Next Article in Journal
Numerical Investigation on the Diffusion and Ventilation Characteristics of Hydrogen-Blended Natural Gas Leakage in Indoor Spaces
Previous Article in Journal
Research on Strategies for Creating an Age-Friendly Community Commercial Complex Environment in Shanghai
 
 
Font Type:
Arial Georgia Verdana
Font Size:
Aa Aa Aa
Line Spacing:
Column Width:
Background:
Article

Early-Age Hydration Heat in Railway 60-Meter Precast Box Girders: Experimental Study and Experimental Simulation

1
Zhejiang Key Laboratory of Intelligent Construction and Operation & Maintenance for Deep-Sea Foundations, Ningbo University of Technology, Ningbo 315211, China
2
China Railway Construction Bridge Engineering Bureau Group Co., Ltd., Tianjin 300300, China
*
Author to whom correspondence should be addressed.
Buildings 2025, 15(21), 3832; https://doi.org/10.3390/buildings15213832
Submission received: 14 September 2025 / Revised: 2 October 2025 / Accepted: 9 October 2025 / Published: 23 October 2025
(This article belongs to the Section Building Structures)

Abstract

Large precast concrete box girders are susceptible to cracking due to excessive temperature differentials induced by early-age hydration heat, compromising structural reliability and durability. Investigating the early-age hydration heat in large precast box girders and proposing corresponding temperature control measures based on influencing factor analysis is therefore essential. The present research employs field testing and numerical simulation of a 60 m precast railway box girder to develop a UMATHT subroutine and establish a refined finite element model incorporating temperature-dependent material properties and hydration degree. Results demonstrate that the early-age temperature field exhibits an initial rise followed by a decline. Pouring temperature exhibits a positive correlation with both peak temperature and maximum temperature differential; a 5 °C increase in pouring temperature elevates the temperature differential by nearly 1.8 °C. Cement content significantly affects peak temperature, with an average increase of approximately 5.4 °C per additional 50 kg/m3 of cement. Ambient wind speed exerts a greater influence on temperature evolution during the cooling phase than the heating phase. Increased ambient wind speed reduces the peak sectional temperature while concurrently increasing the surface temperature gradient on the windward side of the girder.

1. Introduction

Large precast concrete box girders are extensively employed in bridge engineering due to their exceptional flexural stiffness, high load-bearing capacity, and superior cross-sectional efficiency [1,2]. During early stage construction of mass concrete box girders, hydration reactions release substantial heat, causing bulk temperature to rise throughout the structure. The combined influence of ambient temperature and concrete’s thermal lag generates nonlinear temperature gradients throughout the girder [3,4]. Precast concrete box girders frequently develop non-uniform temperature distributions between interior and exterior regions during early stages, inducing greater temperature stress and deformation [5]. Excessive internal temperature gradients in concrete box girders can induce early-age cracking [6,7,8]. Dynamic loads during construction generate inertial forces that may induce resonance effects. Prolonged dynamic loading accelerates the degradation of concrete stiffness, compromising structural durability and serviceability. Consequently, a comprehensive investigation of early-age temperature field evolution in concrete box girders during construction is critically important, providing fundamental theoretical insights and practical guidance for ensuring structural safety and long-term durability [9,10,11].
Current research on the temperature field of large precast concrete box girders is dominated by numerical modeling and field testing. Zhang et al. [12] studied the early hydration heat temperature field of steel–concrete composite bridges using ABAQUS 6.14, but did not consider the effect of thermal parameters such as specific heat and thermal conductivity. Ren et al. [13] developed an FEA model for high-strength concrete blocks using MIDAS FEA software, examining the effects of fly ash content and pouring temperature on early-age temperature field while overlooking the influence of temperature on hydration degree. Hydration reactions generate substantial heat. The hydration degree in early stage temperature fields directly governs temperature distribution. Omitting hydration effects compromises simulation accuracy. For mass concrete precast box girders, key thermal parameters governing early-age temperature fields exhibit intrinsic temperature dependence [14,15]. Furthermore, temperature variations induce nonlinear evolution of specific heat capacity and thermal conductivity while simultaneously accelerating hydration. Neglecting these temperature-related effects may lead to errors. This adversely impacts the prevention of early-age concrete cracking [16,17]. Precise modeling of the early-age temperature field is fundamental to understanding its evolution. Wang et al. [18] investigated the early-age hydration temperature field in a single-box triple-cell concrete box girder and analyzed the influence of temperature stresses on early-age cracking. However, their analysis did not incorporate the temperature dependence of thermal parameters, which could markedly influence the temperature distribution. Furthermore, Sun [19] and Zhang [20] investigated the temperature field in mass concrete, but overlooked the influence of complex environmental conditions on hydration degree. These assumptions diverge significantly from actual conditions, thereby influencing the accuracy of the simulations.
Therefore, based on engineering practice, this paper conducts secondary development of the abaqus subroutine, and uses the user-defined subroutine UMATHT to numerically simulate the early temperature field of the 60 m concrete prefabricated box girder of the railway, and verifies the accuracy of the numerical model. By taking the coastal wind environment as an important external condition, the variation laws of the early temperature field under different construction and maintenance conditions were analyzed. They provide a certain degree of theoretical basis and guidance for the temperature control of hydration heat at the actual construction site.

2. Thermal Test Design

2.1. Concrete Mix Proportion

The 60 m precast railway concrete box girder mix proportion is shown in Table 1. The concrete is made of Ningbo Conch P. II 52.5 cement (Portland cement), Zhejiang Guo hua F Class I fly ash, Ninghai Hongji S95 mineral powder, Shandong Weihai medium sand, and Xiao Hai Shan gravel. The water used is drinking water from the construction site. The water-reducing agent is China Railway Zhuzhou high performance water-reducing retarder, with a water–binder ratio and water–sand ratio of 0.33 and 0.22, respectively, and concrete density of 2400 kg/m3, and slump of 190 mm.
To provide comprehensive material data, the chemical and mineral compositions of the Ningbo Conch P.II 52.5 cement (Portland cement) are detailed in Table 2, based on the manufacturer’s specifications and typical values for this cement type. The early-age compressive strength development of the concrete, as presented in Table 3, serves as a robust indicator of the cement’s hydration activity. For comparative purposes, the heat release characteristic of the cement itself can be inferred from this strength data. The attainment of 23.9 MPa within 24 h is indicative of a high early hydration rate, which is intrinsically linked to significant heat release. This behavior is consistent with the cement’s composition, particularly its high content of C3S and C3A.

2.2. Arrangement of Test Points

In order to test the temperature field of the early hydration heat of a 60 m concrete precast box girder, three sections, T1–T3, are selected and laid with JMT-36 temperature sensors (temperature test range is 0–100 °C, accuracy ± 0.5 °C). The junction between the web and the top web of the precast box girder is the critical section where the temperature gradient is the greatest, the restraint is the strongest, and cracking is most likely to occur. The temperature data at these locations are of decisive significance for guiding temperature control measures. Therefore, the box girder test section and layout of measuring points are shown in Figure 1 and Figure 2, respectively. During the test, the sensors at each measuring point are bound at the designated position of the reinforcing cage, and then concrete pouring is carried out. The JMZX-2001 comprehensive test system (accuracy ± 0.1 °C) is used to continuously collect data for 100 h at a frequency of 1 time/hour. The test process is shown in Figure 3.

2.3. Research Methods and Procedures

This study adopts a combined approach of field tests and numerical simulations. The field tests aim to obtain real temperature field data of the early hydration heat of precast box girders, providing empirical support for the research and serving as a basis for subsequent model validation. To further quantify the influence of various factors, an ABAQUS finite element model was established. The reliability of the model was ensured by comparing the simulation results with the field test data. On this basis, the validated model was used to systematically analyze the effects of three key parameters—pouring temperature, cement content, and ambient wind speed—on the temperature field. Through the mutual verification of field measurements and numerical simulations, a solid foundation was provided for thoroughly revealing the influence patterns of these parameters on the early-age temperature field.

3. Analysis of Test Results

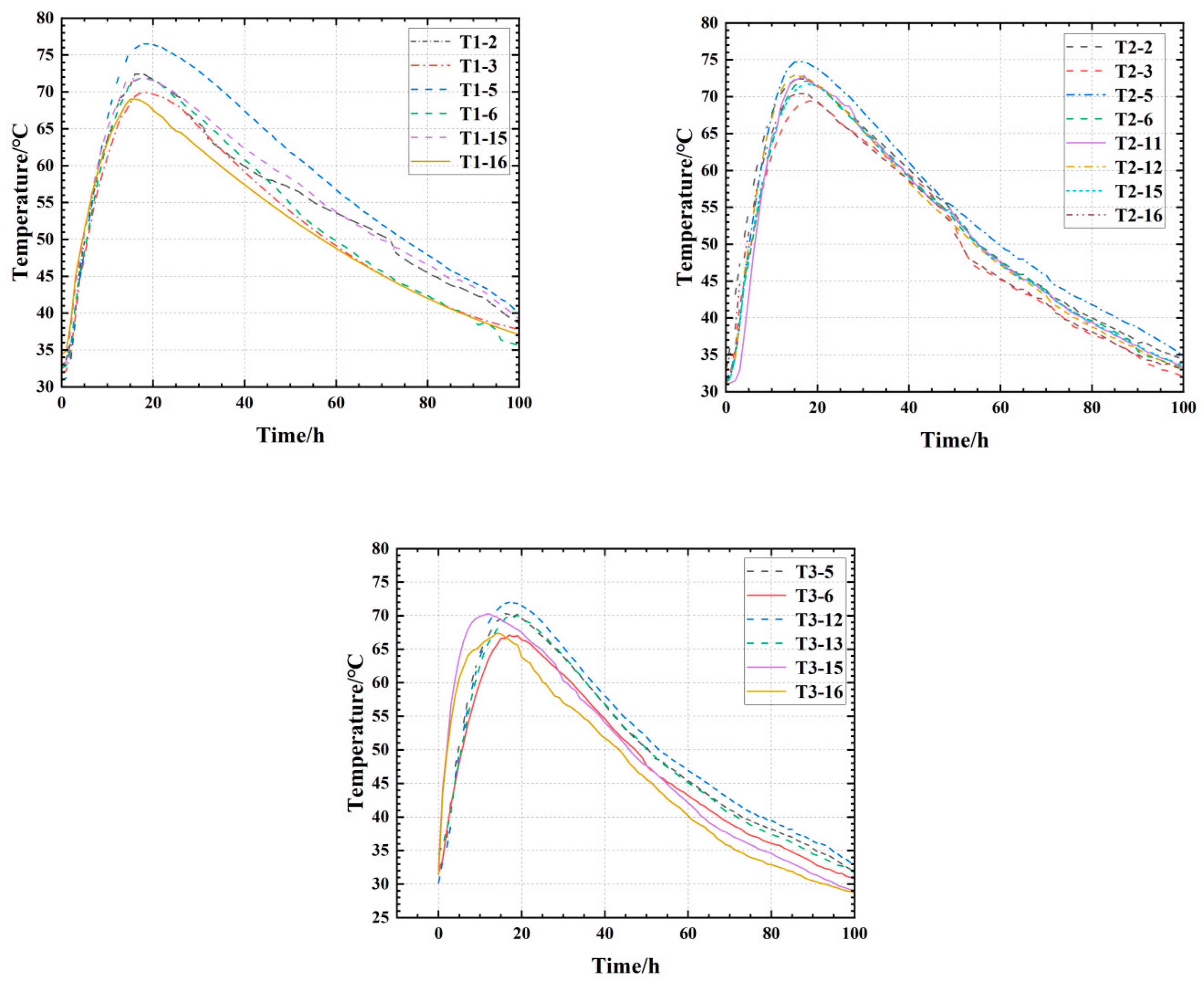
The measured temperature curve of 100 h before each test section of the precast box girder is illustrated in Figure 4. Figure 4 illustrates that the temperature trend of the concrete box girder is “rising first and then falling”, and the temperature rises rapidly in the early stage, reaching the peak in about 17 h, and then decreases slowly and nonlinearly. The average heating rate is greater than the cooling rate, and the time when each section reaches the peak temperature is basically the same. Among them, it is not easy to dissipate heat inside the box girder at the T1 section due to its large size and large cement consumption, and its peak temperature is higher than that of the T2 and T3 sections. In contrast, because the top plate thickness of the box girder is smaller than that of the web plate, it generates less heat, and it is unlikely to cause early cracking of concrete due to hydration heat.
The time and positions of the measured temperature peaks of each test section are presented in Table 4. The measured data indicate that the occurrence time of the peak temperature among sections is nearly identical, suggesting that the section size exerts a minimal effect on the timing of peak temperature.
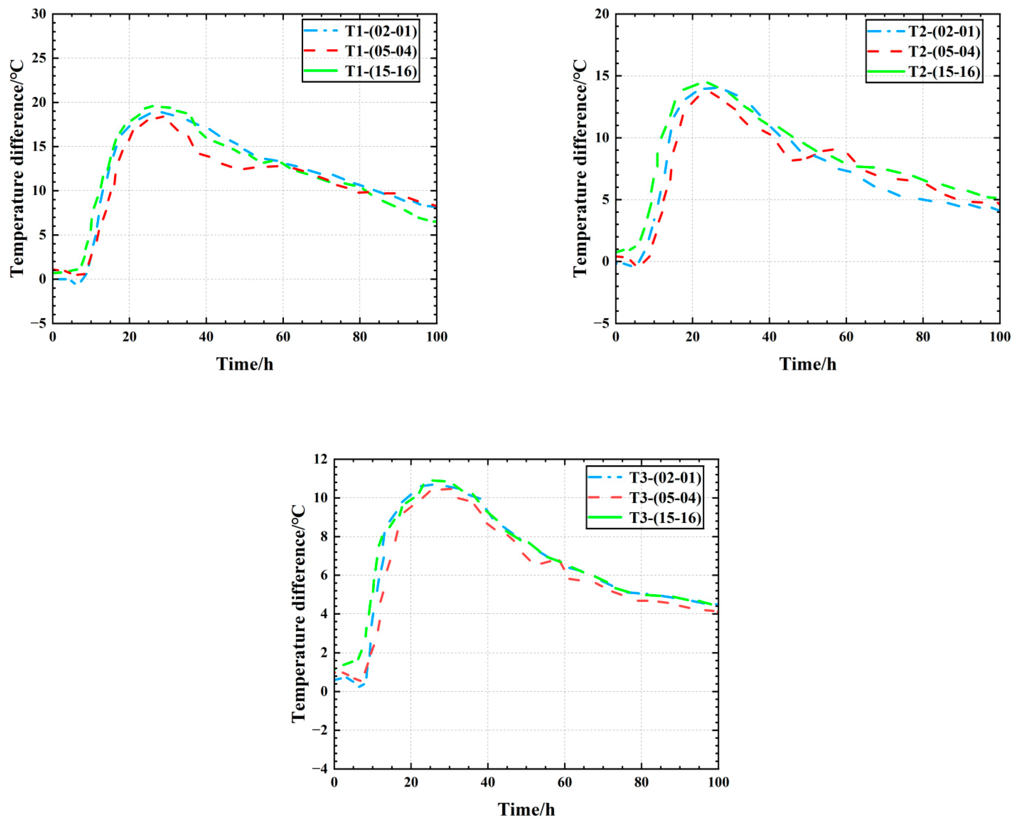
During the test, some measuring points were damaged due to concrete vibration and other reasons, resulting in some missing data. The temperature difference curve of each section of the measured box girder is shown in Figure 5. Figure 5 illustrates that unlike T1-(05-04), the other two temperature difference curves exhibit a trend of rising first and then falling. The fluctuation observed in T-(05-04) at 60 h is mainly attributed to a brief rainfall event, which caused rapid local cooling followed by a subsequent rebound. The maximum temperature difference in each test section basically appears around 23 h, and the temperature difference in the T1 section is the largest, reaching 19.8 °C, which is located between the center of the right web and the measuring point inside the web. The maximum temperature difference in T1, T2, and T3 web sections is 19.8 °C, 14.7 °C, and 10.9 °C, respectively. The greater the thickness of the box girder web, the greater the maximum temperature difference, and the maximum temperature difference in the web is larger than the temperature difference at the joint of the top web.
The measured maximum temperature difference in the box girder and the position of the measuring points are presented in Table 5. The measured results show that the time of maximum temperature difference for each test section is generally synchronized and slightly greater than the time corresponding to the peak temperature, but it is basically not affected by the web thickness.

4. Finite Element Simulation

4.1. Theoretical Model

The heat conduction equation of the internal temperature of the concrete box girder with time can be expressed by Equation (1) [20]:
λ ( 2 T 2 x + 2 T 2 y + 2 T 2 z ) + Q h = ρ C p T t
In Equation (1), ρ denotes the density of concrete (kg/m3), Cp represents the specific heat capacity (J/(m·h·°C)), λ signifies the thermal conductivity (J/(m·h·°C)), and T corresponds to temperature (°C).
The composite exponential equation proposed by Academician Zhu Bofang is highly consistent with the measured values, and is adopted for concrete adiabatic temperature rise, as shown in Equation (2) [21]:
Q t = Q 0 ( 1 e a t b )
In Equation (2), Q(t) represents the hydration heat at age t (J/kg), Q0 denotes the total heat generated by complete cement hydration (J/kg), and a and b are coefficients related to the cement hydration rate. Q0 is set to 3,500,000 J/kg, with a = 0.36 and b = 0.74.

4.1.1. Thermal Conductivity

The concrete strength grade of the precast box girder is C50, and the density is 2400 kg/m3. The thermal conductivity of cement will change with the degree of hydration during hydration, which can be expressed by Equation (3) [22]:
λ ( α ) = λ u × ( 1.33 0.33 α )
where λ(α) represents the current thermal conductivity, and λu denotes the thermal conductivity of fully hydrated concrete, which is assigned a value of 8830 J/(m·h·°C) in this study.

4.1.2. Specific Heat

The specific heat of concrete is affected by temperature, degree of hydration, and water–cement ratio, which can be expressed by Equation (4) [23]:
c = W c α c c e f + W c ( 1 α ) c c + W a c a + W w c w ρ
where c and W denote specific heat capacity and mass, respectively. Subscripts c, a, and w represent cement, aggregate, and water. ρ is the density of concrete (kg/m3), ccef is the assumed specific heat capacity, Tc is the current temperature (°C), and ccef = 0.0084Tc + 0.339. cc is the specific heat capacity of cement (930 J/(kg·°C)). ca is the specific heat capacity of concrete aggregate (678 J/(kg·°C)), and cw is the specific heat capacity of water (4187 J/(kg·°C)).

4.1.3. Heat Exchange Coefficient

The influence of wind on mass concrete mainly depends on the heat exchange coefficient of the concrete surface, which can be expressed by Equation (5) [24]:
β e q = 1 h i λ i + 1 β
In Equation (5), i denotes the thickness of the i-th insulation layer (m), λi represents the thermal conductivity of the i-th insulation material, and β is the heat dissipation coefficient between the outermost insulation layer and ambient air.

4.1.4. Degree of Hydration

Degree of hydration is the degree to which cement particles in concrete react with water. Degree of hydration determines the development of concrete strength and can be represented by Equation (6) [25]
α = Q Q 0
In Equation (6), α denotes the hydration degree, Q represents the heat release, and Q0 corresponds to the ultimate hydration heat of cement.
The corresponding parameters mentioned in the article are shown in Table 6. Q0 = 350,000 is taken from the data in the Reference [26]

4.2. UMATHT Finite Element Model

ABAQUS finite element software is used to study the internal temperature change in a 60 m precast concrete box girder. In order to accurately simulate the thermal transient evolution process, thermal parameters matching the measured data are used. According to the measured temperature data on the construction site, the characteristics of equivalent age, hydration degree, and thermal parameters changing with temperature are comprehensively considered, and the calculation process is shown in Figure 6.
The temperature field calculation model of the precast concrete box girder at the early stage is established by using the UMATHT subroutine. With the help of ABAQUS finite element software, the thermal transient numerical model of a 60 m concrete precast box girder is established, and the thermal transient analysis process is carried out by using a heat transfer unit-hexahedral DC3D8 element. After mesh division, the generated finite element model contains 151,348 elements with an average size of about 150 mm. The boundary condition is a third-type boundary condition, which fundamentally determines the temperature distribution on the surface and inside the object. The convective heat transfer coefficient β eq is an important parameter for conducting accurate thermal analysis.
The overall finite element model is shown in Figure 7. To ensure the fine simulation of early temperature field of box girder, the duration of thermal transient analysis is set as 100 h, the initial mold temperature of concrete is set as 30 °C, and the ambient temperature and wind speed data are completely embedded into the model. The ambient temperature and wind speed are presented in Figure 8 and Figure 9, respectively.

4.3. Comparison of Simulation and Measured Results

The ABAQUS subroutine UMATHT was applied to simulate the temperature in the first 100 h of the early temperature field of 60 m precast concrete box girder of railway, and the temperature field distribution of main sections at 10 h, 17 h, 30 h, 50 h and 100 h is illustrated in Figure 10. As presented in Figure 10, due to the small thickness of the top plate of the box girder, less heat is generated, and heat exchange is better. However, the cross-sectional size at the junction of the top and web plates and the web region is comparatively larger, resulting in a slower heat exchange rate and a higher peak temperature. The higher peak temperature makes it easy to generate heat accumulation, which leads to an increase in the temperature difference between the inside and outside of the box girder. Hence, certain temperature control measures shall be taken in the construction process to reduce the risk of early cracking. In view of the symmetry characteristics of the 60 m precast concrete box girder section along the span center line, the key measuring points of each section are selected to conduct a comparison between the temperature simulation value and the field measured value, and the specific comparison results are presented in Figure 11. The results show that the simulation results of finite element model are in agreement with the measured data, and the peak temperature of T1 section web is significantly higher than that of the T2 and T3 sections, and the occurrence time of peak temperature among the sections remains nearly identical. Taking the typical measuring point T1-15 as an example, the measured value of the measuring point is 71.9 °C, the simulated value is 73.8 °C, and the relative error is 2.6%. Therefore, the accuracy of the numerical model is confirmed. It provides a reliable model support for the further study of the influence of relevant parameters on the temperature field of the box girder, and is helpful to further reveal the change law of the temperature field of the railway precast concrete box girder.
To analyze the effect of thermal parameters varying with temperature and the equivalent age on the early temperature field of concrete, the temperature change curve of section T1’s web core under different cases can be examined in Figure 12. Figure 12 shows that the overall temperature curve follows a trend of “rising first and then falling”, with changes in conductivity having less effect on the peak temperature of the web core than changes in specific heat. The larger the temperature variation, the more obvious the effect of specific heat on the peak temperature, considering the difference in peak temperature between about 2 °C and 3 °C when thermal parameters vary with temperature. Without considering the equivalent age, the temperature error of the web core is large. The tested cases are summarized in Table 7.

4.4. Temperature Field Parameter Analysis

In a 60 m precast concrete box girder construction, cement content, pouring temperature, and ambient wind speed constitute key affecting factors for the early-age temperature field. Systematic analysis of these parameters is vital for preventing early cracking. Because the box girder’s structure is basically symmetrical from left and right, this paper selects the section on the right for an in-depth study.

4.4.1. Pouring Temperature

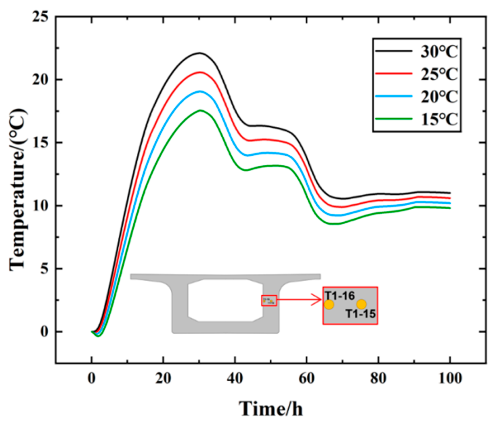
When entering the pouring stage, temperatures on the precast concrete box girder are easily aggravated by the release of hydration heat, which leads to an increase in the temperature difference between the inside and the outside of the box girder and increases the risk of early temperature cracks. According to the relevant specifications for concrete construction [27], during summer construction, the pouring temperature of concrete should not be higher than 30 °C. To further investigate how pouring temperature affects the early concrete temperature field, the simulation results in Section 4.2 are designated as working condition 1, while the control groups are defined as working conditions 2, 3, and 4. The pouring temperature under each working condition is set as 15 °C, 20 °C, and 25 °C. In addition, in order to analyze the change in the trend of hydration heat of mass for the concrete box girder under different temperatures, the detailed parameters of each working condition are listed in Table 8.
Temperature changes in the measuring points at the right web core of the box girder under a range of working conditions are illustrated in Figure 13. Figure 13 shows that there is a significant correlation between the pouring temperature and the peak temperature, and the peak temperature rises as the pouring temperature rises gradually, and the increase in both is almost the same. In addition, the influence of the temperature at 100 h is relatively small when the pouring temperature rises or falls, and the change in amplitude of the 100 h temperature is obviously less than that of the pouring temperature.
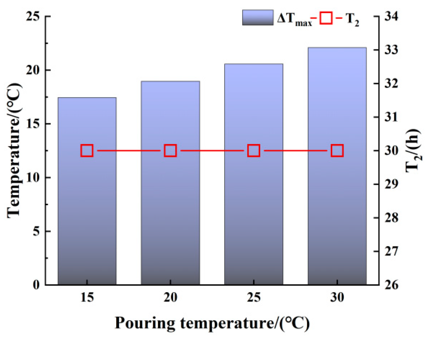
Generally speaking, different pouring temperatures have no effect on the change in trend of the core temperature of the precast concrete box girder web in the first 100 h, which is in accordance with the basic change law of “rising first and then falling”. At the same time, the pouring temperature also has an important effect on the occurrence time of peak temperature. The peak temperature Tmax, and the corresponding occurrence time T1 are shown in Figure 14. Figure 14 shows that the higher the pouring temperature, the earlier the peak temperature occurs. In the early stage, the fluctuation of pouring temperature has little interference with the heating rate, but in the cooling stage, the effect of pouring temperature on the cooling rate is significant; that is, the higher the pouring temperature, the faster the cooling rate. The 100 h temperature difference curve of the right web of the box girder under different working conditions is shown in Figure 15. Figure 15 illustrates that the temperature difference in web measuring points is positively correlated with the pouring temperature, and the temperature difference in web measuring points increases by 1.8 °C for every 5 °C increase in pouring temperature. Among these, mineral powder and fly ash have been calculated based on 90% of the cement content. Before the temperature difference reaches its peak, the influence of pouring temperature on the temperature difference in the measuring points of the web is significant. When the peak temperature difference is reached, the influence of pouring temperature on the temperature difference in the web measuring point progressively weakens. Moreover, the maximum temperature difference ∆Tmax and the corresponding occurrence time T2 are shown in Figure 16. Figure 16 shows that the change in pouring temperature has little effect on the occurrence time of the maximum temperature difference, and the maximum temperature difference under different pouring temperature conditions is basically about 30 h. The variation in the trend of the web temperature difference curve in the first 100 h is basically the same, although the pouring temperature is different.

4.4.2. Cement Content

During the hydration of concrete, cement is the key raw material, and its dosage directly affects the amount of heat released [28,29]. It is crucial to deeply explore how the cement content functions in the early concrete temperature field for preventing early concrete cracking. Therefore, in this section, working condition 1 in Section 4.2 is taken as the benchmark, and working conditions 5, 6, and 7 are set up as control experimental groups. See Table 9 for specific working condition parameters. Among them, the heat release capacity of mineral powder and fly ash in working condition 1 has been converted according to 90% of cement heat release capacity [30,31].
The temperature change curve of the right web core of the box girder is shown in Figure 17 for different cement contents. The figure indicates that with the increase in cement content, the heating rate in the early stage is accelerated and the peak temperature rises consequently. After the peak temperature, less cement is used, lowering the cooling rate, thus the impact of cement amount on the cooling rate is smaller relative to the heating rate. In addition, the peak temperature Tmax and the corresponding occurrence time T3 are shown in Figure 18. Figure 18 shows that the amount of cement hardly alters the time of occurrence of peak temperature, and at the end of the 100 h test, the amount of cement exerts minimal influence on the end temperature.
The relationship between cement increment and temperature change is shown in Figure 19. As shown in the figure, the temperature curves of cement increments of 450 kg−400 kg, 400 kg−350 kg and 350 kg−300 kg are, respectively, represented by temperature curves 1, 2 and 3, among which the change in cement increment of 450 kg−400 kg has the most significant influence on the peak temperature increment. With the increase in unit cement consumption, the average temperature increment in different time periods shows obvious differences for every 50 kg of cement added: the average temperature rise is 4.0 °C for 5 h; 5.1 °C for 10 h; and 5.3 °C, 3.9 °C, 1.6 °C and 1.0 °C for 20 h, 40 h, 80 h and 100 h, respectively. The temperature trend of the average temperature increment curve is basically consistent with the temperature change curve. The temperature rises rapidly in the early stage, and after reaching the average peak temperature rise, the temperature increment decreases gradually in unit time. Moreover, the temperature increment before and after the peak temperature has a large gradient, and the temperature increment in the early stage is much higher than that in the later stage. The average peak temperature increment is 5.4 °C, which occurs at 17 h, and then the temperature rise decreases to 1.0 °C at 100 h. To sum up, in view of the dynamic change in temperature increment and heating rate, the unit cement amount has a significant influence on the average temperature increment.

4.4.3. Different Wind Speeds

When carrying out concrete construction in coastal areas, wind speed is a key parameter that cannot be ignored [32,33], as it plays a decisive role in the ambient temperature and then influences the distribution pattern of concrete’s internal temperature. A detailed investigation into the impact of wind speed on the early-age concrete temperature field contributes to controlling the temperature gradient generated by hydration and reducing the risk of premature cracking. Since the wind speed near the ground is usually low, according to the monitoring data provided by the construction unit, the ground wind speed generally ranges from 0 to 4.2 m/s. Based on this, this section explores the influence of wind speed as a key variable on the temperature field of early concrete, and carefully screens out five representative wind speeds for research (v = 0 m/s, 2 m/s, 3 m/s, 4 m/s, and 5 m/s). See Table 10 for the information on each working condition.
Under different wind speed conditions, the temperature change curve of the right web core is shown in Figure 20. Figure 20 shows that as the wind speed on the windward side of the right web increases, the peak temperature gradually decreases, and the peak time is slightly advanced. The overall temperature curve accords with the change trend of rising first and then decreasing, which has a great influence on the heating rate in the early stage. After the peak temperature, the later cooling rate is basically the same, the overall temperature decreases, and the wind speed has a significant impact on the later temperature. The peak and final temperatures decrease as the ambient wind speed increases.
In the actual construction process, the wind direction has the characteristics of dynamic change with time. However, studies [34,35] have shown that the exothermic coefficients of concrete surfaces do not fluctuate significantly due to wind direction changes. Therefore, the wind direction factor will not be studied in depth in this section. The temperature gradient curve of the right web section under different wind speed conditions is shown in Figure 21, where the abscissa “1” and “0” correspond to the inner and outer sides of the right web, respectively. According to the analysis in Figure 21, the overall temperature curve shows a changing trend of rising first and then falling. Specifically, the outer surface temperature of the right web decreases significantly with the increase in ambient wind speed; At the same time, with the increase in ambient wind speed, the temperature of the web section decreases gradually along the direction of section thickness. In addition, the cross-section peak temperature also decreases with the increase in ambient wind speed. The temperature of the inner section of the web is basically stable, which indicates that the influence of ambient wind speed on the temperature of the inner section of the web is negligible. Table 11 shows the temperature of the right web at different distances from the windward side under different wind speeds.

5. Discussion

Limitations of the Study

Although the research results are valuable and the accuracy of the model has been verified, there are still some limitations that need to be considered. First, the numerical model and conclusions are mainly based on a specific case of a 60 m precast box girder under the climatic conditions of Ningbo. Whether these conclusions are applicable to other geographical regions with different environmental conditions, or to structures with significantly different dimensions, still requires further verification. Second, although the model accounts for variations in thermal parameters, some key input values—such as the heat release of cementitious materials—rely on empirical data from the literature rather than independent experimental calibration for the specific mix used. In addition, this study focused solely on the temperature field and did not account for moisture loss, which is also a critical factor influencing early-age cracking. Addressing these issues may be an important focus of future research to enhance the comprehensiveness of the model.

6. Conclusions

In this paper, the field test of early hydration heat of a 60 m hole concrete precast box girder of the Ningbo–Xiangshan railway project was carried out, and the finite element numerical model of thermal transient refinement was established. The effects of pouring temperature, cement content, and ambient wind speed on the early temperature development of the box girder was discussed. The main conclusions are as follows:
1
The variations in temperature of the top plate and the web in the 60 m precast concrete box girder exhibit nearly identical trends. The measured temperature curve generally shows a trend of “rising first and then falling”. Compared to other locations, the temperature and temperature difference are more significant at the junction of the box girder web and top plate.
2
During concrete pouring, the higher the pouring temperature, the higher the peak temperature, and the greater the temperature difference between the web core and the outer surface. The increase in pouring temperature is basically the same as that of the peak temperature. The initial pouring temperature strongly influences the subsequent cooling process. An increment of 5 °C in pouring temperature leads to a nearly 1.8 °C rise in the temperature gradient between the core of the web and the external region.
3
The amount of cement has a significant influence on the peak temperature, and the more cement used, the higher the peak temperature of the section. The more cement used, the greater the temperature increment per unit time and the faster the average temperature rate rises. The average peak temperature rise increases by about 5.4 °C for every 50 kg increase in unit cement consumption. The amount of cement has little influence on the final temperature, and the average temperature rise is only 1 °C at 100 h.
4
The higher the ambient wind speed, the lower the surface temperature of the windward side and the peak temperature of the cross-section, and the overall decrease in the latter temperature. Ambient wind speed has little influence on the temperature change in the heating stage. The increase in ambient wind speed will lead to an increase in temperature gradient on the windward surface of concrete, but it has little influence on the inner temperature of the box girder.

Author Contributions

Conceptualization, Z.L., F.W., Y.C. and L.W.; methodology, Z.L.; F.W., and X.F.; investigation, X.F., Y.C., and F.W.; writing—original draft preparation, X.F., F.W., L.W., and Y.C.; project administration, X.F., Y.C., and W.Y.; and funding acquisition, F.W. All authors have read and agreed to the published version of the manuscript.

Funding

The authors would like to acknowledge the financial support of the Major Project of “Science and Technology Innovation 2025” in Ningbo (2019B10076). This financial support is gratefully acknowledged.

Data Availability Statement

The original contributions presented in this study are included in the article. Further inquiries can be directed to the corresponding author.

Conflicts of Interest

Author Wei Yang was employed by the company China Railway Construction Bridge Engineering Bureau Group Co. The remaining authors declare that the research was conducted in the absence of any commercial or financial relationships that could be construed as a potential conflict of interest.

References

  1. Yao, L.S. Bridge Engineering, 2nd ed.; People’s Communications Publishing House: Beijing, China, 2021. (In Chinese) [Google Scholar]
  2. Gu, B.; Chen, Z.; Chen, X. Temperature gradients in concrete box girder bridge under effect of cold wave. J. Cent. South Univ. 2014, 21, 1227–1241. [Google Scholar] [CrossRef]
  3. Do, T.A.; Verdugo, D.; Tia, M.; Hoang, T.T. Effect of volume-to-surface area ratio and heat on early-age thermal behavior of precast concrete segmental box girders. Case Stud. Therm. Eng. 2021, 28, 101448. [Google Scholar] [CrossRef]
  4. Churchward, A.; Sokal, Y.J. Prediction of Temperatures in Concrete Bridges. J. Struct. Div. 1981, 107, 2163–2176. [Google Scholar] [CrossRef]
  5. Shen, Q.; Chen, J.; Yue, C.; Cao, H.; Chen, C.; Qian, W. Investigation on the Through-Thickness. Gradient and Thermal Stress of Concrete Box Girders. Buildings 2023, 13, 2882. [Google Scholar] [CrossRef]
  6. Li, P.W.; Xue, Z.X. Prefabricated Box Girder Crack’s Reason Analysis and Preventive Measures. Adv. Mater. Res. 2011, 1279, 3543–3547. [Google Scholar]
  7. Ozguven, A.; Ozcelik, Y. Investigation of some property changes of natural building stones to fire and high heat. Constr. Build. Mater. 2013, 38, 813–821. [Google Scholar] [CrossRef]
  8. Li, W.; Huang, Z.; Hu, G.; Duan, W.H.; Shah, S.P. Early-age development of ultra-high-performance concrete under heat treatment. Constr. Build. Mater. 2017, 131, 767–774. [Google Scholar] [CrossRef]
  9. Wang, Q.; Xian, J.; Xiao, J.; Zou, S. Simulation Study on Sunshine Intermediate Field of a Concrete Box Girder of the Cable-Stayed Bridge. Sustainability 2023, 15, 7541. [Google Scholar] [CrossRef]
  10. Zhang, F.; Liu, J.; Gao, L. Experimental investigation of temperature gradients in a three-cell concrete box-girder. Constr. Build. Mater. 2022, 335, 127413. [Google Scholar] [CrossRef]
  11. Han, S.; Liu, Y.; Lyu, Y.; Liu, J.; Zhang, N. Numerical simulation investigation on hydration heat temperature and early cracking risk of concrete box girder in cold regions. J. Traffic Transp. Eng. (Engl. Ed.) 2023, 10, 697–720. [Google Scholar] [CrossRef]
  12. Zhang, Z.; Liu, Y.; Liu, J.; Zhang, N. Thermo-mechanical behavior simulation and quantitative risk evaluation on steel-concrete composite girders during the steel process. Structures 2021, 33, 3912–3928. [Google Scholar] [CrossRef]
  13. Ren, G.F.; Chang, S.D.; Zhang, J.K. Analysis of heat effects in high strength concrete for block # 0 of continuous heat frame. J. Univ. People’s Repub. China (Nat. Sci. Ed.) 2017, 42, 309–319. (In Chinese) [Google Scholar] [CrossRef]
  14. Dai, J.; Wang, Q.; Bi, R.; Wang, C.; Han, Z.; Du, W.; Chen, Z. Research on influencing factors and time-varying model of thermal conductivity of concrete at early age. Constr. Build. Mater. 2022, 315, 125638. [Google Scholar] [CrossRef]
  15. Ying, W.; Zhang, G.; Yang, Y. Temperature field of concrete in winter construction: Finite element modeling and parametric study. Rev. Romana Mater.-Rom. J. Mater. 2021, 51, 85–95. [Google Scholar]
  16. Zeng, Y.; Zeng, Y.; Jiang, D.; Liu, S.; Tan, H.; Zhou, J. Curing parameters’ influences of early-age temperature field in concrete continuous rigid frame bridge. J. Clean. Prod. 2021, 313, 127571. [Google Scholar] [CrossRef]
  17. Wu, H.; Liu, J. Investigations of the Early Field and Cracking Risk in Early Age Massive Concrete in the # 0 Segment of a Box Girder Bridge. KSCE J. Civ. Eng. 2023, 27, 3971–3989. [Google Scholar] [CrossRef]
  18. Wang, P.; Huang, C.; Zhao, G.H.; Zhang, F. Model test on hydration heat temperature field and strain field of concrete single box three-cell box girder. J. Shandong Univ. (Eng. Sci.) 2024, 54, 109–122, 130. (In Chinese) [Google Scholar]
  19. Sun, R.Z.; Gao, P.; Zhu, W.B.; Cui, C.; Wen, W.J.; Lin, X.; Wang, Q.T. Simulation method of concrete temperature field based on ABAQUS. Eng. Constr. 2021, 35, 1359–1361. (In Chinese) [Google Scholar]
  20. Zhang, L.L.; Yang, L.; Yang, Z.Y.; Zhao, Y.Q.; Liu, H. Temperature field analysis of long-span concrete box girder. J. Civ. Archit. Environ. Eng. 2011, 33, 36–42. (In Chinese) [Google Scholar]
  21. Zou, P.; Chang, H.J.; Wang, F.; Cai, Y.L.; Zhang, Z.; Zhao, Z.; Lv, Z.D. Effect of steam heating scheme on the early-age temperature field of a prefabricated concrete T-beam. Case Stud. Constr. Mater. 2024, 20, e02787. [Google Scholar]
  22. Schutter, D.G. Finite element simulation of thermal cracking in massive hardening concrete elements using degree of hydration based material laws. Comput. Struct. 2002, 80, 2035–2042. [Google Scholar] [CrossRef]
  23. Van Breugel, K. Simulation of Hydration and Formation of Structure in Hardening Cement-Based Materials; Delft University Press: Delft, The Netherlands, 1997. [Google Scholar]
  24. SL 191; Design Code for Hydraulic Concrete Structures. Water Conservancy Industry Standard of the People’s Republic of China: Beijing, China, 2008. (In Chinese)
  25. Zhu, B. Thermal Stresses and Temperature Control of Mass Concrete, 1st ed.; Elsevier/BH: Amsterdam, The Netherlands; Boston, MA, USA, 2014. [Google Scholar]
  26. Ma, Y.L. Analysis of Temperature Distribution in Prestressed Concrete T-Beams. Master’s Thesis, Northeast Forestry University, Harbin, China, 2014. (In Chinese). [Google Scholar]
  27. GB 50496; Standard for Construction of Mass Concrete. Ministry of Housing and Urban-Rural Development of China: Beijing, China, 2018. (In Chinese)
  28. Chuc, N.T.; Nikolay, A. The effect of formworks on the temperature regime in the mass concrete. Mag. Civ. Eng. 2021, 7, 9911. [Google Scholar] [CrossRef]
  29. Nguyen, T.C.; Bui, A.K. Evaluation of the impact of parameter inputs of concrete mix on the distribution of temperature in the mass concrete structure. Struct. Integr. Life 2019, 19, 8–12. [Google Scholar]
  30. JGJ 55; Specification for Mix Proportion Design of Ordinary Concrete. Ministry of Housing and Urban-Rural Development of the People’s Republic of China: Beijing, China, 2011. (In Chinese)
  31. JTS/T 202-1; Technical Specification for Control of Temperature Cracks in Mass Concrete for Water Transport Projects. Ministry of Transport of the People’s Republic of China: Beijing, China, 2010. (In Chinese)
  32. Zhang, J.R.; Liu, Z.Q. Experimental study on convection heat transfer coefficient of concrete in wind tunnel. China Civ. Eng. J. 2006, 39, 39–42. (In Chinese) [Google Scholar]
  33. Wang, J.H. Test and simulation of concrete surface factor under different wind speeds. Constr. Build. Mater. 2021, 300, 124019. [Google Scholar] [CrossRef]
  34. Li, B.; Tong, F.G.; Liu, C.; Xi, N.N. Numerical Study on the Surface Convective Heat Transfer of Mass Concrete Structure. Appl. Mech. Mater. 2015, 3753, 992–995. [Google Scholar]
  35. Deng, N.H. Experimental Study on the Influence of Wind Speed and Direction on the Convective Heat Transfer Coefficient of Wall Surface. Master’s Thesis, Hunan University, Changsha, China, 2001. (In Chinese). [Google Scholar]
Figure 1. Cross-sectional view of thermal heat testing in the concrete box girder of the 60 m railway (unit: cm).
Figure 1. Cross-sectional view of thermal heat testing in the concrete box girder of the 60 m railway (unit: cm).
Buildings 15 03832 g001
Figure 2. Measuring points of T1, T2, and T3 sections (unit: cm).
Figure 2. Measuring points of T1, T2, and T3 sections (unit: cm).
Buildings 15 03832 g002
Figure 3. Test process of 60 m precast concrete box girder of the railway.
Figure 3. Test process of 60 m precast concrete box girder of the railway.
Buildings 15 03832 g003
Figure 4. Measured temperature curves of T1, T2, and T3 sections.
Figure 4. Measured temperature curves of T1, T2, and T3 sections.
Buildings 15 03832 g004
Figure 5. Measured temperature difference curve of T1, T2, and T3 sections.
Figure 5. Measured temperature difference curve of T1, T2, and T3 sections.
Buildings 15 03832 g005
Figure 6. Calculation process of the UMATHT subroutine.
Figure 6. Calculation process of the UMATHT subroutine.
Buildings 15 03832 g006
Figure 7. Finite element model of a 60 m precast concrete box girder for railway applications (The red, green, and blue coordinate arrows represent the positive directions of the X, Y, and Z axes in the global Cartesian coordinate system).
Figure 7. Finite element model of a 60 m precast concrete box girder for railway applications (The red, green, and blue coordinate arrows represent the positive directions of the X, Y, and Z axes in the global Cartesian coordinate system).
Buildings 15 03832 g007
Figure 8. Ambient temperature.
Figure 8. Ambient temperature.
Buildings 15 03832 g008
Figure 9. Environmental wind speed.
Figure 9. Environmental wind speed.
Buildings 15 03832 g009
Figure 10. Time-dependent temperature fields across cross-sections of the 60 m box girder.
Figure 10. Time-dependent temperature fields across cross-sections of the 60 m box girder.
Buildings 15 03832 g010
Figure 11. Comparison of measured values and simulated values of 60 m concrete precast box girder measuring points.
Figure 11. Comparison of measured values and simulated values of 60 m concrete precast box girder measuring points.
Buildings 15 03832 g011
Figure 12. Temperature variation curve of section T1’s web core under different cases.
Figure 12. Temperature variation curve of section T1’s web core under different cases.
Buildings 15 03832 g012
Figure 13. Variation in different pouring temperatures.
Figure 13. Variation in different pouring temperatures.
Buildings 15 03832 g013
Figure 14. Peak temperature Tmax and corresponding time T1.
Figure 14. Peak temperature Tmax and corresponding time T1.
Buildings 15 03832 g014
Figure 15. Curve chart of temperature difference variation in different pouring temperatures.
Figure 15. Curve chart of temperature difference variation in different pouring temperatures.
Buildings 15 03832 g015
Figure 16. Maximum temperature difference ∆Tmax and corresponding time T2.
Figure 16. Maximum temperature difference ∆Tmax and corresponding time T2.
Buildings 15 03832 g016
Figure 17. Temperature variation diagram of different cement contents.
Figure 17. Temperature variation diagram of different cement contents.
Buildings 15 03832 g017
Figure 18. Peak temperature Tmax and corresponding time T3.
Figure 18. Peak temperature Tmax and corresponding time T3.
Buildings 15 03832 g018
Figure 19. Temperature increment curve for different cement contents.
Figure 19. Temperature increment curve for different cement contents.
Buildings 15 03832 g019
Figure 20. Temperature variation curve at different ambient wind speeds.
Figure 20. Temperature variation curve at different ambient wind speeds.
Buildings 15 03832 g020
Figure 21. Side temperature curve of the web with different wind speeds.
Figure 21. Side temperature curve of the web with different wind speeds.
Buildings 15 03832 g021
Table 1. Concrete mix proportion design (kg/m3).
Table 1. Concrete mix proportion design (kg/m3).
CementCoal AshMineral PowderSandGravelWaterWater-Binder RatioWater Reducer
2609511869810481560.334.73
Table 2. Typical chemical and mineral composition of P.II 52.5 cement.
Table 2. Typical chemical and mineral composition of P.II 52.5 cement.
Chemical CompositionContent (wt%)Mineral CompositionContent (wt%)
CaO62.0–65.0C3S50–55
SiO220.0–22.0C2S18–22
Al2O34.5–5.5C3A7.0–9.0
Fe2O33.0–3.5C4AF9.0–11.0
MgO≤3.0//
SO3≤3.5//
Loss on Ignition≤3.0//
Table 3. Concrete strength.
Table 3. Concrete strength.
Time/h243648607296
Strength/MPa23.927.231.935.641.744.4
Table 4. Measured temperature peak value, occurrence time, and corresponding position of each test section.
Table 4. Measured temperature peak value, occurrence time, and corresponding position of each test section.
Test SectionPeak Temperature/°CPeak Temperature Occurrence Time/hMeasurement Point Location
T176.517T1-5
T274.816T2-5
T372.017T3-5
Table 5. Measured maximum temperature difference, time of maximum temperature difference, and corresponding position of each test section.
Table 5. Measured maximum temperature difference, time of maximum temperature difference, and corresponding position of each test section.
Test SectionMaximum Temperature Difference/°CTime of Maximum Temperature Difference/hMaximum Temperature Difference Measuring Point
T119.023T1-(02-01)
T118.123T1-(05-04)
T119.823T1-(15-16)
T214.122T2-(02-01)
T213.823T2-(05-04)
T214.723T2-(15-16)
T310.723T3-(02-01)
T310.524T3-(05-04)
T310.923T3-(15-16)
Table 6. Parameter descriptions.
Table 6. Parameter descriptions.
SymbolMeaningEstimated ValueUnit
ρ Concrete density2400 kg / m 3
C p Specific heat C p = W c α c c e f + W c 1 α c c + W a c a + W W c W ρ J / ( kg )
W c The mass of cement450 kg / m 3
W a The mass of aggregate1746 kg / m 3
W W The mass of water156 kg / m 3
c c e f Assigned specific heat c c e f = 0.0084 T c + 0.339 J / ( kg )
c c Specific heat of cement930 J / ( kg )
c a Specific heat of the concrete aggregate678 J / ( kg )
Q 0 Adiabatic temperature rise equation parameter350,000 J / kg
t e Equivalent age t e = 0 t e E A R 1 T r 1 T d t h
E A Chemical reaction activation energy33.5 J / m o l
R Ideal gas constant8.314 J / ( m o l K )
T r Reference temperature293 K
λ Thermal insulation8830 J / ( m o l h )
a Reaction parameter0.36 /
b Reaction parameter0.74 /
α t e Hydration α = Q Q 0 /
Table 7. Table of different cases.
Table 7. Table of different cases.
CasesVariations in Thermal ConductivityVariations in Specific Heat CapacityEquivalent Age
1
2
3
4
5
Table 8. Parameters of different working conditions.
Table 8. Parameters of different working conditions.
Working ConditionsWorking Condition 1Working Condition 2Working Condition 3Working Condition 4
Pouring temperature30 °C15 °C20 °C25 °C
Table 9. Parameters for working conditions with different cement contents.
Table 9. Parameters for working conditions with different cement contents.
Working ConditionsWorking Condition IWorking Condition VWorking Condition VIWorking Condition VII
Cement content (kg/m3)450400350300
Table 10. Different ambient wind speeds.
Table 10. Different ambient wind speeds.
Working
Conditions
Working Condition IWorking Condition IIWorking Condition IIIWorking Condition IVWorking Condition V
wind speed (m/s)02345
Table 11. Temperature of the right web at different distances from the windward side at different wind speeds.
Table 11. Temperature of the right web at different distances from the windward side at different wind speeds.
Windward Side Distance (cm)0153045607590
wind speed 0 m/s61.4 °C72.5 °C79.2 °C81.4 °C79.3 °C72.6 °C60.7 °C
wind speed 2 m/s50.4 °C66.4 °C75.7 °C79.6 °C78.5 °C72.4 °C60.7 °C
wind speed 3 m/s46.7 °C64.5 °C74.6 °C79.0 °C78.3 °C72.3 °C60.6 °C
wind speed 4 m/s45.1 °C63.0 °C73.7 °C78.6 °C78.1 °C72.3 °C60.6 °C
wind speed 5 m/s43.3 °C61.2 °C72.6 °C78.0 °C77.8 °C72.2 °C60.6 °C
Disclaimer/Publisher’s Note: The statements, opinions and data contained in all publications are solely those of the individual author(s) and contributor(s) and not of MDPI and/or the editor(s). MDPI and/or the editor(s) disclaim responsibility for any injury to people or property resulting from any ideas, methods, instructions or products referred to in the content.

Share and Cite

MDPI and ACS Style

Feng, X.; Cai, Y.; Wang, F.; Lv, Z.; Yang, W.; Wang, L. Early-Age Hydration Heat in Railway 60-Meter Precast Box Girders: Experimental Study and Experimental Simulation. Buildings 2025, 15, 3832. https://doi.org/10.3390/buildings15213832

AMA Style

Feng X, Cai Y, Wang F, Lv Z, Yang W, Wang L. Early-Age Hydration Heat in Railway 60-Meter Precast Box Girders: Experimental Study and Experimental Simulation. Buildings. 2025; 15(21):3832. https://doi.org/10.3390/buildings15213832

Chicago/Turabian Style

Feng, Xu, Yuliang Cai, Fei Wang, Zhongda Lv, Wei Yang, and Lei Wang. 2025. "Early-Age Hydration Heat in Railway 60-Meter Precast Box Girders: Experimental Study and Experimental Simulation" Buildings 15, no. 21: 3832. https://doi.org/10.3390/buildings15213832

APA Style

Feng, X., Cai, Y., Wang, F., Lv, Z., Yang, W., & Wang, L. (2025). Early-Age Hydration Heat in Railway 60-Meter Precast Box Girders: Experimental Study and Experimental Simulation. Buildings, 15(21), 3832. https://doi.org/10.3390/buildings15213832

Note that from the first issue of 2016, this journal uses article numbers instead of page numbers. See further details here.

Article Metrics

Back to TopTop