Abstract
To address the existing challenges of lacking a unified and reliable shear capacity prediction model for fiber-reinforced polymer (FRP)-strengthened reinforced concrete beams (FRP-SRCB) and the excessive experimental workload, this study establishes a shear capacity prediction model for FRP-SRCB based on machine learning (ML). First, the correlation between input and output parameters was analyzed by the Pearson correlation coefficient method. Then, representative single model (ANN) and integrated model (XGBoost) algorithms were selected to predict the dataset, and their performance was evaluated based on three commonly used regression evaluation metrics. Finally, the prediction accuracy of the ML model was further verified by comparing it with the domestic and foreign design codes. The results manifest that the shear capacity exhibits a strong positive correlation with the beam width and effective height. Compared to the ANN model, the XGBoost-based prediction model achieves determination coefficients (R2) of 0.999 and 0.879 for the training and test sets, respectively, indicating superior predictive accuracy. Furthermore, the shear capacity calculations from design codes show significant variability, demonstrating the superior predictive capability of ML algorithms. These findings offer a guideline for the design and implementation of FRP reinforcement in actual bridge engineering.
1. Introduction
Reinforced concrete (RC) structures are prone to performance degradation or damage due to various environmental factors during long-term service, necessitating strengthening and repair. Common reinforcement techniques primarily include the section enlargement method, steel jacketing method, and external prestressing method [1,2,3]. Although these reinforcement methods have their own technical and economic advantages, they present several limitations such as poor durability of reinforcement materials and high maintenance costs in the later period. Hence, it is of vital significance to explore corresponding efficient reinforcement approaches to ensure the safety of in-service structural components. Fiber-reinforced polymer (FRP) is extensively utilized for RC structural reinforcement owing to its superior properties, including light weight, high strength, easy construction, excellent corrosion resistance, and good durability [4,5,6]. The existing FRP-strengthened RC beam (FRP-SRCB) techniques mainly include externally bonded [7,8,9], end-anchored [10,11], and embedded [12,13]. Among these, externally bonded FRP is the most frequently applied shear reinforcement approach for RC structural components in engineering practice. For example, CFRP sheets were utilized to reinforce the RC box girder in Japan’s Tomei Expressway viaduct project. The T-shaped beam was shear strengthened by CFRP sheets in the overpass of the Shanghai–Nanjing section of National Highway 312 in China [14].
Although the existing FRP reinforcement technology has been widely applied in engineering practice, how to accurately predict the shear capacity of FRP-SRCB is still a key scientific problem that needs to be urgently solved. The shear capacity of strengthened RC beams is impacted by various factors, including beam cross-sectional dimensions, concrete, steel bars, FRP material properties, and reinforcement forms. Figure 1 presents three typical FRP reinforcement methods: (a) full wrapping, (b) U jacketing, and (c) side bonding. The strengthened beams also have multiple potential failure modes, which results in complex conditions and numerous parameters to be considered for the prediction of the shear capacity [15,16]. Therefore, it is a hot and difficult point to predict the shear capacity of FRP-SRCB components reasonably and accurately.
Figure 1.
Different forms of externally bonded FRP shear strengthened RC beams: (a) full wrapping (FW-method); (b) U jacketing (U-method); (c) side bonding (S-method).
Thanks to the development of machine learning (ML), the data-driven FRP-SRCB shear capacity prediction method provides a new idea for solving the above problems [17,18,19,20,21]. The ML method can make full use of the historical test data and mine the mapping relationship between the input and output in the test data, so as to build an accurate and reliable prediction model. Perera et al. [22] and Tanarslan et al. [23] proposed an Artificial Neural Network (ANN) model to predict the shear performance of FRP-SRCB. The findings reveal that the model has strong prediction performance and generalization ability. Tanarslan et al. [24] developed two ANN models using backpropagation to predict the shear strength of RC beams externally bonded with CFRP plates. The models were compared with the shear strength calculated according to the American and Australian codes. The results show that the shear strength predicted by the proposed model significantly outperforms the international standard. Based on the existing database of FRP shear reinforced RC beams, Yavuz et al. [25] discussed the prediction precision of ANN for the shear strength of RC beams and verified that the ANN model predicted the shear strength of FRP-SRCB better than the existing building code methods. Naderpour et al. [26] attempted to propose a fuzzy-based model (adaptive neuro-fuzzy inference system, ANFIS) to evaluate and predict the shear strength contribution in FRP-SRCB. Compared with existing code models, it was verified that the proposed ANFIS model has good prediction performance. Abuodeh et al. [27] established a resilient backpropagating neural network (RBPNN) to investigate the strengthening performance of side bonded and U-shaped FRP laminates on shear-defective RC beams, and this model was verified to have good applicability. Wang et al. [28] and Rahman et al. [29] adopted various ML algorithms to establish the shear capacity model for externally bonded FRP-SRCB and evaluated the impact of varying factors on the shear strength. The outcomes suggest that the XGBoost algorithm exhibits higher efficiency and accuracy in the considered models. Ke et al. [19] developed a shear bearing capacity prediction model for near-surface mounted (NSM) FRP-SCRB based on ML and innovatively proposed a strength calculation model for engineering design using genetic algorithm optimization. Meanwhile, Sung et al. [30] systematically investigated the bearing performance of prestressed concrete bridges in the initial stage of diagonal cracking and shear failure through nonlinear regression (NR) and genetic programming (GP). The findings indicate that the prediction accuracy of the NR model is slightly better than that of the GP model.
The above research demonstrates the advantages of the ML method in structural performance prediction, which can provide accurate prediction results based on input parameters. However, most studies only evaluate the prediction effect of a single model (ANN) in shear strength and lack systematic comparison of the applicability of different algorithms, which limits its application in engineering practice. Therefore, it is necessary to explore the practicability of different ML methods for enhancing the FRP-SRCB shear capacity model. This paper analyzes the relationship between different influencing factors and shear capacity by Pearson correlation coefficient and investigates the prediction performance of ANN and XGBoost algorithms on shear capacity. In addition, the formulas of various national codes are compared with ANN and XGBoost models to further validate the effectiveness and generalizability in predicting the shear capacity of FRP-SRCB, aiming to establish a shear bearing capacity prediction model with high precision and strong generalization ability. Its theoretical value lies in revealing the law of ML algorithms in the modeling of complex mechanical behavior, and its practical significance is reflected in providing a data-driven approach for engineering reinforcement design, thereby promoting the optimal application of FRP reinforcement technology.
2. Methodology
Due to the complex correlation among different factors affecting the shear capacity of FRP-SRCB, two representative ML algorithms were selected to predict the shear capacity from the perspective of single and integrated ML algorithms. It mainly includes Artificial Neural Network (ANN) and Extreme Gradient Boosting (XGBoost).
- (1)
- ANN
ANN is an intelligent data processing technology that simulates the learning of biological neurons. It is composed of a set of connected nodes or units, which mainly consists of three parts: input layer, hidden layer, and output layer. In this study, ANN adopts a three-layer, fully connected architecture, including one input layer, two hidden layers, and one output layer. The number of nodes in the input layer is determined by the feature variable dimension, and the number of output layer nodes is set to 1 node according to the prediction target.
The hidden layer is the core of ANN and comprises several neurons. Within each neuron, the input variables are calculated to obtain the output variables and connected to each other through a modifiable weighted interconnection. The main parameters of the model are the number of hidden layers and the number of neuron nodes in each layer, which are determined through multiple training and learning [31]. The number of corresponding nodes with the best performance is taken as the number of hidden layer units. In terms of network training, the Adam optimization algorithm is adopted for parameter optimization. The main training parameters are set as follows: the maximum number of training iterations is 1000, the initial learning rate is 0.01, and the target minimum error is 1 × 10−6.
The output of neuron i in the hidden layer can be expressed as Equation (1).
where is the input value of the i-th neuron; wij is the connection weight from the i-th neuron to the j-th neuron; c is the threshold of this neuron; F is the activation function; and y is the output of the artificial neuron.
This study employs the hyperbolic tangent sigmoid function (tanh) as the activation function for the hidden layer. This function exhibits two key advantages: ① its differentiable nature enables effective implementation of backpropagation algorithms, and ② its zero-centered output characteristic accelerates gradient descent convergence compared to conventional sigmoid functions. The specific expression is shown in Equation (2).
- (2)
- Extreme Gradient Boosting (XGBoost)
XGBoost is a typical ML algorithm for the newly established boosting integrated learning model, which helps to avoid overfitting and optimize computing power. It is realized by minimizing the objective function. Furthermore, a regularization term is added on the basis of the gradient boosting tree, while maintaining the fastest processing speed possible. The goal of the XGBoost algorithm is to make the predicted value close to the real value . After m iterations, the target function Z can be denoted as follows:
where is the loss function used to evaluate the accuracy of ; is the predicted value of the regression tree; is the regularization term; and C is a norm function. By using the second-order Taylor expansion, it can be simplified as Equation (4).
In the formula, and .
3. Dataset Description
3.1. Input and Output Variables
This study systematically collected experimental data from the FRP-SRCB literature published between 2002 and 2024 [19,32,33,34,35,36,37,38,39,40,41,42,43,44,45,46,47,48,49,50,51,52,53,54,55,56,57,58,59,60,61,62,63,64,65,66,67,68,69,70,71,72,73,74,75,76,77,78,79,80,81,82,83,84,85,86,87,88,89] to establish a new ML model experimental database. The specific dataset of FRP-SRCB specimens is shown in the Supplementary Materials. The data collection process was conducted as follows: (1) Literature retrieval was performed using keywords such as “FRP-strengthened concrete beams” and “shear behavior” across databases including Web of Science, Scopus, and China National Knowledge Infrastructure (CNKI). (2) Data screening is based on the following criteria: ① complete material properties and geometric parameters must be provided; ② the failure mode of the test beam must be clearly reported. ③ The data must include the initial test data or extractable precise chart data. (3) Finally, 455 sets of valid experimental data samples were obtained.
Based on existing research, the factors influencing the shear bearing capacity of FRP-SRCB include the properties and dosage of FRP materials, in addition to the same factors as ordinary RC beams such as beam section dimensions, steel strength, and reinforcement ratio. Therefore, the selected input parameters of the bearing capacity prediction model include the beam width b, the beam effective height d, the shear span ratio , the yield strength of longitudinal tensile reinforcement fy, the reinforcement ratio of the tensile steel bar , the yield strength of hoop reinforcement fyv, the reinforcement ratio of the stirrup , the compressive strength of concrete fc, the tensile strength of FRP material ff, the elastic modulus Ef, the distribution rate , the strengthening configuration (SC) (FW, U, and SB), and the bonding angle . The model output is the shear bearing capacity Vu.
The distribution rate of FRP material is calculated as follows:
where n is the number of adhesive layers of FRP material; tf is the thickness of FRP material; wf is the width of FRP material; and sf is the center-to-center spacing of FRP material.
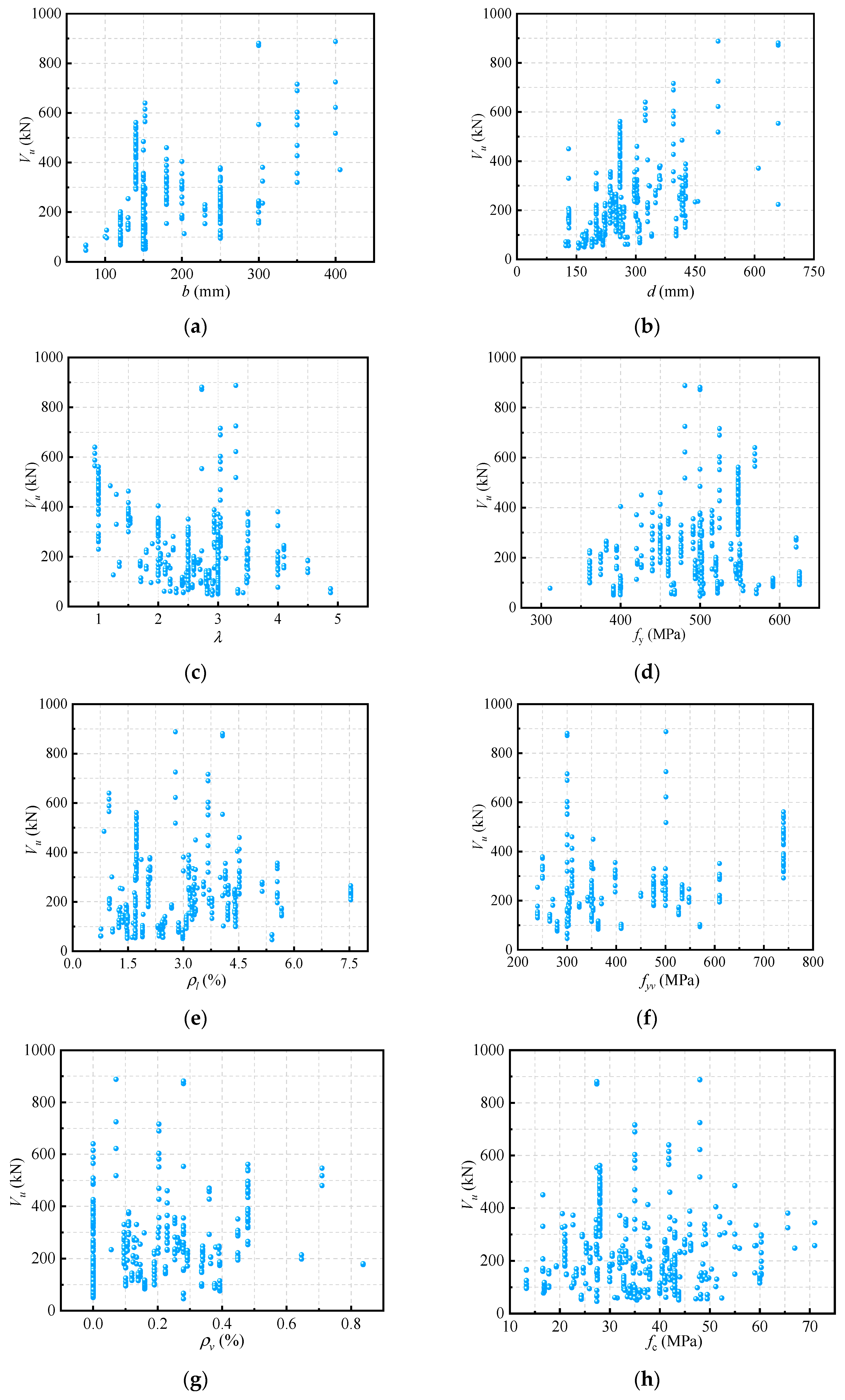
Table 1 reveals the statistical feature of the input and output parameters in the dataset, and Figure 2 demonstrates the correlation between input parameters and the shear capacity of FRP-SRCB. It can be observed that the dataset has a large level of discretization, a wide scope of values, and a uniform distribution of parameters. Therefore, it can offer a dependable data foundation for the establishment of a data-driven shear capacity prediction model.
Table 1.
Statistical characteristics of FRP-strengthened sample set parameters.

Figure 2.
Relationship between shear capacity and input characteristic parameters after FRP reinforcement: (a) relationship between b and Vu; (b) relationship between d and Vu; (c) relationship between and Vu; (d) relationship between fy and Vu; (e) relationship between and Vu; (f) relationship between fyv and Vu; (g) relationship between and Vu; (h) relationship between fc and Vu; (i) relationship between Ef and Vu; (j) relationship between ff and Vu; (k) relationship between and Vu; (l) relationship between and Vu.
3.2. Correlation Analysis
To avoid inputting similar features and over-fitting problems, this paper uses Pearson correlation coefficient (Equation (6)) to ensure the validity of the selected parameters for prediction. Figure 3 shows the correlation thermal map obtained according to the variables in the sample data, which provides the correlation coefficients among the variables. The shaded red and blue represent the positive and negative correlations, respectively. The color depth and proportion on the side represent the gradient of correlation strength from ±1 to 0. It can be noticed that the correlation coefficient r between the input variables varies from −0.49 to 0.74. In general, an r-value below 0.8 indicates that there is no multicollinearity problem in the variable [90,91], suggesting that there is no significant correlation between the selected features. Furthermore, it can be observed that the shear capacity Vu has a relatively high positive correlation with the beam width b and the beam effective height d (the correlation coefficients are 0.48 and 0.41). Conversely, the correlation coefficients of the rest variables are comparatively weak. As a whole, the connection between the shear capacity and the 13 input variables is not a straightforward multivariate linear relationship and it is not appropriate to use a simple explicit equation to quantify the shear capacity of FRP-SRCB. Therefore, it is necessary to build the nonlinear mapping relationship between the shear bearing capacity of FRP-SRCB and each input variable by ML.
where r is Pearson correlation coefficient; xi and yi are the two characteristic parameters of the i th specimen, respectively; and represent the sample mean of the two characteristic parameters; and n represents the total number of specimens in the sample set.
Figure 3.
Pearson correlation coefficient matrix diagram between single characteristic parameters.
3.3. Model Training Process
To realize the prediction of FRP-SRCB shear capacity, the 13 physical parameters are determined as inputs. Based on 455 sets of test databases and two ML algorithms, a reliable ML prediction model is obtained through training, optimization, and validation of the ML model. The detailed implementation process is illustrated in Figure 4.
Figure 4.
Prediction process of FRP-SRCB shear capacity based on ML.
The dataset needs to be normalized and preprocessed to avoid the dimensional difference in different feature data resulting in inconsistent feature weights. The 13 input feature parameters are dimensionless and scaled to [0, 1] to eliminate the influence of variable dimensions and ensure that the feature values have balanced weights. The normalization formula is as follows:
where x is the input variable; xmax and xmin are the maximum and minimum values of the input variable; and is the standardized input variables. For the sorted dataset (455 groups), it is randomly classified into the training set (364 groups) and the test set (91 groups) in an 80/20 ratio. The training dataset is utilized for training ANN and XGBoost models and the predictive stability of ML models is estimated using evaluation indicators. The model’s performance is estimated using the test dataset, and further analysis and discussion are based on the obtained R2, MAE, and RMSE values.
3.4. Evaluation Indicators
To quantify the performance of ANN and XGBoost models in the prediction of FRP-SRCB shear capacity, three commonly used regression evaluation indicators are adopted, namely determination coefficient R2, mean absolute error (MAE), and root mean square error (RMSE), as shown in Equations (8)–(10). These indicators provide a comprehensive understanding of model performance by assessing the magnitude and direction of the error between predicted and actual values.
where yei, ypi, and ym are the test value, predicted value, and mean value of the sample, respectively; and n is the number of datasets. The higher the R2, the smaller the MAE and RMSE, indicating that the model has better predictive accuracy, with smaller deviations between predicted values and true values.
4. Model Performance
Table 2 lists the R2, MAE, and RMSE of the ANN and XGBoost models obtained using the training and test datasets. It can be further observed that the training set and test set R2 of the XGBoost algorithm are 0.999 and 0.879, respectively, showing improvements of 13.52% and 0.23% compared to the ANN model, implying that the XGBoost model is higher than the ANN model in the degree of sample data fitting. The MAE and RMSE of the XGBoost algorithm on the training set are 1.096 and 1.438, respectively, representing reductions of 96.27% and 97.04% compared to the ANN model. The MAE and RMSE of the XGBoost algorithm on the test set are 31.872 and 40.898, respectively, which are 12.29% and 19.40% lower than those of the ANN model. This indicates that the XGBoost model has the smallest discrepancy between the predicted and actual values, with significantly better prediction accuracy than the ANN model. It is further confirmed that the prediction performance of the integrated ML model is better than that of the single learning model in the two models. This is because the working principle of integrated learning improves the generalization ability and robustness of the learner by incorporating the prediction results of various base learners. Its excellent prediction performance has been demonstrated in multiple studies [92,93,94].
Table 2.
Performance evaluation indicators of developed ML model.
To facilitate the comparison of the prediction effect between the models, a diagonal solid line (X = Y) representing a prediction accuracy of 100% and a dotted line (with slopes of 1.2 and 0.8) indicating the relative prediction error within ±20% are plotted on the correlation scatter plots of the two models, respectively. The more centralized the data points along the diagonal solid line, the higher the prediction accuracy of the model. Conversely, the farther away from the diagonal solid line, the lower the prediction accuracy. Figure 5 illustrates the scatter plot of the regression prediction results of the two models. Compared with the ANN model, more data points of FRP-SRCB shear strength prediction based on the XGBoost model are concentrated within the error limit of ±20%, and its proportion within this range is significantly higher. Whether for the training set or for the test set, the results of the XGBoost model are better than those of the ANN model. The scatter plot is closer to the diagonal of X = Y, indicating that the test value is closer to the true value. This shows that the prediction model of FRP-SCRB shear capacity based on the XGBoost algorithm performs better in the samples, and it can be found that the integrated learning method demonstrates obvious advantages.
Figure 5.
ML model prediction fitting results: (a) ANN model; (b) XGBoost model.
Figure 6 illustrates the comparison between the predicted value and the experimental value of the FRP-SRCB shear capacity prediction model using two ML algorithms (ANN and XGBoost). The error plot describes the difference between the predicted value and the actual value as the vertical distance from the zero line, which is called the residual (Ypre − Yexp). This method simplifies the assessment of the proximity between the predicted and actual values because the residual plot is closely aligned with the zero line, depicting that the prediction is accurate. It can be noticed from Figure 6 that the single model (ANN) exhibits a wide distribution of residual values, ranging from −221.21 kN to 213.16 kN, and the prediction performance is poor. However, compared with the performance of the ANN model on the test set, the prediction performance of the ANN model on the training set is deficient. On the other hand, the residual value range of the integrated model (XGBoost) is smaller than that of the single model, ranging from 90.54 kN to 193.36 kN, indicating that its prediction performance is better. More complex functional terms can be employed to capture the relationship between independent and dependent variables in the integrated model, thereby predicting the true values more reliably. Therefore, the error between the true value and the predicted value of the integrated model is apparently smaller than that of the single model.
Figure 6.
Comparison results of ML model prediction: (a) ANN training set; (b) ANN test set; (c) XGBoost training set; (d) XGBoost test set.
5. Comparative Analysis with Existing Design Codes
To further validate the proposed ML-based prediction model and demonstrate its superiority. This section compares the calculation models from three national design codes with the ANN and XGBoost models.
5.1. Overview of Design Code Models
Through the experimental study of concrete beams strengthened with externally bonded FRP, it was found that the mechanism of FRP is similar to that of stirrups. With the increase in load, the stress of FRP changes little before the cracking of the inclined section of the beam. However, after the emergence of the inclined crack, the stress of the FRP intersecting with the inclined crack suddenly increases. FRP not only bears part of the shear force, but also effectively inhibits the expansion of the inclined crack, as well as significantly improving the biting force between the aggregates in the concrete at the main inclined crack of the inclined section of the beam. Therefore, for the inclined section shear capacity Vu of the externally bonded FRP-SRCB, the contribution value of the externally bonded FRP material to the shear capacity is added based on the ordinary RC beam shear capacity formula, as displayed in Equation (11). Table 3 shows the shear capacity calculation expressions from the design codes of China, the United States, and Europe.
where Vu is the shear capacity of FRP-SRCB; Vcs is the shear capacity of reinforced beam diagonal section concrete and stirrups; and Vf is the shear capacity of reinforced beam diagonal section fiber cloth.
Table 3.
Design specification formulas for various countries.
Table 3.
Design specification formulas for various countries.
| Specifications | Vcs | Vf |
|---|---|---|
| Chinese code GB 50010-2010 [95] | Without web reinforcement With web reinforcement | |
| American code ACI 318-19 [96] | ||
| European code EN 1992-1-1:2004 [97] | Without web reinforcement With web reinforcement | |
| Notation: Shear capacity coefficient of concrete. For the component under uniform load, 0.7 is taken; and for the independent beam under concentrated load, . When , 1.5 is taken; when , 3.0 is taken. The influence coefficient of cross-sectional height, . When , 800 is taken; when , 2000 is taken. The influence coefficient of longitudinal tensile steel reinforcement ratio, . is the longitudinal tensile steel reinforcement ratio. Design value of concrete axial tensile strength. Design value of stirrup tensile strength. Stirrup area configured in the same section. s Stirrup spacing along the member length direction. The reduction coefficient of shear capacity is calculated according to Table 4. When the shear span ratio is in the middle, it is calculated according to the internal interpolation method. The vertical distance from the upper end of FRP to the center of the longitudinal bar. Compressive strength of concrete cylinder. Size effect correction factor. The reduction factor related to the pasting form. For side pasting and U-pasting form, ; For the full-pasting form, . The angle between FRP and beam axis. The effective stress of FRP. The effective strain of FRP. The ultimate tensile strain of FRP. The correction factor, which is related to concrete strength, FRP bonding scheme, FRP-concrete interface bonding and FRP effective bonding length. Design value of yield strength of shear reinforcement. The strength reduction factor of shear-fractured concrete, which is calculated by . The angle between the concrete pressure bar and the longitudinal pressure bar. Considering the stress state coefficient in the compression chord. In the case of no prestress, the specification is recommended . Design value of concrete compressive strength. z The internal force arm of the cross-section, which can be approximated as . | ||
Table 4.
Values of shear strength reduction factor.
Table 4.
Values of shear strength reduction factor.
| Strip Anchoring Method | Shear Span Ra-tio | Uniform Load or Shear Span Ratio |
|---|---|---|
| Ring hoop or self-locking U-shaped hoop | 0.68 | 1 |
| Rubber anchor or steel anchor U-shaped hoop | 0.6 | 0.88 |
| General U-shaped hoop with fabric laminates | 0.5 | 0.75 |
5.2. Comparison of Calculation Results of Different Design Codes
To better assess the accuracy of the prediction of FRP-SRCB shear capacity in each design code formula, evaluation indexes (average value, standard deviation, and coefficient of variation) for the ratio of the predicted value to the test value (Vpre/Vexp) are introduced in the data analysis, as displayed in Table 5. The average value of Vpre/Vexp of ACI is 0.64, the standard deviation is 0.33, and the coefficient of variation is 0.51. This indicates that this code has a small degree of dispersion in predicting bearing capacity, but the prediction is too conservative. The main reason is that in this design code, the shear capacity of RC beams only considers the shear resistance of stirrups while ignoring the effect of the concrete and shear span ratio on the shear capacity. The factors that can provide shear capacity are not fully included, as the predicted value of the bearing capacity is significantly smaller than the experimental value. However, the Vpre/Vexp average values of Chinese standard (GB) and European standard (EN) are both greater than 1, which are 1.57 and 1.56, respectively. The standard deviations are 1.13 and 1.26, and the coefficients of variation are 0.72 and 0.81, indicating that the calculation results of these two design codes have a large deviation and the relative fluctuation of data is large. The main reason is that most of the RC beam shear capacity models in China belong to semi-empirical and semi-theoretical models. Compared with the three national standard models, the average values of Vpre/Vexp of the ANN model and XGBoost model are close to 1, which are 1.05 and 1.02, respectively. The standard deviations are 0.29 and 0.14, and the coefficient of variation are 0.27 and 0.13. This indicates that the calculated results of these two models are closest to the test values. Moreover, the dispersion of the calculated results is minimal, and it can be illustrated that these two models are more exact in predicting the shear capacity of FRP-SRCB, which further explains the accuracy and effectiveness of the ML model.
Table 5.
An analysis of the ratio of the calculated value to the experimental value of different specifications.
To further evaluate the safety of the shear capacity of the three design codes and two models, Vpre/Vexp = 1 is used as the dividing line, as shown in the blue dotted line in Figure 7. The number of RC beam specimens in the safety area (the calculated value of shear capacity is lower than the test value of shear capacity, that is, Vpre/Vexp < 1) and the non-safety area (the calculated value of shear capacity is higher than the test value of shear capacity, that is, Vpre/Vexp > 1) in Figure 7 are counted. The proportion of specimens that meet the requirements of the shear capacity calculation formula of each design code is obtained. It can be noticed from Figure 7a that most data points of Vpre/Vexp calculated based on Chinese and European design codes are located above the dividing line of Vpre/Vexp = 1. The proportion of specimens in the safe area is relatively small, which are 35.82% and 47.03%, respectively, indicating that the prediction of shear capacity of these two design codes is dangerous and cannot meet the safety requirements of FRP-SRCB. Most of the data points of Vpre/Vexp calculated based on the American code are concentrated below the dividing line of Vpre/Vexp = 1. The proportion of specimens in the safe area of shear capacity prediction is 87.25% of the total specimens, illustrating that the prediction of shear capacity of this code is conservative. Although it meets the safety needs of FRP-SRCB shear capacity, the prediction of shear bearing capacity is too conservative.
Figure 7.
Analysis of prediction results: (a) different code formulas; (b) ANN and XGBoost models.
It can be noticed from Figure 7b that the distributions of the ANN model and XGBoost model based on the ML algorithm for shear capacity prediction are mostly concentrated at the edge of the dividing line Vpre/Vexp = 1, and the distribution region is relatively concentrated. The proportion of specimens in the safe region is 49.67% and 48.35%, respectively. Compared with the standard formula, the predicted value of the ANN model and the XGBoost model introduced in this paper has a smaller error with the true value of the test and has certain generalization performance and applicability. The predicted value of the standard formula has a large error with the true value of the test, indicating that the standard formula has certain limitations. The reason may be the following: (1) There are various factors affecting the shear capacity of FRP-SRCB, and only a few main factors are considered in the standard formulas. (2) Most of the design codes are semi-empirical and semi-theoretical formulas, which are limited by the number of specimens. The ML model adopted in this paper considers 13 different variables, and the size of the samples is large, which can fully consider the influence of diverse factors and obtain accurate prediction results.
6. Conclusions
This study presents an innovative application of ML techniques to develop high-precision prediction models with strong generalization capabilities, effectively overcoming the limitations of traditional semi-empirical formulas in analyzing multi-factor coupling effects. Based on Pearson correlation analysis, the nonlinear correlation law between the shear bearing capacity of FRP-SRCB and key parameters was quantitatively revealed, thereby opening a new theoretical perspective for the research of FRP reinforcement. The main conclusions are as follows:
- (1)
- Pearson correlation analysis shows that the shear capacity Vu of FRP-SRCB has a relatively high positive correlation with the beam width b and the beam effective height d (correlation coefficients are 0.48 and 0.41), while the correlation coefficients with the other variables are low.
- (2)
- The intelligent prediction model for FRP-SRCB shear capacity was established by using the database to train the ML algorithm. The results show that the two ML models established perform well in shear capacity prediction. In general, the performance of the integrated model (XGBoost) is better than that of the single model (ANN), showing favorable accuracy.
- (3)
- The prediction results of three national standard formulas are compared with the ANN and XGBoost algorithms. The results reveal that the accuracy of the standard formula is limited and the variability is large. On the contrary, ML models greatly improve the prediction precision compared with traditional standard formulas. The variation coefficients of the ratio of the predicted value the actual value the ANN model and the XGBoost model are 27% and 13%, respectively, while the coefficient of variation in the standard model is more than 50%.
- (4)
- Future research should incorporate additional experimental data under extreme conditions (such as ultra-high-strength concrete components or specimens with large shear/span ratio) to enhance the generalization ability of the model. Moreover, integrating mechanism models (such as modified compression field theory) with ML algorithms to develop hybrid models that combine high accuracy with strong interpretability should be considered. This approach not only expands the application boundaries of ML in the engineering field but also provides an innovative solution for the intelligent evaluation of structural performance.
Supplementary Materials
The following supporting information can be downloaded at: https://www.mdpi.com/article/10.3390/buildings15111908/s1, Table S1: The specific dataset of FRP-SRCB specimens.
Author Contributions
Conceptualization, J.Z., M.Z. and M.S.; software, J.Z. and L.X.; investigation, M.Z., L.X., M.C. and M.S.; data curation, J.Z. and M.Z.; writing—original draft, M.Z.; writing—review and editing, J.Z., M.Z. and M.S.; visualization, M.Z. and L.X.; supervision, J.Z., M.C. and L.X.; project administration, L.X., M.C. and M.S.; funding acquisition, L.X., M.C. and M.S. All authors have read and agreed to the published version of the manuscript.
Funding
This research was funded by the National Natural Science Foundation of China (Grant No. 52168024), the Natural Science Foundation of Inner Mongolia Autonomous Region (Grant No. 2024MS05066), the Fundamental Research Funds for Inner Mongolia University of Science & Technology (Grant Nos. 2023YxxS033, 2023YxxS034, 2024YXXS042 and 2024YXXS066), the Inner Mongolia University of Science and Technology Innovation Fund Project, and the Civil Engineering Quality Improvement and Cultivation Discipline Project.
Informed Consent Statement
Not applicable.
Data Availability Statement
The original contributions presented in this study are included in the article. Further inquiries can be directed to the corresponding author.
Conflicts of Interest
The authors declare no conflicts of interest.
References
- Hassam, M.; Guo, L.H.; Haq, M.A.U.; Tahir, M. Strengthening schemes of special-shaped concrete-filled steel tubes: A review. Structures 2024, 63, 106417. [Google Scholar] [CrossRef]
- Li, Y.; Yao, Z.A.; Dong, W.Y.; Ying, D.H. Study on flexural behavior of concrete slabs strengthened with externally prestressed recycled bead wires. Case Stud. Constr. Mater. 2024, 21, e03456. [Google Scholar] [CrossRef]
- Liu, Y.; Wu, H.R.; Gao, Y.B.; Wang, W.T.; Wang, Z.M. Influence of macadamia nutshell particles on the apparent density and mechanical behavior of cement-based mortars. Constr. Build. Mater. 2024, 411, 134600. [Google Scholar] [CrossRef]
- Siddika, A.; Mamun, M.A.A.; Alyousef, R.; Amran, Y.H.M. Strengthening of reinforced concrete beams by using fiber-reinforced polymer composites: A review. J. Build. Eng. 2019, 25, 100798. [Google Scholar] [CrossRef]
- Zheng, F.; Gao, L.; Wu, Y.F.; Liu, J.Y. Flexural design of reinforced concrete structures strengthened with hybrid bonded FRP. Compos. Struct. 2021, 269, 113996. [Google Scholar] [CrossRef]
- Siddika, A.; Mamun, M.A.A.; Ferdous, W.; Alyousef, R. Performances, challenges and opportunities in strengthening reinforced concrete structures by using FRPs—A state-of-the-art review. Eng. Fail. Anal. 2020, 111, 104480. [Google Scholar] [CrossRef]
- Mohammadi, A.; Barros, J.A.O.; Sena-Cruz, J. A new model for predicting the shear strength of RC beams strengthened with externally bonded FRP sheets. Compos. Struct. 2023, 319, 117081. [Google Scholar] [CrossRef]
- Bocciarelli, M.; Pisani, M.A. Survey on the interface behaviour in reinforced concrete beams strengthened with externally bonded FRP reinforcement. Compos. Part B 2017, 118, 169–176. [Google Scholar] [CrossRef]
- Lee, D.H.; Han, S.J.; Kim, K.S.; LaFave, J.M. Shear strength of reinforced concrete beams strengthened in shear using externally-bonded FRP composites. Compos. Struct. 2017, 173, 177–187. [Google Scholar] [CrossRef]
- Zhou, Y.W.; Chen, X.L.; Fan, Z.H.; Sui, L.L.; Li, D.W.; Xing, F. Bond behaviors of FRP-to-concrete interface under the control of a novel end-anchorage system. Compos. Struct. 2017, 168, 130–142. [Google Scholar] [CrossRef]
- Ababneh, A.N.; Al-Rousan, R.Z.; Ghaith, I.M.N. Experimental study on anchoring of FRP-strengthened concrete beams. Structures 2020, 23, 26–33. [Google Scholar] [CrossRef]
- Azevedo, A.S.; Firmo, J.P.; Correia, J.R. Bond behaviour at high temperatures between concrete and CFRP or steel strengthening bars applied according to the embedded through-section (ETS) technique. Cem. Concr. Comp. 2024, 151, 105580. [Google Scholar] [CrossRef]
- D’Antino, T.; Pisani, M.A. General analytical model for the bond capacity of NSM FRP-concrete joints. J. Compos. Constr. 2020, 24, 04020065. [Google Scholar] [CrossRef]
- Amran, Y.H.M.; Alyousef, R.; Rashid, R.S.M.; Alabduljabbar, H.; Hung, C.C. Properties and applications of FRP in strengthening RC structures: A review. Structures 2018, 16, 208–238. [Google Scholar] [CrossRef]
- Sengun, K.; Arslan, G. Parameters affecting the behaviour of RC beams strengthened in shear and flexure with various FRP systems. Structures 2022, 40, 202–212. [Google Scholar] [CrossRef]
- Ji, C.Y.; Li, W.W.; Hu, C.Y.; Xing, F. Data analysis on fiber-reinforced polymer shear contribution of reinforced concrete beam shear strengthened with U-jacketing fiber-reinforced polymer composites. J. Reinf. Plast. Compos. 2017, 36, 98–120. [Google Scholar] [CrossRef]
- Ombres, L.; Aiello, M.A.; Cascardi, A.; Verre, S. Modeling of Steel-Reinforced Grout Composite System-To-Concrete Bond Capacity Using Artificial Neural Networks. J. Compos. Constr. 2024, 28, 04024034. [Google Scholar] [CrossRef]
- Marani, A.; Nehdi, M.L. Predicting shear strength of FRP-reinforced concrete beams using novel synthetic data driven deep learning. Eng. Struct. 2022, 257, 114083. [Google Scholar] [CrossRef]
- Ke, Y.; Zhang, S.S.; Jedrzejko, M.J.; Lin, G.; Li, W.G.; Nie, X.F. Strength models of near-surface mounted (NSM) fibre-reinforced polymer (FRP) shear-strengthened RC beams based on machine learning approaches. Compos. Struct. 2024, 337, 118045. [Google Scholar] [CrossRef]
- Anvari, T.A.; Babanajad, S.; Gandomi, A.H. Data-driven prediction models for total shear strength of reinforced concrete beams with fiber reinforced polymers using an evolutionary machine learning approach. Eng. Struct. 2023, 276, 115292. [Google Scholar] [CrossRef]
- Liu, Y.; He, J.T.; Liang, J.; Wang, W.T.; Wang, Z.M. A new improved particle swarm algorithm for optimization of anchor lattice beam support structures. Nat. Hazards 2024, 121, 225–243. [Google Scholar] [CrossRef]
- Perera, R.; Barchín, M.; Arteaga, A.; De Diego, A. Prediction of the ultimate strength of reinforced concrete beams FRP-strengthened in shear using neural networks. Compos. Part B 2010, 41, 287–298. [Google Scholar] [CrossRef]
- Tanarslan, H.M.; Secer, M.; Kumanlioglu, A. An approach for estimating the capacity of RC beams strengthened in shear with FRP reinforcements using artificial neural networks. Constr. Build. Mater. 2012, 30, 556–568. [Google Scholar] [CrossRef]
- Tanarslan, H.M.; Kumanlioglu, A.; Sakar, G. An anticipated shear design method for reinforced concrete beams strengthened with anchoraged carbon fiber-reinforced polymer by using neural network. Struct. Des. Tall Spec. Build. 2015, 24, 19–39. [Google Scholar] [CrossRef]
- Yavuz, G.; Arslan, M.H.; Baykan, O.K. Shear strength predicting of FRP-strengthened RC beams by using artificial neural networks. Sci. Eng. Compos. Mater. 2014, 21, 239–255. [Google Scholar] [CrossRef]
- Naderpour, H.; Alavi, S.A. A proposed model to estimate shear contribution of FRP in strengthened RC beams in terms of Adaptive Neuro-Fuzzy Inference System. Compos. Struct. 2017, 170, 215–227. [Google Scholar] [CrossRef]
- Abuodeh, O.R.; Abdalla, J.A.; Hawileh, R.A. Prediction of shear strength and behavior of RC beams strengthened with externally bonded FRP sheets using machine learning techniques. Compos. Struct. 2020, 234, 111698. [Google Scholar] [CrossRef]
- Wang, C.X.; Zou, X.X.; Snee, L.H.; Zhang, F.; Zheng, K.Q.; Xu, H.; Li, G.F. Shear strength prediction of FRP-strengthened concrete beams using interpretable machine learning. Constr. Build. Mater. 2023, 407, 133553. [Google Scholar] [CrossRef]
- Rahman, J.; Arafin, P.; Muntasir Billah, A.H.M. Machine learning models for predicting concrete beams shear strength externally bonded with FRP. Structures 2023, 53, 514–536. [Google Scholar] [CrossRef]
- Sung, W.; Potnuru, N.; Alfaris, S.; Sideris, P.; Paal, S.; Koliou, M.; Birely, A.; Hueste, M.B.; Hurlebaus, S. Shear capacity prediction model for prestressed concrete beams via data-driven methods. Structures 2025, 71, 108122. [Google Scholar] [CrossRef]
- Dong, Y.H.; Fu, Z.T.; Peng, Y.Q.; Zheng, Y.J.; Yan, H.J.; Li, X.X. Precision fertilization method of field crops based on the Wavelet-BP neural network in China. J. Clean. Prod. 2020, 246, 118735. [Google Scholar] [CrossRef]
- Khalifa, A.; Nanni, A. Rehabilitation of rectangular simply supported RC beams with shear deficiencies using CFRP composites. Constr. Build. Mater. 2002, 16, 135–146. [Google Scholar] [CrossRef]
- Pellegrino, C.; Modena, C. Fiber reinforced polymer shear strengthening of reinforced concrete beams with transverse steel reinforcement. J. Compos. Constr. 2002, 6, 104–111. [Google Scholar] [CrossRef]
- Diagana, C.; Li, A.; Gedalia, B.; Delmas, Y. Shear strengthening effectiveness with CFF strips. Eng. Struct. 2003, 25, 507–516. [Google Scholar] [CrossRef]
- Täljsten, B. Strengthening concrete beams for shear with CFRP sheets. Constr. Build. Mater. 2003, 17, 15–26. [Google Scholar] [CrossRef]
- Adhikary, B.B.; Mutsuyoshi, H. Behavior of concrete beams strengthened in shear with carbon-fiber sheets. J. Compos. Constr. 2004, 8, 258–264. [Google Scholar] [CrossRef]
- Ianniruberto, U.; Imbimbo, M. Role of fiber reinforced plastic sheets in shear response of reinforced concrete beams: Experimental and analytical results. J. Compos. Constr. 2004, 8, 415–424. [Google Scholar] [CrossRef]
- Carolin, A.; Täljsten, B. Experimental study of strengthening for increased shear bearing capacity. J. Compos. Constr. 2005, 9, 488–496. [Google Scholar] [CrossRef]
- Monti, G.; Liotta, M. Tests and design equations for FRP-strengthening in shear. Constr. Build. Mater. 2006, 21, 799–809. [Google Scholar] [CrossRef]
- Zhang, Z.C.; Hsu, C.T. Shear strengthening of reinforced concrete beams using carbon-fiber-reinforced polymer laminates. J. Compos. Constr. 2005, 9, 158–169. [Google Scholar] [CrossRef]
- Cao, S.Y.; Chen, J.F.; Teng, J.G.; Hao, Z.; Chen, J. Debonding in RC beams shear strengthened with complete FRP wraps. J. Compos. Constr. 2005, 9, 417–428. [Google Scholar] [CrossRef]
- Barros, J.A.O.; Dias, S.J.E.; Lima, J.L.T. Efficacy of CFRP-based techniques for the flexural and shear strengthening of concrete beams. Cem. Concr. Comp. 2006, 29, 203–217. [Google Scholar] [CrossRef]
- Pellegrino, C.; Modena, C. Fiber-reinforced polymer shear strengthening of reinforced concrete beams: Experimental study and analytical modeling. Aci Struct. J. 2006, 103, 720–728. [Google Scholar]
- Grande, E.; Imbimbo, M.; Rasulo, A. Effect of transverse steel on the response of RC beams strengthened in shear by FRP: Experimental study. J. Compos. Constr. 2009, 13, 405–414. [Google Scholar] [CrossRef]
- Alzate, A.; Arteaga, A.; Diego, A.D.; Perera, R. Shear strengthening of reinforced concrete beams using fibre reinforced polymers (FRP). Eur. J. Env. Civ. Eng. 2009, 13, 1051–1060. [Google Scholar] [CrossRef]
- Leung, C.K.Y.; Chen, Z.F.; Lee, S.; Ng, M.; Xu, M.; Tang, J.M. Effect of size on the failure of geometrically similar concrete beams strengthened in shear with FRP strips. J. Compos. Constr. 2007, 11, 487–496. [Google Scholar] [CrossRef]
- Kim, G.; Sim, J.S.; Oh, H. Shear strength of strengthened RC beams with FRPs in shear. Constr. Build. Mater. 2007, 22, 1261–1270. [Google Scholar] [CrossRef]
- Bae, S.W.; Tann, B.D.; Belarbi, A. Size effect of reinforced concrete beams strengthened in shear with externally bonded CFRP sheets. In Proceedings of the 6th International Conference on FRP Composites in Civil Engineering (CICE 2012), Rome, Italy, 13–15 June 2012. [Google Scholar]
- Allam, S.M.; Ebeido, T.I. Retrofitting of RC beams predamaged in shear using CFRP sheets. Alex. Eng. J. 2003, 42, 87–101. [Google Scholar]
- Adhikary, B.B.; Mutsuyoshi, H.; Ashraf, M. Shear strengthening of reinforced concrete beams using fiber-reinforced polymer sheets with bonded anchorage. Aci Struct. J. 2004, 101, 660–668. [Google Scholar]
- Pellegrino, C.; Modena, C. An experimentally based analytical model for the shear capacity of FRP-strengthened reinforced concrete beams. Mech. Compos. Mater. 2008, 44, 231–244. [Google Scholar] [CrossRef]
- Godat, A.; Qu, Z.; Lu, X.Z.; Labossière, P.; Ye, L.P.; Neale, K.W. Size effects for reinforced concrete beams strengthened in shear with CFRP strips. J. Compos. Constr. 2010, 14, 260–271. [Google Scholar] [CrossRef]
- Jayaprakash, J.; Samad, A.A.A.; Abbasovich, A.A.; Ali, A.A.A. Shear capacity of precracked and non-precracked reinforced concrete shear beams with externally bonded bi-directional CFRP strips. Constr. Build. Mater. 2007, 22, 1148–1165. [Google Scholar] [CrossRef]
- Beber, A.J.; Filho, A.C. CFRP composites on shear strengthening of reinforced concrete beams. Ibracon Struct. J. 2005, 1, 127–143. [Google Scholar]
- Abdel-Jaber, M.S.; Walker, P.R.; Hutchinson, A.R. Shear strengthening of reinforced concrete beams using different configurations of externally bonded carbon fibre reinforced plates. Mater. Struct. 2003, 36, 291–301. [Google Scholar] [CrossRef]
- Zhang, Z.C.; Hsu, C.T.; Moren, J. Shear strengthening of reinforced concrete deep beams using carbon fiber reinforced polymer laminates. J. Compos. Constr. 2004, 8, 403–414. [Google Scholar] [CrossRef]
- Donatone, G.; Oliva, A.; Sollazzo, A.; Trentadue, F. Rinforzi strutturali con uso di compositi a matrice polimerica. Indag. Sper. 2003, 12, 3–8. [Google Scholar]
- Teng, J.G.; Chen, G.M.; Chen, J.F.; Rosenboom, O.A.; Lam, L. Behavior of RC beams shear Strengthened with bonded or unbonded FRP wraps. J. Compos. Constr. 2009, 13, 394–404. [Google Scholar] [CrossRef]
- Colalillo, M.A.; Sheikh, S.A. Seismic retrofit of shear-critical reinforced concrete beams using CFRP. Constr. Build. Mater. 2012, 32, 99–109. [Google Scholar] [CrossRef]
- Lee, J.Y.; Hwang, H.B.; Doh, J.H. Effective strain of RC beams strengthened in shear with FRP. Compos. Part B 2012, 43, 754–765. [Google Scholar] [CrossRef]
- Li, W.W.; Leung, C.K.Y. Shear span-depth ratio effect on behavior of RC beam shear strengthened with full-wrapping FRP strip. J. Compos. Constr. 2015, 20, 04015067. [Google Scholar] [CrossRef]
- Ebead, U.; Saeed, H. Hybrid shear strengthening system for reinforced concrete beams: An experimental study. Eng. Struct. 2013, 49, 421–433. [Google Scholar] [CrossRef]
- Bukhari, I.A.; Vollum, R.; Ahmad, S.; Sagaseta, J. Shear strengthening of short span reinforced concrete beams with CFRP sheets. Arab. J. Sci. Eng. 2013, 38, 523–536. [Google Scholar] [CrossRef]
- Li, W.W.; Leung, C.K.Y. Effect of shear span-depth ratio on mechanical performance of RC beams strengthened in shear with U-wrapping FRP strips. Compos. Struct. 2017, 177, 141–157. [Google Scholar] [CrossRef]
- Al-Lebban, Y.F.; Mackie, K.R. Polyurethane-FRP external strengthening of RC beams with no steel stirrups. J. Compos. Constr. 2019, 23, 04018074. [Google Scholar] [CrossRef]
- Javed, M.A.; Irfan, M.; Khalid, S.; Chen, Y.; Ahmed, S. An experimental study on the shear strengthening of reinforced concrete deep beams with carbon fiber reinforced polymers. KSCE J. Civ. Eng. 2016, 20, 2802–2810. [Google Scholar] [CrossRef]
- Al-Rousan, R.Z.; Issa, M.A. The effect of beam depth on the shear behavior of reinforced concrete beams externally strengthened with carbon fiber-reinforced polymer composites. Adv. Struct. Eng. 2016, 19, 1769–1779. [Google Scholar] [CrossRef]
- Ahlam, M.; Kaiss, S.; Nabeel, A.B. Shear strength enhancement of lightweight aggregate reinforced concrete deep beams by using CFRP strips. MATEC Web Conf. 2018, 162, 04011. [Google Scholar]
- Ernesto, G.; Maura, I.; Rasulo, A. Experimental response of RC beams strengthened in shear by FRP sheets. Open Civ. Eng. J. 2013, 7, 127–135. [Google Scholar]
- Jirawattanasomkul, T.; Dai, J.G.; Zhang, D.W.; Senda, M.; Ueda, T. Experimental study on shear behavior of reinforced-concrete members fully wrapped with large rupture-strain FRP composites. J. Compos. Constr. 2013, 18, A4013009. [Google Scholar] [CrossRef]
- Hu, Z.H.; Zhou, X.Q.; Guo, M.H.; Huang, X.X.; Hu, B. Enhancing the performance of CFRP shear-strengthened RC beams using “ductile” anchoring devices. Front. Mater. 2020, 7, 292. [Google Scholar] [CrossRef]
- Saribiyik, A.; Abodan, B.; Balci, M.T. Experimental study on shear strengthening of RC beams with basalt FRP strips using different wrapping methods. Eng. Sci. Technol. 2020, 24, 192–204. [Google Scholar] [CrossRef]
- Bukhari, I.A.; Vollum, R.L.; Ahmad, S.; Sagaseta, J. Shear strengthening of reinforced concrete beams with CFRP. Arab. J. Sci. Eng. 2010, 62, 65–77. [Google Scholar] [CrossRef]
- Dias, S.J.; Barros, J.A. Experimental research of a new CFRP-based shear strengthening technique for rein forced concrete beams. Ibracon Struct. J. 2005, 1, 104–113. [Google Scholar]
- Kar, S.; Biswal, K.C. External shear strengthening of RC beams with basalt fiber sheets: An experimental study. Structures 2021, 31, 305–315. [Google Scholar] [CrossRef]
- Yu, F.; Guo, S.Q.; Wang, S.L.; Fang, Y. Experimental study on high pre-cracked RC beams shear-strengthened with CFRP strips. Compos. Struct. 2019, 225, 111163. [Google Scholar] [CrossRef]
- Karzad, A.S.; Leblouba, M.; Toubat, S.A.; Maalej, M. Repair and strengthening of shear-deficient reinforced concrete beams using carbon fiber reinforced polymer. Compos. Struct. 2019, 223, 110963. [Google Scholar] [CrossRef]
- Alam, M.A.; Riyami, K.A. Shear strengthening of reinforced concrete beam using natural fibre reinforced polymer laminates. Constr. Build. Mater. 2018, 162, 683–696. [Google Scholar] [CrossRef]
- Samad, A.A.A.; Ali, N.; Mohamad, N.; Jayaprakash, J.; Tee, K.F.; Mendis, P. Shear strengthening and shear repair of 2-span continuous RC beams with CFRP strips. J. Compos. Constr. 2016, 21, 04016099. [Google Scholar] [CrossRef]
- Manos, G.C.; Theofanous, M.; Katakalos, K. Numerical simulation of the shear behaviour of reinforced concrete rectangular beam specimens with or without FRP-strip shear reinforcement. Adv. Eng. Softw. 2014, 67, 47–56. [Google Scholar] [CrossRef]
- Gonzalez-Libreros, J.H.; Sneed, L.H.; D’Antino, T.; Pellegrino, C. Behavior of RC beams strengthened in shear with FRP and FRCM composites. Eng. Struct. 2017, 150, 830–842. [Google Scholar] [CrossRef]
- Mostofinejad, D.; Hosseini, S.A.; Razavi, S.B. Influence of different bonding and wrapping techniques on performance of beams strengthened in shear using CFRP reinforcement. Constr. Build. Mater. 2016, 116, 310–320. [Google Scholar] [CrossRef]
- Mei, S.J.; Bai, Y.L.; Dai, J.G. Shear strengthening of reinforced concrete beams completely wrapped by large rupture strain (LRS) FRP. Eng. Struct. 2024, 314, 118361. [Google Scholar] [CrossRef]
- Akkaya, H.C.; Aydemir, C.; Arslan, G. Investigation on shear behavior of reinforced concrete deep beams without shear reinforcement strengthened with fiber reinforced polymers. Case Stud. Constr. Mater. 2022, 17, e01392. [Google Scholar] [CrossRef]
- Akkaya, H.C.; Aydemir, C.; Arslan, G. An experimental research on reinforced concrete deep beams fully wrapped with fiber reinforced polymers against shear. Case Stud. Constr. Mater. 2022, 17, e01198. [Google Scholar] [CrossRef]
- Akkaya, H.C.; Aydemir, C.; Arslan, G. Evaluation of shear behavior of short-span reinforced concrete deep beams strengthened with fiber reinforced polymer strips. Eng. Struct. 2024, 299, 117145. [Google Scholar] [CrossRef]
- SENGUN, K.; ARSLAN, G. Investigation of the parameters affecting the behavior of RC beams strengthened with FRP. Front. Struct. Civ. Eng. 2022, 16, 729–743. [Google Scholar] [CrossRef]
- Sengun, K.; Arslan, G. Performance of RC beams strengthened in flexure and shear with CFRP and GFRP. Iran. J. Sci. Tech-Trans. Civ. Eng. 2023, 48, 117–130. [Google Scholar] [CrossRef]
- Moradi, E.; Naderpour, H.; Kheyroddin, A. An experimental approach for shear strengthening of RC beams using a proposed technique by embedded through-section FRP sheets. Compos. Struct. 2020, 238, 111988. [Google Scholar] [CrossRef]
- Javed, M.F.; Fawad, M.; Lodhi, R.; Najeh, T.; Gamil, Y. Forecasting the strength of preplaced aggregate concrete using interpretable machine learning approaches. Sci. Rep. 2024, 14, 8381. [Google Scholar] [CrossRef]
- Khan, M.; Javed, M.F. Towards sustainable construction: Machine learning based predictive models for strength and durability characteristics of blended cement concrete. Mater. Today Commun. 2023, 37, 107428. [Google Scholar] [CrossRef]
- Liu, K.H.; Dai, Z.H.; Zhang, R.B.; Zheng, J.K.; Zhu, J.; Yang, X.C. Prediction of the sulfate resistance for recycled aggregate concrete based on ensemble learning algorithms. Constr. Build. Mater. 2022, 317, 125917. [Google Scholar] [CrossRef]
- Huang, T.; Liu, T.B.; Ai, Y.; Ren, Z.X.; Ou, J.X.; Li, Y.X.; Xu, N. Modelling the interface bond strength of corroded reinforced concrete using hybrid machine learning algorithms. J. Build. Eng. 2023, 74, 106862. [Google Scholar] [CrossRef]
- Umer, K.; Bilal, A.; Abbas, K.Z.; Ahsen, M.; Irshad, Q.M. Integrated support vector regressor and hybrid neural network techniques for earthquake prediction along Chaman fault, Baluchistan. Arab. J. Geosci. 2021, 14, 2192. [Google Scholar]
- GB 50010-2010; Code for Design of Concrete Structures. 2015th ed. Architecture & Building Press: Beijing, China, 2016.
- ACI 318-14; Building Code Requirements for Structural Concrete and Commentary. American Concrete Institute: Farmington Hills, MI, USA, 2014.
- EN 1992-1-1:2004; Eurocede2: Design of Concrete Structures. Comité Européen de Normalisation: Brussels, Belgium, 2004.
Disclaimer/Publisher’s Note: The statements, opinions and data contained in all publications are solely those of the individual author(s) and contributor(s) and not of MDPI and/or the editor(s). MDPI and/or the editor(s) disclaim responsibility for any injury to people or property resulting from any ideas, methods, instructions or products referred to in the content. |
© 2025 by the authors. Licensee MDPI, Basel, Switzerland. This article is an open access article distributed under the terms and conditions of the Creative Commons Attribution (CC BY) license (https://creativecommons.org/licenses/by/4.0/).







