Experimental Study on the Damage Properties of Mechanical Properties of Saline Soil Under Different Influencing Factors
Abstract
1. Introduction
2. Materials and Test Scheme
2.1. Overview of the Study Area
2.2. Soil Materials of the Study Area
2.3. Preparation of the Artificial Saline Soil Samples
2.3.1. Materials of the Artificial Saline Soil
2.3.2. Sample Preparation Process
2.4. F-T Tests
2.4.1. Boundary Condition
2.4.2. F-T Cycle Device
2.4.3. F-T Cycle Process
2.5. UU Triaxial Shear Test
3. Stress–Strain Characteristics
3.1. Effect of Salt Content
3.2. Effect of Moisture Content
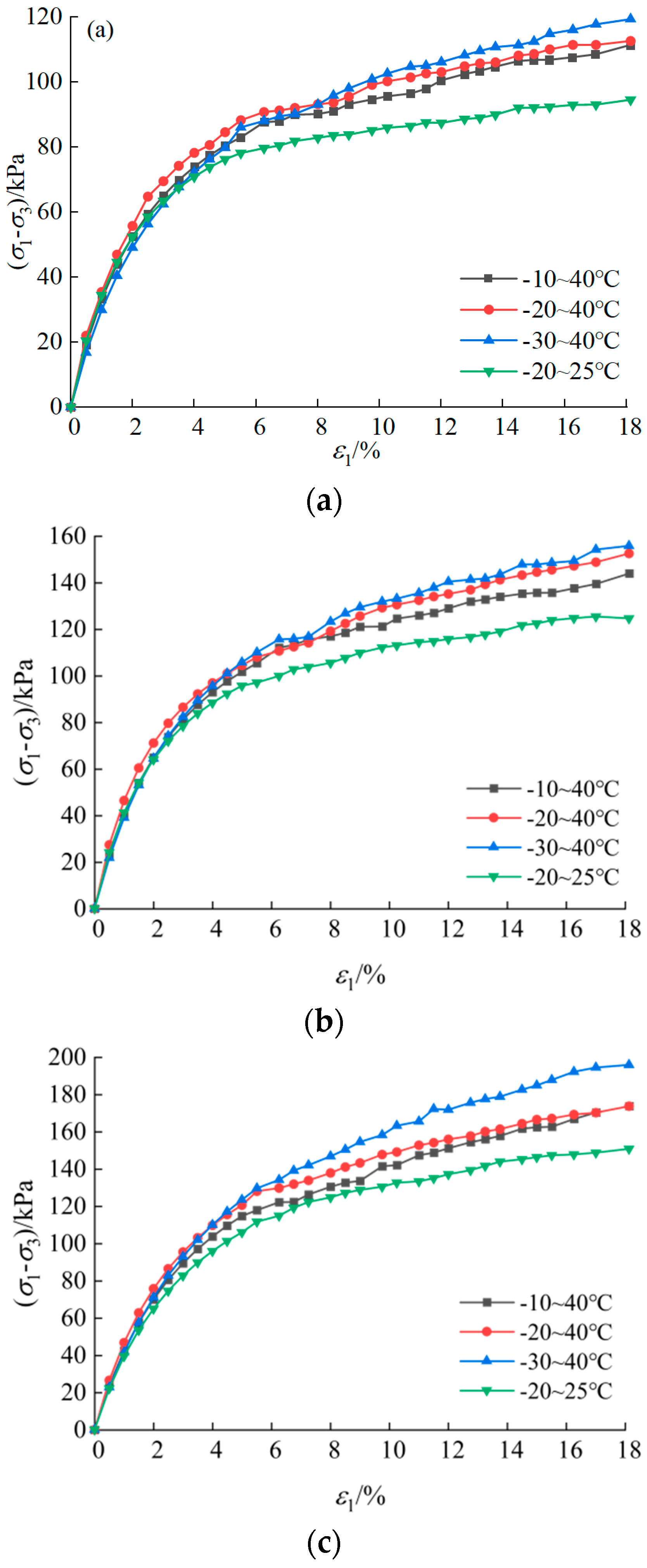
3.3. Effect of F-T Cycle Temperature
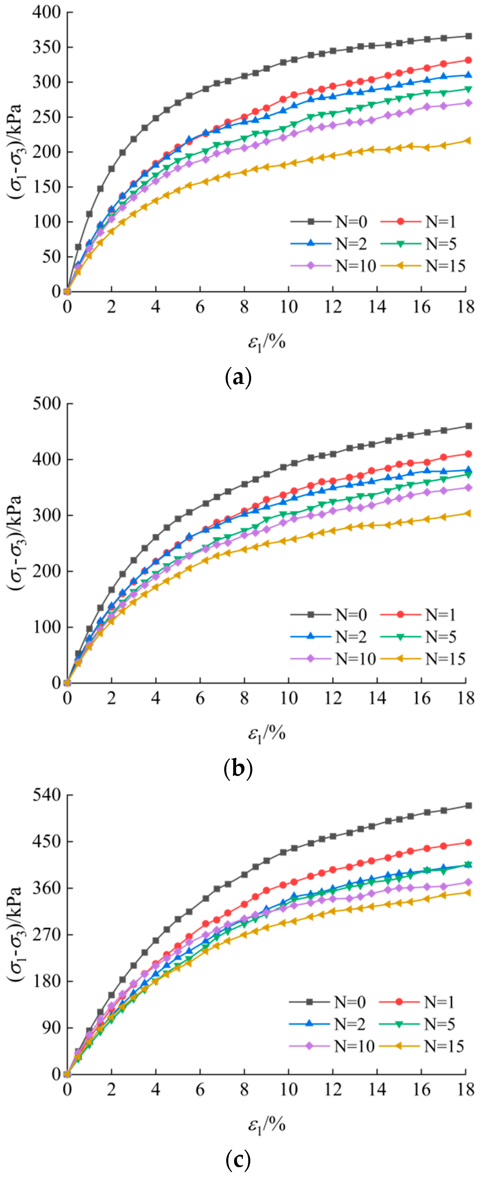
3.4. Effect of Number of F-T Cycles
4. Strength Characteristics
4.1. Failure Strength
4.2. Cohesion and Internal Friction Angle
5. Discussion
5.1. Deteriorative Effects of Various Factors on Failure Strength
5.1.1. Deteriorative Effect of F-T and Salinity on Failure Strength
5.1.2. Deteriorative Effect of F-T and Moisture on Failure Strength
5.2. Damage Effects of Various Factors on Cohesion
5.2.1. Damage Effect of F-T and Salinity on Cohesion
5.2.2. Damage Effect of F-T and Moisture on Cohesion
6. Conclusions
- (1)
- The stress–strain curves of saline soil samples exposed to a variety of F-T cycles demonstrate a strain-hardening behavior under differing conditions of salt and moisture content, as well as varying temperatures.
- (2)
- It has been established that an increase in salt content leads to a continuous decrease in the breaking strength, cohesion, and angle of internal friction of saline soils.
- (3)
- The optimum moisture content is a threshold for saline soils, where the damage strength of the soil continues to decrease as the water content increases, and the rate of decrease in damage strength decreases significantly once the water content exceeds the optimum threshold. Notably, when the moisture content remains below the optimal level of 17.7%, the internal friction angle decreases linearly. However, once the moisture content exceeds this optimal threshold, the rate of reduction in the internal friction angle significantly decreases.
- (4)
- When the melting temperature is established at 40 °C, a decrease in the freezing temperature from −10 °C to −30 °C is associated with a progressive increase in failure strength, a gradual decline in cohesion, and a rise in the internal friction angle, which ultimately demonstrates a linear trend. In contrast, when the freezing temperature is set at −20 °C, an elevation in the melting temperature from 25 °C to 40 °C results in a substantial increase in the ultimate deviatoric stress across the three confining pressures, a significant enhancement in cohesion, and a reduction in the internal friction angle.
- (5)
- The change rule curves for the deterioration rate of failure strength and the cohesion damage ratio exhibit a high degree of similarity. Furthermore, the impact of multiple factors on saline soil is greater than that of a single factor.
- (6)
- When F-T cycles and salt interact with saline soils, the initial two F-T cycles inflict the most considerable damage. Additionally, the presence of salt exacerbates the detrimental effects on saline soils during these F-T processes.
Author Contributions
Funding
Data Availability Statement
Conflicts of Interest
References
- Yao, C.; Zhong, H.; Zhu, Z. Development of a large shaking table test for sand liquefaction analysis. Lithosphere 2024, 2024, lithosphere_2024_137. [Google Scholar] [CrossRef]
- Zhao, J.; Zhu, Z.; Zhang, D.; Wang, H.; Li, X. Assessment of fabric characteristics with the development of sand liquefaction in cyclic triaxial tests: A DEM study. Soil Dyn. Earthq. Eng. 2024, 176, 108343. [Google Scholar] [CrossRef]
- Liu, C.; Zhang, X.; Lai, J.; Qin, Y. Steel fiber-reinforced recycled coarse aggregate shotcrete repair for tunnel lining corrosion: Experimental tests and calculation analysis. Tunn. Undergr. Space Technol. 2025, 157, 106236. [Google Scholar] [CrossRef]
- Kovalskiy, E.R.; Kongar-Syuryun, C.B.; Sirenko, Y.G.; Mironov, N.A. Modeling of rheological deformation processes for room and pillar mining at the Verkhnekamsk potash salt deposit. Sustain. Dev. Mt. Territ. 2024, 16, 1017–1030. [Google Scholar] [CrossRef]
- Kongar-Syuryun, C.B. Influence of mine water on the strength of artificial mass based on industrial waste. Ugol 2024, 12, 75–78. [Google Scholar]
- Kongar-Syuryun, C.B.; Kovalski, E.R. Hardening backfill at potash mines: Promising materials regulating stress-strain behavior of rock mass. Geol. Geophys. Russ. South 2023, 13, 177–187. [Google Scholar] [CrossRef]
- Tyulyaeva, Y.S.; Khayrutdinov, A.M.; Galachieva, I.D.; Totrukova, I.K. Creation of a high-strength backfill composite based on sulfide-bearing technogenic waste from mining production. Sustain. Dev. Mt. Territ. 2024, 16, 1384–1396. [Google Scholar] [CrossRef]
- Zhang, D.; Wang, S. Mechanism of freeze–thaw action in the process of soil salinization in northeast China. Environ. Geol. 2001, 41, 96–100. [Google Scholar] [CrossRef]
- Li, S.; Zhang, C.; Zhang, T.; Li, W.; Jia, P. Experimental study on the strength, collapsibility, and microstructure of cement and micro-silica-stabilized saline soil under freeze-thaw cycles. Case Stud. Constr. Mater. 2023, 19, e02518. [Google Scholar] [CrossRef]
- Chamberlain, E.J.; Gow, A.J. Effect of freezing and thawing on the permeability and structure of soils. Dev. Geotech. Eng. 1979, 26, 73–92. [Google Scholar] [CrossRef]
- Nuévalos-Tello, C.; Hernández-Torres, D.; Sardinero-Roscales, S.; Pajares-Guerra, M.; Chilton, A.; Jiménez-Ballesta, R. Ecological Restoration Process of El Hito Saline Lagoon: Potential Biodiversity Gain in an Agro-Natural Environment. Land 2024, 13, 1992. [Google Scholar] [CrossRef]
- Zhou, Z.; Ma, W.; Zhang, S.; Mu, Y.; Li, G. Effect of freeze-thaw cycles in mechanical behaviors of frozen loess. Cold Reg. Sci. Technol. 2018, 146, 9–18. [Google Scholar] [CrossRef]
- Zimmie, T.F.; La Plante, C. Effect of freeze/thaw cycles on the permeability of a fine-grained soil. In Hazardous and Industrial Wastes, Proceedings of the Mid-Atlantic Industrial Waste Conference; CRC Press: Boca Raton, FL, USA, 1990; pp. 580–593. [Google Scholar]
- Schiro, M.; Ruiz-Agudo, E.; Rodriguez-Navarro, C. Damage mechanisms of porous materials due to in-pore salt crystallization. Phys. Rev. Lett. 2012, 109, 265–503. [Google Scholar] [CrossRef] [PubMed]
- Zhang, Y.W.; Song, Z.P.; Lai, J.X.; Li, Y.Y. Spatial-temporal distribution of 3D temperature field of highway tunnel in seasonal frozen soil region. J. Highw. Transp. Res. Dev. 2020, 37, 96–103. [Google Scholar]
- Lai, Y.; Wu, D.; Zhang, M. Crystallization deformation of a saline soil during freezing and thawing processes. Appl. Therm. Eng. 2017, 120, 463–473. [Google Scholar] [CrossRef]
- Fan, W.; Yang, P.; Wang, S.; Zou, X.; Chen, Y. Multiscale analysis of pore structure in clay due to freeze-thaw. Case Stud. Constr. Mater. 2023, 19, e02273. [Google Scholar] [CrossRef]
- You, Z.; Lai, Y.; Zhang, M.; Liu, E. Quantitative analysis for the effect of microstructure on the mechanical strength of frozen silty clay with different contents of sodium sulfate. Environ. Earth Sci. 2017, 76, 143. [Google Scholar] [CrossRef]
- Wang, J.; Wang, Q.; Kong, Y.; Han, Y.; Cheng, S. Analysis of the pore structure characteristics of freeze-thawed saline soil with different salinities based on mercury intrusion porosimetry. Environ. Earth Sci. 2020, 79, 161. [Google Scholar] [CrossRef]
- Zhang, Y.; Yang, Z.J.; Liu, J.; Fang, J. Freeze-thaw cycle impact on volumetric and low-temperature shear behavior of high-salinity soils. J. Cold Reg. Eng. 2019, 33, 06018002. [Google Scholar] [CrossRef]
- Wang, C.; Lai, Y.; Zhang, M. Estimating soil freezing characteristic curve based on pore-size distribution. Appl. Therm. Eng. 2017, 124, 1049–1060. [Google Scholar] [CrossRef]
- Wang, J.; Wang, Q.; Lin, S.; Han, Y.; Cheng, S.; Wang, N. Relationship between the shear strength and microscopic pore parameters of saline soil with different freeze-thaw cycles and salinities. Symmetry 2020, 12, 1709. [Google Scholar] [CrossRef]
- Nan, J.; Liu, J.; Chang, D.; Li, X. Mechanical characteristics and microstructure study of saline soil stabilized by quicklime after curing and freeze-thaw cycle. Cold Reg. Sci. Technol. 2022, 201, 103625. [Google Scholar] [CrossRef]
- Aoyama, K.; Ogawa, S.; Fukuda, M. Temperature dependencies of mechanical properties of soils subjected to freezing and thawing. In Proceedings of the 4th International Symposium on Ground Freezing, Sapporo, Japan, 5–7 August 1985; pp. 217–222. [Google Scholar]
- Ogata, N. Effect of freezing-thawing on the mechanical properties of soil. In Proceedings of the 4th International Symposium on Ground Freezing, Sapporo, Japan, 5–7 August 1985; pp. 201–207. [Google Scholar]
- Zhang, Q.; Song, Z.; Li, X.; Wang, J.; Liu, L. Deformation behaviors and meso-structure characteristics variation of the weathered soil of Pisha sandstone caused by freezing-thawing effect. Cold Reg. Sci. Technol. 2019, 167, 102864. [Google Scholar] [CrossRef]
- Cheng, S.; Wang, Q.; Wang, N.; Wang, J.; Han, Y. Study on mechanical properties of saline soil and evaluation of influencing factors. J. Cold Reg. Eng. 2021, 35, 04021002. [Google Scholar] [CrossRef]
- Shen, J.; Wang, Q.; Chen, Y.; Han, Y.; Zhang, X.; Liu, Y. Evolution process of the microstructure of saline soil with different compaction degrees during freeze-thaw cycles. Eng. Geol. 2022, 304, 106699. [Google Scholar] [CrossRef]
- Han, Y.; Wang, Q.; Wang, N.; Wang, J.; Zhang, X.; Cheng, S.; Kong, Y. Effect of freeze-thaw cycles on shear strength of saline soil. Cold Reg. Sci. Technol. 2018, 154, 42–53. [Google Scholar] [CrossRef]
- Cheng, S.; Wang, Q.; Wang, J.; Wang, J.; Han, Y. Experimental study on undrained shear properties of saline soil under freeze-thaw cycles. Geofluids 2021, 2021, 9987414. [Google Scholar] [CrossRef]
- Sarsembayeva, A.; Collins, P.E.F. Evaluation of frost heave and moisture/chemical migration mechanisms in highway subsoil using a laboratory simulation method. Cold Reg. Sci. Technol. 2017, 133, 26–35. [Google Scholar] [CrossRef]
- Xu, X.; Li, Q.; Lai, Y.; Pang, W.; Zhang, R. Effect of moisture content on mechanical and damage behavior of frozen loess under triaxial condition along with different confining pressures. Cold Reg. Sci. Technol. 2019, 157, 110–118. [Google Scholar] [CrossRef]
- Chen, Z.; Liu, B.; Liu, Y.; Xu, J. Surrounding rock pressure in the tunnel portal section through moraine under freeze-thaw action. J. Mt. Sci. 2024, 21, 2480–2493. [Google Scholar] [CrossRef]
- Qi, J.; Zhang, J.; Zhu, Y. Influence of freezing-thawing on soil structure and its soil mechanics significance. Chin. J. Rock Mech. Eng. 2003, 22, 2690–2694. [Google Scholar] [CrossRef]

























| Natural Moisture Content, w% | LIQUID Limit, wL/% | Plastic Limit, wP/% | Plastic Index, IP | Maximum Dry Density, ρdmax/(g/cm3) | Optimum Moisture Content, wop/% |
|---|---|---|---|---|---|
| 14.83 | 29.79 | 17.61 | 12.18 | 1.79 | 17.56 |
| Depth of Soil Extraction | Content of Each Ion/(mmol/100 g) | Total Salt Content | ||||||
|---|---|---|---|---|---|---|---|---|
| 0~30 (cm) | 9.561 | 1.815 | 0.377 | 3.048 | 1.986 | 0.650 | 1.921% | 0.0949 |
| Liquid Limit, wL/% | Plastic Limit, wP/% | Plastic Index, IP | Maximum Dry Density, ρdmax/(g/cm3) | Optimal Moisture Content, wop/% |
|---|---|---|---|---|
| 31.05 | 18.1 | 12.95 | 1.83 | 17.73 |
| Influencing Factors | Moisture Content/% | Salt Content/% | Cyclic Temperature/°C | Number of F-T Cycles | Confining Pressure/kPa |
|---|---|---|---|---|---|
| Moisture content | 11.7 | 1.92 | −30~40 | 0, 1, 2, 5, 10, 15 | 100, 200, 300 |
| 14.7 | |||||
| 17.7 | |||||
| 20.7 | |||||
| Salt content | 17.7 | 0.00 | −30~40 | 0, 1, 2, 5, 10, 15 | 100, 200, 300 |
| 1.00 | |||||
| 1.92 | |||||
| 3.00 | |||||
| Cycle temperature | 17.7 | 1.92 | −30~40 | 0, 1, 2, 5, 10, 15 | 100, 200, 300 |
| −20~40 | |||||
| −10~40 | |||||
| −20~25 |
Disclaimer/Publisher’s Note: The statements, opinions and data contained in all publications are solely those of the individual author(s) and contributor(s) and not of MDPI and/or the editor(s). MDPI and/or the editor(s) disclaim responsibility for any injury to people or property resulting from any ideas, methods, instructions or products referred to in the content. |
© 2025 by the authors. Licensee MDPI, Basel, Switzerland. This article is an open access article distributed under the terms and conditions of the Creative Commons Attribution (CC BY) license (https://creativecommons.org/licenses/by/4.0/).
Share and Cite
Zheng, F.; Li, W.; Song, Z.; Wang, J.; Zhang, Y.; Wang, J. Experimental Study on the Damage Properties of Mechanical Properties of Saline Soil Under Different Influencing Factors. Buildings 2025, 15, 324. https://doi.org/10.3390/buildings15030324
Zheng F, Li W, Song Z, Wang J, Zhang Y, Wang J. Experimental Study on the Damage Properties of Mechanical Properties of Saline Soil Under Different Influencing Factors. Buildings. 2025; 15(3):324. https://doi.org/10.3390/buildings15030324
Chicago/Turabian StyleZheng, Fang, Wenqiang Li, Zhanping Song, Jiahui Wang, Yuwei Zhang, and Junbao Wang. 2025. "Experimental Study on the Damage Properties of Mechanical Properties of Saline Soil Under Different Influencing Factors" Buildings 15, no. 3: 324. https://doi.org/10.3390/buildings15030324
APA StyleZheng, F., Li, W., Song, Z., Wang, J., Zhang, Y., & Wang, J. (2025). Experimental Study on the Damage Properties of Mechanical Properties of Saline Soil Under Different Influencing Factors. Buildings, 15(3), 324. https://doi.org/10.3390/buildings15030324

