Research on Two Refined Algorithms for Creep Calculation for Reinforced Concrete Components
Abstract
1. Introduction
2. Basic Equation of Refined Creep Calculation
2.1. Static Balance Equation
2.2. Deformation Compatibility Equation
2.3. Constitutive Equation
3. Refined Creep Calculation Method
3.1. Trapezoidal Method
3.2. Difference Method
4. Example Analysis
4.1. Comparison of Calculation Results
4.2. Calculation Efficiency Comparison
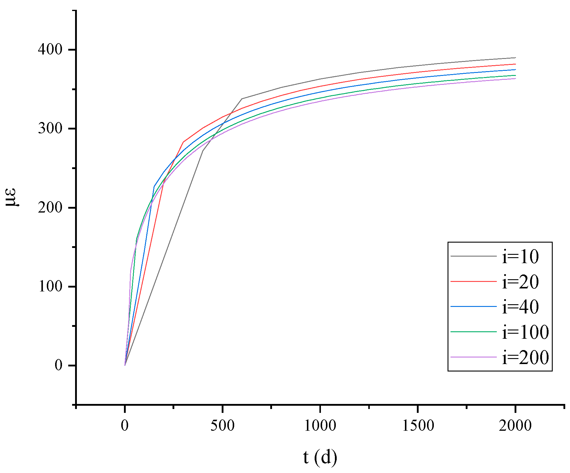
4.3. Comparison of Calculation Results Under Different Initial Conditions
5. Conclusions
Author Contributions
Funding
Data Availability Statement
Conflicts of Interest
References
- Woolson, I.H. Some Remarkable Tests indicating ‘Flow’ of Concrete under Pressure. Eng. News 1905, 218, 459. [Google Scholar]
- Hui, R.; Huang, X.; Yi, R. Creep of Concrete; China Railway Press.: Beijing, China, 1988. (In Chinese) [Google Scholar]
- Bažant, Z.P. Prediction of concrete creep and shrinkage: Past, present and future. Nucl. Eng. Des. 2001, 203, 27–38. [Google Scholar] [CrossRef]
- Bažant, Z.P.; Jirásek, M. Creep and Hygrothermal Effects in Concrete Structures. In Solid Mechanics and Its Applications; Springer: Berlin/Heidelberg, Germany, 2018. [Google Scholar]
- Delsaute, B.; Torrenti, J.M.; Staquet, S. Prediction of the basic creep of concrete with high substitution of Portland cement by mineral additions at early age: Basic creep of concrete with high slag content. Structural concrete: J. FIB 2021, 22, E563–E580. [Google Scholar] [CrossRef]
- Li, Y.; Liu, Y.; Li, Y.; Li, Y.; Wang, R. Evaluation of concrete creep properties based on indentation test and multiscale homogenization method. Cem. Concr. Compos. 2021, 123, 104135. [Google Scholar] [CrossRef]
- Bažant, Z.P. Viscoelasticity of Solidifying Porous Material—Concrete. J. Eng. Mech. Div. 1977, 103, 1049–1067. [Google Scholar] [CrossRef]
- Stierschneider, E.; Tamparopoulos, A.E.; McBride, K.E.; Bergmeister, K. Influencing factors on creep displacement assessment of bonded fasteners in concrete. Eng. Struct. 2021, 241, 112448. [Google Scholar] [CrossRef]
- Gettu, R.; Zerbino, R.; Jose, S. Factors Influencing Creep of Cracked Fibre Reinforced Concrete: What We Think We Know & What We Do Not Know. In Proceedings of the International RILEM Workshop FRC-CREEP 2016, Valencia, Spain, 9–10 March 2016. [Google Scholar]
- fib CEB-FIP. fib Model Code for Concrete Structures; International Federation for Structural Concrete (fib): Lausanne, Switzerland, 2020. [Google Scholar]
- ACI. Guide for Modeling and Calculating Shrinkage and Creep in Hardened Concrete; ACI 209R-92; ACI Committee: Farmington Hills, MI, USA, 2020; Volume 209. [Google Scholar]
- Yang, M. Refined Calculation of Long-Term Deformation of Simply Supported Post Tensioned Prestressed Concrete Bridges; Dalian University of Technology: Dalian, China, 2021. (In Chinese) [Google Scholar]
- Wang, W.; Gong, J. New relaxation function and age-adjusted effective modulus expressions for creep analysis of concrete structures. Eng. Struct. 2019, 188, 1–10. [Google Scholar] [CrossRef]
- Yang, M.; Gong, J.; Yang, X. Refined calculation of time-dependent prestress losses in prestressed concrete girders. Struct. Infrastruct. Eng. 2020, 16, 1430–1446. [Google Scholar] [CrossRef]
- Wang, N.; Zhao, X.; Zhao, P.; Zhang, P.; Zou, Z.; Ou, J. Automatic damage detection of historic masonry buildings based on mobile deep learning. Autom. Constr. 2019, 103, 53–66. [Google Scholar] [CrossRef]
- Wu, P.; Lu, B.; Li, H.; Li, W.; Zhao, X. Smartphone-based high durable strain sensor with sub-pixel-level accuracy and adjustable camera position. Comput.-Aided Civ. Infrastruct. Eng. 2024, 39, 3805–3820. [Google Scholar] [CrossRef]
- Yang, L.; Shi, C.; Wu, Z. Mitigation techniques for autogenous shrinkage of ultra-high-performance concrete–A review. Compos. Part B Eng. 2019, 178, 107456. [Google Scholar] [CrossRef]
- Dey, A.; Vastrad, A.V.; Bado, M.F.; Sokolov, A.; Kaklauskas, G. Long-Term Concrete Shrinkage Influence on the Performance of Reinforced Concrete Structures. Materials 2021, 14, 254. [Google Scholar] [CrossRef]
- Zhu, Y.; Zhang, Y.; Hussein, H.H.; Xu, Z. Normal concrete and ultra-high-performance concrete shrinkage and creep models: Development and Application. Adv. Struct. Eng. 2022, 25, 2400–2412. [Google Scholar] [CrossRef]
- Al-Kamyani, Z.; Guadagnini, M.; Pilakoutas, K. Predicting shrinkage induced curvature in plain and reinforced concrete. Eng. Struct. 2018, 176, 468–480. [Google Scholar] [CrossRef]
- Bažant, Z.P. Thermodynamics of Solidifying or Melting Viscoelastic Material. J. Eng. Mech. Div. 1979, 105, 933–952. [Google Scholar] [CrossRef]
- Huang, P.; Zhang, J.; Damascene, N.J.; Dong, C.; Wang, Z. A fractional order viscoelastic-plastic creep model for coal sample considering initial damage accumulation. Alex. Eng. J. 2021, 60, 3921–3930. [Google Scholar] [CrossRef]
- Chowdhury, S.; Faruque, S.B.; Das, P.K. Numerical Solutions of Boundary Value Problems of Non-Linear Differential Equations; Taylor & Francis Group: Milton Park, UK, 2021. [Google Scholar]



















Disclaimer/Publisher’s Note: The statements, opinions and data contained in all publications are solely those of the individual author(s) and contributor(s) and not of MDPI and/or the editor(s). MDPI and/or the editor(s) disclaim responsibility for any injury to people or property resulting from any ideas, methods, instructions or products referred to in the content. |
© 2025 by the authors. Licensee MDPI, Basel, Switzerland. This article is an open access article distributed under the terms and conditions of the Creative Commons Attribution (CC BY) license (https://creativecommons.org/licenses/by/4.0/).
Share and Cite
Wu, P.; Cui, J. Research on Two Refined Algorithms for Creep Calculation for Reinforced Concrete Components. Buildings 2025, 15, 478. https://doi.org/10.3390/buildings15030478
Wu P, Cui J. Research on Two Refined Algorithms for Creep Calculation for Reinforced Concrete Components. Buildings. 2025; 15(3):478. https://doi.org/10.3390/buildings15030478
Chicago/Turabian StyleWu, Pengfei, and Jianchao Cui. 2025. "Research on Two Refined Algorithms for Creep Calculation for Reinforced Concrete Components" Buildings 15, no. 3: 478. https://doi.org/10.3390/buildings15030478
APA StyleWu, P., & Cui, J. (2025). Research on Two Refined Algorithms for Creep Calculation for Reinforced Concrete Components. Buildings, 15(3), 478. https://doi.org/10.3390/buildings15030478
