Study on Carbon Emission Accounting and Influencing Factors of Chinese Buildings in Materialization Stage
Abstract
1. Introduction
2. Materials and Methods
2.1. Data Sources
2.2. Methods
2.2.1. BCEMS Quantification
- (1)
- Carbon accounting
- (2)
- Components of BCEMS
- (3)
- Carbon emissions from building materials
- (4)
- Carbon emissions from fossil fuel consumption
- (5)
- Carbon emissions from electricity consumption
2.2.2. Spatial Correlation Analysis
2.2.3. Geographical Detector
2.2.4. Geographically and Temporally Weighted Regression Model
3. Results
3.1. Spatial and Temporal Variations in BCEMS Accounting in China
3.1.1. Temporal Variation in BCEMS Accounting
3.1.2. Spatial Variation in BCEMS Accounting
3.2. Spatial Correlation Analysis of BCEMS in China
3.2.1. Global Spatial Autocorrelation
3.2.2. Local Spatial Autocorrelation
3.3. Identification of Influencing Factors
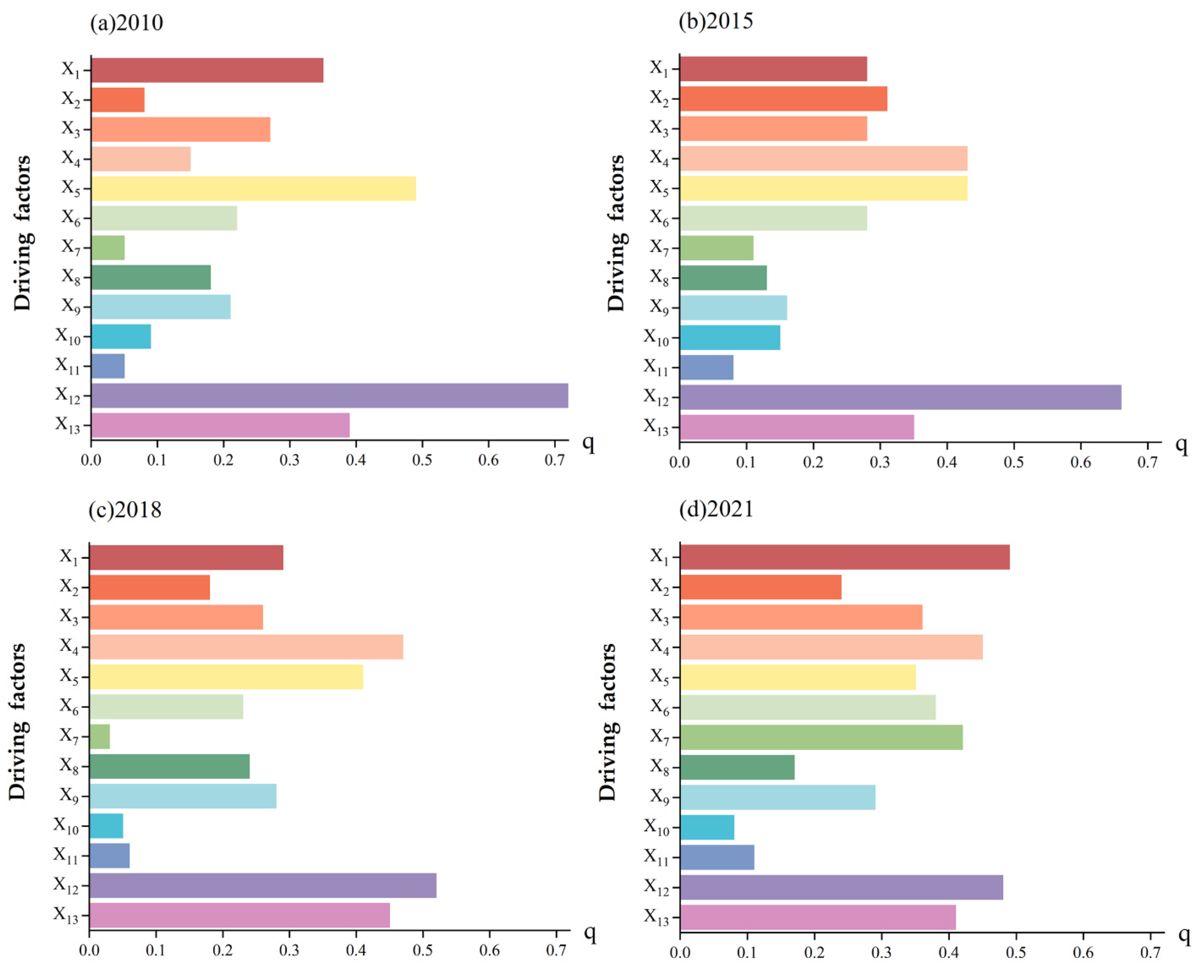
3.3.1. Impact Factor Detection
3.3.2. Interaction Detection
3.4. Analysis of Spatial Heterogeneity of Influencing Factors
4. Discussion
4.1. Overall Characteristics of BCEMS in China
4.2. Spatial Characteristics of BCEMS in China
4.3. Influencing Factors of BCEMS
5. Conclusions and Policy Implications
5.1. Conclusions
5.2. Policy Implications
Supplementary Materials
Author Contributions
Funding
Data Availability Statement
Conflicts of Interest
References
- Zheng, S.; He, X.; Liang, X.; Yu, L. Research on the Decoupling Relationship and Driving Factors of Carbon Emissions in the Construction Industry of the East China Core Economic Zone. Buildings 2024, 14, 1476. [Google Scholar] [CrossRef]
- Wang, Q.; Zhang, X.; Guo, C.; Zhou, H.; Zhao, Y.; Lin, B. Analysis of carbon emission differences between Chinese and Japanese buildings based on qualitative and quantitative comparisons. J. Build. Eng. 2024, 89, 109260. [Google Scholar] [CrossRef]
- Xiong, L.; Wang, M.; Mao, J.; Huang, B. A Review of Building Carbon Emission accounting Methods under Low-Carbon Building Background. Buildings 2024, 14, 777. [Google Scholar] [CrossRef]
- Li, X.; Zhu, C. Summary of research on account of carbon emission in building industry and analysis of its influential factors. J. Saf. Environ. 2022, 20, 317–327. [Google Scholar] [CrossRef]
- Zhang, S.; Wang, M.; Zhu, H.; Jiang, H.; Liu, J. Impact factors and peaking simulation of carbon emissions in the building sector in Shandong Province. J. Build. Eng. 2024, 87, 109141. [Google Scholar] [CrossRef]
- Liu, Y.; Gan, L.; Cai, W.; Li, R. Decomposition and decoupling analysis of carbon emissions in China’s construction industry using the generalized Divisia index method. Environ. Impact Assess. Rev. 2024, 104, 107321. [Google Scholar] [CrossRef]
- Yuan, S.S.; Chen, X.J.; Du, Y.C.; Qu, S.L.; Hu, C.M.; Jin, L.; Xu, W.; Yan, G. Pathway of Carbon Emission Peak of China’s Building Sector. Res. Environ. Sci. 2022, 35, 394–404. [Google Scholar] [CrossRef]
- Liu, Z. Near-real-time methodology for assessing global carbon emissions (in Chinese). Chin. Sci. Bull. 2023, 68, 830–840. [Google Scholar] [CrossRef]
- Zhang, S.; Wang, M.; Jiang, H.; Guan, D. Deep learning-based stepwise peaking roadmap of carbon emissions in Chinese provincial building sector. Build. Environ. 2025, 270, 112505. [Google Scholar] [CrossRef]
- Zou, Y.; Huang, M.; Huang, H.; Lu, Y. Spatiotemporal Evolution and Associated Influencing Factors of Carbon Emissions in the Middle Reaches of the Yangtze River Urban Agglomerations. Resour. Environ. Yangtze Basin 2025, 34, 976–992. [Google Scholar]
- Guo, X.; Qu, X.; Xu, D. Current status and prospects of carbon emission accounting system under the "dual carbon" background. J. Environ. Eng. Technol. 2025, 15, 819–832. [Google Scholar]
- Chen, Y.; Wu, Y.; Chen, N.; Kang, C.; Du, J.; Luo, C. Calculation of Energy Consumption and Carbon Emissions in the Construction Stage of Large Public Buildings and an Analysis of Influencing Factors Based on an Improved STIRPAT Model. Buildings 2022, 12, 2211. [Google Scholar] [CrossRef]
- Guo, J.; Bai, Y.; Qi, J.; Li, N.; Xu, M. Comparative study of international standards for carbon emission accounting methods in building life cycles. China Popul. Resour. Environ. 2025, 35, 55–67. [Google Scholar]
- Kumanayake, R.; Luo, H. Life cycle carbon emission assessment of a multi-purpose university building: A case study of Sri Lanka. Frontiers of Engineering. Front. Eng. Manag. 2018, 5, 381–393. [Google Scholar] [CrossRef]
- Lai, K.; Abdul Rahiman, N.; Othman, N.; Ali, K.; Lim, Y.; Moayedi, F.; Mat Dzahir, M. Quantification process of carbon emissions in the construction industry. Energy Build. 2023, 289, 113025. [Google Scholar] [CrossRef]
- Wen, L.; Yan, X. Research on the Distribution Characteristics and Regional Impact of Carbon Emissions in China’s Construction Industry. J. Eng. Manag. 2024, 38, 7–12. [Google Scholar] [CrossRef]
- Zhang, L.; Han, C.; Liu, X. Analysis on the Space-time Pattern and Influencing Factors of Carbon Emissions in China Construction Industry. J. Qingdao Univ. (Nat. Sci. Ed.) 2023, 36, 135–140. [Google Scholar]
- Ren, X.; Liang, Y.; Zhao, M.; Gao, C.; Xue, X. Analysis of Spatial Convergence and Driving Factors of Synergistic Effects of Pollution and Carbon Reduction in China′s Construction Industry. Res. Environ. Sci. 2025, 38, 724–735. [Google Scholar] [CrossRef]
- Wang, Y. Impact Mechanism of Biased Technological Progress on Building Embodied Carbon Emissions. Ph.D. Thesis, Liaoning Technical University, Fuxin, China, 2024. [Google Scholar] [CrossRef]
- Zhang, X.; Sun, J.; Zhang, X.; Wang, F. Assessment and regression of carbon emissions from the building and construction sector in China: A provincial study using machine learning. J. Clean. Prod. 2024, 450, 141903. [Google Scholar] [CrossRef]
- Xu, S.; Li, X.; Dong, X. Spatial characteristics and influencing factors of carbon emission intensity of construction industry in China. Sci. Technol. Rev. 2024, 42, 103–111. [Google Scholar] [CrossRef]
- Huang, G.; Li, K. Spatial-Temporal Analysis of Carbon Emissions in China Construction Industry. J. Eng. Manag. 2024, 38, 13–18. [Google Scholar] [CrossRef]
- Yang, H.; Yang, G. Spatial-temporal evolution and influencing factors of provincial carbon emissions in China based on modernization. Clim. Change Res. 2023, 19, 457–471. [Google Scholar]
- Shi, Z.; Bi, A. Spatiotemporal pattern and influencing factors of carbon emissions from construction sector in the Yangtze River Delta urban agglomeration. J. Xi’an Univ. Technol. 2024, 40, 182–192. [Google Scholar]
- Jiang, B.; Huang, B.; Zhang, H. Study on Influencing Factors of Construction Industry Carbon Emissions in Jiangsu Province Based on LMDI Model. Environ. Sci. Technol. 2021, 44, 202–212. [Google Scholar] [CrossRef]
- Yan, H.; Liu, H.; Qiu, R.; Zhang, Y. Influencing Factors Analysis of Construction Industry Carbon Emissions Based on Stepwise Regression. J. Eng. Manag. 2021, 35, 16–21. [Google Scholar] [CrossRef]
- Wang, Y.; Shi, H.; Yan, H.; Huang, W.; Hao, Z. Analysis of Carbon Emission Intensity Distribution and Spatial Effect of China’s Construction Industry Based on the Spatial Durbin Model. J. Eng. Manag. 2021, 35, 1–6. [Google Scholar] [CrossRef]
- Ou, J.P.; Xie, J.T.; Liu, X.P. Large disparities in spatiotemporal distributions of building carbon emissions across China. Build. Environ. 2025, 274, 112778. [Google Scholar] [CrossRef]
- Huo, T.F.; Zhang, Y.J.; Qiao, Y.F.; Hao, X.H.; Cong, X.B.; Cai, W.G. What is the internal peaking law of the building carbon emissions? Evidence from developed countries. J. Build. Eng. 2025, 110, 113054. [Google Scholar] [CrossRef]
- Wu, M. Analysis of Spatiotemporal Characteristics and Influence Factors of Carbon Intensity in China’s Construction Industry based on GTWR model. Master’s Thesis, Chang’an University, Xi’an, China, 2019. [Google Scholar]
- The Central People’s Government of the People’s Republic of China. Available online: https://www.gov.cn. (accessed on 23 August 2025).
- China Association for Building Energy Efficiency. Available online: https://www.cabee.org. (accessed on 23 August 2025).
- GB/T 2589-2008; General Principles for Comprehensive Energy Consumption Calculation. The Standardization Administration of the People’s Republic of China: Beijing, China, 2008.
- Cheng, S.; Zhou, X.; Zhou, H. Study on Carbon Emission Measurement in Building Materialization Stage. Sustainability 2023, 15, 5717. [Google Scholar] [CrossRef]
- Qi, S.; Zhang, Y. Research on the Influencing Factors and Reduction Strategies of Carbon Emission of Construction Industry in China. Soft Sci. 2013, 27, 39–43. [Google Scholar]
- Wu, D. Research on Carbon Emissions Caculation and Green Building Analysis Based on BIM. Master’s Thesis, Harbin Institute of Technology, Harbin, China, 2015. [Google Scholar]
- Yu, P.; Zhen, X.; Ma, L. Review on Studies of Life Cycle Carbon Emission from Residential Buildings. Build. Sci. 2011, 27, 9–12+35. [Google Scholar] [CrossRef]
- Shao, J.; Li, J.; Yan, X.; Ma, T.; Zhang, R. Analysis of spatiotemporal variation characteristics and driving forces of NPP in Shanxi Province from 2000 to 2020 based on geodetector. Environ. Sci. 2023, 44, 312–322. [Google Scholar] [CrossRef]
- Xu, Y.; Zheng, Z.; Guo, Z.; Dou, S.; Huang, W. Dynamic variation in vegetation cover and its influencing factor detection in the Yangtze River Basin from 2000 to 2020. Environ. Sci. 2022, 43, 3730–3740. [Google Scholar] [CrossRef]
- Chen, M.; Yue, H.; Hao, Y.; Liu, W. The Spatial Disparity, Dynamic Evolution and Driving Factors of Ecological Efficiency in the Yellow River Basin. J. Quant. Technol. Econ. 2021, 38, 25–44. [Google Scholar] [CrossRef]
- Pang, J.; Lu, G.; Yin, J.; Tan, M.; Mo, L.; Hou, X. A Study of the Spatiotemporal Evolution and Influencing Factors of Forest Ecological Product Value in Guangxi, China. Forests 2024, 15, 2199. [Google Scholar] [CrossRef]
- Li, M.; Han, L.; Liu, H.; Zhang, Y.; Shi, S. Dynamic Change of Per Capita Three-Dimensional Ecological Footprint in Shule River Basin Based on GTWR Model and Its Influencing Factors. Ecol. Econ. 2024, 40, 147–154. [Google Scholar]
- Wu, X.; Yang, S.; Yin, S.; Xu, H. Spatial-temporal Dynamic Characteristics and Its Driving Mechanism of Urban Built-Up Area in Yangtze River Delta Based on GTWR Model. Resour. Environ. Yangtze Basin 2021, 30, 2594–2606. [Google Scholar]
- Jiang, F.; Chen, B.; Li, P.; Jiang, J.; Zhang, Q.; Wang, J.; Deng, J. Spatio-temporal evolution and influencing factors of synergizing the reduction of pollution and carbon emissions—Utilizing multi-source remote sensing data and GTWR model. Environ. Res. 2023, 229, 115775. [Google Scholar] [CrossRef]
- Mi, K.; Zhang, C.; Wang, J. Characteristics of China’s Net Carbon Emissions from the Perspective of Carbon Neutrality Optimization of National Land Space. Energy Res. Manag. 2025, 17, 40–51. [Google Scholar] [CrossRef]
- Xiao, W.; Song, W.; Pei, X.; Wang, L. Drivers of Carbon Emissions in China’s Construction Industry: A Perspective from Interregional Carbon Transfer. Buildings 2025, 15, 1667. [Google Scholar] [CrossRef]
- Hong, J.; Liu, Y.; Chen, Y. A spatiotemporal analysis of carbon lock-in effect in China’s provincial construction industry. Resour. Sci. 2022, 44, 1388–1404. [Google Scholar] [CrossRef]
- Huang, J. Research on the Carbon Emission Characteristics and Reduction Paths of Building Decoration and Renovation Projects. Constr. Archit. 2025, 5, 62–65. [Google Scholar]
- Research Report on Energy Consumption and Carbon Emissions of Buildings in China (2022). Constr. Archit. 2023, 2, 57–69.
- Zhou, X.; Hu, P.; Cheng, P. Carbon Emission Accounting and Peak Carbon Prediction of China’s Construction Industry from a Whole Life Cycle Perspective. Environ. Sci. 2022, 44, 1388–1404. [Google Scholar] [CrossRef]
- Zhang, X.; Nie, D.; Chen, Z.; Wang, R.; Su, J. Spatial-temporal Evolution Characteristics and Influencing Factors of Carbon Emissions from Construction Industry in Western China. Environ. Sci. 2025, 1–22. [Google Scholar] [CrossRef]
- Kong, F.; Li, L. Analysis on Spatial Distribution and Driving Factors of Carbon Emissions in Provincial Construction Industry. Constr. Econ. 2019, 40, 102–106. [Google Scholar] [CrossRef]
- Li, B.; Han, S.; Wang, Y.; Li, J.; Wang, Y. Feasibility Assessment of the Carbon Emissions Peak in China’s Construction Industry: Factor Decomposition and Peak Forecast. Sci. Total Environ. 2020, 706, 135716. [Google Scholar] [CrossRef]
- Liu, W.S.; Ren, D.C.; Ke, C.B.; Ying, W. Carbon Emission Influencing Factors and Scenario Prediction for Construction Industry in Beijing–Tianjin–Hebei. Adv. Civ. Eng. 2023, 7074, 2286573. [Google Scholar] [CrossRef]
- Wang, Z.; Wang, Y.; Wang, T.; Zhao, N. Spatial Correlation Network Characteristics and Drivers of Carbon Reduction-Construction Waste Reduction-Green Expansion-Economic Growth Synergy Effect in construction industry. China Environ. Sci. 2025, 45, 4064–4079. [Google Scholar] [CrossRef]
- Li, M.; Chen, T. Influencing Factors and Peak Prediction of Operating Carbon Emission in Public Buildings of Jijin Province. Build. Energy Effic. 2024, 52, 142–150. [Google Scholar]
- Zhang, J.; Lu, H.; Peng, W.; Zhang, L. Analyzing carbon emissions and influencing factors in Chengdu-Chongqing urban agglomeration counties. J. Environ. Sci. 2025, 151, 640–651. [Google Scholar] [CrossRef] [PubMed]
- He, J.; Yang, J. Spatial–Temporal Characteristics and Influencing Factors of Land-Use Carbon Emissions: An Empirical Analysis Based on the GTWR Model. Land 2023, 12, 1506. [Google Scholar] [CrossRef]
- Yan, H.; Guo, X.; Zhao, S.; Yang, H. Variation of net carbon emissions from land use change in the Beijing-Tianjin-Hebei region during 1990–2020. Land 2022, 11, 997. [Google Scholar] [CrossRef]






| Building Material | Cement | Glass | Steel | Aluminum | Timber |
|---|---|---|---|---|---|
| Emission factor | 0.8150 kg/kg | 0.9655 kg/kg | 1.7890 kg/kg | 2.6000 kg/kg | −842.8000 kg/m3 |
| Recycling coefficient | —— | 0.70 | 0.80 | 0.85 | 0.20 |
| Factors | Variables | Abbreviation (Unit) | Description |
|---|---|---|---|
| economic factors | Economic development level | X1 (RMB/capita) | Ratio of regional GDP to permanent population |
| Level of industrialization | X2 (%) | Proportion of gross industrial output value in regional GDP | |
| Disposable income of urban residents | X3 (RMB) | Disposable income of urban residents | |
| Social factors | Total population | X4 (10,000 persons) | Total population of a region over a specified period |
| Population density | X5 (people/km2) | Population density | |
| Urbanization level | X6 (%) | Proportion of urban permanent population in total regional population | |
| technical factors | Labor productivity | X7 (RMB/capita) | Ratio of gross output value of construction industry to labor input |
| Technical equipment rate | X8 (RMB/capita) | Ratio of net value of owned mechanical equipment to number of employees in construction enterprises | |
| Power equipment rate | X9 (kw/person) | Ratio of number of power equipment to number of employees in construction enterprises | |
| energy factors | Energy consumption level | X10 (Tons/square meter) | Ratio of carbon emissions to completed floor area in construction industry |
| Energy intensity | X11 (tce/ten thousand RMB) | Ratio of energy consumption to regional GDP | |
| enterprise factors | Fixed assets | X12 (ten thousand RMB) | Total tangible assets of construction enterprises calculated by gross output value of construction industry |
| Liabilities of construction enterprises | X13 (ten thousand RMB) | Total liabilities of enterprises |
| Time | 2010 | 2011 | 2012 | 2013 | 2014 | 2015 | 2016 | 2017 | 2018 | 2019 | 2020 | 2021 | Sum | |
|---|---|---|---|---|---|---|---|---|---|---|---|---|---|---|
| Category | ||||||||||||||
| Building Materials | 1064.17 | 2373.68 | 2838.12 | 2045.56 | 2433.48 | 1693.33 | 1765.71 | 1863.04 | 1866.30 | 2083.57 | 1940.38 | 1992.22 | 23,959.56 | |
| Fossil Energy | 37.37 | 76.03 | 79.57 | 89.90 | 96.45 | 100.92 | 91.42 | 92.19 | 95.76 | 63.83 | 91.45 | 105.72 | 1065.21 | |
| Electricity | 34.36 | 56.05 | 59.22 | 65.53 | 70.29 | 67.25 | 68.11 | 72.80 | 80.15 | 88.74 | 89.67 | 99.73 | 851.91 | |
| Sum | 1135.90 | 2505.76 | 2976.91 | 2200.99 | 2600.22 | 1861.50 | 1925.24 | 2028.03 | 2042.21 | 2236.14 | 2121.50 | 2197.67 | 25,876.68 | |
| Year | Moran’s I Index | Z-Score | p-Value |
|---|---|---|---|
| 2010 | 0.47338 * | 1.914003 * | 0.045620 * |
| 2011 | −0.006397 | 0.239055 | 0.811063 |
| 2012 | 0.066757 | 0.913339 | 0.361064 |
| 2013 | 0.067933 | 0.860499 | 0.389514 |
| 2014 | 0.068709 | 0.854959 | 0.392574 |
| 2015 | 0.243198 * | 2.566112 * | 0.010285 * |
| 2016 | 0.005513 * | 2.775450 * | 0.005513 * |
| 2017 | 0.298060 * | 3.017784 * | 0.002546 * |
| 2018 | 0.312492 * | 2.959506 * | 0.003081 * |
| 2019 | 0.399551 * | 3.645945 * | 0.000226 * |
| 2020 | 0.328481 * | 3.052004 * | 0.002273 * |
| 2021 | 0.202364 * | 1.989491 * | 0.046647 * |
Disclaimer/Publisher’s Note: The statements, opinions and data contained in all publications are solely those of the individual author(s) and contributor(s) and not of MDPI and/or the editor(s). MDPI and/or the editor(s) disclaim responsibility for any injury to people or property resulting from any ideas, methods, instructions or products referred to in the content. |
© 2025 by the authors. Licensee MDPI, Basel, Switzerland. This article is an open access article distributed under the terms and conditions of the Creative Commons Attribution (CC BY) license (https://creativecommons.org/licenses/by/4.0/).
Share and Cite
Yin, J.; Lu, G.; Pang, J.; Yang, Y.; Mo, L. Study on Carbon Emission Accounting and Influencing Factors of Chinese Buildings in Materialization Stage. Buildings 2025, 15, 3414. https://doi.org/10.3390/buildings15183414
Yin J, Lu G, Pang J, Yang Y, Mo L. Study on Carbon Emission Accounting and Influencing Factors of Chinese Buildings in Materialization Stage. Buildings. 2025; 15(18):3414. https://doi.org/10.3390/buildings15183414
Chicago/Turabian StyleYin, Juan, Guangchang Lu, Jie Pang, Yu Yang, and Lisha Mo. 2025. "Study on Carbon Emission Accounting and Influencing Factors of Chinese Buildings in Materialization Stage" Buildings 15, no. 18: 3414. https://doi.org/10.3390/buildings15183414
APA StyleYin, J., Lu, G., Pang, J., Yang, Y., & Mo, L. (2025). Study on Carbon Emission Accounting and Influencing Factors of Chinese Buildings in Materialization Stage. Buildings, 15(18), 3414. https://doi.org/10.3390/buildings15183414
