Assessing Acoustic Conditions in Hybrid Classrooms for Chinese Speech Intelligibility at the Remote End
Abstract
1. Introduction
- In different acoustic conditions, do face-to-face users and remote users acquire the same speech intelligibility in Blended Synchronous Learning?
- How does the acoustic environment affect the listening experience at the remote end?
2. Materials and Methods
2.1. Room Description
2.2. On-Site Acoustic Measurement Procedures
2.2.1. BNL and SNR
2.2.2. RT, Early Decay Time (EDT) and C50
2.2.3. STI
2.3. Subjective Speech Intelligibility Test
3. Results
3.1. Results of BNL and SNR
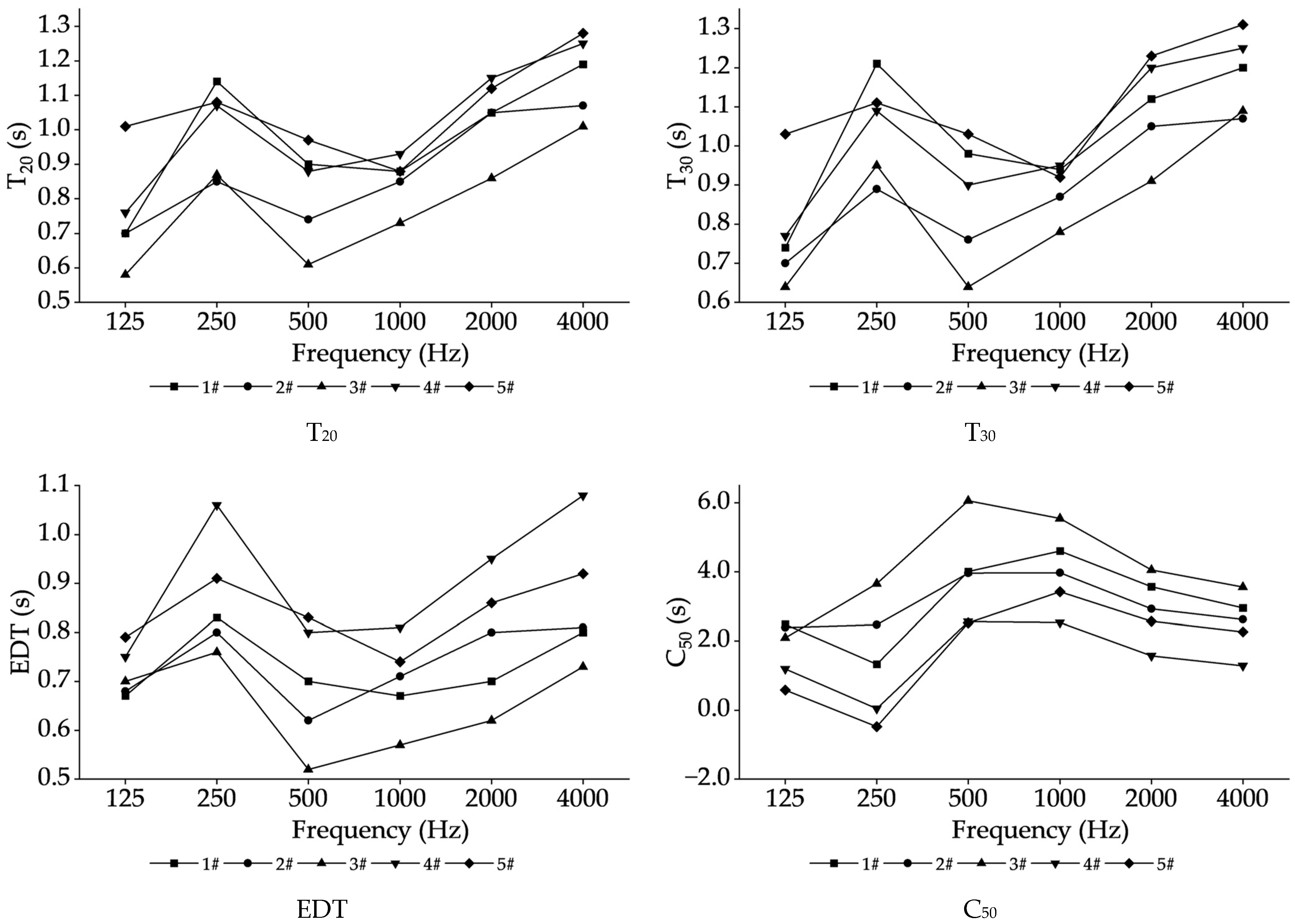
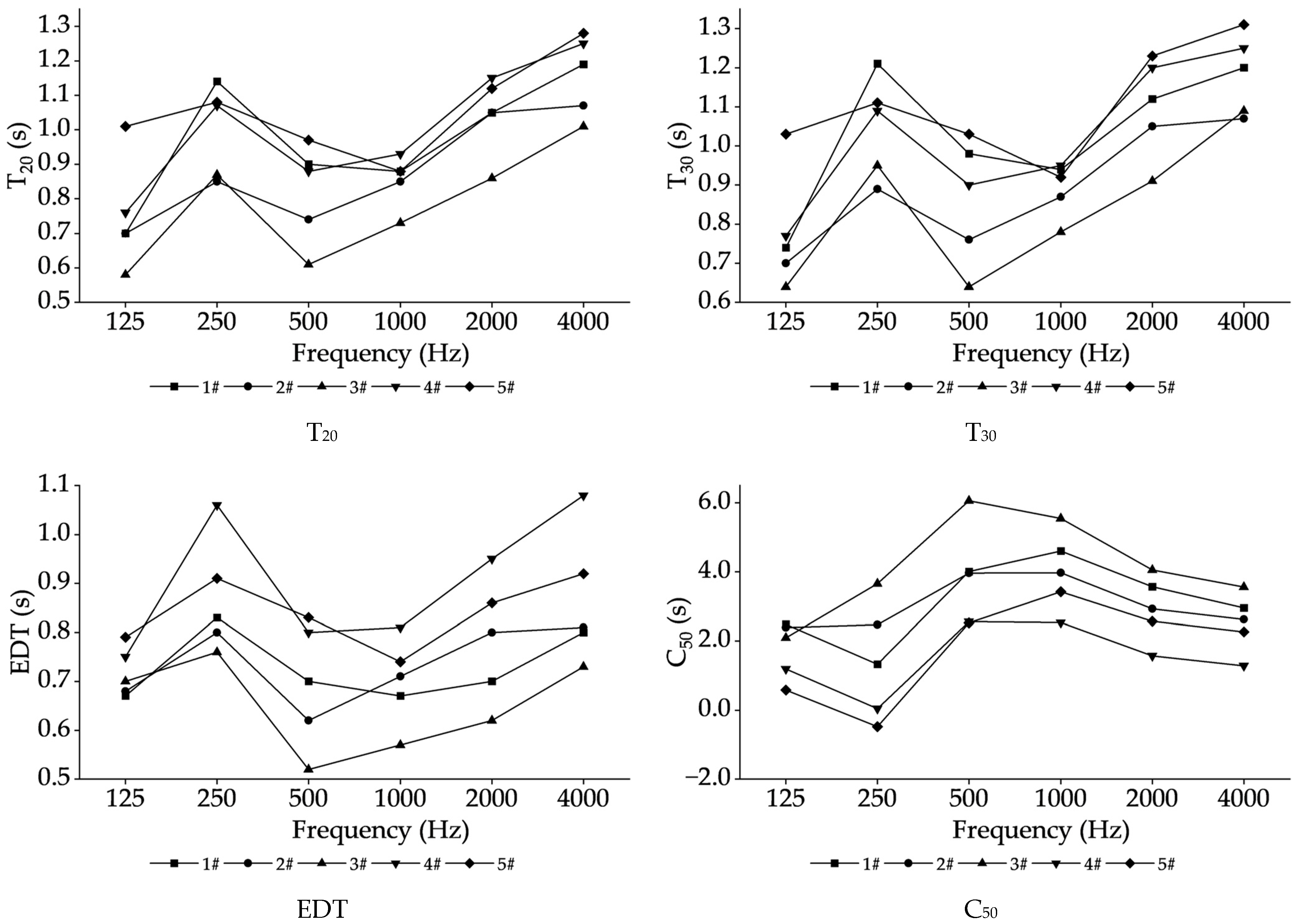
3.2. Results of Room-Acoustic Parameters
3.3. Differences Between SI Scores in Each Hybrid Classroom
3.4. Effects of SNR in Classroom and Room-Acoustic Parameters on SI Scores at Remote End
4. Discussion
4.1. BNL in Hybrid Classroom and the Way Service Box Should Be Used
4.2. SNR for Hybrid Classroom, Size of the Hybrid Classroom and Equipment Choice
4.3. Correlation Between RT and SI Scores
4.4. Limitations and Future Work
5. Conclusions
Author Contributions
Funding
Data Availability Statement
Acknowledgments
Conflicts of Interest
Appendix A
| Position | Condition (i) | Condition (ii) | Condition (iii) | Condition (iv) | Condition (v) | |
|---|---|---|---|---|---|---|
| 1# | B1 | 40.3 | 42.6 | 44.5 | 42.6 | 42.8 |
| B2 | 37.6 | 43.1 | 42.4 | 43.1 | 43.6 | |
| B3 | 39.1 | 36.3 | 41.3 | 43.1 | 42.5 | |
| B4 | 39.0 | 39.1 | 41.9 | 42.9 | 42.4 | |
| Average | 39.1 | 41.1 | 42.7 | 42.9 | 42.8 | |
| 2# | B1 | 32.7 | 37.8 | 43.8 | 39.3 | 42.4 |
| B2 | 35.9 | 37.9 | 44.0 | 40.0 | 43.1 | |
| B3 | 34.9 | 49.0 | 45.4 | 49.9 | 48.5 | |
| B4 | 36.4 | 38.2 | 43.3 | 40.1 | 43.5 | |
| Average | 35.2 | 43.9 | 44.2 | 45.0 | 45.1 | |
| 3# | B1 | 42.7 | 46.8 | 48.8 | 49.3 | 49.8 |
| B2 | 43.9 | 42.4 | 44.6 | 43.4 | 45.6 | |
| B3 | 40.6 | 42.4 | 42.6 | 43.7 | 45.1 | |
| B4 | 41.6 | 41.7 | 43.7 | 42.4 | 45.3 | |
| Average | 42.4 | 43.9 | 45.7 | 45.7 | 47.0 | |
| 4# | B1 | 36.9 | 39.1 | 44.6 | 39.0 | 45.1 |
| B2 | 36.9 | 37.9 | 45.3 | 38.1 | 45.5 | |
| B3 | 35.6 | 34.0 | 45.0 | 36.4 | 45.7 | |
| B4 | 37.6 | 37.8 | 45.0 | 38.9 | 45.2 | |
| B5 | 38.0 | 38.2 | 45.4 | 40.3 | 45.4 | |
| B6 | 36.1 | 36.4 | 45.1 | 36.7 | 44.7 | |
| B7 | 37.6 | 37.1 | 44.5 | 36.2 | 45.2 | |
| B8 | 36.9 | 37.0 | 45.1 | 37.1 | 45.0 | |
| B9 | 35.7 | 36.0 | 44.3 | 36.2 | 44.7 | |
| Average | 36.9 | 37.3 | 44.9 | 37.9 | 45.2 | |
| 5# | B1 | 32.8 | 33.9 | 42.9 | 35.7 | 43.6 |
| B2 | 33.0 | 34.2 | 42.5 | 34.4 | 41.8 | |
| B3 | 34.9 | 35.2 | 43.3 | 35.8 | 43.3 | |
| B4 | 34.8 | 34.9 | 42.5 | 35.2 | 43.1 | |
| B5 | 38.3 | 38.9 | 43.0 | 43.5 | 44.1 | |
| B6 | 33.3 | 35.2 | 43.5 | 36.6 | 43.5 | |
| B7 | 34.0 | 34.1 | 42.8 | 34.4 | 43.1 | |
| B8 | 34.1 | 33.8 | 41.9 | 34.5 | 42.8 | |
| B9 | 34.8 | 36.2 | 43.8 | 36.8 | 45.5 | |
| B10 | 35.7 | 36.6 | 42.5 | 37.6 | 41.9 | |
| B11 | 34.5 | 35.0 | 43.8 | 36.1 | 43.5 | |
| B12 | 35.8 | 35.0 | 42.7 | 35.8 | 43.2 | |
| Average | 34.9 | 35.5 | 43.0 | 37.3 | 43.4 |
| Volunteer | 1# | 2# | 3# | 4# | 5# | |
|---|---|---|---|---|---|---|
| Face-to-face end | 1 | 97.33% | 98.67% | 94.67% | 96.00% | 96.00% |
| 2 | 96.00% | 96.00% | 90.67% | 98.67% | 94.67% | |
| 3 | 97.33% | 98.67% | 90.67% | 96.00% | 90.67% | |
| 4 | 97.33% | 100.00% | 90.67% | 94.67% | 90.67% | |
| 5 | 97.33% | 100.00% | 98.67% | 96.00% | 97.33% | |
| 6 | 98.67% | 93.33% | 96.00% | 97.33% | 98.67% | |
| 7 | 96.00% | 100.00% | 97.33% | 97.33% | 96.00% | |
| 8 | 98.67% | 100.00% | 92.00% | 89.33% | 88.00% | |
| 9 | 97.33% | 93.33% | 89.33% | 97.33% | 97.33% | |
| 10 | 93.33% | 96.00% | 93.33% | 97.33% | 94.67% | |
| 11 | 98.67% | 98.67% | 97.33% | 93.33% | 97.33% | |
| 12 | 98.67% | 100.00% | 86.67% | 96.00% | 89.33% | |
| 13 | 96.00% | 96.00% | 93.33% | 97.33% | 98.67% | |
| 14 | 94.67% | 93.33% | 97.33% | 98.67% | 97.33% | |
| 15 | 97.33% | 98.67% | 94.67% | 97.33% | 97.33% | |
| 16 | 96.00% | 96.00% | 92.00% | 92.00% | 92.00% | |
| 17 | 93.33% | 98.67% | 90.67% | 98.67% | 96.00% | |
| 18 | 89.33% | 93.33% | 94.67% | 97.33% | 96.00% | |
| 19 | 96.00% | 98.67% | 96.00% | 92.00% | 90.67% | |
| 20 | 94.67% | 93.33% | 94.67% | 86.67% | 92.00% | |
| Average | 96.20% | 97.13% | 93.53% | 95.47% | 94.53% | |
| Remote end | 1 | 64.00% | 57.33% | 81.33% | 81.33% | 74.67% |
| 2 | 84.00% | 64.00% | 92.00% | 90.67% | 86.67% | |
| 3 | 69.33% | 60.00% | 98.67% | 81.33% | 76.00% | |
| 4 | 74.67% | 77.33% | 94.67% | 90.67% | 42.67% | |
| 5 | 80.00% | 85.33% | 97.33% | 76.00% | 68.00% | |
| 6 | 70.67% | 81.33% | 81.33% | 94.67% | 66.67% | |
| 7 | 78.67% | 89.33% | 86.67% | 85.33% | 89.33% | |
| 8 | 81.33% | 89.33% | 78.67% | 88.00% | 80.00% | |
| 9 | 73.33% | 82.67% | 90.67% | 86.67% | 65.33% | |
| 10 | 76.00% | 92.00% | 94.67% | 90.67% | 73.33% | |
| 11 | 80.00% | 77.33% | 82.67% | 78.67% | 76.00% | |
| 12 | 74.67% | 89.33% | 89.33% | 89.33% | 81.33% | |
| 13 | 84.00% | 82.67% | 93.33% | 90.67% | 80.00% | |
| 14 | 76.00% | 85.33% | 76.00% | 90.67% | 64.00% | |
| 15 | 78.67% | 82.67% | 90.67% | 86.67% | 77.33% | |
| 16 | 70.67% | 77.33% | 86.67% | 92.00% | 62.67% | |
| 17 | 81.33% | 76.00% | 81.33% | 84.00% | 93.33% | |
| 18 | 78.67% | 68.00% | 86.67% | 81.33% | 86.67% | |
| 19 | 77.33% | 64.00% | 80.00% | 78.67% | 65.33% | |
| 20 | 81.33% | 76.00% | 88.00% | 86.67% | 77.33% | |
| Average | 76.73% | 77.87% | 87.53% | 86.20% | 74.33% |
References
- Bower, M.; Dalgarno, B.; Kennedy, G.; Lee, M.J.; Kenney, J. Blended Synchronous Learning: A Handbook for Educators, 1st ed.; Office for Learning and Teaching, Department of Education Sydney, Australia: Canberra, Australia, 2014.
- Hastie, M.; Hung, I.C.; Chen, N.S.; Kinshuk. A blended synchronous learning model for educational international collaboration. Innov. Educ. Teach. Int. 2010, 47, 9–24. [Google Scholar] [CrossRef]
- Park, Y.J.; Bonk, C.J. Synchronous learning experiences: Distance and residential learners’ perspectives in a blended graduate course. J. Interact. Online Learn. 2007, 6, 245–264. [Google Scholar]
- Bell, J.; Sawaya, S.; Cain, W. Synchromodal classes: Designing for shared learning experiences between face-to-face and online students. Int. J. Des. Learn. 2014, 5, 68–82. [Google Scholar] [CrossRef]
- Abdelmalak, M.M.M.; Parra, J.L. Expanding learning opportunities for graduate students with HyFlex course design. Int. J. Online Pedagog. Course Des. (IJOPCD) 2016, 6, 19–37. [Google Scholar] [CrossRef]
- Butz, N.T.; Stupnisky, R.H. A mixed methods study of graduate students’ self-determined motivation in synchronous hybrid learning environments. Internet High. Educ. 2016, 28, 85–95. [Google Scholar] [CrossRef]
- Romero-Hall, E.; Vicentini, C.R. Examining distance learners in hybrid synchronous instruction: Successes and challenges. Online Learn. J. 2017, 21, 141–157. [Google Scholar] [CrossRef]
- Zydney, J.M.; McKimmy, P.; Lindberg, R.; Schmidt, M. Here or there instruction: Lessons learned in implementing innovative approaches to blended synchronous learning. TechTrends 2019, 63, 123–132. [Google Scholar] [CrossRef]
- White, C.P.; Ramirez, R.; Smith, J.G.; Plonowski, L. Simultaneous delivery of a face-to-face course to on-campus and remote off-campus students. TechTrends 2010, 54, 34–40. [Google Scholar]
- Paul, J.; Jefferson, F. A comparative analysis of student performance in an online vs. face-to-face environmental science course from 2009 to 2016. Front. Comput. Sci. 2019, 1, 7. [Google Scholar] [CrossRef]
- Norberg, A.; Dziuban, C.D.; Moskal, P.D. A time-based blended learning model. Horiz. 2011, 19, 207–216. [Google Scholar] [CrossRef]
- Minadzi, V.M.; Segbenya, M. Usefulness and challenges with blended learning during the COVID-19 pandemic in Ghana: The mediating role of human resource factors. Comput. Hum. Behav. Rep. 2024, 16, 100468. [Google Scholar] [CrossRef]
- Sadeghi, M. A shift from classroom to distance learning: Advantages and limitations. Int. J. Res. Engl. Educ. 2019, 4, 80–88. [Google Scholar] [CrossRef]
- Sharma, D.; Sood, A.K.; Darius, P.S.; Gundabattini, E.; Darius Gnanaraj, S.; Joseph Jeyapaul, A. A study on the online-offline and blended learning methods. J. Inst. Eng. (India) Ser. B 2022, 103, 1373–1382. [Google Scholar] [CrossRef]
- Bower, M.; Dalgarno, B.; Kennedy, G.E.; Lee, M.J.; Kenney, J. Design and implementation factors in blended synchronous learning environments: Outcomes from a cross-case analysis. Comput. Educ. 2015, 86, 1–17. [Google Scholar] [CrossRef]
- Wang, Q.; Huang, C. Pedagogical, social and technical designs of a blended synchronous learning environment. Br. J. Educ. Technol. 2018, 49, 451–462. [Google Scholar] [CrossRef]
- Bower, M.; Kenney, J.; Dalgarno, B.; Kennedy, G.E. Blended synchronous learning: Patterns and principles for simultaneously engaging co-located and distributed learners. In Proceedings of the 30th ASCILITE—Australian Society for Computers in Learning in Tertiary Education Annual Conference, Sydney, Australia, 1–4 December 2013; pp. 92–102. [Google Scholar]
- Astolfi, A.; Pellerey, F. Subjective and objective assessment of acoustical and overall environmental quality in secondary school classrooms. J. Acoust. Soc. Am. 2008, 123, 163–173. [Google Scholar] [CrossRef]
- ISO 9921:2003; Ergonomics—Assessment of Speech Communication. International Organization for Standardization: Geneva, Switzerland, 2022.
- Bradley, J.S. Speech intelligibility studies in classrooms. J. Acoust. Soc. Am. 1986, 80, 846–854. [Google Scholar] [CrossRef]
- Bradley, J.S.; Sato, H. The intelligibility of speech in elementary school classrooms. J. Acoust. Soc. Am. 2008, 123, 2078–2086. [Google Scholar] [CrossRef]
- Astolfi, A.; Bottalico, P.; Barbato, G. Subjective and objective speech intelligibility investigations in primary school classrooms. J. Acoust. Soc. Am. 2012, 131, 247–257. [Google Scholar] [CrossRef]
- Hodgson, M.; Nosal, E.-M. Effect of noise and occupancy on optimal reverberation times for speech intelligibility in classrooms. J. Acoust. Soc. Am. 2002, 111, 931–939. [Google Scholar] [CrossRef]
- Choi, Y.-J. The intelligibility of speech in university classrooms during lectures. Appl. Acoust. 2020, 162, 107211. [Google Scholar] [CrossRef]
- Jianxin, P. Chinese speech intelligibility at different speech sound pressure levels and signal-to-noise ratios in simulated classrooms. Appl. Acoust. 2010, 71, 386–390. [Google Scholar] [CrossRef]
- Peng, J. Chinese syllable and phoneme identification in noise and reverberation. Arch. Acoust. 2014, 39, 483–488. [Google Scholar] [CrossRef]
- Jianxin, P. Relationship between Chinese speech intelligibility and speech transmission index using diotic listening. Speech Commun. 2007, 49, 933–936. [Google Scholar] [CrossRef]
- Zhu, P.; Mo, F.; Kang, J. Relationship between Chinese speech intelligibility and speech transmission index under reproduced general room conditions. Acta Acust. United Acust. 2014, 100, 880–887. [Google Scholar] [CrossRef]
- IEC 60286-16; Sound System Equipment-Part 16: Objective Rating of Speech Intelligibility by Speech Transmission Index. International Electrotechnical Commission: Geneva, Switzerland, 2020.
- Razali, A.W.; Din, N.C.; Yahya, M.N.; Sulaiman, R.; Razak, A.S.A. Classroom transformation for better education: Part 2-A preliminary study on acoustic design strategies for hybrid learning classrooms. In Proceedings of the INTER-NOISE and NOISE-CON Congress and Conference Proceedings, Chiba, Japan, 20–23 August 2023; pp. 116–126. [Google Scholar]
- Elmehdi, H.; Tato, A. Assessing Acoustic Conditions in Hybrid Classrooms with COVID-19 Social Distancing at the University of Sharjah. In Proceedings of the INTER-NOISE and NOISE-CON Congress and Conference Proceedings, Glasgow, UK, 21–24 August 2022; pp. 4898–4903. [Google Scholar]
- Galbrun, L.; Kitapci, K. Speech intelligibility of English, Polish, Arabic and Mandarin under different room acoustic conditions. Appl. Acoust. 2016, 114, 79–91. [Google Scholar] [CrossRef]
- GB 50118-2010; Code for Design of Sound Insulation of Civil Buildings. Ministry of Housing and Urban-Rural Development of the People’s Republic of China: Beijing, China, 2010.
- ANSI S12.60/Part 1-2010 (R2020); Acoustical Performance Criteria, Design Requirements, and Guidelines for Schools. American National Standards Institute: Washington, DC, USA, 2020.
- ISO 3382-2; Acoustics-Measurement of Room Acoustic Parameters-Part2 Reverberation Time in Ordinary Rooms. International Organization for Standardization: Geneva, Switzerland, 2008.
- Iannace, G.; Trematerra, A.; Trematerra, P. Acoustic correction using green material in classrooms located in historical buildings. Acoust. Aust. 2013, 41, 213–218. [Google Scholar]
- GB/T15508-1995; Acoustics-Speech Articulation Testing Method. China Zhijian Publishing House: Beijing, China, 1995.
- Yang, L.; Zhang, J.; Yan, Y. An improved STI method for evaluating Mandarin speech intelligibility. In Proceedings of the 2008 International Conference on Audio, Language and Image Processing, Shanghai, China, 7–9 July 2008; pp. 102–106. [Google Scholar]
- Sato, H.; Bradley, J.S. Evaluation of acoustical conditions for speech communication in active elementary school classrooms. In Proceedings of the International Congress on Acoustics, Kyoto, Japan, 4–9 April 2004; pp. 1–4. [Google Scholar]
- Knecht, H.A.; Nelson, P.B.; Whitelaw, G.M.; Feth, L.L. Background noise levels and reverberation times in unoccupied classrooms. Am. J. Audiol. 2002, 11, 65–71. [Google Scholar] [CrossRef]
- T/CAIACN 007-2022; General Technical Specification for Classroom Sound Reinforcement System. Community Associations Institute: Falls Church, VA, USA, 2022.
- Berardi, U.; Iannace, G.; Trematerra, A. Acoustic treatments aiming to achieve the italian minimum environmental criteria (cam) standards in large reverberant classrooms. Can. Acoust. 2019, 47, 73–80. [Google Scholar]
- Elmehdi, H.; Tato, A. Acoustic Comfort in Hybrid Learning Spaces: Students Perspective. In Proceedings of the INTER-NOISE and NOISE-CON Congress and Conference Proceedings, Glasgow, UK, 21–24 August 2022; pp. 4826–4831. [Google Scholar]
- Haas, H. The influence of a single echo on the audibility of speech. J. Audio Eng. Soc. 1972, 20, 145–159. [Google Scholar]
- Li, X.; Zhao, Y. Exploring Factors Influencing Speech Intelligibility in Airport Terminal Pier-Style Departure Lounges. Buildings 2025, 15, 426. [Google Scholar] [CrossRef]











| Room | Geometry | Dimension W ∗ L ∗ H (m) | Floor Area (m2) | Volume (m3) | Capacity (No. of Students) |
|---|---|---|---|---|---|
| 1# | Rectangle | 5.1 ∗ 8.2 ∗ 3.1 | 41.8 | 129.6 | 21 |
| 2# | Rectangle | 8.45 ∗ 8.2 ∗ 3.1 | 67.8 | 210.2 | 40 |
| 3# | Rectangle | 5.2 ∗ 6.0 ∗ 3.1 | 31.2 | 96.7 | 21 |
| 4# | Rectangle | 8.2 ∗ 13.5 ∗ 3.1 | 109.74 | 340.2 | 63 |
| 5# | Rectangle | 7.9 ∗ 16.25 ∗ 3.1 | 127.1 | 394.1 | 81 |
| Descriptions | Cyber Classroom | Physical Classroom | ||
|---|---|---|---|---|
| Teacher | Student | Teacher | Student | |
| Blended Synchronous Learning Mode 1 | × | √ | × | √ |
| Blended Synchronous Learning Mode 2 | × | √ | √ | × |
| Blended Synchronous Learning Mode 3 | × | √ | √ | √ |
| Blended Synchronous Learning Mode 4 | √ | × | × | √ |
| Blended Synchronous Learning Mode 5 | √ | × | √ | × |
| Blended Synchronous Learning Mode 6 | √ | × | √ | √ |
| Blended Synchronous Learning Mode 7 | √ | √ | × | √ |
| Blended Synchronous Learning Mode 8 | √ | √ | √ | × |
| Blended Synchronous Learning Mode 9 | √ | √ | √ | √ |
| 1# | 2# | 3# | 4# | 5# | |
|---|---|---|---|---|---|
| STI | 0.64 | 0.63 | 0.66 | 0.53 | 0.53 |
| Formula Number | Acoustic Parameter Indicators | Expression | Determination Coefficient R2 |
|---|---|---|---|
| (1) | T20, SNR | SI = −0.041 × SNR + 8.438 × T20 − 5.245 × T202 − 1.182 | 0.310 |
| (2) | T30, SNR | SI = −0.031 × SNR + 5.014 × T30 − 2.991 × T302 − 0.255 | 0.290 |
| (3) * | RT, SNR | SI = 3.12 × SNR − 0.064 × SNR2 − 6.15 × RT + 57.2 | 0.99 |
Disclaimer/Publisher’s Note: The statements, opinions and data contained in all publications are solely those of the individual author(s) and contributor(s) and not of MDPI and/or the editor(s). MDPI and/or the editor(s) disclaim responsibility for any injury to people or property resulting from any ideas, methods, instructions or products referred to in the content. |
© 2025 by the authors. Licensee MDPI, Basel, Switzerland. This article is an open access article distributed under the terms and conditions of the Creative Commons Attribution (CC BY) license (https://creativecommons.org/licenses/by/4.0/).
Share and Cite
Li, Q.; Li, N.; Wang, Y.; Li, Z.; Tian, M.; Zhang, Y. Assessing Acoustic Conditions in Hybrid Classrooms for Chinese Speech Intelligibility at the Remote End. Buildings 2025, 15, 1909. https://doi.org/10.3390/buildings15111909
Li Q, Li N, Wang Y, Li Z, Tian M, Zhang Y. Assessing Acoustic Conditions in Hybrid Classrooms for Chinese Speech Intelligibility at the Remote End. Buildings. 2025; 15(11):1909. https://doi.org/10.3390/buildings15111909
Chicago/Turabian StyleLi, Qian, Nan Li, Yan Wang, Zheng Li, Mengyun Tian, and Yihan Zhang. 2025. "Assessing Acoustic Conditions in Hybrid Classrooms for Chinese Speech Intelligibility at the Remote End" Buildings 15, no. 11: 1909. https://doi.org/10.3390/buildings15111909
APA StyleLi, Q., Li, N., Wang, Y., Li, Z., Tian, M., & Zhang, Y. (2025). Assessing Acoustic Conditions in Hybrid Classrooms for Chinese Speech Intelligibility at the Remote End. Buildings, 15(11), 1909. https://doi.org/10.3390/buildings15111909

