Effect of Salinity on the Steady-State and Dynamic Rheological Behavior of Illite Clay
Abstract
1. Introduction
2. Materials and Methods
2.1. Materials
2.2. Specimen Preparation
2.3. Rheological Test
3. Results and Discussion
3.1. Steady-State Rheological Behavior of Illite
3.1.1. Influence of Salinity on Yield Stress
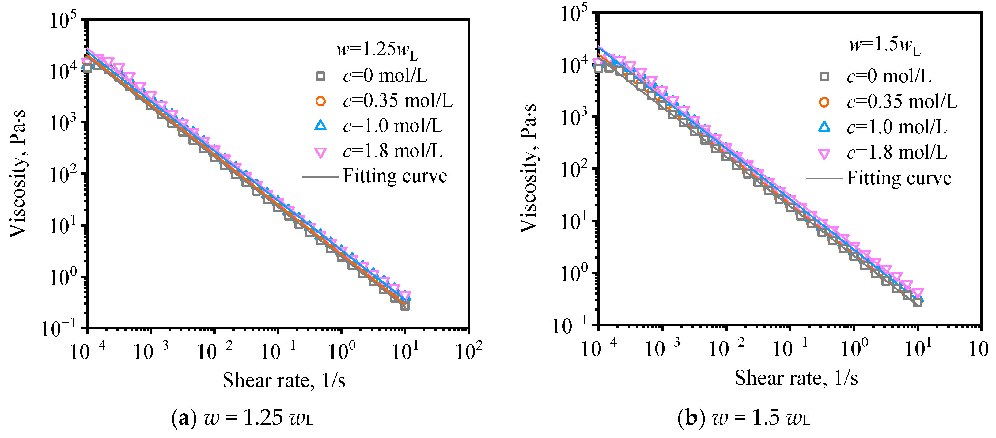
3.1.2. Influence of Salinity on Viscosity
3.2. Dynamic Rheological Behavior of Illite
3.2.1. Storage Modulus and Loss Modulus
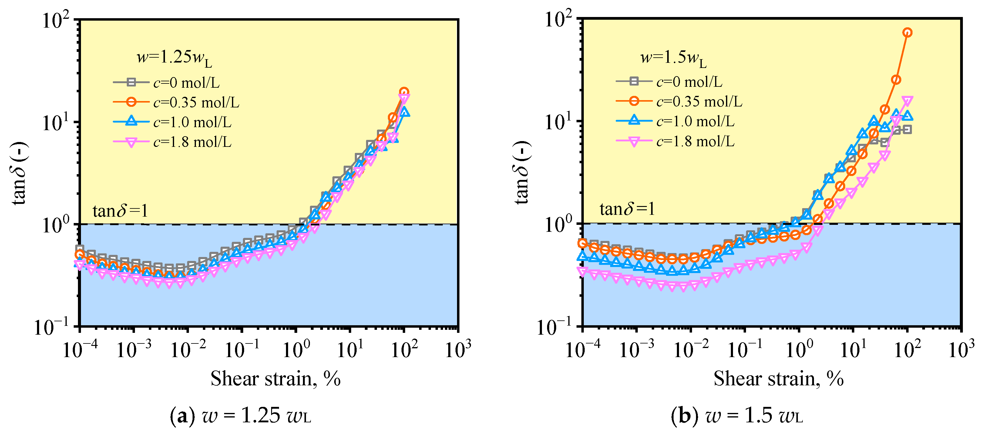
3.2.2. Viscoelasticity Parameters
3.2.3. Shear Resistance Parameters
4. Viscoelastic-Plastic Rheological Constitutive Model
4.1. Model Analysis
4.2. Model Establishment
4.3. Model Solving
5. Conclusions
- (1)
- The H-B model fits better for the flow curves of illite. The yield stress of specimens increases linearly with salinity, and specimens with lower water content exhibit higher yield stress. The yield stress increases about 50.0% when the salinity increases from 0 to 1.8 mol/L.
- (2)
- The consistency factor decreases with reducing salinity, while the rheology index increases. The viscosity of samples with different salinities decreases linearly with the shear rate, and the illite shows shear thinning behavior.
- (3)
- The specimens with higher salinity exhibit a higher storage modulus and loss modulus, which indicates greater elastic behavior. In the meantime, the increase in salinity causes an increase in the viscoelastic parameter and the shear strength parameter in different trends and, thus, improves the microstructural stability of illite.
- (4)
- Based on the viscoelastic-plastic constitutive model under dynamic loads, the long-term deformation of clay minerals is calculated, providing a theoretical basis for the calculation of settlement by engineering foundations in clay areas and with river dredging. The reliability of the long-term deformation predictions will be further verified in future research.
Author Contributions
Funding
Data Availability Statement
Conflicts of Interest
References
- Panagiotopoulos, I.; Voulgaris, G.; Collins, M.B. The influence of clay on the threshold of movement of fine sandy beds. Coast Eng. 1997, 32, 19–43. [Google Scholar] [CrossRef]
- Zhang, M.; Peng, Y. Effect of clay minerals on pulp rheology and the flotation of copper and gold minerals. Miner. Eng. 2015, 70, 8–13. [Google Scholar] [CrossRef]
- Zhao, Y.; Zou, X.; Gao, J.; Wang, C.; Li, Y.; Yao, Y.; Zhao, W.; Xu, M. Clay mineralogy and source-to-sink transport processes of Changjiang River sediments in the estuarine and inner shelf areas of the East China Sea. J. Asian Earth Sci. 2018, 152, 91–102. [Google Scholar] [CrossRef]
- Ni, H.; Huang, Y. Rheological study on influence of mineral composition on viscoelastic properties of clay. Appl. Clay Sci. 2020, 187, 105493. [Google Scholar] [CrossRef]
- Jin, Y.; Zhang, A.; Yin, Z.; Zhu, Q.; Wang, J. One-dimensional compressibility of soft clay related to clay minerals. Chin. J. Geotech. Eng. 2013, 35, 131–136. (In Chinese) [Google Scholar]
- Lahiru, B.; Nimal, S.; Boris, A. Influence of clays on the slurry rheology and flotation of a pyritic gold ore. Appl. Clay Sci. 2017, 136, 230–238. [Google Scholar]
- Jeong, S.W. Grain size dependent rheology on the mobility of debris flows. Geosci. J. 2010, 14, 359–369. [Google Scholar] [CrossRef]
- Jeong, S.W.; Locat, J.; Leroueil, S. The effects of salinity and shear history on the rheological characteristics of illite-rich and Na-montmorillonite-rich clays. Clays Clay Miner. 2012, 60, 108–120. [Google Scholar] [CrossRef]
- Wei, P.; Uijttewaal, W.; Lier, J.; Kreuk, M.D. Impacts of shearing and temperature on sewage sludge: Rheological characterisation and integration to flow assessment. Sci. Total. Environ. 2021, 774, 145005. [Google Scholar] [CrossRef]
- Kashif, N.; Albijanic, B.; Xu, J.J.; McGrath, T.; Nazir, M.K.; Hitch, M.; Tadesse, B. Investigating the drying behaviour of clay-containing slurries. Appl. Clay Sci. 2024, 260, 107500. [Google Scholar] [CrossRef]
- Wei, X.; Li, J.; Sun, Z.; Xu, L. Study on the steady-state and dynamic rheological characteristics of five clayey materials. Constr. Build. Mater. 2025, 458, 139583. [Google Scholar] [CrossRef]
- Alonsoe, E.; Gens, A.; Josa, A. A constitutive model for partially saturated soils. Géotechnique 1990, 40, 405–430. [Google Scholar] [CrossRef]
- Yao, Y.; Niu, L.; Cui, W. Unified hardening (UH) model for overconsolidated unsaturated soils. Can. Geotech. J. 2014, 51, 810–821. [Google Scholar] [CrossRef]
- He, P.; Zhu, Y.; Cheng, G. Constitutive models of frozen soil. Can. Geotech. J. 2000, 37, 811–816. [Google Scholar]
- Kelln, C.; Sharma, J.; Hughes, D.; Graham, J. An improved elastic-visco-plastic soil model. Can. Geotech. J. 2008, 45, 1356–1376. [Google Scholar] [CrossRef]
- Li, J.; Wang, W.; Zhu, Y.; Xu, H.; Xie, X. An elastic-viscoplastic model for time-dependent behavior of soft clay and its application on rheological consolidation. Math. Probl. Eng. 2014, 2014, 587412. [Google Scholar] [CrossRef]
- Liang, Z.; Zhang, A.; Ren, W.; Hu, H.; Wang, Y.; Li, S. Rheological properties of the high soluble salt content Ili loess with different water contents. Trans. Chin. Soc. Agric. Eng. 2023, 39, 90–99. (In Chinese) [Google Scholar]
- Nara, Y. Effect of anisotropy on the long-term strength of granite. Rock Mech. Rock Eng. 2015, 48, 959–969. [Google Scholar] [CrossRef]
- Yao, X.; Qi, J.; Liu, M.; Fan, Y. A frozen soil creep model with strength attenuation. Acta Geotech. 2017, 12, 1385–1393. [Google Scholar] [CrossRef]
- Wang, M.; Xu, X.; Li, J.; Shen, F.; Li, Y. An experiment study on stress relaxation of unsaturated lime-treated expansive clay. Environ. Earth. Sci. 2017, 76, 241. [Google Scholar] [CrossRef]
- Terzis, D.; Laloui, L. 3-D micro-architecture and mechanical response of soil cemented via microbial-induced calcite precipitation. Sci. Rep. 2018, 8, 1416. [Google Scholar] [CrossRef] [PubMed]
- Tang, H.; Duan, Z.; Wang, D.; Dang, Q. Experimental investigation of creep behavior of loess under different moisture contents. B. Eng. Geol. Environ. 2020, 79, 411–422. [Google Scholar] [CrossRef]
- Li, J.; Tang, Y.; Feng, W. Creep behavior of soft clay subjected to artificial freeze–thaw from multiple-scale perspectives. Acta Geotech. 2020, 15, 2849–2864. [Google Scholar] [CrossRef]
- Holthusen, D.; Pértile, P.; Reichert, J.; Horn, R. Controlled vertical stress in a modified amplitude sweep test (rheometry) for the determination of soil microstructure stability under transient stresses. Geoderma 2017, 295, 129–141. [Google Scholar] [CrossRef]
- Holthusen, D.; Pertile, P.; Reichert, J.; Horn, R. Viscoelasticity and shear resistance at the microscale of naturally structured and homogenized subtropical soils under undefined and defined normal stress conditions. Soil Till. Res. 2019, 191, 282–293. [Google Scholar] [CrossRef]
- Holthusen, D.; Batisto, A.; Reichert, J. Amplitude sweep tests to comprehensively characterize soil micromechanics: Brittle and elastic interparticle bonds and their interference with major soil aggregation factors organic matter and water content. Rheol. Acta 2020, 59, 545–563. [Google Scholar] [CrossRef]
- Lu, H.; Wang, J.; Zhan, X.; Zhao, P.; Xie, Z.; Wang, S.; Yue, Z. Effects of retarders on the rheological properties of coal fly ash/superfine iron tailings-based 3D printing geopolymer: Insight into the early retarding mechanism. Constr. Build. Mater. 2024, 411, 134445. [Google Scholar]
- Markgraf, W.; Horn, R.; Peth, S. An approach to rheometry in soil mechanics-structural changes in bentonite, clayey and silty soils. Soil Till. Res. 2006, 91, 1–14. [Google Scholar] [CrossRef]
- Markgraf, W.; Horn, R. Scanning electron microscopy-energy dispersive scan analyses and rheological investigations of south-Brazilian soils. Soil Sci. Soc. Am. J. 2007, 71, 851–859. [Google Scholar] [CrossRef]
- Markgraf, W.; Horn, R. Rheological investigations in soil micro mechanics: Measuring stiffness degradation and structural stability on a particle scale. In Progress in Management Engineering; Gragg, L.P., Cassell, J.M., Eds.; Nova Science Publishers, Inc.: Hauppauge, NY, USA, 2009; pp. 237–279. [Google Scholar]
- Markgraf, W.; Watts, C.; Whalley, W.; Hrkac, T.; Horn, R. Influence of organic matter on rheological properties of soil. Appl. Clay Sci. 2012, 64, 25–33. [Google Scholar] [CrossRef]
- Liang, Z.; Ren, W.; Li, S.; Zhang, A.; Wang, Y.; Niu, L.; Hu, H. Impact of soluble salt content on unfrozen water and matric suction during cooling of loess in Ili region, China. Bull. Eng. Geol. Environ. 2025, 84, 117. [Google Scholar]
- Hotta, M.; Almeida, M.; Oliveira, J.; Borges, R. Study of the influence of rheological parameters on the behavior of a submarine debris flow. Soils Rocks 2024, 47, e2024001524. [Google Scholar] [CrossRef]
- Ajayi, A.; Dias, M.; Curi, N.; Oladipo, I. Compressive response of some agricultural soils influenced by the mineralogy and moisture. Int. Agrophy. 2013, 27, 239–246. [Google Scholar] [CrossRef][Green Version]
- Fang, Y.; Peng, Z.; Gu, R.; Hu, Y.; Ou, Z.; Li, B. Analysis of creep test on effect of rheological material on soft soil rheological parameter. Rock Soil Mech. 2016, 37 (Suppl. S2), 257–262. [Google Scholar]
- Sun, W.; Wang, L.; Wang, Y. Mechanical properties of rock materials with related to mineralogical characteristics and grain size through experimental investigation: A comprehensive review. Front. Struct. Civ. Eng. 2017, 11, 322–328. [Google Scholar]
- Nguyen, V.; Kang, H.; Kim, Y. Effect of clay fraction and water content on rheological properties of sand-clay mixtures. Environ. Earth. Sci. 2018, 77, 576. [Google Scholar] [CrossRef]
- Zhang, J.; Zhang, Q.; Qiao, G. Effects of salinity on the flocculation of illite due to different setting. Chin. J. Hydra. Eng. 2015, 46, 1305–1320. (In Chinese) [Google Scholar]
- Hu, F.; Wei, C.; Xu, C.; Wei, N.; Zhong, M.; Zhong, S. Water sensitivity of shear strength of purple paddy soils. Trans. Chin. Soc. Agric. Eng. 2013, 29, 107–114. (In Chinese) [Google Scholar]
- Wang, D.; Wang, X.; Chen, X.; Huang, Q.; Wang, J.; Lian, B.; Wang, F. Solid-fluid phase transition characteristics of loess and its drag reduction mechanism. Landslides 2024, 21, 2635–2653. [Google Scholar] [CrossRef]
- Addio, D.; Carotenuto, C.; Natale, F.; Nigro, R. A new arrangement of blades in scraped surface heat exchangers for food pastes. J. Food. Eng. 2012, 108, 143–149. [Google Scholar]
- Carotenuto, C.; Merola, M.; Lvarez-Romero, M.; Coppola, E.; Minale, M. Rheology of natural slurries involved in a rapid mudflow with different soil organic carbon content. Colloid. Surf. A 2015, 466, 57–65. [Google Scholar] [CrossRef]
- Hyun, K.; Kim, S.; Ahn, K.; Lee, S. Large amplitude oscillatory shear as a way to classify the complex fluids. J. Non-Newtonian. Fluid. Mech. 2002, 14, 49–55. [Google Scholar] [CrossRef]
- Pértile, P.; Holthusen, D.; Gubiani, P.; Reichert, J. Microstructural strength of four subtropical soils evaluated by rheometry: Properties, difficulties and opportunities. Sci. Agric. 2018, 75, 154–162. [Google Scholar] [CrossRef]
- Pértile, P.; Reichert, J.; Gubiani, P.; Holthusen, D.; Costa, A. Rheological parameters as affected by water tension in subtropical soils. Rev. Bras. Cienc. Solo. 2016, 40, e0150286. [Google Scholar] [CrossRef]
- Wang, J.; Hu, F.; Xu, C.; Zhao, S.; Liu, J.; Tu, K.; Song, S. Effects of soil bulk density and water content on the mechanical stability of soil structure using rheological method. Trans. Chin. Soc. Agric. Eng. 2021, 37, 147–155. [Google Scholar]
- Yang, K.; Zhang, K.; Chen, Y.; Wu, H.; Li, C. Rheological performance regulation of solidified soil slurry for mine reclamation: Superplasticizer selection and structural characterization based on in-situ techniques. Constr. Build. Mater. 2024, 445, 137954. [Google Scholar] [CrossRef]
- Sha, F.; Kong, H.; Zhang, L.; Meng, Q.; Wang, Q. Rheological properties of CEMI type microfine cement slurry with different fineness. Constr. Build. Mater. 2023, 404, 133253. [Google Scholar] [CrossRef]
- Kézdi, A.; Rétháti, L. Soil Physics; Elsevier: Amsterdam, The Netherlands, 1974. [Google Scholar]
















| Test Type | Parameter | Value |
|---|---|---|
| SST | Distance between plates/mm | 4 |
| Shear rate/s−1 | 10−4~10 | |
| Measuring points | 30 | |
| Measuring time/min | 10 | |
| AST | Distance between plates/mm | 4 |
| Shear strain/% | 10−4~102 | |
| Frequency/Hz | 1 | |
| Measuring points | 30 | |
| Measuring time/min | 15 |
| Water Content % | Salinity mol/L | K Pa·sn | n | R2 |
|---|---|---|---|---|
| 1.25 wL | 0 | 417.4 | 0.56 | 0.997 |
| 0.35 | 651.5 | 0.39 | 0.998 | |
| 1.0 | 752.1 | 0.25 | 0.998 | |
| 1.8 | 959.6 | 0.19 | 0.994 | |
| 1.5 wL | 0 | 223.4 | 0.72 | 0.996 |
| 0.35 | 346.2 | 0.55 | 0.991 | |
| 1.0 | 633.6 | 0.28 | 0.991 | |
| 1.8 | 810.9 | 0.14 | 0.989 |
| Water Content % | Salinity mol/L | A | B | R2 |
|---|---|---|---|---|
| 1.25 wL | 0 | 0.386 | 0.028 | 0.998 |
| 0.35 | 0.435 | 0.030 | 0.999 | |
| 1.0 | 0.516 | 0.035 | 0.997 | |
| 1.8 | 0.525 | 0.030 | 0.997 | |
| 1.5 wL | 0 | 0.323 | 0.048 | 0.998 |
| 0.35 | 0.359 | 0.040 | 0.998 | |
| 1.0 | 0.444 | 0.030 | 0.997 | |
| 1.8 | 0.524 | 0.043 | 0.996 |
Disclaimer/Publisher’s Note: The statements, opinions and data contained in all publications are solely those of the individual author(s) and contributor(s) and not of MDPI and/or the editor(s). MDPI and/or the editor(s) disclaim responsibility for any injury to people or property resulting from any ideas, methods, instructions or products referred to in the content. |
© 2025 by the authors. Licensee MDPI, Basel, Switzerland. This article is an open access article distributed under the terms and conditions of the Creative Commons Attribution (CC BY) license (https://creativecommons.org/licenses/by/4.0/).
Share and Cite
Liang, Z.; Ren, W.; Li, S.; Zhang, A.; Mi, W.; Wang, Y.; Dang, B. Effect of Salinity on the Steady-State and Dynamic Rheological Behavior of Illite Clay. Buildings 2025, 15, 2067. https://doi.org/10.3390/buildings15122067
Liang Z, Ren W, Li S, Zhang A, Mi W, Wang Y, Dang B. Effect of Salinity on the Steady-State and Dynamic Rheological Behavior of Illite Clay. Buildings. 2025; 15(12):2067. https://doi.org/10.3390/buildings15122067
Chicago/Turabian StyleLiang, Zhichao, Wenyuan Ren, Sha Li, Aijun Zhang, Wenjing Mi, Yuguo Wang, and Bin Dang. 2025. "Effect of Salinity on the Steady-State and Dynamic Rheological Behavior of Illite Clay" Buildings 15, no. 12: 2067. https://doi.org/10.3390/buildings15122067
APA StyleLiang, Z., Ren, W., Li, S., Zhang, A., Mi, W., Wang, Y., & Dang, B. (2025). Effect of Salinity on the Steady-State and Dynamic Rheological Behavior of Illite Clay. Buildings, 15(12), 2067. https://doi.org/10.3390/buildings15122067

