Research on Rheological Behavior and Strength Characteristics of Cement-Based Grouting Materials
Abstract
1. Introduction
2. Methods and Materials
2.1. Test Material
- (1)
- Ordinary Portland cement (OPC)
- (2)
- Sulfated aluminum cement (SAC)
- (3)
- Fly ash
- (4)
- Mineral powder
2.2. Specimen Preparation and Test Program
3. Rheological Characterization of Cement Slurries
3.1. Rheology Test
3.2. Structural Test
4. Mechanical Properties of Cured Grouts
4.1. Pore Distribution Characteristics
4.2. Microstructural Characterization of Cured Grouts
4.3. Strength and Failure Characteristics
5. Discussion
5.1. Pore Structure and Mechanical Properties
5.2. Additives and Mechanical Properties
6. Conclusions
- (1)
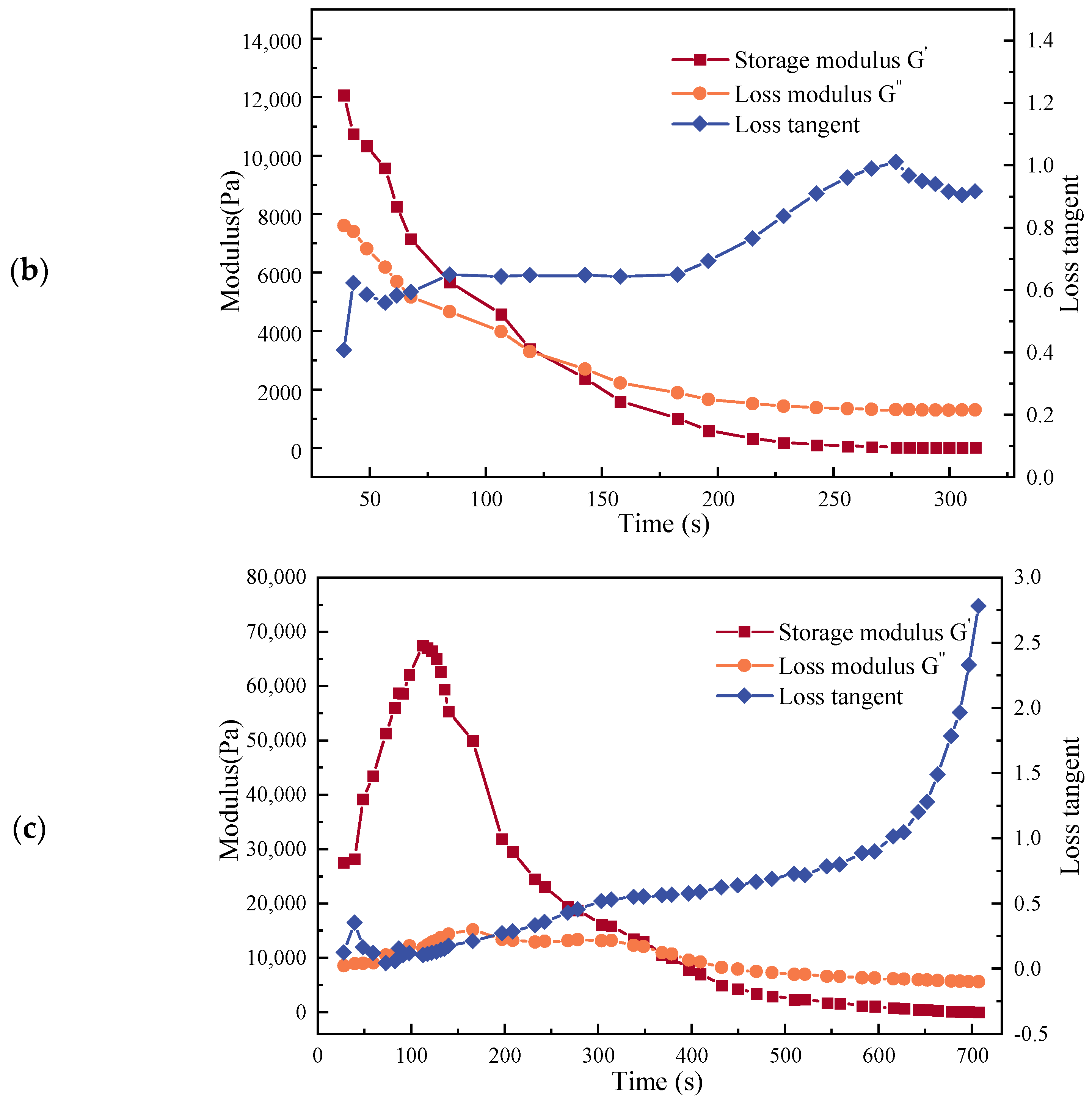
- The rheological test results demonstrate that the HGC grout exhibits higher shear stress and better conformity with the power-law model, whereas the OPC and SAC grouts display more pronounced Bingham characteristics. Thixotropy tests reveal that the HGC grout has a structural recovery time of 52 s after high-strain disturbance, significantly shorter than that of OPC (312 s) and SAC (121 s) grouts. During the construction of deep underground tunnels, HGC can rapidly seal fractures induced by blasting vibrations or rock mass deformation, thereby preventing further loosening of the surrounding rock. When injected into fractures under high pressure, it promptly reorganizes its gel network to effectively fill rock fragmentation zones. Notably, HGC contains a substantial amount of supplementary cementitious materials that enable continuous C-S-H gel formation, allowing for dynamic repair of microcracks caused by mechanical disturbances.
- (2)
- The NMR tests revealed that the porosities of HGC, SAC, and OPC cured grouts were 5.66%, 8.66%, and 9.71%, respectively. The HGC specimens exhibited a significantly higher proportion (94.86%) of the first peak in the T2 spectrum compared to SAC and OPC specimens. Pore size distribution analysis demonstrated that the HGC cured grouts were predominantly composed of medium nanopores, while OPC and SAC contained primarily large nano-sized pores.
- (3)
- The uniaxial compression tests demonstrated that the UCS of HGC, SAC, and OPC specimens exhibited a gradual decreasing trend across different curing ages. Compared with conventional cementitious materials, HGC showed faster UCS development during the initial 7 days, with a growth rate of approximately 77.97%. Regarding failure modes, both HGC and SAC specimens primarily failed through vertical splitting fractures while maintaining good post-peak integrity, whereas OPC specimens displayed typical brittle fragmentation failure characteristics.
- (4)
- For different specimens, the uniaxial compressive strength increases with the proportion of medium nanopores, while decreasing with increasing proportions of large nano-sized pores, small micropores, and medium micron-sized pores. The HGC grout contains additives with finer particles that form better gradation with the cementitious matrix, establishing a stable skeletal structure. This microstructure contributes significantly to enhancing both the structural stability and mechanical strength of the material.
Author Contributions
Funding
Data Availability Statement
Conflicts of Interest
References
- Xiao, T.; Yu, Z.; Li, H.; Xu, L. Study on slurry diffusion law of grouting reinforcement for fractured surrounding rock in deep roadway. J. Henan Polytech. Univ. (Nat. Sci.) 2024, 43, 16–24. [Google Scholar]
- Ye, F.; Wang, B.; Han, X.; Liang, X.; Ying, K.-C.; Liang, X.-M. Review of Shield Tunnel Backfill Grouting Tests and Its Diffusion Mechanisml. China J. Highw. Transp. 2020, 33, 92–104. [Google Scholar] [CrossRef]
- Zhang, M.; Wang, P.; Yang, T.; Liu, X.; Wu, C. Effect of polycarboxylic acid water reducer on sulphoaluminate cement based grouting material. Coal Sci. Technol. 2025, 53, 348–361. [Google Scholar]
- Kang, H. Seventy years development and prospects of strata control technologies for coal mine roadways in China. Chin. J. Rock Mech. Eng. 2021, 40, 1–30. [Google Scholar]
- Li, L.; Wang, Y.; Mu, W.; Wang, X.; Wei, J.; Li, X. Grouting characteristics of cement-based materials added multitype additives considering the time-varying rheology. Constr. Build. Mater. 2025, 472, 140914. [Google Scholar] [CrossRef]
- Zhang, J.; Guan, X.; Li, H.; Liu, X. Performance and hydration study of ultra-fine sulfoaluminate cement-based double liquidgrouting material. Constr. Build. Mater. 2017, 132, 262–270. [Google Scholar] [CrossRef]
- Zhang, J.; Li, Y.; Zhao, W.; Bai, Y.; Han, G.; Xu, J.; He, J.; Liu, L.; Ren, Z. Test and application of self-stress slurry reinforcement for fractured rockmasses with different strength. J. China Coal Soc. 2023, 48, 3347–3359. [Google Scholar]
- Liu, X.; Wang, S.; Liu, B.; Liu, Q.; Zhou, Y.; Chen, J.; Luo, J. Cement-based grouting material development and prediction of material properties using PSO-RBF machine learning. Constr. Build. Mater. 2024, 417, 135328. [Google Scholar] [CrossRef]
- Li, Z.; Du, M.; Meng, X.; Wang, Q. Development of low—cost grouting material and its modification test. Coal Eng. 2018, 50, 108–111. [Google Scholar]
- Guo, D.; Tan, J.; Xiao, Z.; Zhang, Y. Study on the optimum proportion and grouting effect of superfine cement slurry. J. Henan Polytech. Univ. (Nat. Sci.) 2017, 36, 1–8+34. [Google Scholar]
- Yu, W.; Zhou, M.; Wan, X.; Guan, Q. Experimental study on physical properties of superfine cement grouting material. Front. Mater. 2022, 9, 1056135. [Google Scholar] [CrossRef]
- Liu, H.; Li, X.; Li, Y.; Zhang, S.; Chen, P.; Wu, Y.; Fan, Z.; Tang, C. Research on performance of new type cement slurry for water shutoff in coal mine roadway. Saf. Coal Mines 2021, 52, 57–63. [Google Scholar]
- Zhang, R.; Xu, B.; Yin, S.; Li, S.; Chang, Y.; Lian, H.; Cao, M. Quantitative experimental study on time-varying characteristics of bleeding of cement-based grouting materials. Coal Geol. Explor. 2022, 50, 153–161. [Google Scholar]
- Liu, J.; Wang, R.; Meng, Q.; Chen, L.; Wang, J.; Liu, J. Research Progress on Production Technology, Properties and Engineering Application of Superfine Cement. Bull. Chin. Ceram. Soc. 2023, 42, 1519–1528. [Google Scholar]
- Jun, Y.; Kim, J.H.; Kim, T. Hydration of Calcium Sulfoaluminate-Based Binder Incorporating Red Mud and Silica Fume. Appl. Sci. 2019, 9, 2270. [Google Scholar] [CrossRef]
- Xu, Y.; Zhang, E.; Zhao, L.; Shen, X.; Li, Z. Study on the law of influence by slurry viscosity on the fractured aquifer grouting and diffusion. J. Min. Sci. Technol. 2021, 6, 71–81. [Google Scholar]
- Zhang, E.; Shen, X.; Miao, W.; Ma, Z.; Tian, Y. Experimental study on the influence of grouting diffusion in fissure aquifer at the top Ordovician limestone. J. China Coal Soc. 2021, 46, 3536–3549. [Google Scholar]
- Zhang, J.; Liu, Y.; Zhu, J.; Liu, J.; Ma, Y.; Zhai, S.; Sun, Y. Investigation on the Flow and Thixotropic Properties of Alkali-Activated Concrete. Buildings 2024, 14, 4085. [Google Scholar] [CrossRef]
- Li, Q.; Fan, Y.; Shah, S.P. Rheological Properties and Structural Build-Up of Cement Based Materials with Addition of Nanoparticles: A Review. Buildings 2022, 12, 2219. [Google Scholar] [CrossRef]
- Yang, Z.; Zhou, C. Pore Structure of Water-Saturated Cement Mortars by Low-Field Nuclear Magnetic Resonance. J. Chin. Ceram. Soc. 2022, 50, 1391–1400. [Google Scholar]
- Li, B.; Ma, Q.; Zhang, F. Influence Mechanism Analysis of Ultrafine Ground Granulated Blast Furnace Slag and Silica Fume on Properties of Cement-Based Grouting Material. Bull. Chin. Ceram. Soc. 2022, 41, 4342–4352. [Google Scholar]
- Liang, H.; Qiao, J.; Lu, Y.; Wang, J.; Zhou, C. Relationships between Compressive Strength of Cement Mortars and Pore Structure Characteristics at Water-Saturation. J. Chin. Ceram. Soc. 2025, 53, 304–312. [Google Scholar] [CrossRef]
- Zhao, K.; Zhu, S.; Zhou, K.; Li, Q.; Gu, S.; Xie, Z. Mechanical Properties of Tantalum Niobium Tailings Cemented Concrete Under Different Proportions and Concentration. J. Basic Sci. Eng. 2020, 28, 833–842. [Google Scholar]
- Zhao, C.; Jiao, H.; Zhou, B.; Liu, F.; Zhang, F.; Luo, Y.; Yuan, J. Research on Mechanical Properties of Cement Emulsified Asphalt Mortar Under the Influence of Water-to-Cement Ratios and Water-Reducing Agent. Buildings 2025, 15, 22. [Google Scholar] [CrossRef]
- Wang, F.; Zhang, Y.; Song, X.; Liu, L.; Sun, X.; Sun, P. Influence of Self-Emulsifying Waterborne Epoxy Resin with Novel Hardeners on Pore Structure and Permeability of Cement-Based Materials. Buildings 2025, 15, 997. [Google Scholar] [CrossRef]
- Liu, B.; Zhu, L.; Liu, X.; Liu, Q.; Fan, Y.; Yao, W.; Deng, W. Energy evolution and damage deformation behavior of cemented broken coal specimen under triaxial compression condition. Energy 2024, 130, 133203. [Google Scholar] [CrossRef]
- Wu, Y.; Jiang, L.; Zhang, X.; Wang, Y. Study on impact resistance and impermeability of high-volume fly ash recycled aggregate concrete after exposure to high temperature. J. Build. Struct. 2022, 43, 124–133. [Google Scholar]
- Yang, S.; Dong, X.; Zhao, X.; Lu, J.-X.; Cui, H.; Poon, C.S. High value-added utilization of waste glass powder and steel slag for a novel zero-clinker cement: Coactivation mechanism and environmental impact. Constr. Build. Mater. 2025, 474, 141032. [Google Scholar] [CrossRef]
- Li, W.; Yin, J.; Wang, J.; Yang, H.; Kong, X. Principles and Applications of Low-Field Nuclear Magnetic Resonance in Cementitious Materials. J. Chin. Ceram. Soc. 2022, 50, 2992–3008. [Google Scholar]
- Feng, K. Effect of Thickening Agents on the Rheological Properties of Cement-Based Materials and Its Mechanism. Master’s Thesis, Central South University, Changsha, China, 2023. [Google Scholar]
- Cheng, C. Influences of Water Reducers with Different Anchoring Groups on Properties of Fresh Cement Pastes: Rheology and Temperature Sensitivity. Master’s Thesis, Beijing Jiaotong University, Beijing, China, 2020. [Google Scholar]
- Lawrence, M.A.; David, R.C. Characterization and Analysis of Porosity and Pore Structures. Rev. Mineral. Geochem. 2015, 80, 61–164. [Google Scholar]
- Yao, W.; She, A.; Yang, P. 1H-Nmr Relaxation and State Evolvement of Evaporable Water in Cement Pastes. J. Chin. Ceram. Soc. 2009, 37, 1602–1606. [Google Scholar]
- Costa, H.N.D.; Cabral, A.E.B.; Nogueira, R.E.F.Q. Alkali-activated pastes by Basic Oxygen Furnace slag and fly ash: Mechanical and microstructural analysis. Case Stud. Constr. Mater. 2025, 22, e04128. [Google Scholar] [CrossRef]
- Yang, P. Research on Permeation Grouting Reinforcement Effect of Water-Rich Sand Based on Bleeding Effect of Cement Grout. Master’s Thesis, Shandong University, Jinan, China, 2020. [Google Scholar]
- Liu, X.; Wang, S.; Liu, B.; Chen, J.; Liu, Q.; Luo, J. Effect of Microstructure on Changes to the Pore Structure and Mechanical Properties of Limestone under Acidic Groundwater Corrosion. Int. J. Geomech. 2023, 23, 04023212. [Google Scholar] [CrossRef]
- Xu, Z.; Mei, J.; Wang, Z.; Liao, Y.; Liao, G.; Li, H. Effect of Nano C-S-H on Hydration of Mineral powder-Cement System. Bull. Chin. Ceram. Soc. 2022, 41, 13–19. [Google Scholar] [CrossRef]















| Material Composition | OPC | SAC | Fly Ash | Mineral Powder |
|---|---|---|---|---|
| HGC | 54.25% | 15.75% | 10% | 20% |
| OPC | 100% | 0 | 0 | 0 |
| SAC | 0 | 100% | 0 | 0 |
| Performance Index | Densities (g/m3) | Specific Surface Area (m2·kg−1) | Stability | Solidification Time (min) | Compressive Strength (MPa) | Flexural Strength (MPa) | |||||
|---|---|---|---|---|---|---|---|---|---|---|---|
| Initial | Final | 1 d | 3 d | 28 d | 1 d | 3 d | 28 d | ||||
| OPC | 3.01 | 358 | Qualified | 172 | 234 | 27.2 | 38.6 | 51.3 | 5.5 | 7.62 | 8.85 |
| SAC | 2.85 | 542 | Qualified | 13 | 19 | 35.2 | 43.3 | 48.6 | 6.7 | 7.4 | 8.6 |
| Materials | SiO2 | F2O3 | Al2O3 | CaO | MgO | SO3 | TiO2 | Loss |
|---|---|---|---|---|---|---|---|---|
| HGC | 27.65% | 3.12% | 15.41% | 41.85% | 4.13% | 4.14% | 0.50% | 3.20% |
| OPC | 24.99% | 4.03% | 10.03% | 51.42% | 3.71% | 2.51% | 0 | 3.31% |
| SAC | 9.29% | 2.02% | 23.28% | 41.91% | 2.98% | 14.76% | 1.28% | 4.48% |
| Fly ash | 54.94% | 2.52% | 32.4% | 2.63% | 0.81% | 0.83% | 3.01% | 2.86% |
| Mineral powder | 35.68% | 1.81% | 15.32% | 35.44% | 7.83% | 1.86% | 0 | 2.06% |
| Performance Index | Specific Surface Area (m2·kg−1) | Water Demand Ratio % | Densities (g/m3) | Particle Size (μm) | ||
|---|---|---|---|---|---|---|
| D10 | D50 | D90 | ||||
| Fly ash | 420 | 93 | 2.42 | 3 | 16 | 50 |
| Mineral powder | 465 | 75 | 3.12 | 2 | 11 | 30 |
| Materials | Bingham Model | Power Law Model |
|---|---|---|
| HGC | ||
| OPC | ||
| SAC |
| Materials | Recovery Time (s) |
|---|---|
| HGC | 52 |
| OPC | 315 |
| SAC | 121 |
Disclaimer/Publisher’s Note: The statements, opinions and data contained in all publications are solely those of the individual author(s) and contributor(s) and not of MDPI and/or the editor(s). MDPI and/or the editor(s) disclaim responsibility for any injury to people or property resulting from any ideas, methods, instructions or products referred to in the content. |
© 2025 by the authors. Licensee MDPI, Basel, Switzerland. This article is an open access article distributed under the terms and conditions of the Creative Commons Attribution (CC BY) license (https://creativecommons.org/licenses/by/4.0/).
Share and Cite
Liu, X.; Qu, H.; Liu, B.; Zhou, Y.; Li, J.; Deng, W.; Tao, W. Research on Rheological Behavior and Strength Characteristics of Cement-Based Grouting Materials. Buildings 2025, 15, 1796. https://doi.org/10.3390/buildings15111796
Liu X, Qu H, Liu B, Zhou Y, Li J, Deng W, Tao W. Research on Rheological Behavior and Strength Characteristics of Cement-Based Grouting Materials. Buildings. 2025; 15(11):1796. https://doi.org/10.3390/buildings15111796
Chicago/Turabian StyleLiu, Xuewei, Hao Qu, Bin Liu, Yuan Zhou, Jinlan Li, Wei Deng, and Weilong Tao. 2025. "Research on Rheological Behavior and Strength Characteristics of Cement-Based Grouting Materials" Buildings 15, no. 11: 1796. https://doi.org/10.3390/buildings15111796
APA StyleLiu, X., Qu, H., Liu, B., Zhou, Y., Li, J., Deng, W., & Tao, W. (2025). Research on Rheological Behavior and Strength Characteristics of Cement-Based Grouting Materials. Buildings, 15(11), 1796. https://doi.org/10.3390/buildings15111796

