mater. 2022, 17, e01655. [Google Scholar] [CrossRef]
  16. Yoo, D.Y.; Oh, T.; Choi, J.; Min, K.-H.; Shin, H.-O. Structural strengthening of reinforced concrete beams using ultra-high-performance concrete with various fiber volume fractions and layer thicknesses. Structures 2024, 70, 107735. [Google Scholar] [CrossRef]
  17. Zhang, W.; Zheng, D.; Huang, Y.; Kang, S. Experimental and simulative analysis of flexural performance in UHPC-RC hybrid beams. Constr. Build. Mater. 2024, 436, 136889. [Google Scholar] [CrossRef]
  18. Yu, J.; Zhang, B.; Chen, W.; Liu, H.; Li, H. Multi-scale study on interfacial bond failure between normal concrete (NC) and ultra-high performance concrete (UHPC). J. Build. Eng. 2022, 57, 104808. [Google Scholar] [CrossRef]
  19. Krishna, A.; Sreekumaran, S.; Kaliyaperumal, S.R.M.; Shreemathi. Performance evaluation of axially loaded high strength ferrocement confined fibre reinforced concrete columns. Innov. Infrastruct. Solut. 2024, 9, 68. [Google Scholar] [CrossRef]
  20. Paschalis, S.A.; Lampropoulos, A.P.; Tsioulou, O. Experimental and numerical study of the performance of ultra high performance fiber reinforced concrete for the flexural strengthening of full scale reinforced concrete members. Constr. Build. Mater. 2018, 186, 351–366. [Google Scholar] [CrossRef]
  21. Shafieifar, M.; Farzad, M.; Azizinamini, A. A comparison of existing analytical methods to predict the flexural capacity of Ultra High Performance Concrete (UHPC) beams. Constr. Build. Mater. 2018, 172, 10–18. [Google Scholar] [CrossRef]
  22. Zhao, H. Axial compressive behaviour of concrete strengthened with steel rings, wire mesh and modified high strength mortar (MHSM). Constr. Build. Mater. 2020, 250, 118938. [Google Scholar] [CrossRef]
  23. Ma, S.; Xu, M.; Wu, C.; Huang, Z.; Zhang, F. Experimental study on bending fatigue performance of ambient-cured ultra-high-performance concrete thin plate with embedded steel wire mesh. Constr. Build. Mater. 2024, 449, 138276. [Google Scholar] [CrossRef]
  24. GB/T 31387-2015; Reactive Powder Concrete. Ministry of Housing and Urban-Rural Development, PRC: Beijing, China, 2015.
  25. GB/T 1499.2-2018; Steel for Reinforced Concrete. Ministry of Housing and Urban-Rural Development, PRC: Beijing, China, 2018.
  26. Wille, K.; Kim, D.J.; Naaman, A.E. Strain-hardening UHP-FRC with low fiber contents. Mater. Struct. 2011, 44, 583–598. [Google Scholar] [CrossRef]
  27. Yang, J.; Yu, J.; Zhang, Z.; Zou, Y.; Chen, R.; Zhou, J.; Li, B. Flexural behavior of 15-year-old full-scale hollow slab beams strengthened with fiber-reinforced composites. Case Stud. Constr. Mater. 2023, 19, e02545. [Google Scholar] [CrossRef]
  28. JGJ 55-2011; Specification for Mix Proportion Design of Ordinary Concrete. Ministry of Housing and Urban-Rural Development, PRC: Beijing, China, 2011.
  29. GB/T 50081-2002; Standard for Test Method of Mechanical Properties on Ordinary Concrete. Ministry of Construction, PRC: Beijing, China, 2002.
  30. GB/T 50367-2013; Code for Design of Strengthening Concrete Structure. Ministry of Housing and Urban-Rural Development, PRC: Beijing, China, 2013.
  31. GB/T 50010-2010; Code for Design of Concrete Structures. Ministry of Housing and Urban-Rural Development, PRC: Beijing, China, 2010.
  32. Chen, R.; Zhang, Z.; Zou, Y.; Yang, J.; Zhou, J.; Kuang, Y.; Wang, Y. In-situ evaluation on existing RC beam strengthened with GFRP-reinforced UHPC overlay. Constr. Build. Mater. 2024, 429, 136363. [Google Scholar] [CrossRef]
Figure 1. Dimensions of axial tension specimen (unit: mm).
Figure 1. Dimensions of axial tension specimen (unit: mm).
Buildings 15 00589 g001
Figure 2. Test setup.
Figure 2. Test setup.
Buildings 15 00589 g002
Figure 3. Failure modes of pure UHPC specimens.
Figure 3. Failure modes of pure UHPC specimens.
Buildings 15 00589 g003
Figure 4. Failure modes of UHPC specimens with high-strength steel wire mesh.
Figure 4. Failure modes of UHPC specimens with high-strength steel wire mesh.
Buildings 15 00589 g004
Figure 5. Stress–strain curves of pure UHPC specimens with different steel fiber strengthening ratios: (a) υ f = 1%; (b) υ f = 2%; (c) υ f = 3%.
Figure 5. Stress–strain curves of pure UHPC specimens with different steel fiber strengthening ratios: (a) υ f = 1%; (b) υ f = 2%; (c) υ f = 3%.
Buildings 15 00589 g005
Figure 6. Stress–strain curves of UHPC specimens with different strengthening ratios of steel fiber and high-strength steel wire mesh: (a) υ f = 2%, ρ w = 0.52%; (b) υ f = 2%, ρ w = 1.04%; (c) υ f = 3%, ρ w = 0.52%; (d) υ f = 3%, ρ w = 1.04%.
Figure 6. Stress–strain curves of UHPC specimens with different strengthening ratios of steel fiber and high-strength steel wire mesh: (a) υ f = 2%, ρ w = 0.52%; (b) υ f = 2%, ρ w = 1.04%; (c) υ f = 3%, ρ w = 0.52%; (d) υ f = 3%, ρ w = 1.04%.
Buildings 15 00589 g006
Figure 7. Average values of characteristic parameters of pure UHPC.
Figure 7. Average values of characteristic parameters of pure UHPC.
Buildings 15 00589 g007
Figure 8. Average values of characteristic parameters of UHPC with high-strength steel wire mesh.
Figure 8. Average values of characteristic parameters of UHPC with high-strength steel wire mesh.
Buildings 15 00589 g008
Figure 9. Constitutive model of UHPC tensile strain-hardening.
Figure 9. Constitutive model of UHPC tensile strain-hardening.
Buildings 15 00589 g009
Figure 10. Comparison of the constitutive model with the experimental results.
Figure 10. Comparison of the constitutive model with the experimental results.
Buildings 15 00589 g010
Figure 11. Schematic diagram of high-strength steel wire mesh–UHPC constraints.
Figure 11. Schematic diagram of high-strength steel wire mesh–UHPC constraints.
Buildings 15 00589 g011
Figure 12. UHPC–NC interface bond–slip relationship.
Figure 12. UHPC–NC interface bond–slip relationship.
Buildings 15 00589 g012
Figure 13. The constitutive relationship between steel bars and high-strength steel wire mesh.
Figure 13. The constitutive relationship between steel bars and high-strength steel wire mesh.
Buildings 15 00589 g013
Figure 14. Stress–strain relationship of NC and UHPC.
Figure 14. Stress–strain relationship of NC and UHPC.
Buildings 15 00589 g014
Figure 15. Finite element model meshing.
Figure 15. Finite element model meshing.
Buildings 15 00589 g015
Figure 16. Simulation results of SU-4~7 specimens.
Figure 16. Simulation results of SU-4~7 specimens.
Buildings 15 00589 g016aBuildings 15 00589 g016b
Figure 17. The size and reinforcement of the strengthened beam (unit: mm).
Figure 17. The size and reinforcement of the strengthened beam (unit: mm).
Buildings 15 00589 g017
Figure 18. Boundary conditions and load settings.
Figure 18. Boundary conditions and load settings.
Buildings 15 00589 g018
Figure 19. Finite element model of each part.
Figure 19. Finite element model of each part.
Buildings 15 00589 g019
Figure 20. Stress cloud diagram under UHS-0~10.
Figure 20. Stress cloud diagram under UHS-0~10.
Buildings 15 00589 g020
Figure 21. The load-deflection curve varies with ρw (a), vf (b), and t (c).
Figure 21. The load-deflection curve varies with ρw (a), vf (b), and t (c).
Buildings 15 00589 g021
Figure 22. Stiffness degradation (top) and interfacial stress (bottom) of rebar yield.
Figure 22. Stiffness degradation (top) and interfacial stress (bottom) of rebar yield.
Buildings 15 00589 g022
Figure 23. Interfacial shear bond and interfacial stress when rebar yields.
Figure 23. Interfacial shear bond and interfacial stress when rebar yields.
Buildings 15 00589 g023
Figure 24. Interfacial stress and stiffness degradation rate of UHS-1~10.
Figure 24. Interfacial stress and stiffness degradation rate of UHS-1~10.
Buildings 15 00589 g024aBuildings 15 00589 g024b
Table 1. Design table of uniaxial tensile specimens.
Table 1. Design table of uniaxial tensile specimens.
GroupNumberThickness/mmSteel Fiber Volume υ f /%Strengthening Ratio of High-Strength Steel Wire Mesh ρ w /%Number of Specimens
1SU-1301/3
SU-2302/3
SU-3303/3
2SU-43020.52% (one layer)3
SU-53021.04% (two layers)3
SU-63030.52% (one layer)3
SU-73031.04% (two layers)3
Note:   ρ w is equal to the steel wire mesh cross-sectional area/specimen cross-sectional area × 100%.
Table 2. The mix proportions of UHPC (km/m3).
Table 2. The mix proportions of UHPC (km/m3).
IngredientCementSilica FumeQuartz SandQuartz PowderWater ReducerWater
Unit weight10.251.10.30.0190.18
Table 3. Compressive strength of UHPC.
Table 3. Compressive strength of UHPC.
Steel Fiber VolumeCompressive Strength/MPaAverage/MPa
Specimen 1Specimen 2Specimen 3
1%135.7131.3125.9131.0
2%137.9141.3143.5140.9
3%147.4146.2149.9147.8
Table 4. Uniaxial tensile performance index of high-strength steel wire mesh.
Table 4. Uniaxial tensile performance index of high-strength steel wire mesh.
IndicatorsYield Strength
(MPa)
Ultimate Strength
(MPa)
Elastic Modulus
(GPa)
Average490721204
Table 5. Characteristic parameters of pure UHPC.
Table 5. Characteristic parameters of pure UHPC.
NumberCracking Stress/MPaCracking Strain/10−6Ultimate Stress/MPaUltimate Strain/10−6
SU-13.59106.13.891009.3
3.3799.73.831082.6
3.1185.34.041041.1
Average3.3697.03.921044.3
SU-23.1882.65.652685.1
3.3192.35.982479.8
3.0383.76.26/
Average3.1786.25.962582.5
SU-34.59109.78.05/
4.35112.47.293707.3
4.95129.77.65/
Average4.63117.37.663707.3
Table 6. Characteristic parameters of UHPC with high-strength steel wire mesh.
Table 6. Characteristic parameters of UHPC with high-strength steel wire mesh.
NumberCracking Stress/MPaCracking Strain/10−6Ultimate Stress/MPaUltimate Strain/10−6
SU-44.92142.39.11/
4.73131.79.013397.1
5.64155.58.933726.5
Average5.10143.29.023561.8
SU-56.45174.711.473724.7
6.09275.611.71/
////
Average6.27225.211.593724.7
SU-68.19257.411.96/
4.77133.611.735727.5
7.30231.511.915466.3
Average6.75135.511.875596.9
SU-77.07189.115.858334.7
7.74246.314.45/
8.13202.715.14/
Average7.65212.715.158334.7
Table 7. Constitutive model parameters.
Table 7. Constitutive model parameters.
K0/103σctαβ/104γ/10−4
6.953.010.393.209.0
Table 8. Elements used in each section of the simulation.
Table 8. Elements used in each section of the simulation.
NCUHPCReinforcementInterface ReinforcementHigh-Strength Steel Wire MeshUHPC–RC Bonding
C3D8RC3D8RT3D2B31B31COH3D8
Table 9. Strengthened specimen design.
Table 9. Strengthened specimen design.
NumberStrengthened Layer Parameters
Strengthening MethodsThickness t /mmSteel Fiber Volume Fraction υ f /%Enhancement Ratio of High-Strength Steel Mesh ρ w
UHS-0/30//
UHS-1/302%/
UHS-2High-Strength Steel Mesh302%0.70% (1 layer)
UHS-3High-Strength Steel Mesh302%1.40% (2 layer)
UHS-4High-Strength Steel Mesh302%2.09% (3 layer)
UHS-5High-Strength Steel Mesh300%1.40% (2 layer)
UHS-6High-Strength Steel Mesh301%1.40% (2 layer)
UHS-7High Strength Steel Mesh302%1.40% (2 layer)
UHS-8High-Strength Steel Mesh303%1.40% (2 layer)
UHS-9High-Strength Steel Mesh202%1.05% (1 layer)
UHS-10High-Strength Steel Mesh102%2.09% (1 layer)
Table 10. Load deflection at cracking, wire yielding, and load limit.
Table 10. Load deflection at cracking, wire yielding, and load limit.
NumberCrackYield of Steel WireLoad LimitFailure Mode
Load/kNDeflection/mmLoad/kNDeflection/mmLoad/kNDeflection/mm
UHS-015.90.23//49.25.28A
UHS-125.40.25//68.04.52A
UHS-227.90.2765.62.8180.15.35A
UHS-328.70.2775.13.2381.14.18B
UHS-428.30.2786.83.4698.14.82A
UHS-523.20.2359.42.9669.64.31A
UHS-625.40.2569.93.0778.34.33B
UHS-727.90.2875.13.2381.14.18B
UHS-831.20.3080.53.3985.24.26B
UHS-922.90.2460.13.0270.23.80A
UHS-1019.70.2554.23.1157.23.46A
Note: A represents the yield failure of the longitudinal bar; B represents the crushing failure of concrete in the compression zone.
Disclaimer/Publisher’s Note: The statements, opinions and data contained in all publications are solely those of the individual author(s) and contributor(s) and not of MDPI and/or the editor(s). MDPI and/or the editor(s) disclaim responsibility for any injury to people or property resulting from any ideas, methods, instructions or products referred to in the content.

Share and Cite

MDPI and ACS Style

Zhu, C.; Du, C.; Qi, Y.; Jiang, Z.; Zhang, Z.; Yang, J.; Li, Y.; Cheng, J. Flexural Performance of RC Beams Strengthened with High-Strength Steel Wire Mesh and UHPC. Buildings 2025, 15, 589. https://doi.org/10.3390/buildings15040589

AMA Style

Zhu C, Du C, Qi Y, Jiang Z, Zhang Z, Yang J, Li Y, Cheng J. Flexural Performance of RC Beams Strengthened with High-Strength Steel Wire Mesh and UHPC. Buildings. 2025; 15(4):589. https://doi.org/10.3390/buildings15040589

Chicago/Turabian Style

Zhu, Chao, Chunlin Du, Yanxin Qi, Zhimei Jiang, Zhongya Zhang, Jun Yang, Yinbin Li, and Jun Cheng. 2025. "Flexural Performance of RC Beams Strengthened with High-Strength Steel Wire Mesh and UHPC" Buildings 15, no. 4: 589. https://doi.org/10.3390/buildings15040589

APA Style

Zhu, C., Du, C., Qi, Y., Jiang, Z., Zhang, Z., Yang, J., Li, Y., & Cheng, J. (2025). Flexural Performance of RC Beams Strengthened with High-Strength Steel Wire Mesh and UHPC. Buildings, 15(4), 589. https://doi.org/10.3390/buildings15040589

Note that from the first issue of 2016, this journal uses article numbers instead of page numbers. See further details here.

Article Metrics

Back to TopTop