Sand Mining Tailings as Supplementary Cementitious Material
Abstract
1. Introduction
2. Materials and Methods
2.1. Materials
2.2. Characterization of Portland Cement and Suplementary Cementitious Materials
2.3. Suplementary Cementitious Materials’ Hydration Kinetics Analysis
2.4. Mixture Design and Concrete Characterization
3. Results and Discussion
3.1. Physical and Morphological Characterization
3.2. Chemical and Mineralogical Characterization
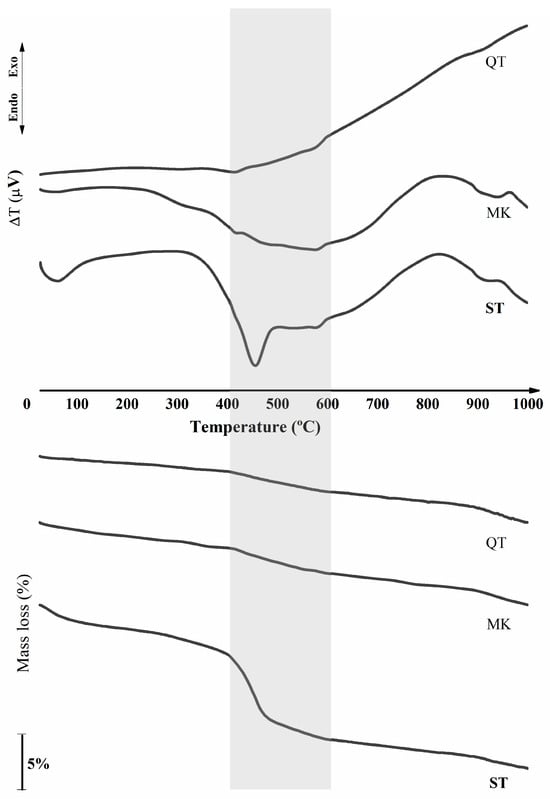
3.3. Thermogravimetric Analysis
3.4. Hydration Kinetics Analysis of Portland Cement Pastes with SCMs
3.5. Concrete Characterization
4. Conclusions
Author Contributions
Funding
Data Availability Statement
Acknowledgments
Conflicts of Interest
References
- ANEPAC. Editorial: O setor de agregados é vital para o desenvolvimento do país. Revista Areia e Brita, 11 January 2024; p. 44. [Google Scholar]
- Peduzzi, P. Sand, Rarer than One Thinks; United Nations Environment Program (UNEP), Global Environmental Alert Service (GEAS): Geneva, Switzerland, 2014. [Google Scholar]
- UNEP. Sand and Sustainability: 10 Strategic Recommendations to Avert A Crisis; GRID-Geneva, United Nations Environment Programme: Geneva, Switzerland, 2022. [Google Scholar]
- Filho, W.L.; Hunt, J.; Lingos, A.; Platje, J.; Vieira, L.W.; Will, M.; Gavriletea, M.D. The Unsustainable Use of Sand: Reporting on a Global Problem. Sustainability 2021, 13, 3356. [Google Scholar] [CrossRef]
- Rentier, E.; Cammeraat, L. The environmental impacts of river sand mining. Sci. Total. Environ. 2022, 838, 155877. [Google Scholar] [CrossRef] [PubMed]
- United Nations. World Population Prospects 2022. Population Division. 2022. Available online: https://population.un.org/wpp/ (accessed on 6 October 2022).
- Whitaker, W.; Braga, J.M.S.; Chaves, A.P. Prospeccion de un tramo de rio para el planeo de la mineracion de arenas. In Proceedings of the Jornadas Argentinas de Tratamento de Minerales, Saltas, Argentina; 2002. [Google Scholar]
- MME. Relatório Técnico 31: Perfil de Areia para Construção Civil; Ministério de Minas e Energia: Brasília, Brazil, 2009.
- UNEP. Sand, Rarer than One Thinks; UN Environment Programme: Athens, Greece, 2014. [Google Scholar]
- Ferreira, G.C. Avaliaçao dos mercados produtor e consumidor de areia industrial no Estado de Sao Paulo. Geociencias 1997, 16, 433–466. [Google Scholar]
- Bitar, O.Y.; Iyomasa, W.S.; Cabral, M., Jr. Geotecnologia: Tendências e desafios. São Paulo Perspect. 2000, 14, 78–90. [Google Scholar] [CrossRef][Green Version]
- Snellings, R. Assessing, Understanding and Unlocking Supplementary Cementitious Materials. RILEM Tech. Lett. 2016, 1, 50–55. [Google Scholar] [CrossRef]
- Cho, S.; Suh, H.; Kim, G.; Liu, J.; Li, P.; Bae, S. Microstructural phase evolution and strength development of low-lime calcium silicate cement (CSC) paste incorporating ordinary Portland cement under an accelerated carbonation curing environment. Constr. Build. Mater. 2024, 411, 134248. [Google Scholar] [CrossRef]
- Gallardo, A.F.S.; Provis, J.L. Electrochemical cell design and impedance spectroscopy of cement hydration. J. Mater. Sci. 2020, 56, 1203–1220. [Google Scholar] [CrossRef]
- Kajaste, R.; Hurme, M. Cement industry greenhouse gas emissions e management options and abatement cost. J. Clean. Prod. 2016, 112, 4041–4052. [Google Scholar] [CrossRef]
- Berndt, M.L. Properties of sustainable concrete containing fly ash, slag and recycled concrete aggregates. Constr. Build. Mater. 2009, 23, 2606–2613. [Google Scholar] [CrossRef]
- Juenger, M.C.G.; Siddique, R. Recent advances in understanding the role of supplementary cementitious materials in concrete. Cem. Concr. Res. 2015, 78, 71–80. [Google Scholar] [CrossRef]
- de Carvalho, J.M.F.; Campos, P.A.M.; Defáveri, K.; Brigolini, G.J.; Pedroti, L.G.; Peixoto, R.A.F. Low Environmental Impact Cement Produced Entirely from Industrial and Mining Waste. J. Mater. Civ. Eng. 2019, 31, 04018391. [Google Scholar] [CrossRef]
- Costa, L.C.B.; Nogueira, M.A.; Andrade, H.D.; de Carvalho, J.M.F.; Elói, F.P.d.F.; Brigolini, G.J.; Peixoto, R.A.F. Mechanical and durability performance of concretes produced with steel slag aggregate and mineral admixtures. Constr. Build. Mater. 2022, 318, 126152. [Google Scholar] [CrossRef]
- Samad, S.; Shah, A. Role of binary cement including Supplementary Cementitious Material (SCM), in production of environmentally sustainable concrete: A critical review. Int. J. Sustain. Built Environ. 2017, 6, 663–674. [Google Scholar] [CrossRef]
- Kallel, T.; Kallel, A.; Samet, B. Durability of mortars made with sand washing waste. Constr. Build. Mater. 2016, 122, 728–735. [Google Scholar] [CrossRef]
- Lothenbach, B.; Scrivener, K.; Hooton, R. Supplementary cementitious materials. Cem. Concr. Res. 2011, 41, 1244–1256. [Google Scholar] [CrossRef]
- Khaliq, W.; Khan, H.A. High temperature material properties of calcium aluminate cement concrete. Constr. Build. Mater. 2015, 94, 475–487. [Google Scholar] [CrossRef]
- de Carvalho, J.M.F.; Fontes, W.C.; de Azevedo, C.F.; Brigolini, G.J.; Schmidt, W.; Peixoto, R.A.F. Enhancing the eco-efficiency of concrete using engineered recycled mineral admixtures and recycled aggregates. J. Clean. Prod. 2020, 257, 120530. [Google Scholar] [CrossRef]
- Özkılıç, Y.O.; Althaqafi, E.; Bahrami, A.; Aksoylu, C.; Karalar, M.; Özdöner, N.; Shcherban, E.M.; Stel’makh, S.A.; Beskopylny, A.; Thomas, B.S. Influence of ceramic waste powder on shear performance of environmentally friendly reinforced concrete beams. Sci. Rep. 2024, 14, 10401. [Google Scholar] [CrossRef]
- Du, H.; Pang, S.D. High-performance concrete incorporating calcined kaolin clay and limestone as cement substitute. Constr. Build. Mater. 2020, 264, 120152. [Google Scholar] [CrossRef]
- ABNT. NBR 16697; Cimento Portland—Requisitos. Associação Brasileira de Normas Técnicas: Rio de Janeiro, Brazil, 2018.
- ASTM. C150/C150-M; Standars Specification for Portland Cement. ASTM International: West Conshohocken, PA, USA, 2018.
- ASTM. C33/C33M—08; Standard Specification for Concrete Aggregates. ASTM International: West Conshohocken, PA, USA, 2009.
- ASTM. C188-17; Standard Test Method for Density of Hydraulic Cement. ASTM International: West Conshohocken, PA, USA, 2023.
- ASTM. C29/C29M-17a; Standard Test Method for Bulk Density (“Unit Weight”) and Voids in Aggregate. ASTM International: West Conshohocken, PA, USA, 2023.
- Helene, P.; Terzian, P. Manual de Dosagem e Controle do Concreto; PINI: São Paulo, Brazil, 1992. [Google Scholar]
- Soares, A.F.F. Specialized Software for Mix Design of Cement-Based Composites; CEFET-MG: Belo Horizonte, Brazil, 2009. [Google Scholar]
- ABNT. NBR 16889; Concreto—Determinação da Consistência pelo Abatimento do Tronco de Cone. Asociação Brasileira de Normas Técnicas: Rio de Janeiro, Brazil, 2020.
- ASTM. C143/C143M-20; Standard Test Method for Slump of Hydraulic-Cement Concrete. ASTM International: West Conshohocken, PA, USA, 2020.
- de Azevedo, C.F.; de Carvalho, J.M.F.; Mendes, J.C.; Castro, A.S.S.; Barreto, R.R.; Peixoto, R.A.F. Compressive strength of reduced concrete specimens considering dimensional distortion of coarse aggregates. Constr. Build. Mater. 2020, 257, 119448. [Google Scholar] [CrossRef]
- ASTM. C192/C192M-19; Standard Practice for Making and Curing Concrete Test Specimens in the Laboratory. ASTM International: West Conshohocken, PA, USA, 2020.
- ASTM. ASTM C511-19; Standard Specification for Mixing Rooms, Moist Cabinets, Moist Rooms, and Water Storage Tanks Used in the Testing of Hydraulic Cements and Concretes. ASTM International: West Conshohocken, PA, USA, 2019.
- Ma, Q.; Guo, R.; Zhao, Z.; Lin, Z.; He, K. Mechanical properties of concrete at high temperature—A review. Constr. Build. Mater. 2015, 93, 371–383. [Google Scholar] [CrossRef]
- ASTM. C642; Standard Test Method for Density, Absorption, and Voids in Hardened Concrete. ASTM International: West Conshohocken, PA, USA, 2013.
- ASTM. C597-22; Standard Test Method for Ultrasonic Pulse Velocity Through Concrete. ASTM International: West Conshohocken, PA, USA, 2023.
- ASTM. C39; Standard Test Method for Compressive Strength of Cylindrical Concrete Specimens. ASTM International: West Conshohocken, PA, USA, 2018.
- ASTM. C496-96; Standard Test Method for Splitting Tensile Strength of Cylindrical Concrete Specimens. ASTM International: West Conshohocken, PA, USA, 2017.
- Damineli, B.L.; Pileggi, R.G.; John, V.M. Influência do empacotamento e dispersão de partículas no consumo de cimento de concretos. Rev. IBRACON Estrut. Mater. 2017, 10, 998–1024. [Google Scholar] [CrossRef]
- ASTM. C618-22; Standard Specification for Coal Fly Ash and Raw or Calcined Natural Pozzolan for Use in Concrete. ASTM International: West Conshohocken, PA, USA, 2022.
- Simonsen, A.M.T.; Solismaa, S.; Hansen, H.K.; Jensen, P.E. Evaluation of mine tailings’ potential as supplementary cementitious materials based on chemical, mineralogical and physical characteristics. Waste Manag. 2020, 102, 710–721. [Google Scholar] [CrossRef] [PubMed]
- Damineli, B.L.; Pileggi, R.G.; Lagerblad, B.; John, V.M. Effects of filler mineralogy on the compressive strength of cementitious mortars. Constr. Build. Mater. 2021, 299, 124363. [Google Scholar] [CrossRef]
- Westerholm, M.; Lagerblad, B.; Silfwerbrand, J.; Forssberg, E. Influence of fine aggregate characteristics on the rheological properties of mortars. Cem. Concr. Compos. 2008, 30, 274–282. [Google Scholar] [CrossRef]
- Federico, L.M.; Chidiac, S.E.; Raki, L. Reactivity of cement mixtures containing waste glass using thermal analysis. J. Therm. Anal. Calorim. 2011, 104, 849–858. [Google Scholar] [CrossRef]
- Kang, S.-H.; Kwon, Y.-H.; Moon, J. Influence of calcination temperature of impure kaolinitic clay on hydration and strength development of ultra-high-performance cementitious composite. Constr. Build. Mater. 2022, 326, 126920. [Google Scholar] [CrossRef]
- Figueiredo, A.S. Matrizes Cimentícias com Adição de Rejeito Silico Aluminoso em Situação de Incêndio. Master’s Thesis, Universidade Federal de Ouro Preto, Ouro Preto, Brazil, 2021. [Google Scholar]
- Scrivener, K.; Snellings, R.; Lothenbach, B. A Practical Guide to Microstructural Analysis of Cementitious Materials; Taylor & Francis Group: Boca Raton, FL, USA, 2016. [Google Scholar]
- Silva, K.D.C.; Natalli, J.F.; Mendes, J.C.; Silva, G.J.B.; Peixoto, R.A.F. Rock Wool Waste as Supplementary Cementitious Material for Portland Cement-Based Composites. ACI Mater. J. 2018, 115, 653–661. [Google Scholar] [CrossRef]
- Ramachandran, V.; Paroli, R.M.; Beaudoin, J.J.; Delgado, A.H. Handbook of Thermal Analysis of Construction Materials; Noyes Publications: New York, NY, USA, 2002. [Google Scholar]
- Zheng, D.; Liang, X.; Cui, H.; Tang, W.; Liu, W.; Zhou, D. Study of performances and microstructures of mortar with calcined low-grade clay. Constr. Build. Mater. 2022, 327, 126963. [Google Scholar] [CrossRef]
- Zhou, D.; Wang, R.; Tyrer, M.; Wong, H.; Cheeseman, C. Sustainable infrastructure development through use of calcined excavated waste clay as a supplementary cementitious material. J. Clean. Prod. 2017, 168, 1180–1192. [Google Scholar] [CrossRef]
- Bernal, S.A.; Juenger, M.C.G.; Ke, X.; Matthes, W.; Lothenbach, B.; De Belie, N.; Provis, J.L. Characterization of supplementary cementitious materials by thermal analysis. Mater. Struct. 2017, 50, 26. [Google Scholar] [CrossRef]
- Hager, I. Behaviour of cement concrete at high temperature. Bull. Pol. Acad. Sci. Tech. Sci. 2013, 61, 145–154. [Google Scholar] [CrossRef]
- Zunino, F.; Scrivener, K. Reactivity of kaolinitic clays calcined in the 650 °C–1050 °C temperature range: Towards a robust assessment of overcalcination. Cem. Concr. Compos. 2024, 146, 105380. [Google Scholar] [CrossRef]
- Silva, M.; Leão, V.; Reis, E. Incorporation of quartzite fines in the production of red ceramics. J. Clean. Prod. 2021, 288, 125098. [Google Scholar] [CrossRef]
- Földvári, M. Handbook of Thermogravimetric System of Minerals and Its Use in Geological Practice; Geological Institute of Hungary: Budapest, Hungary, 2011. [Google Scholar]
- Lønvik, K.; Smykatz-Kloss, W. Comparative studies of structural transformations of carbonate and silica minerals by means of thermosonimetry and differential thermal analysis. Thermochim. Acta 1984, 72, 159–163. [Google Scholar] [CrossRef]
- ASTM. C1679-17; Measuring Hydration Kinetics of Hydraulic Cementitious Mixtures Using Isothermal Calorimetry. ASTM International: West Conshohocken, PA, USA, 2017.
- Young, J.F.; Mindess, S.; Bentur, A.; Gray, R.J. The Science and Technology of Civil Engineering Materials; Prentice Hall: Upper Saddle River, NJ, USA, 1998. [Google Scholar]
- Joseph, S.; Bishnoi, S.; Van Balen, K.; Cizer, Ö. Modeling the effect of fineness and filler in early-age hydration of tricalcium silicate. J. Am. Ceram. Soc. 2016, 100, 1178–1194. [Google Scholar] [CrossRef]
- Mehta, P.K.; Monteiro, P.J.M. Concrete: Microstructure, Properties, and Materials; McGraw-Hill: New York, NY, USA, 2006. [Google Scholar]
- Suraneni, P.; Weiss, J. Examining the pozzolanicity of supplementary cementitious materials using isothermal calorimetry and thermogravimetric analysis. Cem. Concr. Compos. 2017, 83, 273–278. [Google Scholar] [CrossRef]
- Aprianti, E.; Shafigh, P.; Bahri, S.; Farahani, J.N. Supplementary cementitious materials origin from agricultural wastes—A review. Constr. Build. Mater. 2015, 74, 176–187. [Google Scholar] [CrossRef]
- Govindarajan, D.; Gopalakrishnan, R.; Rao, P.S. Electron paramagnetic resonance study on metakaolin-admixtured cement paste at different hydrated periods. Radiat. Eff. Defects Solids 2008, 163, 795–804. [Google Scholar] [CrossRef]
- Cyr, M.; Trinh, M.; Husson, B.; Casaux-Ginestet, G. Effect of cement type on metakaolin efficienc. Cem. Concr. Res. J. 2014, 64, 63–72. [Google Scholar] [CrossRef]
- Saint-Pierre, F.; Philibert, A.; Giroux, B.; Rivard, P. Concrete Quality Designation based on Ultrasonic Pulse Velocity. Constr. Build. Mater. 2016, 125, 1022–1027. [Google Scholar] [CrossRef]
- Mendes, J.C.; Barreto, R.R.; Costa, L.C.B.; Brigolini, G.J.; Peixoto, R.A.F. Correlation Between Ultrasonic Pulse Velocity and Thermal Conductivity of Cement-Based Composites. J. Nondestruct. Eval. 2020, 39, 36. [Google Scholar] [CrossRef]
- de Carvalho, J.M.F.; de Melo, T.V.; Fontes, W.C.; Batista, J.O.d.S.; Brigolini, G.J.; Peixoto, R.A.F. More eco-efficient concrete: An approach on optimization in the production and use of waste-based supplementary cementing materials. Constr. Build. Mater. 2019, 206, 397–409. [Google Scholar] [CrossRef]
- Lu, J.-X.; Duan, Z.-H.; Poon, C.S. Fresh properties of cement pastes or mortars incorporating waste glass powder and cullet. Constr. Build. Mater. 2017, 131, 793–799. [Google Scholar] [CrossRef]
- Damineli, B.L.; Kemeid, F.M.; Aguiar, P.S.; John, V.M. Measuring the eco-efficiency of cement use. Cem. Concr. Compos. 2010, 32, 555–562. [Google Scholar] [CrossRef]
- Mermerdaş, K.; Gesoğlu, M.; Güneyisi, E.; Özturan, T. Strength development of concretes incorporated with metakaolin and different types of calcined kaolins. Constr. Build. Mater. 2012, 37, 766–774. [Google Scholar] [CrossRef]
- Betancur-Granados, N.; Molina, J.E.; Pöllmann, H.; Tobón, J.I.; Restrepo-Baena, O.J. Influence of metallic precursors in the mineralogy and reactivity of belite cement clinkers obtained by flame spray pyrolysis. Mater. Today Commun. 2021, 26, 101917. [Google Scholar] [CrossRef]










| Mixture | Cement | ST | MK | QT | Sand | Gravel | Water | PCE (% *) | Slump (mm) |
|---|---|---|---|---|---|---|---|---|---|
| REF | 1.00 | - | - | - | 2.4 | 2.7 | 0.55 | 0.4 | 90 ± 10 |
| ST02 | 0.98 | 0.02 | - | - | 2.4 | 2.7 | 0.55 | 0.6 | 90 ± 10 |
| ST04 | 0.96 | 0.04 | - | - | 2.4 | 2.7 | 0.55 | 0.6 | 90 ± 10 |
| ST07 | 0.93 | 0.07 | - | - | 2.4 | 2.7 | 0.55 | 0.8 | 90 ± 10 |
| ST14 | 0.86 | 0.14 | - | - | 2.4 | 2.7 | 0.55 | 1.8 | 90 ± 10 |
| MK02 | 0.98 | - | 0.02 | - | 2.4 | 2.7 | 0.55 | 0.3 | 90 ± 10 |
| MK04 | 0.96 | - | 0.04 | - | 2.4 | 2.7 | 0.55 | 0.4 | 90 ± 10 |
| MK07 | 0.93 | - | 0.07 | - | 2.4 | 2.7 | 0.55 | 0.5 | 90 ± 10 |
| MK14 | 0.86 | - | 0.14 | - | 2.4 | 2.7 | 0.55 | 0.4 | 90 ± 10 |
| QT02 | 0.98 | - | - | 0.02 | 2.4 | 2.7 | 0.55 | 0.4 | 90 ± 10 |
| QT04 | 0.96 | - | - | 0.04 | 2.4 | 2.7 | 0.55 | 0.4 | 90 ± 10 |
| QT07 | 0.93 | - | - | 0.07 | 2.4 | 2.7 | 0.55 | 0.4 | 90 ± 10 |
| QT14 | 0.86 | - | - | 0.14 | 2.4 | 2.7 | 0.55 | 0.4 | 90 ± 10 |
| Sample | ST | QT | MK | CP-V |
|---|---|---|---|---|
| Bulk density (g/cm3) [31] | 0.78 | 0.95 | 0.64 | 0.80 |
| Specific gravity (g/cm3) [30] | 2.67 | 2.66 | 2.60 | 3.12 |
| Sample | CaO | SO3 | SiO2 (%) | Al2O3 (%) | Fe2O3 (%) | TiO2 (%) | K2O (%) | Others * (%) | LOI ** (%) |
|---|---|---|---|---|---|---|---|---|---|
| ST | - | - | 51.1 | 32.3 | 2.4 | 1.1 | - | 1.3 | 11.8 |
| MK | - | - | 54.9 | 37.1 | 1.9 | 1.1 | 1.4 | 0.9 | 2.7 |
| QT | - | - | 88.0 | 9.0 | - | - | 1.2 | 1.2 | 0.6 |
| CP-V | 64.3 | 3.7 | 15.3 | 4.8 | 3.1 | - | - | 2.1 | 6.7 |
Disclaimer/Publisher’s Note: The statements, opinions and data contained in all publications are solely those of the individual author(s) and contributor(s) and not of MDPI and/or the editor(s). MDPI and/or the editor(s) disclaim responsibility for any injury to people or property resulting from any ideas, methods, instructions or products referred to in the content. |
© 2024 by the authors. Licensee MDPI, Basel, Switzerland. This article is an open access article distributed under the terms and conditions of the Creative Commons Attribution (CC BY) license (https://creativecommons.org/licenses/by/4.0/).
Share and Cite
Figueiredo, A.S.; Bezerra, A.C.d.S.; Costa, L.C.B.; Resende, D.M.; Kuster, L.D.; Peixoto, R.A.F. Sand Mining Tailings as Supplementary Cementitious Material. Buildings 2024, 14, 2408. https://doi.org/10.3390/buildings14082408
Figueiredo AS, Bezerra ACdS, Costa LCB, Resende DM, Kuster LD, Peixoto RAF. Sand Mining Tailings as Supplementary Cementitious Material. Buildings. 2024; 14(8):2408. https://doi.org/10.3390/buildings14082408
Chicago/Turabian StyleFigueiredo, Aline Santana, Augusto Cesar da Silva Bezerra, Laís Cristina Barbosa Costa, Douglas Mol Resende, Luana Drago Kuster, and Ricardo André Fiorotti Peixoto. 2024. "Sand Mining Tailings as Supplementary Cementitious Material" Buildings 14, no. 8: 2408. https://doi.org/10.3390/buildings14082408
APA StyleFigueiredo, A. S., Bezerra, A. C. d. S., Costa, L. C. B., Resende, D. M., Kuster, L. D., & Peixoto, R. A. F. (2024). Sand Mining Tailings as Supplementary Cementitious Material. Buildings, 14(8), 2408. https://doi.org/10.3390/buildings14082408

