Numerical Study of Optimal Temperature Sensor Placement in Multi-Apartment Buildings with Radiant Floor Heating
Abstract
1. Introduction
2. Numerical Modeling
2.1. Information on Apartment
2.2. Modeling Approach
2.2.1. Computational Domains
2.2.2. Radiation Model
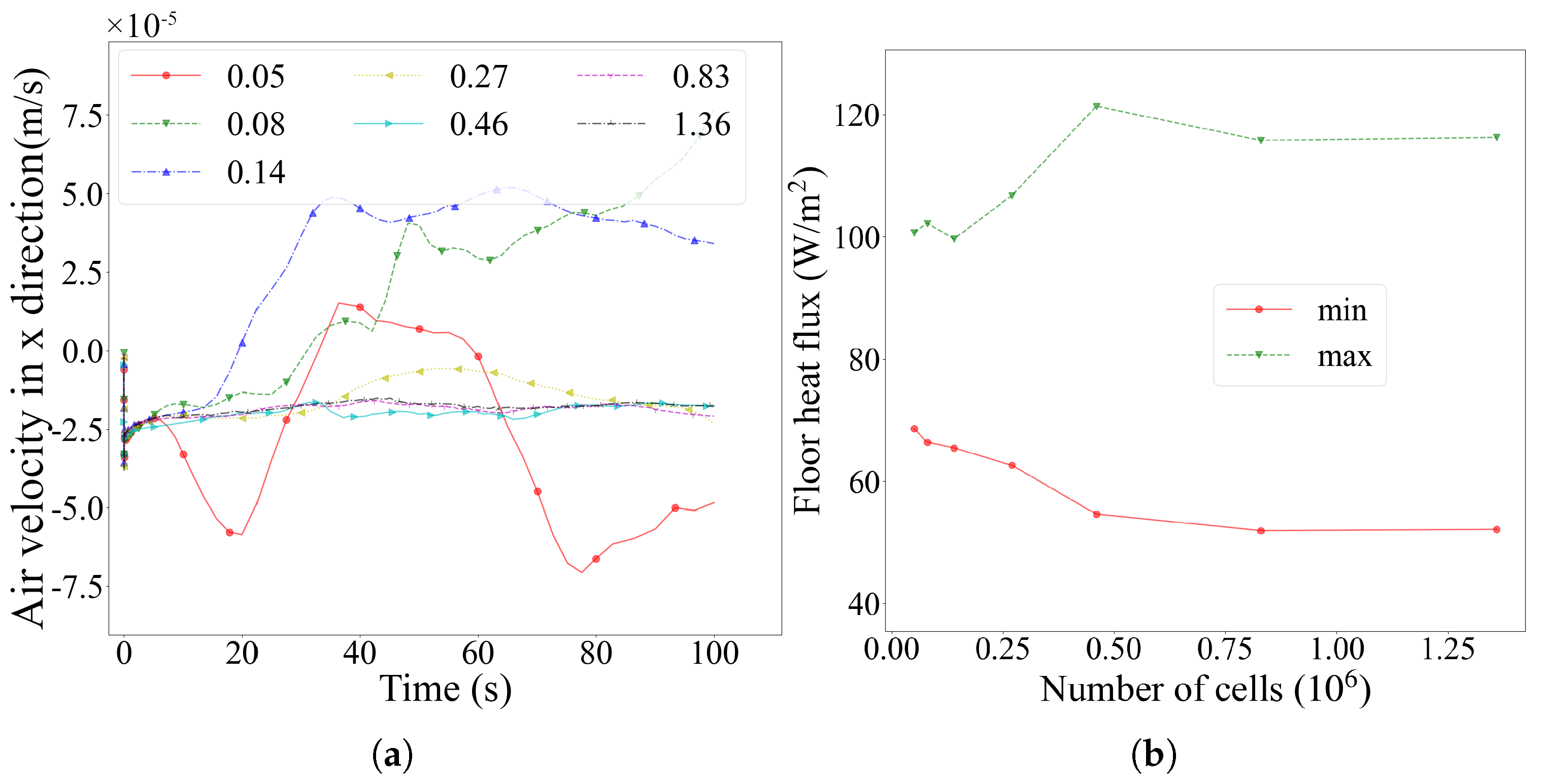
2.2.3. Meshing
2.2.4. Boundary Conditions
2.2.5. Solver Settings
3. Optimization Method for Sensor Placement
3.1. Operative Temperature
3.2. Quantities of Interest for Selecting Sensor Locations
3.2.1. Absolute Temperature Difference Between Sensor Location and Occupied Zone
- 1.
- Using the previously extracted air temperature field, the absolute temperature difference between each location and the volume-averaged operative temperature of the specified zone was calculated as Equation (7) to evaluate the extent to which the location can approximate the actual occupant thermal sensation. The smaller the difference, the more accurately the air temperature at that location can reflect occupant thermal sensation, thereby demonstrating its potential as a representative temperature measurement point.where is the air temperature at a specified coordinate position on a plane at a height of h, is the volume-averaged operative temperature in the zone of interest (denoted by j), and represents the simulation scenario corresponding to different times.
- 2.
- To comprehensively characterize the representative temperature features across different times within a typical day, the statistical average above temperature differences for all seven typical time points was calculated as follows:where is the total number of scenarios in a day.With this evaluation metric, the temperature deviation levels of various locations can be quantitatively evaluated on a temporal dimension. The smaller the mean absolute temperature difference, the more consistently the location temperature aligns with the average operative temperature of the occupied zone throughout the day. This indicates stronger representativeness, making it suitable for placement as an indoor temperature monitoring point.
- 3.
- In practice, localized thermal environments may experience significant fluctuations at certain times—such as sudden temperature rise caused by solar radiation. To identify areas with potential deviation risks, the maximum absolute temperature difference was employed as a second evaluation metric. The absolute temperature difference values across all times are extracted, and the maximum value is calculated and defined as as in Equation (9).The introduction of this metric aims at identifying and excluding locations with abnormal temperature or significant thermal environment fluctuations at certain times, thereby ensuring the robustness and long-term effectiveness of the subsequent optimal sensor location selected. By combining it with the analysis of average temperature differences, a more comprehensive evaluation can be achieved regarding the temporal consistency and spatial representativeness of air temperatures.
3.2.2. Criterion for Selecting Sensor Locations
- 1.
- Preliminary Screening Based on Absolute Temperature Difference ThresholdFirst, the absolute temperature difference threshold is set to 0.25 °C, which is determined based on human sensitivity to thermal environment changes. If the absolute temperature difference between a specified location and the average operative temperature of the occupied zone remains below 0.25 °C across all seven typical scenarios, the thermal sensation at this location is essentially consistent with that of the occupied zone, classifying it as the zone with stable temperature distribution. Consequently, such a location is considered highly representative and is assigned a comprehensive evaluation index value of 0.
- 2.
- Further Evaluation Based on Mean and Maximum Temperature DifferencesFor locations that do not meet the preliminary screening criteria, further analysis of their temperature fluctuation amplitude is required. Considering that some locations may closely align with the zone operative temperature most of the time but exhibit significant deviations in certain instances, it is necessary to comprehensively evaluate their representativeness by considering both the mean temperature difference (indicating overall deviation) and the maximum temperature difference (indicating extreme local deviations) across time.Therefore, the comprehensive evaluation index for such locations is defined as follows:This criterion aims to identify localized temperature anomalies caused by variations in outdoor conditions or water supply temperatures over time. By imposing dual constraints on both the extreme and mean temperature differences, it effectively eliminates misleading locations that exhibit severe deviations in certain instances while appearing generally well behaved overall.
3.2.3. Normalization and Quantitative Indicator Calculation
4. Results and Discussion
4.1. Analysis of Temperature Distribution
4.1.1. Vertical Temperature Profiles
4.1.2. Radiant Floor Surface Temperature
4.1.3. Zone Operative Temperature
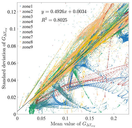
4.2. Mean and Standard Deviation of
4.3. Optimal Temperature Sensor Locations
4.4. Validation of Determined Monitoring Point Locations
5. Conclusions
Supplementary Materials
Author Contributions
Funding
Data Availability Statement
Conflicts of Interest
Abbreviations
| OSP | optimal sensor placement |
| CFD | computational fluid dynamics |
| RMSE | root mean square errors |
| HVAC | heating, ventilation, and air conditioning |
| DO | discrete ordinates |
| MRT | mean radiant temperature |
References
- Park, S.H.; Chung, W.J.; Yeo, M.S.; Kim, K.W. Evaluation of the thermal performance of a Thermally Activated Building System (TABS) according to the thermal load in a residential building. Energy Build. 2014, 73, 69–82. [Google Scholar] [CrossRef]
- Fabrizio, E.; Corgnati, S.P.; Causone, F.; Filippi, M. Numerical comparison between energy and comfort performances of radiant heating and cooling systems versus air systems. Sci. Technol. Built Environ. 2012, 18, 692–708. [Google Scholar] [CrossRef]
- Zou, C.; Li, B.; Wang, X.; Liu, S. Research on indoor dynamic temperature based on circulating water heating. Energy Rep. 2023, 10, 1091–1098. [Google Scholar] [CrossRef]
- Nicoletti, V.; Simone, Q.; Lorenzo, A.; Gara, F. Assessment of Different Optimal Sensor Placement Methods for Dynamic Monitoring of Civil Structures and Infrastructures. Struct. Infrastruct. Eng. 2024, 1–16. [Google Scholar] [CrossRef]
- Hosseini, H.; Taleai, M.; Zlatanova, S. NSGA-II Based Optimal Wi-Fi Access Point Placement for Indoor Positioning: A BIM-based RSS Prediction. Autom. Constr. 2023, 152, 104897. [Google Scholar] [CrossRef]
- Yan, Y.; Li, X.; Yang, L.; Tu, J. Evaluation of manikin simplification methods for CFD simulations in occupied indoor environments. Energy Build. 2016, 127, 611–626. [Google Scholar] [CrossRef]
- Bae, Y.; Bhattacharya, S.; Cui, B.; Lee, S.; Li, Y.; Zhang, L.; Kuruganti, T. Sensor impacts on building and HVAC controls: A critical review for building energy performance. Adv. Appl. Energy 2021, 4, 100068. [Google Scholar] [CrossRef]
- ASHRAE Standard 55-2004; Thermal Environmental Conditions for Human Occupancy. Technical report. ASHRAE: Atlanta, GA, USA, 2004.
- Bucarelli, N.; El-Gohary, N. Consensus-Based Clustering for Indoor Sensor Deployment and Indoor Condition Monitoring. Build. Environ. 2023, 244, 110550. [Google Scholar] [CrossRef]
- Yuan, M.; Geng, Y.; Lin, B.; Tang, H.; Yang, Y. Optimization of Indoor Temperature Sensor Deployment in Large Spaces for Multiple Building Operation Scenarios Using the Genetic Algorithm. J. Build. Eng. 2024, 96, 110446. [Google Scholar] [CrossRef]
- Rackes, A.; Ben-David, T.; Waring, M.S. Sensor Networks for Routine Indoor Air Quality Monitoring in Buildings: Impacts of Placement, Accuracy, and Number of Sensors. Sci. Technol. Built Environ. 2018, 24, 188–197. [Google Scholar] [CrossRef]
- Ren, C.; Cao, S.J. Implementation and visualization of artificial intelligent ventilation control system using fast prediction models and limited monitoring data. Sustain. Cities Soc. 2020, 52, 101860. [Google Scholar] [CrossRef]
- Yoganathan, D.; Kondepudi, S.; Kalluri, B.; Manthapuri, S. Optimal sensor placement strategy for office buildings using clustering algorithms. Energy Build. 2018, 158, 1206–1225. [Google Scholar] [CrossRef]
- Suryanarayana, G.; Arroyo, J.; Helsen, L.; Lago, J. A data driven method for optimal sensor placement in multi-zone buildings. Energy Build. 2021, 243, 110956. [Google Scholar] [CrossRef]
- Man, X.; Lu, Y.; Li, G.; Wang, Y.; Liu, J. A Study on the Stack Effect of a Super High-Rise Residential Building in a Severe Cold Region in China. Indoor Built Environ. 2020, 29, 255–269. [Google Scholar] [CrossRef]
- Lu, M.; Xu, G.; Yuan, J. Installation Principle and Calculation Model of the Representative Indoor Temperature-Monitoring Points in Large-Scale Buildings. Energies 2023, 16, 6376. [Google Scholar] [CrossRef]
- Cao, S.J.; Ding, J.; Ren, C. Sensor Deployment Strategy Using Cluster Analysis of Fuzzy C-Means Algorithm: Towards Online Control of Indoor Environment’s Safety and Health. Sustain. Cities Soc. 2020, 59, 102190. [Google Scholar] [CrossRef]
- Shao, X.; Wang, K.; Li, X. Rapid prediction of the transient effect of the initial contaminant condition using a limited number of sensors. Indoor Built Environ. 2019, 28, 322–334. [Google Scholar] [CrossRef]
- Barbaresi, A.; Torreggiani, D.; Benni, S.; Tassinari, P. Indoor Air Temperature Monitoring: A Method Lending Support to Management and Design Tested on a Wine-Aging Room. Build. Environ. 2015, 86, 203–210. [Google Scholar] [CrossRef]
- Zhu, H.C.; Yu, C.W.; Cao, S.J. Ventilation Online Monitoring and Control System from the Perspectives of Technology Application. Indoor Built Environ. 2020, 29, 587–602. [Google Scholar] [CrossRef]
- Huang, Y.; Gao, Z.; Zhang, H. Comparison of Common Machine Learning Algorithms Trained with Multi-Zone Models for Identifying the Location and Strength of Indoor Pollutant Sources. Indoor Built Environ. 2021, 30, 1142–1158. [Google Scholar] [CrossRef]
- Ren, J.; Cao, S.J. Incorporating Online Monitoring Data into Fast Prediction Models towards the Development of Artificial Intelligent Ventilation Systems. Sustain. Cities Soc. 2019, 47, 101498. [Google Scholar] [CrossRef]
- Kyriacou, A.; Michaelides, M.P.; Eliades, D.G.; Panayiotou, C.G.; Polycarpou, M.M. COMOB: A MATLAB Toolbox for Sensor Placement and Contaminant Event Monitoring in Multi-Zone Buildings. Build. Environ. 2019, 154, 348–361. [Google Scholar] [CrossRef]
- Rong, Q.; Yan, D.; Zhou, X.; Jiang, Y. Research on a dynamic simulation method of atrium thermal environment based on neural network. Build. Environ. 2012, 50, 214–220. [Google Scholar] [CrossRef]
- Liu, Y.; Mao, W.; Diaz-Elsayed, N. An investigation of the indoor environment and its influence on manufacturing applications via computational fluid dynamics simulation. Build. Environ. 2022, 219, 109161. [Google Scholar] [CrossRef]
- Chua, K.; Chou, S.; Yang, W.; Yan, J. Achieving better energy-efficient air conditioning – A review of technologies and strategies. Appl. Energy 2013, 104, 87–104. [Google Scholar] [CrossRef]
- Stavrakakis, G.; Zervas, P.; Sarimveis, H.; Markatos, N. Development of a computational tool to quantify architectural-design effects on thermal comfort in naturally ventilated rural houses. Build. Environ. 2010, 45, 65–80. [Google Scholar] [CrossRef]
- Zhou, H.; Soh, Y.C.; Wu, X. Integrated analysis of CFD data with K-means clustering algorithm and extreme learning machine for localized HVAC control. Appl. Therm. Eng. 2015, 76, 98–104. [Google Scholar] [CrossRef]
- Djatouti, Z.; Waeytens, J.; Chamoin, L.; Chatellier, P. Goal-oriented sensor placement and model updating strategies applied to a real building in the Sense-City equipment under controlled winter and heat wave scenarios. Energy Build. 2021, 231, 110486. [Google Scholar] [CrossRef]
- Tian, W.; Han, X.; Zuo, W.; Wang, Q.; Fu, Y.; Jin, M. An optimization platform based on coupled indoor environment and HVAC simulation and its application in optimal thermostat placement. Energy Build. 2019, 199, 342–351. [Google Scholar] [CrossRef]
- Du, Z.; Xu, P.; Jin, X.; Liu, Q. Temperature sensor placement optimization for VAV control using CFD–BES co-simulation strategy. Build. Environ. 2015, 85, 104–113. [Google Scholar] [CrossRef]
- Li, K.; Wen, Z.; Xue, W.; Wang, Z. Fast reconstruction of indoor temperature field for large-space building based on limited sensors: An experimental study. Energy Build. 2023, 298, 113493. [Google Scholar] [CrossRef]
- Jiang, C.; Soh, Y.C.; Li, H. Two-stage indoor physical field reconstruction from sparse sensor observations. Energy Build. 2017, 151, 548–563. [Google Scholar] [CrossRef]
- Chen, C.; Gorlé, C. Optimal temperature sensor placement in buildings with buoyancy-driven natural ventilation using computational fluid dynamics and uncertainty quantification. Build. Environ. 2022, 207, 108496. [Google Scholar] [CrossRef]
- Yang, E. Research on control property of low-temperature floor radiant heating system. Open Constr. Build. Technol. J. 2015, 9, 311–315. [Google Scholar] [CrossRef][Green Version]
- Chen, Q.; Li, N.; Feng, W. Model predictive control optimization for rapid response and energy efficiency based on the state-space model of a radiant floor heating system. Energy Build. 2021, 238, 110832. [Google Scholar] [CrossRef]
- Wang, X.; Zhang, W.; Li, Q.; Wei, Z.; Lei, W.; Zhang, L. An Analytical Method to Estimate Temperature Distribution of Typical Radiant Floor Cooling Systems with Internal Heat Radiation. Energy Explor. Exploit. 2021, 39, 1283–1305. [Google Scholar] [CrossRef]
- Ling, J.; Li, Q.; Xing, J. The Influence of Apartment Location on Household Space Heating Consumption in Multi-Apartment Buildings. Energy Build. 2015, 103, 185–197. [Google Scholar] [CrossRef]
- Michnikowski, P. Allocation of Heating Costs with Consideration to Energy Transfer from Adjacent Apartments. Energy Build. 2017, 139, 224–231. [Google Scholar] [CrossRef]
- Zhang, Y.; Zhang, M.; Gao, F.; Li, J. Experimental Study on Internal Heat Transfer among Adjacent Rooms for Building Energy Efficiency with Housing Vacancy Consideration. Case Stud. Therm. Eng. 2024, 62, 105188. [Google Scholar] [CrossRef]
- Rohdin, P.; Moshfegh, B. Numerical Predictions of Indoor Climate in Large Industrial Premises. A Comparison between Different k–ε Models Supported by Field Measurements. Build. Environ. 2007, 42, 3872–3882. [Google Scholar] [CrossRef]
- Rohdin, P.; Moshfegh, B. Numerical Modeling of Indoor Climate and Air Quality in Industrial Environments-A Comparison between Different Turbulence Models and Supply Systems Supported by Field Measurements. Build. Environ. 2011, 46, 2011. [Google Scholar] [CrossRef]
- Zhang, Z.; Zhang, W.; Zhai, Z.J.; Chen, Q.Y. Evaluation of Various Turbulence Models in Predicting Airflow and Turbulence in Enclosed Environments by CFD: Part 2—Comparison with Experimental Data from Literature. HVAC&R Res. 2007, 13, 871–886. [Google Scholar] [CrossRef]
- Zhai, Z.J.; Zhang, Z.; Zhang, W.; Chen, Q.Y. Evaluation of Various Turbulence Models in Predicting Airflow and Turbulence in Enclosed Environments by CFD: Part 1—Summary of Prevalent Turbulence Models. HVAC&R Res. 2007, 13, 853–870. [Google Scholar] [CrossRef]
- Elmaghraby, H.A.; Chiang, Y.W.; Aliabadi, A.A. Ventilation Strategies and Air Quality Management in Passenger Aircraft Cabins: A Review of Experimental Approaches and Numerical Simulations. Sci. Technol. Built Environ. 2018, 24, 160–175. [Google Scholar] [CrossRef]
- Elmaghraby, H.A.; Chiang, Y.W.; Aliabadi, A.A. Are Aircraft Acceleration-Induced Body Forces Effective on Contaminant Dispersion in Passenger Aircraft Cabins? Sci. Technol. Built Environ. 2019, 25, 858–872. [Google Scholar] [CrossRef]
- Hang, J.; Buccolieri, R.; Yang, X.; Yang, H.; Quarta, F.; Wang, B. Impact of Indoor-Outdoor Temperature Differences on Dispersion of Gaseous Pollutant and Particles in Idealized Street Canyons with and without Viaduct Settings. Build. Simul. 2019, 12, 285–297. [Google Scholar] [CrossRef]
- Allegrini, J.; Dorer, V.; Carmeliet, J. Buoyant Flows in Street Canyons: Validation of CFD Simulations with Wind Tunnel Measurements. Build. Environ. 2014, 72, 63–74. [Google Scholar] [CrossRef]
- Walker, C.; Tan, G.; Glicksman, L. Reduced-Scale Building Model and Numerical Investigations to Buoyancy-Driven Natural Ventilation. Energy Build. 2011, 43, 2404–2413. [Google Scholar] [CrossRef]
- Ji, Y.; Cook, M.J.; Hanby, V. CFD Modelling of Natural Displacement Ventilation in an Enclosure Connected to an Atrium. Build. Environ. 2007, 42, 1158–1172. [Google Scholar] [CrossRef]
- Ji, Y.; Cook, M. Numerical Studies of Displacement Natural Ventilation in Multi-Storey Buildings Connected to an Atrium. Build. Serv. Eng. Res. Technol. 2007, 28, 207–222. [Google Scholar] [CrossRef]
- Tabarki, M.; Mabrouk, S.B. The Coupling in Transient Regime between the Modelings of Thermal and Mass Transfers inside a Heated Room and Its Radiator. Heat Mass Transf. 2012, 48, 1889–1901. [Google Scholar] [CrossRef]
- Chai, J.; Fan, J. Advanced thermal regulating materials and systems for energy saving and thermal comfort in buildings. Mater. Today Energy 2022, 24, 100925. [Google Scholar] [CrossRef]























| Material | Density (kg/m3) | Specific Heat Capacity (kJ/(kg·K)) | Thickness (mm) | Thermal Conductivity (W/(m·K)) |
|---|---|---|---|---|
| External Wall | 2500 | 0.92 | 370 | 0.3 |
| Internal Wall | 2500 | 0.92 | 120 | 2.61 |
| Floor Slab | 2500 | 0.92 | 430 | 0.4 |
| Window | 2500 | 0.84 | 42 | 2.1 |
| Door | 700 | 1.7 | 25 | 3.03 |
| PVC Pipe/DN20 | 1380 | 1.05 | - | - |
| Material | Density (kg/m3) | Specific Heat (J/(kg·K)) | Kinematic Viscosity (m2/s) | Dynamic Viscosity (Pa·s) | Thermal Expansion Coefficient |
|---|---|---|---|---|---|
| Water | 990.2 | 4174 | 6.075 × 10−7 | 6.014 × 10−4 | - |
| air | 1.19 | 1006.43 | 15.06 × 10−6 | 18.1 × 10−6 | 0.00345 |
| Boundary | Boundary Conditions | |
|---|---|---|
| External wall | Heat convection | = 23 W/(m2·K) |
| Interior wall/ceiling/door | Heat flux | 0 W/m2 |
| Outer window | Heat convection | = 23 W/(m2·K) |
| Underfloor pipe inlet | Velocity inlet | = 0.5 m/s |
| Underfloor pipe outlet | Pressure outlet | - |
| <0.2 m/s | 0.2 to 0.6 m/s | 0.6 to 1.0 m/s | |
|---|---|---|---|
| A | 0.5 | 0.6 | 0.7 |
Disclaimer/Publisher’s Note: The statements, opinions and data contained in all publications are solely those of the individual author(s) and contributor(s) and not of MDPI and/or the editor(s). MDPI and/or the editor(s) disclaim responsibility for any injury to people or property resulting from any ideas, methods, instructions or products referred to in the content. |
© 2025 by the authors. Licensee MDPI, Basel, Switzerland. This article is an open access article distributed under the terms and conditions of the Creative Commons Attribution (CC BY) license (https://creativecommons.org/licenses/by/4.0/).
Share and Cite
Wang, G.; Li, S.; Wang, H. Numerical Study of Optimal Temperature Sensor Placement in Multi-Apartment Buildings with Radiant Floor Heating. Buildings 2025, 15, 2026. https://doi.org/10.3390/buildings15122026
Wang G, Li S, Wang H. Numerical Study of Optimal Temperature Sensor Placement in Multi-Apartment Buildings with Radiant Floor Heating. Buildings. 2025; 15(12):2026. https://doi.org/10.3390/buildings15122026
Chicago/Turabian StyleWang, Guiqiang, Shilu Li, and Haiman Wang. 2025. "Numerical Study of Optimal Temperature Sensor Placement in Multi-Apartment Buildings with Radiant Floor Heating" Buildings 15, no. 12: 2026. https://doi.org/10.3390/buildings15122026
APA StyleWang, G., Li, S., & Wang, H. (2025). Numerical Study of Optimal Temperature Sensor Placement in Multi-Apartment Buildings with Radiant Floor Heating. Buildings, 15(12), 2026. https://doi.org/10.3390/buildings15122026

