Next Article in Journal
Sand Mining Tailings as Supplementary Cementitious Material
Previous Article in Journal
Integrating Underground Space into the Groundscape Resilience Concept
Previous Article in Special Issue
Reduction in the Constrained Shrinkage and Crack Risk of Different-Strength-Level Concretes with Saturated Ceramsite
 
 
Font Type:
Arial Georgia Verdana
Font Size:
Aa Aa Aa
Line Spacing:
Column Width:
Background:
Article

Experimental Study on Performance and Mechanism of High-Strength Artificial Blocks Based on Dredged Silt

1
Fujian Communications Planning and Design Institute Co., Ltd., No. 43 Jiaotong Road, Taijiang District, Fuzhou 350004, China
2
College of Port, Coastal and Offshore Engineering, Hohai University, No. 1 Xikang Road, Nanjing 210098, China
*
Author to whom correspondence should be addressed.
Buildings 2024, 14(8), 2407; https://doi.org/10.3390/buildings14082407
Submission received: 16 June 2024 / Revised: 21 July 2024 / Accepted: 29 July 2024 / Published: 4 August 2024
(This article belongs to the Special Issue New Concrete Materials: Performance Analysis and Research)

Abstract

This paper investigates the preparation and properties of high-strength artificial blocks made from dredged silt with a clay content of 52.0%. A comparative analysis of the mechanical properties of dredged silt blocks produced using semi-dry pressing and vibration molding methods was conducted. The study examined the effects of using fly ash (FA) and ground granulated blast-furnace slag (GGBS) as substitutes for cement on the compressive strength, splitting tensile strength, and dry shrinkage of the blocks. Additionally, the microstructure of the dredged silt blocks was analyzed using scanning electron microscopy (SEM), mercury intrusion porosimetry (MIP), and thermogravimetric analysis. The results show that specimens prepared using the pressing method exhibit better mechanical performance with compressive and splitting tensile strength reaching 64.8 MPa and 5.6 MPa at 28 d, respectively, which increased by 111.07% and 143.48% compared to specimens prepared through vibration molding. The addition of FA and GGBS reduces the early strength of the block to a certain extent but without a significant adverse effect on later strength. GGBS demonstrates faster hydration and a better filling effect. The addition of GGBS or FA refines the pore structure and reduces the diameter of pores in the paste, which is beneficial for improving the dry shrinkage performance of the block. At 120 d, the dry shrinkage of blocks containing 50% FA and GGBS shows a reduction of 29.7% and 27.1%, respectively, compared to blocks made with cement. The properties of the silt blocks can be notably enhanced through mechanical force, particle gradation, and hydration action. The preparation of artificial blocks such as road bricks and ballast blocks using dredged soil as the main raw material has been applied in projects such as the Yangtze River waterway regulation in China and Skikda Port in Algeria.

1. Introduction

In recent years, the resource utilization of waste materials has emerged as a critical issue [1,2]. By crushing and processing waste concrete, mortar, bricks, tiles, and similar materials into recycled aggregates, these can be used to completely or partially replace natural aggregates in concrete production. This recycled aggregate concrete can then be used to create artificial blocks, such as protective bricks, and can potentially be employed in load-bearing structures like beams, deep beams, and corbels [3,4]. Alternatively, lightweight aggregates made from solid waste such as fly ash can be used to prepare lightweight blocks or walls. The incorporation of solid waste into building materials not only consumes a large amount of industrial waste but also reduces the environmental impact, conserves land, lowers project costs, alleviates the shortage and depletion of natural sand and gravel resources, and contributes positively to ecological protection.
In addition, the rapid development of water transportation has led to extensive construction and maintenance of ports and waterways, resulting in significant volumes of dredged soil. China has become a major dredging country worldwide, with an annual production of over 1 billion cubic meters of dredging soil. Traditionally, much of this dredged soil has been discarded in deep channel waters, leading to inefficient utilization. While some dredged soil is used for land reclamation, the methods employed are often simplistic and extensive, causing a waste of soil resources and secondary pollution to the environment [5]. Therefore, the rational, effective, and environmentally friendly utilization of dredged soil resources to play a positive role has become a new problem that urgently needs to be solved in the water transportation industry. The resource utilization of dredged soil has attracted widespread attention [6].
The use of dredged soil in construction is primarily divided into two main approaches. The first involves the use of enhanced dredged soil in the restoration and reclamation of abandoned mines and industrial sites through landfill techniques. The second approach utilizes dredged soil as an aggregate in the manufacture of concrete blocks that possess sufficient strength for use in road construction and municipal engineering projects. Through field planting experiments, Dong et al. [7] confirmed the practical effectiveness of utilizing dredged sediments for waste disposal through mine reclamation. Their results revealed that dredged sediments provided ample organic matter and nitrogen, resulting in enhanced plant growth and increased density of photosynthetic carbon fixation. Furthermore, Chu et al. [8] explored the combined use of dredged river sediment, iron ore tailings, and calcium carbide slag as fill materials to tackle ground subsidence issues. They found that an optimal mix consisting of a 7:3 mass ratio of dredged river to iron ore tailings along with a cement content of 16.7% yielded the highest flowability. Li et al. [9] conducted an extensive study on the processing of dredged sediments, which included dehydration, detoxification, and calcination to create ceramic particles. These particles were then used for backfilling and capping in dredged areas, leading to significant enhancements in bed stability and a reduction in sediment erosion by more than 70%. Additionally, the study demonstrated the effective inhibition of phosphorus release from contaminated sediments, with an inhibition efficiency of up to 80%. In another study, Yu et al. [10] proposed a method for recycling dredged sludge by incorporating ground steel slag into the slurry. The sludge was then subjected to continuous processing through foam drying and carbonization stabilization; the maximum unconfined compressive strength of the modified soil reached 2.01 MPa, which was 8.5 times higher than the strength before carbonization stabilization. Hussain et al. [11] explored the potential of utilizing harbor and river sediments in the experimental production of soil-cured bricks. The study utilized sediment from Dunkirk harbor in France and replicated the brick-making process on sediments from the Usamazinta River, and they compared the mechanical properties of bricks made from the two types of sediments, including tensile strength, toughness, and fiber distribution. The results indicate that the addition of natural fibers can transform earth blocks into ductile materials, enhancing the toughness of the bricks. Moreover, the tensile strength meets the minimum recommended tensile strength of 0.25 MPa. Meanwhile, Yang et al. [12] harnessed dredged sediments as lightweight aggregates in the production of non-sintered permeable bricks. Their experiments revealed optimal performance conditions, specifically with a water-to-cement ratio of 0.34, forming pressure of 3 MPa, and porosity level of 15%. Based on the above, it is evident that the resource utilization of dredged soil primarily revolves around methods such as stabilization, solidification, and sintering to improve its properties.
Numerous studies have been conducted on the mechanical properties and solidification potential of dredged soil when used as fine aggregate in concrete, with various researchers utilizing cementitious materials to enhance its capabilities. Ponnada et al. [13] experimented with a mixture of dredged sand and quarry dust as a partial replacement for river sand in concrete, finding that a 50% replacement dosage yielded a compressive strength of 38.7 MPa. Concurrently, Bhairappanavar et al. [14] crafted bricks from dredged materials, assessing their compressive strength, water absorption, and freeze–thaw durability. Results showed compressive strengths ranging from 10.3 to 17.2 MPa, water absorption between 13% and 18%, and minimal weight loss of 0.1% to 0.4% after 50 freeze–thaw cycles. Xu et al. [15] designed concrete mixtures with different dredged sand contents and subjected them to various numbers of freeze–thaw cycles to study the frost resistance and fracture behavior of dredged sand concrete. The study revealed that an augmented dredged sand content led to an improved pore structure, thereby enhancing the fracture behavior and frost resistance of the concrete. The study revealed that an augmented dredged sand content led to an improved pore structure, thereby enhancing the fracture behavior and frost resistance of the concrete. Vinothkumar et al. [16] found that dredged marine sand performs well as a substitute for fine aggregate in concrete, improving its physical, mechanical, and mineralogical properties. The presence of calcite and calcium enhances the strength of the concrete, while silica acts as a filler material. In another approach, Huang et al. [17] prepared high-performance concrete by substituting 25% of ordinary sand with dredged sand, which improved the concrete’s density, reduced its porosity, and enhanced the pore distribution uniformity and interface structure. Meanwhile, Lee et al. [18] studied the influence of different mix proportions on the shrinkage behavior of lightweight dredged soil concrete at early and long-term ages. The shrinkage strain at 28 d was found to be 39% to 55% of the shrinkage strain at 210 d, indicating that the internal curing effect of lightweight aggregates delayed the onset of the acceleration period.
Despite the existing research, there remains a noticeable gap in the study of high-strength blocks using high-clay-content dredged soil as the primary material. The assurance of quality and reliability necessitates extensive experimentation coupled with effective control measures. While chemical, physical, and mechanical properties of dredged sediment blocks have been studied, the mechanisms behind the mechanical properties and microstructural characteristics, such as phase composition and pore structure, have not been thoroughly revealed. Research on different molding methods (such as compaction molding and vibration molding) and evaluations related to drying shrinkage are still relatively limited. Further research is needed to deepen our understanding of concrete preparation using dredged soil, and it will provide important scientific foundations for addressing related issues.
Dredged silt is a major type of dredged soil, characterized by small pores, poor structure, and weak permeability. Currently, there is no specialized research on the preparation of blocks using silt as a substitute for traditional sand and gravel materials. This study aims to address this gap by utilizing industrial waste materials, such as silicon aluminum compounds (e.g., fly ash) and mineral powder, to partially replace cement. Dredged silt is used as the primary raw material instead of ordinary sand and gravel to prepare artificial blocks. The mechanical properties of the silt blocks under ordinary vibration molding and semi-dry pressing molding are compared and analyzed. The study evaluates the compressive strength, splitting tensile strength, and dry shrinkage performance of the dredged silt blocks with varying cement replacement levels of fly ash and mineral powder (0%, 20%, 30%, 40%, and 50%). Additionally, micro-mechanism research such as SEM, MIP and TG-DSC is carried out, which can provide an effective way for the high-value-added utilization of dredging silt blocks and lay a foundation for the subsequent promotion and application of dredging silt blocks.

2. Experimental Programs

2.1. Materials

2.1.1. Dredged Silt

According to JTS 181-5-2012 [19], silt mainly refers to soil with a particle size greater than 0.075 mm, with a particle content of less than 50% by total mass and a plasticity index less than 10. The dredged silt (Figure 1) is characterized by small pores, low permeability, and the presence of capillary water. The dredged silt used in this article is from the northern part of the Beibu Gulf in China, with a particle content greater than 0.075 mm of 48.0%, which corresponds to a clay content of 52.0% (Figure 1). Its plasticity index is 9.5. It can be observed that the dredged silt in Beibu Gulf contains a wide variety of mineral components (Figure 2), including, in order of their content from high to low: Kato stone (43.41%), calcite (27.92%), hematite (12.85%), goethite (8.04%), hard water alumina (3.88%), calcite (1.82%), gibbste (1.12%), and quartz (0.95%). The chemical composition analysis of the dredged silt was carried out according to the “Methods of Chemical Analysis of Clay” GB/T 16399-2021 [20], and the specimens were all passed through a square-hole sieve with a pore size of 0.088 mm and dried for 2 h (to a constant amount) in a 105 °C ± 5°C drying oven for chemical composition testing. The test results indicate that the dredged silt in Beibu Gulf mainly contains chemical components such as SiO2, Al2O3, Fe2O3, CaO, MgO, K2O, Na2O, and others (see Table 1). The mass fraction of oxide components exceeds 99%, indicating a relatively low presence of other substances and organic matter in the silt sample. The silt sample contains alkaline substances K2O and Na2O, suggesting that the soil sample is slightly alkaline in nature.

2.1.2. Ordinary Portland Cement (OPC)

Conch brand OPC42.5 Grade was utilized for this study. Table 1 provides the chemical compositions and physical properties of the OPC, which are in accordance with JTG 3420-2020 [21].

2.1.3. Supplementary Cementitious Materials (SCMs)

In this study, FA and GGBS were, respectively, used as supplementary cementitious materials in a certain proportion to replace ordinary cement. FA used in the study conformed to the grade II level specified with a specific surface area of 375 m2/kg. The GGBS, sourced from Nanjing Meibao Company, was S95 grade with a specific surface area of 425 m2/kg. Notably, all GGBS particles are smaller than 0.05 mm, which is significantly finer than the particle size of dredged silt. Table 1 presents the characteristics of both GGBS and FA. All particle sizes of GGBS are less than 0.05 mm, which is much smaller than the particle size of dredging silt. Table 1 presents the characteristics of GGBS and FA.

2.2. Mix Design and Preparation of the Specimens

The dredged silt specimens were formed using two different methods: semi-dry pressing and vibration molding. In the pressing process, pressure was applied by employing a universal testing machine, gradually increasing it at a rate of 600 N/s until reaching 10 MPa. The pressure was then maintained for a duration of 2 min, followed by an increase to 15 MPa at a rate of 400 N/s, and another 2-min maintenance of pressure. Laboratory pressing molds and methods are shown in Figure 3. In the case of vibration molding, the identical mixture proportions were applied, supplemented by the inclusion of a 1% superplasticizer, proportionate to the mass of the cementitious material. To meet the design requirement of achieving a compressive strength exceeding 30 MPa after 28 d, with a fixed mass of dredged silt and OPC, the ratio of cementitious material to dredged silt was established at 1:2.5. Various replacement percentages of FA or GGBS were employed instead of OPC, namely 0%, 20%, 30%, 40%, and 50%. The compressive and splitting tensile strength of the specimens were assessed at 3, 28, 90 and 180 d. Each set of strength results represents the average value obtained from three samples.

2.3. Testing Methods

2.3.1. Compressive Strength

According to SL/T 352-2020 [22], the specimen was a 100 mm cube. Three cubes were prepared for each mix proportion, and the average compressive strength was obtained after curing at 3, 28 and 90 d, respectively. The compressive strength was then tested on a SHT4305 universal testing machine, and the load increased at a rate of 0.3–0.5 MPa/s until the samples failed.

2.3.2. Splitting Tensile Strength

The splitting tensile strength of the 100 mm cube was tested on a SHT4305 microcomputer-controlled (Mechanical Testing & Simulation; shanghai; China) electro-hydraulic servo universal testing machine in accordance with SL/T 352-2020 at 3, 28 and 90 d. A square steel pad with a length of 100 mm and 5 mm × 5 mm sections was used between the upper and lower platens and the test specimens. Each test result is the average value of the three samples.

2.3.3. Dry Shrinkage

The shrinkage test of dredged silt blocks was carried out according to the SL/T 352-2020. Each test result is the average value of three 40 mm × 40 mm × 160 mm prismatic specimens at 1, 3, 7, 14, 21, 28, 42, 56, 90 and 120 d, respectively, in order to comprehensively detect the drying shrinkage of dredged silt blocks in the early, middle, and later stages of hydration. The initial lengths of the specimens were measured after curing in the laboratory for 24 h. After demolding, the samples were transported to a chamber at 20–25 °C and a relative humidity of 50–55% until the testing age.

2.3.4. Mercury Intrusion Porosimetry (MIP)

The performance of the block is closely related to its pore structure, including factors such as porosity, pore size distribution, and connectivity. Mercury intrusion porosimetry (MIP) is a widely used technique for characterizing the pore size distribution of cement-based materials. By introducing mercury into the material and measuring the pressure changes within the pores, the size, shape, and distribution of the pores can be inferred. Pore structure analysis was carried out using a Poremaster GT-60 MIP (Quantachrome Instruments; Shanghai; China). The sample size was spherical particles with a diameter of 5 mm and a mercury pressure range of 0–200 MPa. The samples underwent a controlled drying process at temperatures not exceeding 60 °C to remove moisture or other liquids from the pores, ensuring the accuracy of the test results.

2.3.5. Scanning Electron Microscopy (SEM) Analysis

SEM analysis was performed using the cross-section and polished section, respectively, using JMS-5600LV (Nanjing Suozheng Automation Instrument Co., Ltd; Nanjing; China). Polished surfaces are typically more suitable for observing interfaces such as aggregate–paste interfaces, while direct cross-sections are better for observing product morphology. The cross-section samples were prepared by soaking the test blocks, which were cured to a certain age in alcohol for 3 days, then placing them in a vacuum drying oven to dry. After drying, the test blocks were knocked open and a suitable sized fragment was taken from the center as the cross-sectional sample. The polished section samples were prepared by cutting the test block that had already reached the curing age into parallel and flat sections on the upper and lower surfaces. Then, the samples surfaces were polished with sandpaper, gently brushed with a fine brush under tap water, and finally dried.

2.3.6. Thermogravimetric Analysis- Differential Scanning Calorimetry (TG-DSC)

Thermal analysis of the sample was carried out using an STA PT1600TG-DSC/DTA synchronous thermal analyzer produced in Germany (Linseis; Ingolstadt, Germany), with a temperature range of −150~1750 °C, a sample range of 0~25 mg, and a heating rate of 0.1~100 °C/min.

3. Results and Discussion

3.1. Influence of Different Molding Methods on Mechanical Properties of Dredged Silt Blocks

Blocks were produced using semi-dry pressing and vibration molding techniques, with a binder composition of 70% cement and 30% ground granulated blast-furnace slag (GGBS). The experimental results for the relevant mechanical properties are depicted in Figure 4. Compared to the specimens prepared using vibration molding, the specimens prepared using the pressing method exhibits significant improvements in compressive strength and splitting tensile strength. The compressive strength and splitting tensile strength at 28 d reached 64.8 MPa and 5.6 MPa, respectively. These values denote a substantial improvement, registering remarkable increases of 110.5% and 142.8% compared to specimens prepared using vibration molding with identical mix proportions.
The preparation of ordinary concrete typically involves vibration molding, a process in which the material is liquefied under high-frequency vibration, allowing it to densely fill the mold under its own weight and external forces. This method effectively expels air between particles, resulting in a material with uniform density and reliable strength. Compression molding is the process of using mechanical force to squeeze out the air wrapped in the mixture, reducing the number and volume of pores, expelling excess water, and eliminating some micro cracks caused by chemical shrinkage of the slurry, thereby improving the compactness and strength of the block. Similarly, semi-dry compression molding utilizes mechanical force to extrude the air enclosed in the mixture, reduce the number and volume of pores, and expel excess moisture, thereby enhancing the density and strength of the block. Due to the high compressibility and difficulty in compacting the dredged mud, compression molding can significantly improve the strength of the block, especially its early strength. Additionally, it allows for immediate demolding, which accelerates the turnover rate of the grinding tool. During the process of pressing molding, applying a significant amount of pressure can result in tighter contact and denser arrangement of the dredged silt particles, increasing both the frictional and cohesive forces between them. Moreover, OPC and GGBS, serving as binders, facilitate the bonding of these particles, further enhancing the block’s integrity. For the dredged silt used in this study, the presence of sand particles within the silt provides a skeletal support during block preparation. Compared to the dredging soil mainly composed of clay particles, it is easier to play a role in particle grading such as particle matching and embedding, thereby improving the strength and durability of the blocks. Consequently, the strength of dredged silt blocks can be significantly improved through the combined effects of mechanical force, particle size distribution, and hydration.
The block pressing production process mainly includes weighing, dry mixing, wet mixing, compression molding, demolding, curing and other processes. The prepared block can be demolded immediately, simplifying the process and accelerating mold turnover. The specific pressing production process of dredging soil blocks is shown in Figure 5.

3.2. Influence of Different Proportions of Fly Ash and Ground Granulated Blast Furnace Slag, Respectively, on Mechanical Properties

The compressive strength and splitting tensile strength of the dredged silt blocks were systematically examined using the pressing method, as depicted in Figure 6 and Figure 7, incorporating partial replacements of OPC with FA and GGBS. Both FA and GBSS addition can lead to a decrease in the early strength of the block. GBSS reduces the strength of the block at 3 d, and after 28 d, the strength can approach that of OPC. Compared with pure cement test blocks, the addition of 50% GBSS reduces the compressive strength by 37.97% and 8.57% at 3 and 28 d, respectively. The graphical representation of the observed trends indicates a consistent increase in compressive strength across various mixtures as the curing period extends, without indication of a strength reverse shrinkage phenomenon during this progressive period of curing.
The compressive strengths of the blocks without SCMs at 3, 28, and 90 d were 51.5 MPa, 62.2 MPa, and 63.7 MPa, respectively. These data indicate that the majority of strength development for blocks with OPC occurs before the 28-day mark, with only modest gains in strength thereafter. In contrast, FA exhibits lower early reactivity, which leads to a significant reduction in the initial compressive strength. As the FA content increases, there is a noticeable decline in strength, particularly at early stages. For instance, blocks with 50% FA content displayed the lowest early compressive strength at 3 d, recording only 19.1 MPa. This reduction is attributed to FA’s slower hydration reaction, which produces fewer hydration products in the initial stages, resulting in weaker bonding. This is because FA produces fewer hydration products in the early stages, resulting in less compact bonding. While the strength development curve of OPC tends to plateau, the inclusion of FA still yields a significant strength increase after the 28-day mark. FA necessitates an extended curing period to fully manifest its reactivity, accounting for the observed lower early strength. However, as hydration reactions proceed, FA generates more hydration products, filling the slurry structure and improving block strength. The early weakness of FA limits its application in OPC, but its strength continues to increase with a significant growth rate, making it suitable for situations with high demands for later-stage strength. Similarly to FA, GGBS reduces early strength (at 3 d), albeit to a lesser extent compared to an equivalent FA content. At 28 d, the strength of the silt blocks containing GGBS is slightly lower than that of the silt blocks comprising only OPC. There is rapid strength development from 3 d to 28 d, indicating the quick hydration reaction of the GGBS. GGBS exhibits high reactivity, and its hydration degree is high at 28 d, with strength close to OPC when used at 50% content. While GGBS decreases strength at 3 d, it gradually approaches the strength of OPC after 28 d, whereas FA reduces strength at all ages. Compared to FA, GGBS contains not only SiO2 and Al2O3 but also a higher amount of CaO, belonging to the calcium–silicon–aluminum system.
By incorporating FA and GGBS as fine admixtures in the system, a portion of OPC is replaced, leading to the addition of mineral SCMs that fill the small voids between OPC and its hydration products. This results in enhanced compactness of the paste. Furthermore, the introduction of mineral admixtures alters the particle size distribution of the cementitious material system, effectively eliminating existing large-pore voids and promoting a more uniform distribution of pores [23]. This not only increases the quantity of formed gel but also ensures a more even distribution of hydration products throughout the entire interface transition zone.

3.3. Influence of Different Proportions of Fly Ash and Ground Granulated Blast-Furnace Slag, Respectively, on Dry Shrinkage Performance

The small particle size of dredged silt inherently exacerbates issues related to shrinkage, leading to enhanced water adsorption on the surface of these fine particles. This leads to poor compaction and ineffective reduction in capillary pore water evaporation, resulting in significant drying shrinkage [18]. Drying shrinkage, a crucial parameter influencing concrete durability, plays a pivotal role in determining the longevity of concrete structures. A smaller drying shrinkage rate corresponds to a reduced degree of volume reduction and diminished formation of microcracks within the concrete matrix. This limited development of microcracks serves to decrease the permeability and permeation parameters of the concrete, ultimately yielding durable concrete materials with enhanced longevity [24]. Consequently, by reducing the drying shrinkage rate, not only can the overall quality of concrete be enhanced, but its resistance to external factors can also be strengthened, ultimately achieving long-term reliable performance.
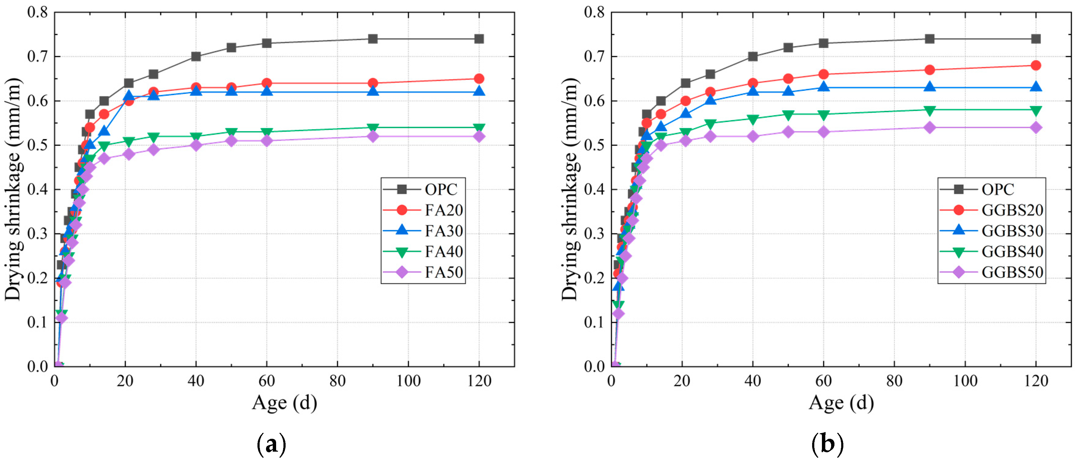
Figure 8 shows the drying shrinkage values of dredged silt blocks with different proportions of SCMs. Research results showed that the drying shrinkage curves of dredged silt blocks containing FA and GGBS were essentially the same within the first 10 d, with minimal differences. This indicates that the addition of GGBS and FA can reduce the drying shrinkage of the silt blocks in the later stages. As time progresses, the drying shrinkage of the dredged silt blocks with FA begins to decelerate after 20 d, while the blocks without FA continue to shrink until 40 d before slowing down. The drying shrinkage of the blocks containing FA is lower than that of the blocks without FA. Specifically, at 120 d, the blocks incorporating 20%, 30%, 40%, and 50% FA demonstrated reductions in drying shrinkage values of 12.1%, 16.2%, 27.1%, and 29.7%, respectively. This indicates that a higher FA content exhibits a more pronounced inhibiting effect on drying shrinkage. The primary reason for this behavior is that FA has a slower rate and degree of participation in hydration reactions, thereby slowing down the overall hydration process within the system. This reduction in the rate of water consumption by hydration reactions, combined with the gradual hydration process of FA, acts as a skeletal structure, limiting the shrinkage of the silt blocks. In the early stages, the high elastic modulus of FA particles plays a role in restraining shrinkage. With prolonged time and increased FA content, the effect of restricting drying shrinkage becomes more significant.
The blocks containing 20%, 30%, 40%, and 50% GGBS showed reductions in drying shrinkage values of 8.1%, 14.8%, 21.6%, and 27.1%, respectively, at 120 d. This trend demonstrates that a higher GGBS content enhances the effect on inhibiting drying shrinkage. The main reason is that the addition of GGBS reduces the evaporation of water from the silt blocks under drying conditions. The active components in GGBS react with the hydration products of OPC, forming gel-like substances such as hydrated calcium silicate gel. These gel-like substances have cementitious properties and can fill the microscopic pores within the concrete, reducing the connectivity of the pores. As a result, the loss of moisture and the occurrence of drying shrinkage are reduced.
Furthermore, the addition of GGBS refines the pore structure within the concrete mix, making it more challenging for water to migrate under drying conditions. This is supported by Saluja’s research [25]; introducing extremely fine GGBS as a substitute for OPC in ordinary concrete containing crushed gravel aggregates has been found to generate a denser concrete matrix. This type of concrete exhibits finer capillary pores, resulting in a reduced availability of free water and consequently creating higher capillary pore water pressure, leading to increased shrinkage strain. Similarly, Shariq et al. [26] also found that as the substitution level of OPC with GGBS increased, the shrinkage strain also increased. The reason for the difference between this article and their research findings is attributed to the utilization of fine dredged clay particles, significant filling of GGBS in the pores, and a notable enhancement in the particle gradation effect of the system.

3.4. Thermogravimetric Analysis

The chemical composition, pozzolanic reactivity, and particle dimensions of FA and GBSS are dissimilar, culminating in distinct hydration byproducts. The secondary pozzolanic reactions of FA and GGBS deplete the calcium hydroxide (CH) present within the paste, concurrently modifying the quantity and constitution of the resultant hydration byproducts. Figure 9 presents the differential scanning calorimetry (DSC) and thermal gravity analysis (TG) curves of the hydration products of binary cementitious materials containing 50% FA and GGBS at 28 d. The DSC curve shows the main endothermic peaks of different samples occurring at approximately 90 °C, 430 °C, and 670 °C, which correspond to the decomposition processes of CH and calcium carbonate (CaCO3). The temperature ranges of these peaks are approximately 40 °C to 220 °C, 420 °C to 470 °C, and 620 °C to 700 °C, respectively. These ranges are indicative of the evaporation of water in varying states within the cementitious matrix, the decomposition of CH, and the disintegration of CaCO3, respectively.
In the paste, water exists in two states: physically bound water and chemically bound water. These two states cannot be easily distinguished during the evaporation process. To facilitate research, a definition is provided: water that is removed above 105 °C is referred to as non-evaporable water, while water removed below 105 °C is referred to as evaporable water.
The TG curve can be divided into six stages based on different weight loss mechanisms. Stage 1 (40 °C to 105 °C) corresponds to the loss of evaporable water, which refers to the moisture absorbed from the air prior to testing and subsequently dried out from the specimen. This weight loss is primarily influenced by the specific surface area of the binary cementitious paste samples.
Stage 2 (105 °C to 420 °C) corresponds to the loss of non-evaporable water, primarily attributed to the dehydration of the hydrates in the paste. The amount of non-evaporable water lost in the paste of OPC and 50% GGBS is similar and significantly higher than that in the paste containing 50% FA. This indicates that the OPC and 50% GGBS paste have a significantly higher amount of hydrated gel products compared to the paste with FA. Furthermore, FA exhibits the slowest hydration rate, with only a small proportion of FA particles undergoing hydration and minimal gel product formation at the 28-day mark. This analysis provides insights into the principal rationale for the pronounced reduction in block strength during the early phases following the substitution of cement with FA.
The thermogravimetric decomposition of pure calcium hydroxide typically occurs within the temperature range of 500 °C to 800 °C. However, when calcium hydroxide is mixed with other hydrated products and substances, its decomposition temperature may be lower than 500 °C. Consequently, Stage 3 (420 °C to 470 °C) primarily involves the weight loss due to the decomposition of CH in the paste. Compared to OPC, the pozzolanic activity of FA significantly consumes the CH content present in the paste. As the temperature continues to rise beyond 500 °C, the residual CH within the paste undergoes further decomposition, resulting in continuous mass loss throughout this stage.
The weight loss caused by water loss in Stage 4 (470 °C to 620 °C) and Stage 6 (700 °C to 950 °C) is much lower than that in Stage 2. The differences among the three types of pastes are not significant, indicating that the dehydration mechanisms of these pastes are similar at high temperatures.
Stage 5 (620 °C to 700 °C) represents the weight loss due to the decomposition of calcium carbonate (CaCO3) in the paste. Compared to OPC, the weight loss caused by the thermal decomposition of CaCO3 is slightly reduced in the pastes with solely FA or solely GGBS. This reduction is likely related to the decrease in CH content and the improved resistance to carbonation in the paste matrix.
The findings delineated in Section 3.2 and Section 3.3 of this manuscript demonstrate that the utilization of FA and GGBS as substitutes for cement reduces the initial strength of silty soil blocks, without negatively impacting their ultimate strength. In comparison to FA, the incorporation of GBSS significantly augments the strength of the blocks. Moreover, the concurrent addition of both GBSS and FA ameliorates the desiccation shrinkage of the blocks. Analysis via TG-DSC above unveils variations in the hydration byproducts within a binary cementitious system inclusive of FA and GBSS, facilitating a comprehensive understanding of the principal causations and mechanisms underpinning these outcomes.

3.5. Pore Structure Analysis

Based on the results shown in Figure 10, the binary cementitious material system with 50% FA and GGBS undergoes changes in pore size distribution after 28 d of hydration. It can be observed that the addition of different GGBS and FA leads to a reduction in pore size and an increase in the number of small pores, resulting in a finer pore structure of the paste. Compared to FA, GGBS demonstrates a better effect in refining the pore size and shows superior pore refinement.
The specific surface area of OPC given in Table 1 is 350 m2/kg, while the specific surface area of FA is 375 m2/kg; the difference between the two is not significant. Furthermore, as depicted in Figure 11, the majority of FA particles fall within the size range of 0.01 mm to 0.1 mm, indicating that the particle size distribution of FA is of the same magnitude as OPC cement and incapable of filling the smaller interstitial voids. Additionally, due to the low reactivity of FA, it cannot produce a substantial amount of cementitious material to fill the gaps. Moreover, FA contains a considerable proportion of inert (non-reactive) crystalline phases, and the slow hydration reaction leads to the sedimentation of FA particles and inert crystalline materials within the existing pore structure, potentially increasing the heterogeneity of the pore structure [27,28]. In contrast, GGBS has a faster hydration rate and undergoes a more complete secondary pozzolanic reaction by 28 d, producing a significant amount of gel. GGBS refines the critical pore throats, which are the smallest continuous channels within the pore structure. The GGBS also alters the chemical composition and growth pattern of C-S-H, which in turn affects the pore structure. These gels can fill more large pores. The size and connectivity of pores play crucial roles in determining the drying shrinkage of the specimens. Larger pore diameters facilitate quicker moisture loss from the interior of the specimens, which in turn increases drying shrinkage. Conversely, a denser pore structure with limited connectivity restricts the movement of water molecules, potentially beneficial in reducing moisture loss, but can also increase capillary stress within the material. An overly dense pore structure increases capillary stress within the system and may lead to the development of internal cracks, thereby reducing the strength of the material.

3.6. Scanning Electron Microscopy Analysis

Figure 12 presents the SEM images of the hydration of a binary cementitious material system at 28 d. In Figure 12a, the microstructure of the OPC paste at 28 d reveals the presence of abundant CH crystals. However, the C-S-H gel content is insufficient to fill all the pores, resulting in numerous unhydrated micrometer-scale voids. After adequate hydration reaction, the paste exhibits increased compactness, with hydration products nearly filling all the micrometer-scale voids and no apparent defects. Figure 12b shows the hydration of a paste containing 50% FA, which appears porous and loosely packed. The image reveals the presence of numerous unhydrated FA particles on the surface, along with well-crystallized CH. The interfaces between C-S-H gel, unhydrated FA, and CH particles are clearly defined. At 28 d of hydration, the crystalline CH phase does not show a significant reduction, and the pozzolanic effect of FA is still limited. There is poor bonding between FA particles and the paste, with a large number of exposed, smooth-surfaced FA spheres and semispherical pits resulting from FA detachment. The hydration products exhibit complete crystallinity, and there are large hexagonal plate-shaped CH particles that are stacked and distributed in layers. It can be observed that the hydration of FA at 28 d is minimal, leading to a decrease in early strength of FA-containing pastes and limiting the effectiveness of FA. However, the hydration degree increases significantly in the later stages, resulting in significant strength development. The morphology effect, pozzolanic activity, and micro-aggregate effect of FA all have an impact on the composition, structure, and properties of cement pastes, particularly favoring the development of later-stage strength. Enhancing the early strength of high-volume FA cement pastes is crucial for promoting the widespread application of FA.
Figure 12c,d are the polished surface and cross-section SEM images, respectively, of the hydration of a binary GGBS–cement system at 28 d. From the polished section SEM image in Figure 12c, it can be seen that there are still some large GGBS particles (above 10 µm) that have not participated in the reaction. Although the content of finer GGBS particles (below 10 µm) in the paste is relatively small, these particles exhibit higher reactivity. Unhydrated GGBS particles show good bonding with the paste interface. Hydration products such as calcium silicate hydrate (C-S-H) gels fill the large pores, reducing defects in the paste and improving the bonding between different phase interfaces. From the cross-section SEM image in Figure 12d, it is evident that the GGBS–cement paste exhibits good compactness, and intact crystalline calcium hydroxide (CH) is difficult to identify within the paste. This indicates that a secondary pozzolanic reaction occurred, with GGBS and CH reacting to form C-S-H. The physical filling and pozzolanic effect of GGBS optimize and compact the microstructure of the paste.

4. Conclusions

(1) The molding method plays a pivotal role in the mechanical properties of dredged silt blocks. Compared to conventional vibratory molding, the compaction method significantly improves the compressive and splitting tensile strengths of the specimens. For instance, blocks made from silt with 70% cement and 30% GGBS as cementitious materials achieved compressive and splitting tensile strengths of 64.8 MPa and 5.6 MPa, respectively, after 28 days of curing. These represent improvements of 111.07% and 143.48%, respectively, compared to blocks prepared with the same mix ratio using vibratory molding. The presence of sand particles within the dredged silt provides a skeletal support and better particle matching, which contribute to improving properties of block. The properties of the silt blocks can be significantly enhanced through mechanical force, particle gradation, and hydration action.
(2) The addition of FA and GGBS reduces the early strength of the block to a certain extent but without a significant adverse effect on later strength. At 28 d, the compressive strength of blocks containing 50% FA and GGBS reached 54.0 MPa and 60.8 MPa, respectively. Both GGBS and FA exert notable impacts on reducing drying shrinkage. The dry shrinkage values of dredged soil blocks with 20%, 30%, 40%, and 50% FA and GBSS added at 120 d. were reduced by 12.1%, 16.2%, 27.1%, 29.7%, and 8.1%, 14.8%, 21.6%, and 27.1%, respectively, compared to the dredged blocks without FA. The optimal mix ratio that meets the requirements of blocks such as protective tiles and pavement tiles is that the mass ratio of binder: dredged silt = 1:2.5, OPC: GGBS or FA = 5:5, water-to-binder and silt ratio of 0.15 and semi-dry compression molding with a forming pressure of 15 MPa.
(3) TG-DSC analysis reveals that the quantity of gel formed in OPC and 50% GGBS paste is significantly higher than that in the FA paste, with a notable loss of non-evaporable water. GGBS or FA reacting with CH to form C-S-H significantly consumes the CH present in the paste. MIP analysis indicated that GGBS exhibits superior pore structure refinement compared to FA, which restricts water migration, contributing to reduced drying shrinkage. FA slows down hydration reactions and provides a framework to limit block shrinkage. SEM analysis shows that GGBS–cement paste exhibits good compactness, while FA paste appears porous, loosely packed, and has some unhydrated particles on the surface. Physical filling and the volcanic ash effect of FA and GGBS can optimize and compact the microstructure of paste. Hydration products such as C-S-H gels fill the large pores to reduce defects in the paste and improve the bonding between different phase interfaces.
(4) Utilizing discarded dredged soil as a substitute for conventional sand and gravel materials, and employing large quantities of industrial by-products such as GGBS and FA to replace conventional high-energy-consuming cement, high-strength artificial blocks can be fabricated through compaction molding to replace ordinary concrete. These blocks can be used for the production of revetment bricks, pavement bricks, ballast blocks, etc., and applied in proximity to channel regulation projects, roads, or municipal engineering. The preparation of artificial blocks such as road bricks and ballast blocks using dredged soil as the main raw material has been applied in projects such as the Yangtze River waterway regulation in China and Skikda Port in Algeria. Future tests can be conducted to evaluate the water erosion resistance, chloride ion erosion resistance, and the durability performance against freezing and thawing, carbonation, and permeation of the dredged soil blocks. These tests will lay the groundwork for their comprehensive promotion and application in water-related areas, as well as in cold and coastal regions.

Author Contributions

Conceptualization, Q.Z.; funding acquisition, Q.Z.; data curation, Q.Z. and M.F.; visualization, Q.Z; methodology, P.C.; resources, P.C.; formal analysis, M.F.; validation, Y.Z.; investigation, Y.Z.; writing—original draft, Y.W.; writing—review and editing C.J.; project administration, C.J. All authors have read and agreed to the published version of the manuscript.

Funding

This research work was funded by Fujian Provincial Science and Technology Plan Project (2023Y0041) and the Fujian Provincial Transportation Technology Project (2022Y040).

Data Availability Statement

Available from the authors.

Conflicts of Interest

Authors Qingsong Zheng, Yourong Zeng and Yun Wang were employed by the company Fujian Communications Planning and Design Institute Co., Ltd. The remaining authors declare that the research was conducted in the absence of any commercial or financial relationships that could be construed as a potential conflict of interest. The authors declare no conflict of interest.

Abbreviations

Definition of all abbreviations and notations.
abbreviations or notationsfull words
FAfly ash
GGBSground granulate blast-furnace slag
SCMssupplementary cementitious materials
OPCordinary Portland cement
MIPmercury intrusion porosimetry
SEMscanning electron microscopy
TG-DSCthermogravimetric analysis–differential scanning calorimetry

References

  1. Bian, Z.; Bai, Y.; Douglas, W.S.; Maher, A.; Liu, X. Multi-year planning for optimal navigation channel dredging and dredged material management. Transp. Res. Part E Logist. Transp. Rev. 2022, 159, 102618. [Google Scholar] [CrossRef]
  2. El-Seidy, E.; Chougan, M.; Sambucci, M.; Al-Kheetan, M.J.; Biblioteca, I.; Valente, M.; Ghaffar, S.H. Lightweight alkali-activated materials and ordinary Portland cement composites using recycled polyvinyl chloride and waste glass aggregates to fully replace natural sand. Constr. Build. Mater. 2023, 368, 130399. [Google Scholar] [CrossRef]
  3. Shakir, Q.M.; Alghazali, A.F. Hybrid curved precast deep beams composed partially from concrete made with recycled concrete aggregate. In E3S Web of Conferences; EDP Sciences: Najaf, Iraq, 2023; Volume 427, p. 02025. [Google Scholar]
  4. Shakir, Q.M. New model of eco-friendly hybrid deep beams with wastes of crushed concrete. J. Teknol. 2023, 85, 145–154. [Google Scholar]
  5. Mostafa, A.; Farzad, H. Prediction of mechanical and durability characteristics of concrete including slag and recycled aggregate concrete with artificial neural networks (ANNs). Constr. Build. Mater. 2022, 325, 126839. [Google Scholar]
  6. Wang, Y.; Wang, G.; Wan, Y.; Yu, X.; Zhao, J.; Shao, J. Recycling of dredged river silt reinforced by an eco-friendly technology as microbial induced calcium carbonate precipitation (MICP). Soils Found. 2022, 62, 101216. [Google Scholar] [CrossRef]
  7. Dong, Y.; Xu, F.; Liang, X.; Huang, J.; Yan, J.; Wang, H.; Hou, Y. Beneficial use of dredged sediments as a resource for mine reclamation: A case study of Lake Dianchi’s management in China. Waste Manag. 2023, 167, 81–91. [Google Scholar] [CrossRef]
  8. Chu, C.; Deng, Y.; Zhou, A.; Feng, Q.; Ye, H.; Zha, F. Backfilling performance of mixtures of dredged river sediment and iron tailing slag stabilized by calcium carbide slag in mine goaf. Constr. Build. Mater. 2018, 189, 849–856. [Google Scholar] [CrossRef]
  9. Li, X.; Huang, L.; Reible, D.; Zeng, X.; Liu, S.; Fu, J.; Wang, K.; Fang, H. Inhibition of sediment erosion and phosphorus release by remediation strategy of contaminated sediment backfilling. Water Res. 2023, 239, 120055. [Google Scholar] [CrossRef] [PubMed]
  10. Yu, C.; Cui, C.; Zhao, J.; Zheng, J.A. novel approach to utilizing dredged materials at the laboratory scale. Constr. Build. Mater. 2021, 313, 125568. [Google Scholar] [CrossRef]
  11. Hussain, M.; Levacher, D.; Leblanc, N.; Zmamou, H.; Djeran-Maigre, I.; Razakamanantsoa, A.; Saouti, L. Reuse of harbour and river dredged sediments in adobe bricks. Clean. Mater. 2022, 3, 100046. [Google Scholar] [CrossRef]
  12. Yang, M.; Ju, C.; Xue, K.; Peng, Y.; Han, H.; Wan, Q.; Peng, X.; Wu, Y. Environmental-friendly non-sintered permeable bricks: Preparation from wrap-shell lightweight aggregates of dredged sediments and its performance. Constr. Build. Mater. 2021, 273, 121751. [Google Scholar] [CrossRef]
  13. Ponnada, S.; Sankar Cheela, V.R.; Gopala Raju, S. Investigation on mechanical properties of composite concrete containing untreated sea sand and quarry dust for 100% replacement of fine aggregate. Mater. Today Proc. 2020, 32, 989–996. [Google Scholar] [CrossRef]
  14. Bhairappanavar, S.; Liu, R.; Shakoor, A. Eco-friendly dredged material-cement bricks. Constr. Build. Mater. 2021, 271, 121524. [Google Scholar] [CrossRef]
  15. Xu, H.; Bu, J.; Chen, X.; Chen, Q.; Xu, B. Fracture behavior of dredged sand concrete under freeze–thaw cycles. Constr. Build. Mater. 2023, 366, 130192. [Google Scholar] [CrossRef]
  16. Vinothkumar, K.; Vijayakumar, G. Study on the physical, mechanical and mineralogical properties of dredged marine sand as a partial replacement for fine aggregate in concrete. Mater. Today Proc. 2023. [Google Scholar] [CrossRef]
  17. Huang, W.; Chen, X.; Luan, J.; Ning, Y.; Ji, T.; Shi, Z. Deep insight into mechanical behaviour and microstructure mechanism of dredged sand in the lower reaches of the Yangtze River and manufactured sand concrete. J. Build. Eng. 2023, 68, 106105. [Google Scholar] [CrossRef]
  18. Lee, K.-H.; Yang, K.-H.; Yoon, H.-S. Shrinkage strains of lightweight aggregate concrete using expanded bottom ash and dredged soil granules. Constr. Build. Mater. 2018, 188, 934–945. [Google Scholar] [CrossRef]
  19. JTS 181-5-2012; Design Code for Dredging and Reclamation Works. China Communication Press: Beijing, China, 2012.
  20. GB/T 16399-2021; Method for Chemical Analysis of Clay. Standards Press of China: Beijing, China, 2021.
  21. JTG 3420-2020; Testing Methods of Cement and Concrete for Highway Engineering. Ministry of Transport of the People’s Republic of China: Beijing, China, 2020.
  22. SL/T 352-2020; Test Code for Hydraulic Concrete. China Water & Power Press: Beijing, China; China Communications Press: Beijing, China, 2020.
  23. Chaohua, J.; Xiaobin, Z.; Guilan, T.; Da, C. Experimental Study on the Performance and Microstructure of Cementitious Materials Made with Dune Sand. Adv. Mater. Sci. Eng. 2016, 10, 2158706. [Google Scholar]
  24. Ponraj, S.L.; Aruna, G.; Krishna Rao, A.; Srinivas Kadrekar, K. Studies on drying shrinkage and water permeability of fine fly ash high performance concrete. Mater. Today Proc. 2021, 46, 930–933. [Google Scholar]
  25. Saluja, S.; Kaur, K.; Goyal, S.; Bhattacharjee, B. Assessing the effect of GGBS content and aggregate characteristics on drying shrinkage of roller compacted concrete. Constr. Build. Mater. 2019, 201, 72–80. [Google Scholar] [CrossRef]
  26. Shariq, M.; Prasad, J.; Abbas, H. Creep and drying shrinkage of concrete containing GGBFS. Cem. Concr. Compos. 2016, 68, 35–45. [Google Scholar] [CrossRef]
  27. Linderoth, O.; Johansson, P.; Wadsö, L. Development of pore structure, moisture sorption and transport properties in fly ash blended cement-based materials. Constr. Build. Mater. 2020, 261, 120007. [Google Scholar] [CrossRef]
  28. Berodier, E.; Scrivener, K. Evolution of pore structure in blended systems. Cem. Concr. Res. 2015, 73, 25–35. [Google Scholar] [CrossRef]
Figure 1. Size distributions of the studied dredged silt and SCMs (FA and GGBS).
Figure 1. Size distributions of the studied dredged silt and SCMs (FA and GGBS).
Buildings 14 02407 g001
Figure 2. XRD diffraction image of dredged silt in Beibu Gulf.
Figure 2. XRD diffraction image of dredged silt in Beibu Gulf.
Buildings 14 02407 g002
Figure 3. Laboratory pressing tools and method. (a) Pressing grinding tools. (b) The laboratory presses on a universal testing machine. (c) Test piece compression process.
Figure 3. Laboratory pressing tools and method. (a) Pressing grinding tools. (b) The laboratory presses on a universal testing machine. (c) Test piece compression process.
Buildings 14 02407 g003
Figure 4. The influence of compression method and vibration molding method on compressive strength (a) and splitting tensile strength (b).
Figure 4. The influence of compression method and vibration molding method on compressive strength (a) and splitting tensile strength (b).
Buildings 14 02407 g004
Figure 5. Dredged soil block manufacturing process diagram.
Figure 5. Dredged soil block manufacturing process diagram.
Buildings 14 02407 g005
Figure 6. Influence of different FA (a) and GGBS (b) contents on compressive strength of dredged silt blocks.
Figure 6. Influence of different FA (a) and GGBS (b) contents on compressive strength of dredged silt blocks.
Buildings 14 02407 g006
Figure 7. Influence of different FA (a) and GGBS (b) contents on splitting tensile strength of dredged silt blocks.
Figure 7. Influence of different FA (a) and GGBS (b) contents on splitting tensile strength of dredged silt blocks.
Buildings 14 02407 g007
Figure 8. Effect of FA (a) and GGBS (b) content on dry shrinkage of dredged silt blocks.
Figure 8. Effect of FA (a) and GGBS (b) content on dry shrinkage of dredged silt blocks.
Buildings 14 02407 g008
Figure 9. (a) DSC and (b) TG curves of the slurry blended with FA and GGBS at 28 d.
Figure 9. (a) DSC and (b) TG curves of the slurry blended with FA and GGBS at 28 d.
Buildings 14 02407 g009
Figure 10. Pore size distribution of OPC blended with SCMs.
Figure 10. Pore size distribution of OPC blended with SCMs.
Buildings 14 02407 g010
Figure 11. Dredging silt.
Figure 11. Dredging silt.
Buildings 14 02407 g011
Figure 12. SEM patterns of cement and binary cementitious system blended with SCMs. (a) OPC 28 d; (b) FA50 28 d; (c) GGBS50 28 d polished surface; (d) GGBS50 28 d fracture surface.
Figure 12. SEM patterns of cement and binary cementitious system blended with SCMs. (a) OPC 28 d; (b) FA50 28 d; (c) GGBS50 28 d polished surface; (d) GGBS50 28 d fracture surface.
Buildings 14 02407 g012aBuildings 14 02407 g012b
Table 1. The chemical compositions and physical properties of OPC, GGBS and FA.
Table 1. The chemical compositions and physical properties of OPC, GGBS and FA.
Dredged SiltOPCGGBSFA
LOI1.202.921.250.75
SO30.082.550.500.27
SiO260.1421.251.8933.71
Fe2O35.783.306.590.50
Al2O316.234.6526.9815.23
CaO8.1262.597.9138.16
MgO3.451.111.448.76
K2O3.120.411.170.49
Na2O1.150.060.710.21
TiO20.730.211.040.73
Density (g/cm3)2.653.12.82.3
Specific surface (m2/kg)200350425375
Water requirement (%)--9295
Activity index--9380
Disclaimer/Publisher’s Note: The statements, opinions and data contained in all publications are solely those of the individual author(s) and contributor(s) and not of MDPI and/or the editor(s). MDPI and/or the editor(s) disclaim responsibility for any injury to people or property resulting from any ideas, methods, instructions or products referred to in the content.

Share and Cite

MDPI and ACS Style

Zheng, Q.; Cai, P.; Zeng, Y.; Wang, Y.; Feng, M.; Jiang, C. Experimental Study on Performance and Mechanism of High-Strength Artificial Blocks Based on Dredged Silt. Buildings 2024, 14, 2407. https://doi.org/10.3390/buildings14082407

AMA Style

Zheng Q, Cai P, Zeng Y, Wang Y, Feng M, Jiang C. Experimental Study on Performance and Mechanism of High-Strength Artificial Blocks Based on Dredged Silt. Buildings. 2024; 14(8):2407. https://doi.org/10.3390/buildings14082407

Chicago/Turabian Style

Zheng, Qingsong, Piaoyang Cai, Yourong Zeng, Yun Wang, Ming Feng, and Chaohua Jiang. 2024. "Experimental Study on Performance and Mechanism of High-Strength Artificial Blocks Based on Dredged Silt" Buildings 14, no. 8: 2407. https://doi.org/10.3390/buildings14082407

APA Style

Zheng, Q., Cai, P., Zeng, Y., Wang, Y., Feng, M., & Jiang, C. (2024). Experimental Study on Performance and Mechanism of High-Strength Artificial Blocks Based on Dredged Silt. Buildings, 14(8), 2407. https://doi.org/10.3390/buildings14082407

Note that from the first issue of 2016, this journal uses article numbers instead of page numbers. See further details here.

Article Metrics

Back to TopTop