Using One-Part Geopolymer in Stabilizing High-Water-Content Soft Clay: Towards an Eco-Friendly and Cost-Effective Solution
Abstract
1. Introduction
2. Research Significance
- Despite extensive research on the application of geopolymers in soft clay stabilization, most studies have primarily focused on soils with relatively low water content (typically below 70%). However, in regions such as Wenzhou and Guangzhou within the Pearl River Delta of China, the influence of marine and fluvial environments results in natural soil water content exceeding 80% [20]. Therefore, further in-depth research on the stabilization of high-water-content soft clays is essential.
- Although the mechanical properties and stabilization mechanisms of geopolymer-stabilized soft clay have been extensively studied, the majority of research has focused on two-part geopolymers, primarily due to their straightforward preparation in laboratory settings [21,22,23]. This focus, however, has constrained the broader application of geopolymers in geotechnical engineering and hindered their widespread commercial adoption.
- In current research, scholars have predominantly focused on the effects of binder content on the stabilization outcomes of soft clay, while largely overlooking the coupled influence of soft clay water content and binder content on the stabilization effectiveness. This oversight has led to a significant gap in the research on the stabilization of high-water-content soft clay. In practical engineering applications, the natural water content of soft clay varies considerably across different regions, rendering traditional research methods that employ fixed water content levels highly limited. Therefore, this study addresses this gap by exploring the interaction between binder content and water content over a broad range of water contents, thereby providing targeted guidance for the construction of soft clay with varying water contents.
- While the sustainability advantages of geopolymer as a substitute for concrete have been widely acknowledged, its cost and environmental benefits in the context of soft soil stabilization remain largely unexplored through systematic quantitative analysis. To address this gap, this study employs Life Cycle Assessment (LCA) to conduct a comprehensive evaluation of the full life cycle of one-part geopolymer in soft soil stabilization and compares it with ordinary Portland cement. This approach aims to provide a detailed and holistic understanding of the environmental and economic impacts of using OPG in geotechnical applications, thereby filling the existing research void.
3. Materials and Methods
3.1. Materials
3.2. Sample Preparation
3.3. Experimental Procedures
4. Results and Discussion
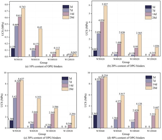
4.1. Unconfined Compressive Strength
4.2. Shear Strength
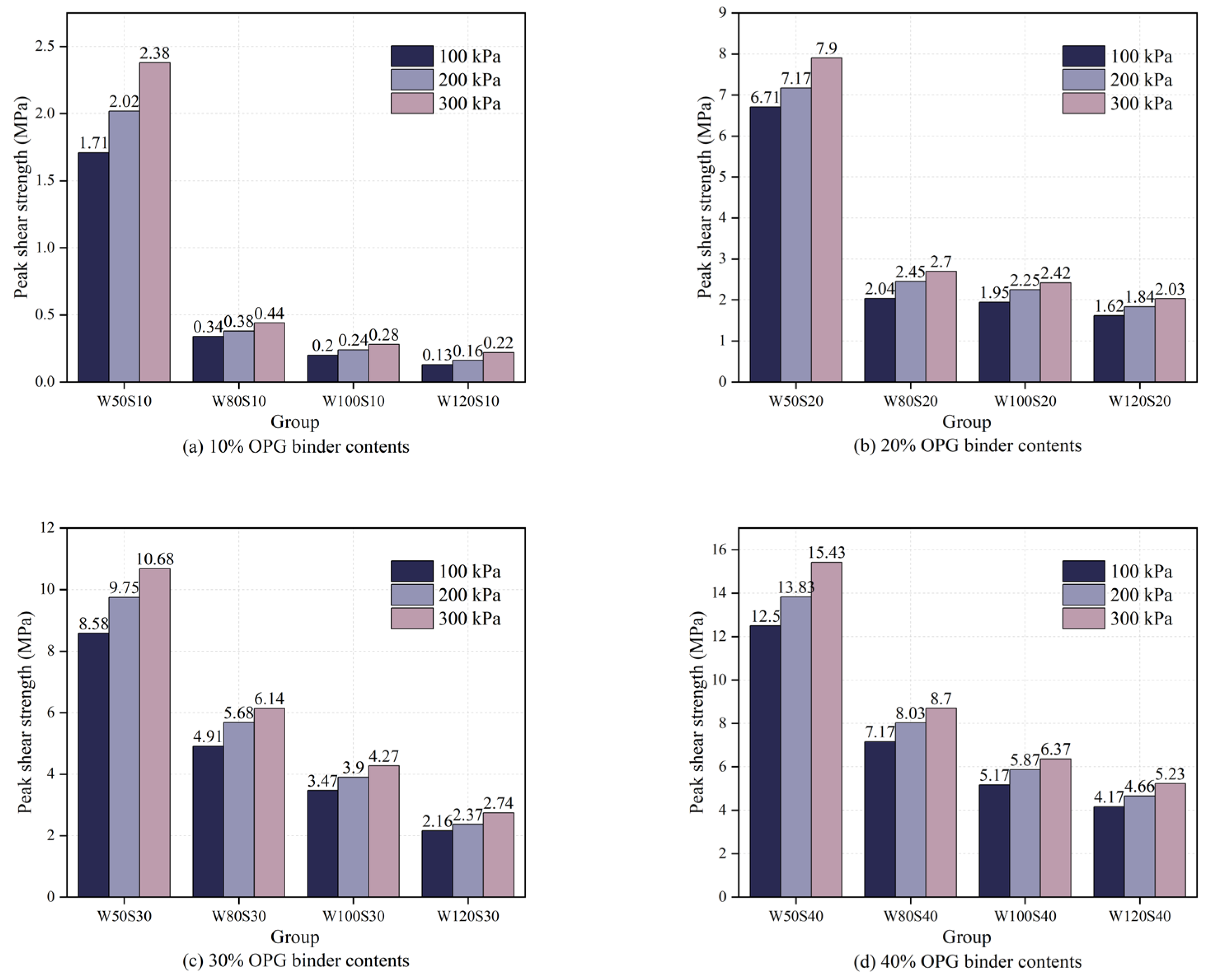
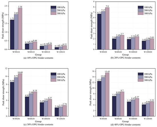
4.2.1. Peak Shear Strength
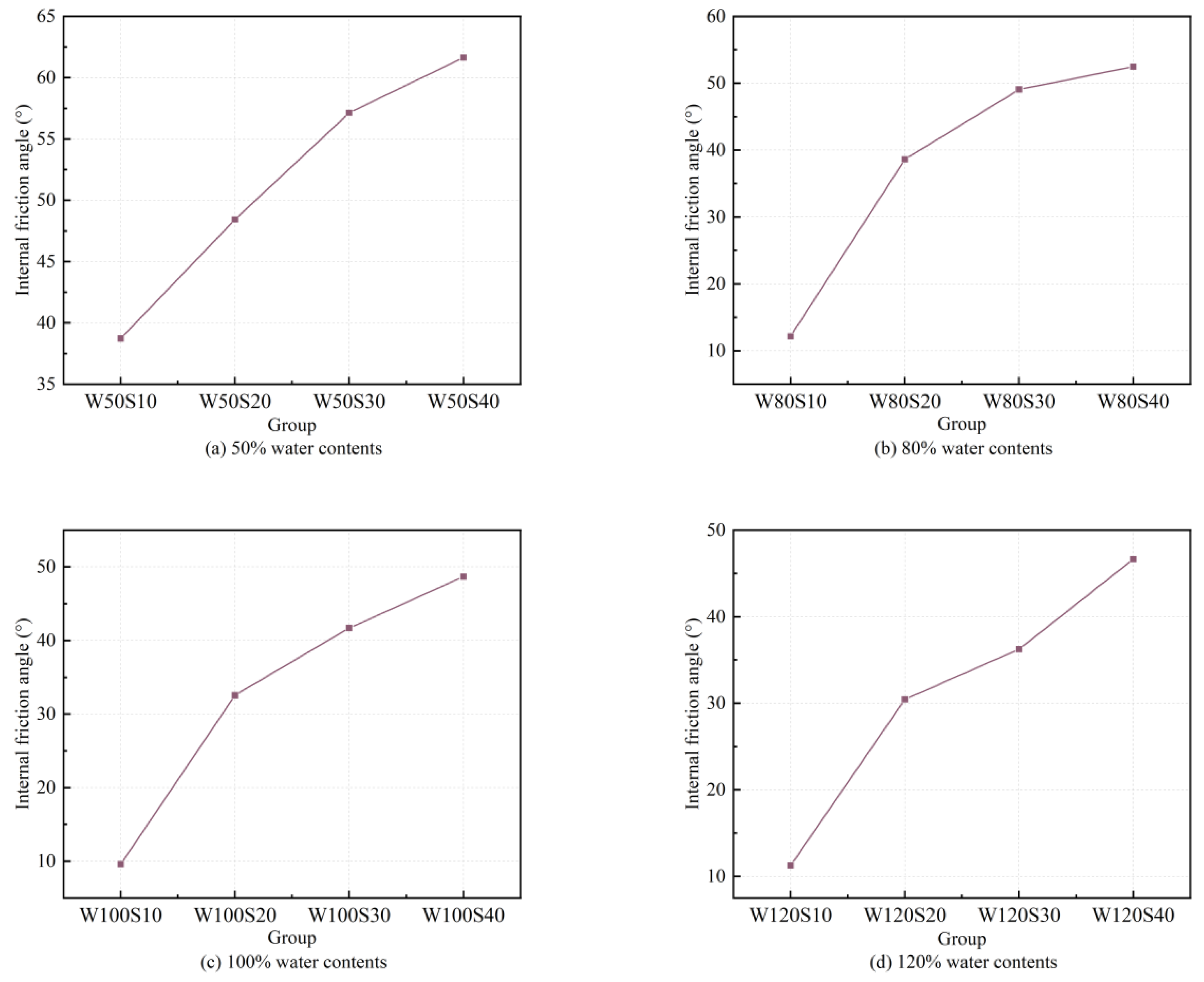
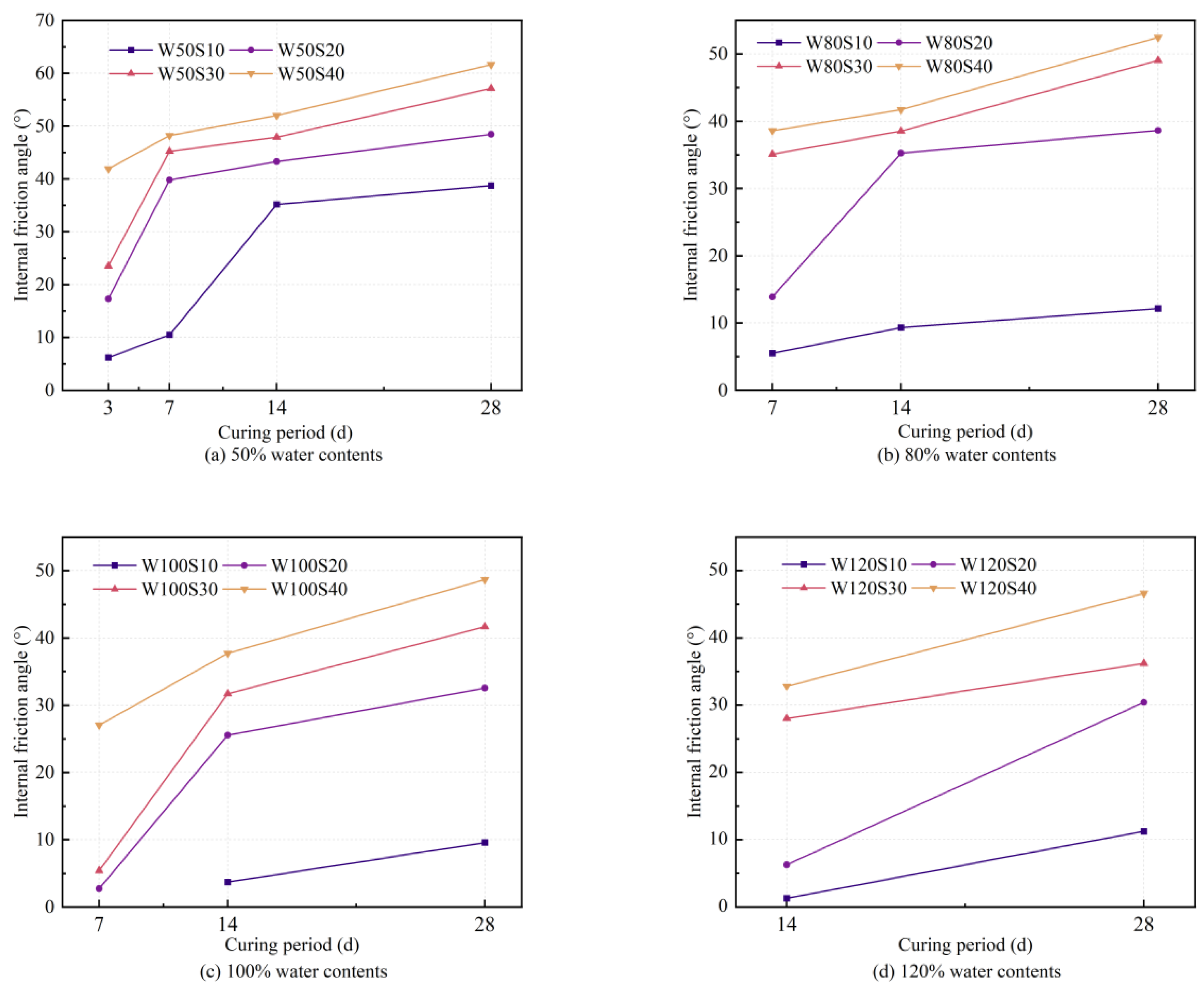
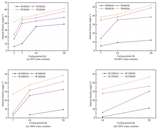
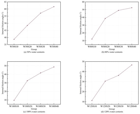
4.2.2. Internal Friction Angle
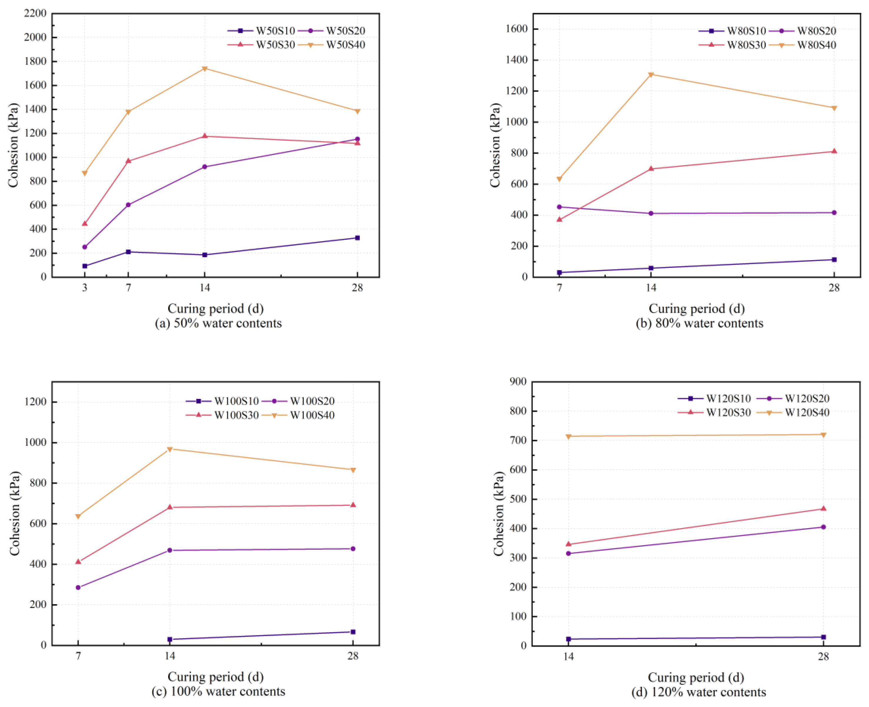
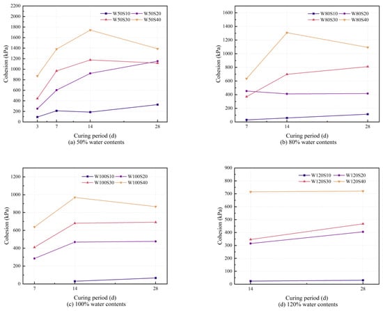
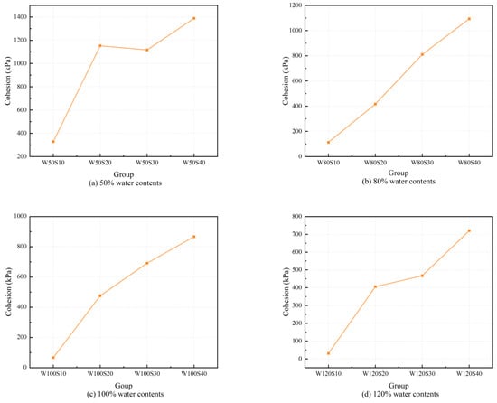
4.2.3. Cohesion
4.3. SEM-EDS
4.4. MIP Analysis
5. Environmental and Economic Analysis
6. Conclusions
- Based on the results obtained from the UCS and UU tests, the green binder geopolymer, prepared by the one-part method, could effectively improve the mechanical properties of soft clay with high water content up to 120%. Although the UCS and shear strength of the OPG-stabilized soft clay decreased with increasing water content, the strength of the stabilized soil increased with increasing binder content and curing period. Furthermore, there was a threshold for the binder amount. It was observed that for the soft soil with 50% water content, the threshold of the OPG binder was 30%, and it was 40% binder contents for the samples with 80% and 100% water content. For the sample with 120% water content, the threshold of the binder amount might be beyond 40%.
- The current research also revealed that the optimal OPG binder content for soft clay is influenced by the soil’s water content. Specifically, when the required UCS of 1 MPa at 28 days is set, for soil with 50% water content, the recommended OPG binder content is 10% to 20%, and for soil with water content between 80% and 120%, 20% OPG binder contents is suggested. When there is a requirement for early strength of the stabilized soft clay (i.e., the UCS at 14 days is 1 MPa), for soil with water content ranging from 50% to 80%, the recommended OPG binder content is 20%. While for soil with 100% and 120% water content, the designed OPG binder content can be chosen to be 30% and 40%, respectively.
- From a microstructural perspective, hydration products such as C-S-H, C-A-S-H, and N-A-S-H had a favorable effect on the mechanical properties of OPG-stabilized soft clay. High water content results in many pores within the samples. An increase in OPG binder content led to a significant increase in Ca and Na content, promoting the formation of more gels that gradually filled the pores, resulting in a denser structure.
- Compared to OPC-stabilized soft clay, the prepared OPG exhibited lower total carbon emissions and energy consumption, as well as lower economic costs. This comparison confirmed that OPG has the potential to be used as a new environmentally friendly curing agent replacing OPC, although further sustainability improvements are needed at a later stage, particularly by reducing the use of alkali activators.
Author Contributions
Funding
Data Availability Statement
Conflicts of Interest
References
- Wu, J.; Min, Y.; Li, B.; Zheng, X. Stiffness and strength development of the soft clay stabilized by the one-part geopolymer under one-dimensional compressive loading. Soils Found. 2021, 61, 974–988. [Google Scholar] [CrossRef]
- Ren, Y.; Yang, S.; Andersen, K.H.; Yang, Q.; Wang, Y. Thixotropy of soft clay: A review. Eng. Geol. 2021, 287, 106097. [Google Scholar] [CrossRef]
- Bayesteh, H.; Hezareh, H. Behavior of cement-stabilized marine clay and pure clay minerals exposed to high salinity grout. Constr. Build. Mater. 2023, 383, 131334. [Google Scholar] [CrossRef]
- Muchui Mugambi, L.; Mujombi, S.; Mutai, V.; Ratumo Toeri, J.; Mwiti Marangu, J.; Valentini, L. Potential of Limestone Calcined Clay Cement (LC3) in soil stabilization for application in roads and pavements construction. Case Stud. Constr. Mater. 2024, 21, e03706. [Google Scholar] [CrossRef]
- Wan, Y.; Zhu, Z.; Zhang, D.; Sun, H.; Li, Y. Research on strength and deformation properties of high moisture soft soils stabilized by GGBS, cement, fly ash, and sodium silicate. Constr. Build. Mater. 2024, 448, 138244. [Google Scholar] [CrossRef]
- Wan, Y.; Zhu, Z.; Xu, X.; Song, L. An intelligent soil-cement mixing column driver. Autom. Constr. 2022, 142, 104474. [Google Scholar] [CrossRef]
- Wan, Y.; Song, L.; Zhu, Z.; Peng, Y. Research on Construction Quality Monitoring and Evaluating Technology of Soil-Cement Mixing Piles. Soil Mech. Found. Eng. 2021, 58, 85–91. [Google Scholar] [CrossRef]
- Zhao, J.; Tong, L.; Li, B.; Chen, T.; Wang, C.; Yang, G.; Zheng, Y. Eco-friendly geopolymer materials: A review of performance improvement, potential application and sustainability assessment. J. Clean. Prod. 2021, 307, 127085. [Google Scholar] [CrossRef]
- Andrew, R.M. Global CO2 emissions from cement production, 1928–2017. Earth Syst. Sci. Data 2018, 10, 2213–2239. [Google Scholar] [CrossRef]
- Duxson, P.; Fernández-Jiménez, A.; Provis, J.L.; Lukey, G.C.; Palomo, A.; van Deventer, J.S.J. Geopolymer technology: The current state of the art. J. Mater. Sci. 2007, 42, 2917–2933. [Google Scholar] [CrossRef]
- Duxson, P.; Provis, J.L.; Lukey, G.C.; Mallicoat, S.W.; Kriven, W.M.; van Deventer, J.S.J. Understanding the relationship between geopolymer composition, microstructure and mechanical properties. Colloid Surf. A-Physicochem. Eng. Asp. 2005, 269, 47–58. [Google Scholar] [CrossRef]
- Amer, A.A.; El-Hoseny, S. Properties and performance of metakaolin pozzolanic cement pastes. J. Therm. Anal. Calorim. 2017, 129, 33–44. [Google Scholar] [CrossRef]
- Li, L.; Zheng, X.; Wu, J.; Zhang, J.; Li, P.; Wei, X. Performance of the one-part geopolymer stabilized soft clay under acids attack. J. Clean. Prod. 2024, 452, 142183. [Google Scholar] [CrossRef]
- Chen, M.; Wu, D.; Chen, K.; Cheng, P.; Tang, Y. The influence of fly ash-based geopolymer on the mechanical properties of OPC-solidified soil. Constr. Build. Mater. 2024, 432, 136591. [Google Scholar] [CrossRef]
- Su, Y.; Luo, B.; Luo, Z.; Xu, F.; Huang, H.; Long, Z.; Shen, C. Mechanical characteristics and solidification mechanism of slag/fly ash-based geopolymer and cement solidified organic clay: A comparative study. J. Build. Eng. 2023, 71, 106459. [Google Scholar] [CrossRef]
- Chen, K.; Wu, D.; Zhang, Z.; Pan, C.; Shen, X.; Xia, L.; Zang, J. Modeling and optimization of fly ash-slag-based geopolymer using response surface method and its application in soft soil stabilization. Constr. Build. Mater. 2022, 315, 125723. [Google Scholar] [CrossRef]
- Phetchuay, C.; Horpibulsuk, S.; Arulrajah, A.; Suksiripattanapong, C.; Udomchai, A. Strength development in soft marine clay stabilized by fly ash and calcium carbide residue based geopolymer. Appl. Clay Sci. 2016, 127–128, 134–142. [Google Scholar] [CrossRef]
- Min, Y.; Gao, M.; Yao, C.; Wu, J.; Wei, X. On the use of one-part geopolymer activated by solid sodium silicate in soft clay stabilization. Constr. Build. Mater. 2023, 402, 132957. [Google Scholar] [CrossRef]
- Zheng, X.Y.; Wu, J. Early Strength Development of Soft Clay Stabilized by One-Part Ground Granulated Blast Furnace Slag and Fly Ash-Based Geopolymer. Front. Mater. 2021, 8, 616430. [Google Scholar] [CrossRef]
- Min, Y.; Wu, J.; Li, B.; Zhang, J. Effects of Fly ash content on the strength development of soft clay stabilized by one-part geopolymer under curing stress. J. Mater. Civ. Eng. 2021, 33, 04021274. [Google Scholar] [CrossRef]
- Karolina, R.; Tarigan, J.; Megat Johari, M.A.; Mijarsh, M.A.; Hardjasaputra, H. Synthesis of Volcanic Ash-based Geopolymer Mortar Designed by the Taguchi Method. Civ. Eng. J.-Tehran 2022, 8, 2585–2597. [Google Scholar] [CrossRef]
- Phummiphan, I.; Horpibulsuk, S.; Phoo-ngernkham, T.; Arulrajah, A.; Shen, S.-L. Marginal Lateritic Soil Stabilized with Calcium Carbide Residue and Fly Ash Geopolymers as a Sustainable Pavement Base Material. J. Mater. Civ. Eng. 2017, 29, 04016195. [Google Scholar] [CrossRef]
- Suksiripattanapong, C.; Horpibulsuk, S.; Yeanyong, C.; Arulrajah, A. Evaluation of polyvinyl alcohol and high calcium fly ash based geopolymer for the improvement of soft Bangkok clay. Transp. Geotech. 2021, 27, 100476. [Google Scholar] [CrossRef]
- ASTM C618-17a; Standard Specification for Coal Fly Ash and Raw or Calcined Natural Pozzolan for Use in Concrete. ASTM International: West Conshohocken, PA, USA, 2019.
- Siyal, A.A.; Radin Mohamed, R.M.S.; Shamsuddin, R.; Ridzuan, M.B. A comprehensive review of synthesis kinetics and formation mechanism of geopolymers. RSC Adv. 2024, 14, 446–462. [Google Scholar] [CrossRef]
- ASTM D2487-17e1; Standard Practice for Classification of Soils for Engineering Purposes (Unified Soil Classification System). ASTM International: West Conshohocken, PA, USA, 2017.
- GB/T 50123-2019; Standard for Geotechnical Testing Method. National Standardization Administration of China: Beijing, China, 2019.
- ASTM C191-21; Standard Test Methods for Time of Setting of Hydraulic Cement by Vicat Needle. ASTM International: West Conshohocken, PA, USA, 2021. [CrossRef]
- DGJ32/TJ154-2013; Test Methods for Cement Soil. Jiangsu Province Engineering Construction Standard: Suzhou, China, 2013.
- Min, Y.; Wu, J.; Li, B.; Zhang, M.; Zhang, J. Physicochemical and Mechanical Behavior of the One-Part Geopolymer Paste Exposed to Hydrochloric and Sulfuric Acids. J. Mater. Civ. Eng. 2023, 35, 04022456. [Google Scholar] [CrossRef]
- ASTM D1633-17; Standard Test Methods for Compressive Strength of Molded Soil-Cement Cylinders. ASTM International: West Conshohocken, PA, USA, 2018. [CrossRef]
- ASTM D2850-03a; Standard Test Method for Unconsolidated-Undrained Triaxial Compression Test on Cohesive Soils. ASTM International: West Conshohocken, PA, USA, 2007.
- Zhang, W.; Ma, J.; Tang, L. Experimental study on shear strength characteristics of sulfate saline soil in Ningxia region under long-term freeze-thaw cycles. Cold Reg. Sci. Technol. 2019, 160, 48–57. [Google Scholar] [CrossRef]
- Liu, X.; Wu, J. Study on the properties of curing agent material for soft soil with high water content. J. Hunan Univ. Arts Sci. (Nat. Sci. Ed.) 2019, 31, 85–89+94. [Google Scholar]
- Muthukrishnan, S.; Ramakrishnan, S.; Sanjayan, J. Rapid early age strength development of in-line activated geopolymer for concrete 3D printing. Constr. Build. Mater. 2023, 406, 133312. [Google Scholar] [CrossRef]
- Zou, H.Y.; Zhong, W.L.; Zhao, X.; Fan, L.F. Investigation of geopolymerization and setting process of metakaolin-based geopolymer based on low-field nuclear magnetic resonance relaxometry. Constr. Build. Mater. 2024, 456, 139380. [Google Scholar] [CrossRef]
- Chuewangkam, N.; Kidkhunthod, P.; Pinitsoontorn, S. Direct evidence for the mechanism of early-stage geopolymerization process. Case Stud. Constr. Mater. 2024, 21, e03539. [Google Scholar] [CrossRef]
- Heshmat, M.; Amer, I.; Elgabbas, F.; Khalaf, M.A. Effect of binder and activator composition on the characteristics of alkali-activated slag-based concrete. Sci. Rep. 2024, 14, 13502. [Google Scholar] [CrossRef] [PubMed]
- Yi, Y.; Liu, S.; Zhang, D.; Zhu, Z. Experimental Study on T-Shaped Soil-Cement Deep Mixing Column Composite Foundation. Slope Stability, Retaining Walls, and Foundations; American Society of Civil Engineers: Reston, VA, USA, 2012; pp. 1–7. [Google Scholar] [CrossRef]
- Xiao, H. Yielding and Failure of Cement Treated Soil. Master’s Thesis, National University of Singapore, Singapore, 2009. [Google Scholar]
- Waldron, L.J. The Shear Resistance of Root-Permeated Homogeneous and Stratified Soil. Soil Sci. Soc. Am. J. 1977, 41, 843–849. [Google Scholar] [CrossRef]
- Min, Y.; Wu, J.; Li, B.; Zhang, M.; Zhang, J. Experimental study of freeze-thaw resistance of a one-part geopolymer paste. Case Stud. Constr. Mater. 2022, 17, e01269. [Google Scholar] [CrossRef]
- Zhao, R.; Yuan, Y.; Cheng, Z.; Wen, T.; Li, J.; Li, F.; Ma, Z.J. Freeze-thaw resistance of Class F fly ash-based geopolymer concrete. Constr. Build. Mater. 2019, 222, 474–483. [Google Scholar] [CrossRef]
- Li, B.; Yu, S.; Gao, B.; Li, Y.; Wu, F.; Xia, D.; Chi, Y.; Wang, S. Effect of recycled aggregate and steel fiber contents on the mechanical properties and sustainability aspects of alkali-activated slag-based concrete. J. Build. Eng. 2023, 66, 105939. [Google Scholar] [CrossRef]
- ISO 14040; Environmental Management—Life Cycle Assessment—Requirements and Guidelines. International Organization for Standardization: Geneva, Switzerland, 2006.
- Talaat, A.; Emad, A.; Kohail, M. Environmental Impact Assessment for Performance-Oriented Geopolymer Concrete Research. J. Mater. Civ. Eng. 2023, 35, 04022370. [Google Scholar] [CrossRef]
- Kawai, K.; Sugiyama, T.; Kobayashi, K.; Sano, S. Inventory Data and Case Studies for Environmental Performance Evaluation of Concrete Structure Construction. J. Adv. Concr. Technol. 2005, 3, 435–456. [Google Scholar] [CrossRef]
- Sun, Y.; Cai, J.; Xu, L.; Ma, X.; Pan, J. Mechanical and environmental performance of engineered geopolymer composites incorporating ternary solid waste. J. Clean. Prod. 2024, 441, 141065. [Google Scholar] [CrossRef]




















| Compound | MgO | Al2O3 | SiO2 | CaO | TiO2 | P2O5 | K2O | LOI |
|---|---|---|---|---|---|---|---|---|
| GGBFS (%) | 7.63 | 0.81 | 37.29 | 53.01 | 0.34 | 0.43 | - | 0.49 |
| FA (%) | 0.68 | 29.46 | 56.38 | 2.76 | 2.76 | - | 1.53 | 6.43 |
| Soft clay (%) | 2.00 | 15.5 | 63.9 | 2.20 | - | - | - | - |
| Physical Property | Value |
|---|---|
| Liquid limit (%) | 43.3 |
| Plastic limit (%) | 24.9 |
| Plasticity index | 18.7 |
| Natural water content (%) | 50.0 |
| Porosity (%) | 1.16 |
| Specific gravity | 2.74 |
| Unit weight (kN/m3) | 17.5 |
| Group | Remolded Soil Water Content (%) | OPG Binder Content (%) | Confining Pressure in UU Test (kPa) | Curing Period (d) |
|---|---|---|---|---|
| W50S10 | 50 | 10 | 100, 200, 300 | 3 7 14 28 |
| W50S20 | 20 | 3 7 14 28 | ||
| W50S30 | 30 | 3 7 14 28 | ||
| W50S40 | 40 | 3 7 14 28 | ||
| W80S10 | 80 | 10 | 100, 200, 300 | 3 7 14 28 |
| W80S20 | 20 | 3 7 14 28 | ||
| W80S30 | 30 | 3 7 14 28 | ||
| W80S40 | 40 | 3 7 14 28 | ||
| W100S10 | 100 | 10 | 100, 200, 300 | 3 7 14 28 |
| W100S20 | 20 | 3 7 14 28 | ||
| W100S30 | 30 | 3 7 14 28 | ||
| W100S40 | 40 | 3 7 14 28 | ||
| W120S10 | 120 | 10 | 100, 200, 300 | 3 7 14 28 |
| W120S20 | 20 | 3 7 14 28 | ||
| W120S30 | 30 | 3 7 14 28 | ||
| W120S40 | 40 | 3 7 14 28 |
| Raw Materials (kg) | Carbon Emission Factor (kg CO2/kg) | Embodied Energy (MJ/kg) | Cost (USD/kg) |
|---|---|---|---|
| Slag | 0.083 | 1.600 | 0.042 |
| Fly ash | 0.008 | 0.100 | 0.056 |
| Cement | 0.950 | 5.500 | 0.109 |
| Na2SiO3 | 0.430 | 4.600 | 0.091 |
| Sample | Carbon Emission (kg/t) | Embodied Energy (MJ/t) | Cost (USD) |
|---|---|---|---|
| G0C100 * | 285 | 234 | 231.42 |
| W50S10 | 23.44 | 59 | 33.10 |
| W50S20 | 46.88 | 117.99 | 91.45 |
| W50S30 | 70.32 | 177 | 137.18 |
| W50S40 | 93.76 | 236 | 182.91 |
Disclaimer/Publisher’s Note: The statements, opinions and data contained in all publications are solely those of the individual author(s) and contributor(s) and not of MDPI and/or the editor(s). MDPI and/or the editor(s) disclaim responsibility for any injury to people or property resulting from any ideas, methods, instructions or products referred to in the content. |
© 2025 by the authors. Licensee MDPI, Basel, Switzerland. This article is an open access article distributed under the terms and conditions of the Creative Commons Attribution (CC BY) license (https://creativecommons.org/licenses/by/4.0/).
Share and Cite
Li, S.; Zhou, Z.; Hu, G.; Yao, C.; Niu, F.; Wu, J. Using One-Part Geopolymer in Stabilizing High-Water-Content Soft Clay: Towards an Eco-Friendly and Cost-Effective Solution. Buildings 2025, 15, 477. https://doi.org/10.3390/buildings15030477
Li S, Zhou Z, Hu G, Yao C, Niu F, Wu J. Using One-Part Geopolymer in Stabilizing High-Water-Content Soft Clay: Towards an Eco-Friendly and Cost-Effective Solution. Buildings. 2025; 15(3):477. https://doi.org/10.3390/buildings15030477
Chicago/Turabian StyleLi, Shuo, Zihan Zhou, Guo Hu, Chuanqin Yao, Fujun Niu, and Jun Wu. 2025. "Using One-Part Geopolymer in Stabilizing High-Water-Content Soft Clay: Towards an Eco-Friendly and Cost-Effective Solution" Buildings 15, no. 3: 477. https://doi.org/10.3390/buildings15030477
APA StyleLi, S., Zhou, Z., Hu, G., Yao, C., Niu, F., & Wu, J. (2025). Using One-Part Geopolymer in Stabilizing High-Water-Content Soft Clay: Towards an Eco-Friendly and Cost-Effective Solution. Buildings, 15(3), 477. https://doi.org/10.3390/buildings15030477
