Analysis and Comparison of Three Bending Tests on Phosphogypsum-Based Material According to Peridynamic Theory
Abstract
1. Introduction
2. PD Theory
2.1. Kinematic Equation
2.2. Force Function
2.3. Failure Criterion
2.4. Numerical Method
2.5. Simulation Result Processing Method
3. Methodology
3.1. Materials and Sample Preparation
3.2. Tests
3.2.1. Bending Test
3.2.2. Uniaxial Compression Test
3.3. Numerical Model Establishment
4. Results and Discussion
4.1. Test Results
4.1.1. Load–Displacement Curves and Fracture Energy
4.1.2. Displacement–CMOD Curves
4.1.3. Young’s Modulus and Poisson’s Ratio
4.2. Comparison between the Three Tests Based on PD Simulation
4.2.1. Numerical Results
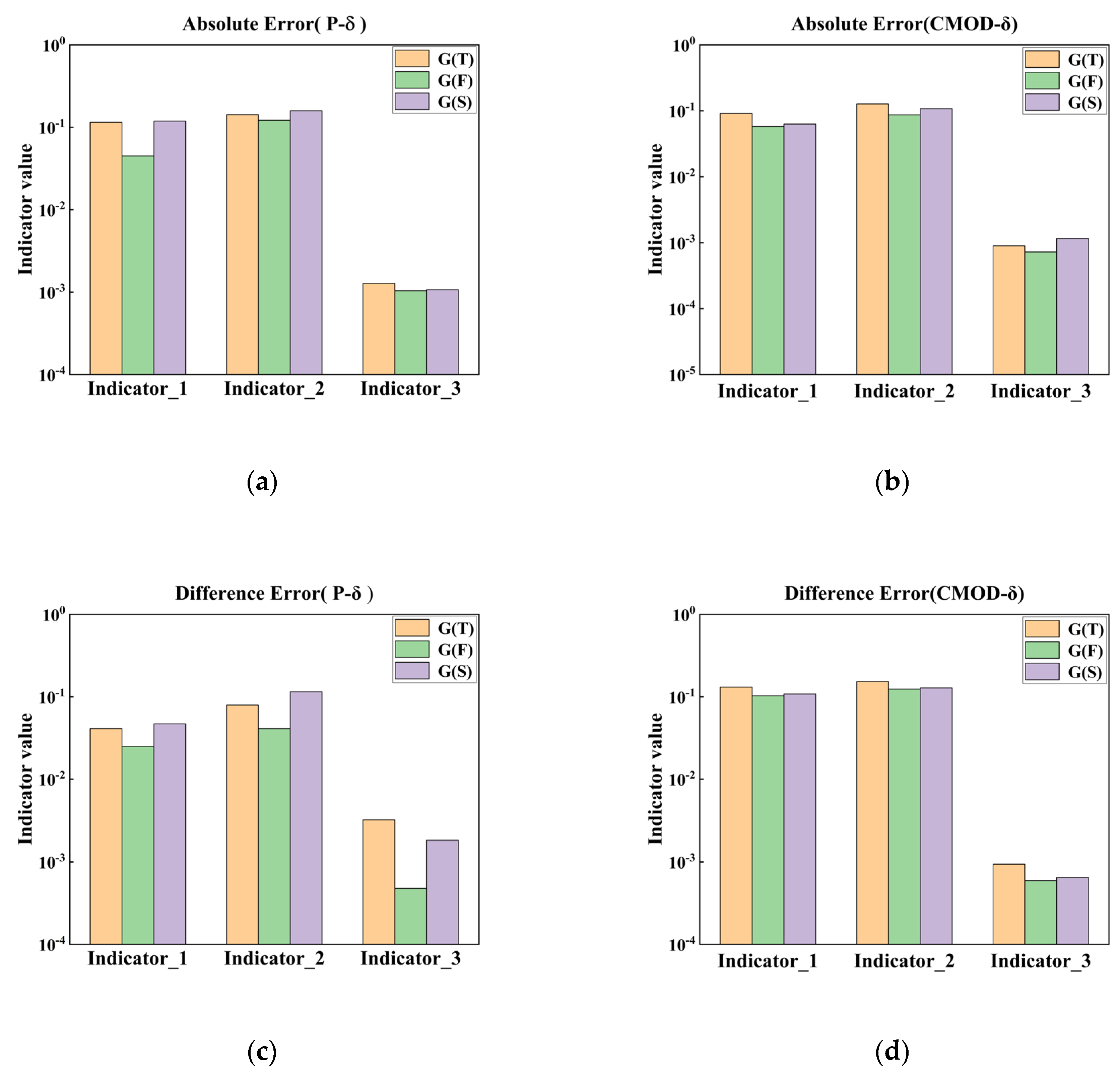
4.2.2. Quantitative Comparison between the Three Test Methods Based on Simulation Error
5. Conclusions
- Regarding the phosphogypsum-based materials, there were significant differences in the load–displacement curves, displacement–CMOD curves and fracture energy between different bending tests, resulting in a variation of approximately 10–12% in the obtained material fracture energy.
- The simulated load–displacement and displacement–CMOD values were consistent with the test results based on the elastic–brittle PD model. And the results of load–displacement and fracture energy of the three tests were in good agreement with that of the displacement–CMOD of the three tests.
- The three error and indicator analyses indicate that the Four-point bending test is the best test method for fracture energy evaluation, followed by the Three-point bending test and the Semi-circular bending test.
Author Contributions
Funding
Data Availability Statement
Conflicts of Interest
References
- Shen, W.; Zhou, M.; Zhao, Q. Study on lime–fly ash–phosphogypsum binder. Constr. Build. Mater. 2007, 21, 1480–1485. [Google Scholar] [CrossRef]
- Liu, G.; He, M.; Chen, H.; Rashad, A.M.; Liang, Y. Study on the curing conditions on the physico-mechanical and environmental performance of phosphogypsum-based artificial aggregates. Constr. Build. Mater. 2024, 415, 135030. [Google Scholar] [CrossRef]
- Amrani, M.; Taha, Y.; Kchikach, A.; Benzaazoua, M.; Hakkou, R. Phosphogypsum recycling: New horizons for a more sustainable road material application—ScienceDirect. J. Build. Eng. 2020, 30, 101267. [Google Scholar] [CrossRef]
- Shen, W.; Zhou, M.; Ma, W.; Hu, J.; Cai, Z. Investigation on the application of steel slag–fly ash–phosphogypsum solidified material as road base material. J. Hazard. Mater. 2009, 164, 99–104. [Google Scholar] [CrossRef] [PubMed]
- Liu, D.S.; Wang, C.Q.; Mei, X.D.; Zhang, C. An effective treatment method for phosphogypsum. Mater. Rep. 2019, 26, 30533–30539. [Google Scholar] [CrossRef] [PubMed]
- Gui-jua, Z. Discussion on shrinkage crack and crack resistance of semi-rigid sub-base material. Shanxi Archit. 2007, 6, 169–170. [Google Scholar]
- Li, Z.; Guo, T.; Chen, Y.; Wang, Y.; Chen, Y.; He, Q.; Yang, X.; Wang, J. Study on Performance of Retarded Composite Semi-Rigid Base Mixed with Rubber Powder. Materials 2022, 15, 4683. [Google Scholar] [CrossRef] [PubMed]
- Khalilpour, S.; BaniAsad, E.; Dehestani, M. A review on concrete fracture energy and effective parameters. Cem. Concr. Res. 2019, 120, 294–321. [Google Scholar] [CrossRef]
- Xu, M.; Wille, K. Fracture energy of UHP-FRC under direct tensile loading applied at low strain rates. Compos. Part B Eng. 2015, 80, 116–125. [Google Scholar] [CrossRef]
- Kim, Y.R.; Wen, H. Fracture energy from indirect tension testing. Asph. Paving Technol. 2002, 71, 779–793. [Google Scholar]
- Fei, C.; Linyan, Z.; Jiliang, F.; Yong, M.; Yanbin, Z. Research Progress on Test Methods of Asphalt Mixture’s Low-temperature Anti-cracking Performance. Mater. Rep. 2021, 35, 127–137. [Google Scholar]
- Guinea, G.; Planas, J.; Elices, M. Measurement of the fracture energy using three-point bend tests: Part 1—Influence of experimental procedures. Mater. Struct. 1992, 25, 212–218. [Google Scholar] [CrossRef]
- Bencardino, F.; Rizzuti, L.; Spadea, G.; Swamy, R.N. Implications of test methodology on post-cracking and fracture behaviour of steel fibre reinforced concrete. Compos. Part B Eng. 2013, 46, 31–38. [Google Scholar] [CrossRef]
- Cooper, G. Optimization of the three-point bend test for fracture energy measurement. J. Mater. Sci. 1977, 12, 277–289. [Google Scholar] [CrossRef]
- Zhang, X. Investigating the mechanical properties of the fracture process zone of concrete using the energy method. Eng. Mech. 2008, 25, 18–23. (In Chinese) [Google Scholar]
- Zhang, J. Investigation on the Fracture Energy of Cement-Based Materials Based on the Analysis of Energy Dissipation D; Institue of Engineering Mechanics, CEA: Beijing, China, 2022. [Google Scholar] [CrossRef]
- Bermudo Gamboa, C.; Andersson, T.; Svensson, D.; Trujillo Vilches, F.J.; Martín-Béjar, S.; Sevilla Hurtado, L. Modeling of the fracture energy on the finite element simulation in Ti6Al4V alloy machining. Sci. Rep. 2021, 11, 18490. [Google Scholar] [CrossRef] [PubMed]
- Khennane, A. Introduction to Finite Element Analysis Using MATLAB and Abaqus; CRC Press: Boca Raton, FL, USA, 2013. [Google Scholar]
- Gu, Y.; Zhang, C.; Zhang, P.; Golub, M.V.; Yu, B. Enriched physics-informed neural networks for 2D in-plane crack analysis: Theory and MATLAB code. Int. J. Solids Struct. 2023, 276, 112321. [Google Scholar] [CrossRef]
- Friedrich, L.F.; Colpo, A.B.; Kosteski, L.E.; Vantadori, S.; Iturrioz, I. A novel peridynamic approach for fracture analysis of quasi-brittle materials. Int. J. Mech. Sci. 2022, 227, 107445. [Google Scholar] [CrossRef]
- Silling, S.A.; Epton, M.; Weckner, O.; Xu, J.; Askari, E. Peridynamic states and constitutive modeling. J. Elast. 2007, 88, 151–184. [Google Scholar] [CrossRef]
- Mitchell, J.A. A Non-Local, Ordinary-State-Based Viscoelasticity Model for Peridynamics; Sandia National Laboratories (SNL): Albuquerque, NM, USA; Livermore, CA, USA, 2011. [Google Scholar]
- Mitchell, J.A. A Nonlocal, Ordinary, State-Based Plasticity Model for Peridynamics; Sandia National Laboratories (SNL): Albuquerque, NM, USA; Livermore, CA, USA, 2011. [Google Scholar]
- Sanfilippo, D.; Ghiassi, B.; Alexiadis, A. Peridynamic modelling and simulation of asphalt at low and high temperature. Constr. Build. Mater. 2023, 367, 130170. [Google Scholar] [CrossRef]
- Huang, D.; Lu, G.; Liu, Y. Nonlocal Peridynamic Modeling and Simulation on Crack Propagation in Concrete Structures. Math. Probl. Eng. 2015, 2015, 858723. [Google Scholar] [CrossRef]
- Keshavarzi, M.M.; Gilaki, M.; Sahraei, E. Characterization of in-situ material properties of pouch lithium-ion batteries in tension from three-point bending tests. Int. J. Mech. Sci. 2022, 219, 107090. [Google Scholar] [CrossRef]
- Zhang, Y.; Zhang, S.; Deng, M. Four-point bending tests of ECC: Mechanical response and toughness evaluation. Case Stud. Constr. Mater. 2022, 17, e01573. [Google Scholar] [CrossRef]
- Meng, Y.; Kong, W.; Gou, C.; Deng, S.; Hu, Y.; Chen, J.; Fan, L. A review on evaluation of crack resistance of asphalt mixture by semi-circular bending test. J. Road Eng. 2023, 3, 87–97. [Google Scholar] [CrossRef]
- Gerstle, W.; Sau, N.; Aguilera, E. Micropolar peridynamic constitutive model for concrete. J. Trans. 2007, 1–8. [Google Scholar]
- Yaghoobi, A.; Chorzepa, M.G. Fracture analysis of fiber reinforced concrete structures in the micropolar peridynamic analysis framework. Eng. Fract. Mech. 2017, 169, 238–250. [Google Scholar] [CrossRef]
- Wang, X.; Zhong, Y. Reflective crack in semi-rigid base asphalt pavement under temperature-traffic coupled dynamics using XFEM. Constr. Build. Mater. 2019, 214, 280–289. [Google Scholar] [CrossRef]
- Huichao, Y. Research on Damage Mechanism and Its Identification Method of Crane Girder Based on Peridynamics. Ph.D. Thesis, School of Mechanical Engineering Southeast University, Nanjing, China, 2021. [Google Scholar] [CrossRef]
- Silling, S.A.; Askari, E. A meshfree method based on the peridynamic model of solid mechanics. Comput. Struct. 2005, 83, 1526–1535. [Google Scholar] [CrossRef]
- Lee, J.; Hong, J.W. Dynamic crack branching and curving in brittle polymers. Int. J. Solids Struct. 2016, 100, 332–340. [Google Scholar] [CrossRef]
- Miura, D.; Ishida, Y.; Miyasaka, T.; Aoki, H.; Shinya, A. Reliability of different bending test methods for dental press ceramics. Materials 2020, 13, 5162. [Google Scholar] [CrossRef] [PubMed]
- JTG 3441-2024; Test Methods of Materials Stabilized with Inorganic Binders for Highway Engineering. Ministry of Transport of the People’s Republic of China: Beijing, China, 2024.
- Zhao, G.; Yao, W.; Li, X.; Xu, Y.; Xia, K.; Chen, R. Influence of notch geometry on the rock fracture toughness measurement using the ISRM suggested semi-circular bend (SCB) method. Rock Mech. Rock Eng. 2022, 55, 2239–2253. [Google Scholar] [CrossRef]
- Yingjie, Z. A Study on Integral Algorithm for Acceleration Test to Get Displacement and Application. Master’s Thesis, Chongqing University, Chongqing, China, 2013. [Google Scholar]













| Model Parameters | Three-Dimensional | Plane Stress | Plane Strain |
|---|---|---|---|
| c | |||
| k |
| Types | Peak Load/KN | Failure Displacement/mm | Failure CMOD/mm | Fracture Energy (J/m2) |
|---|---|---|---|---|
| Three-point bending | 1.009 | 0.4512 | 0.014 | 91.58 |
| Four-point bending | 1.286 | 0.3377 | 0.017 | 109.33 |
| Semi-circular bending | 1.691 | 0.5027 | 0.021 | 130.25 |
Disclaimer/Publisher’s Note: The statements, opinions and data contained in all publications are solely those of the individual author(s) and contributor(s) and not of MDPI and/or the editor(s). MDPI and/or the editor(s) disclaim responsibility for any injury to people or property resulting from any ideas, methods, instructions or products referred to in the content. |
© 2024 by the authors. Licensee MDPI, Basel, Switzerland. This article is an open access article distributed under the terms and conditions of the Creative Commons Attribution (CC BY) license (https://creativecommons.org/licenses/by/4.0/).
Share and Cite
Ma, H.; Zhang, K.; Liang, S.; Dong, J.; Fan, X.; Zhang, X. Analysis and Comparison of Three Bending Tests on Phosphogypsum-Based Material According to Peridynamic Theory. Buildings 2024, 14, 2181. https://doi.org/10.3390/buildings14072181
Ma H, Zhang K, Liang S, Dong J, Fan X, Zhang X. Analysis and Comparison of Three Bending Tests on Phosphogypsum-Based Material According to Peridynamic Theory. Buildings. 2024; 14(7):2181. https://doi.org/10.3390/buildings14072181
Chicago/Turabian StyleMa, Haoyu, Kai Zhang, Sheng Liang, Jiatian Dong, Xiangyang Fan, and Xuemei Zhang. 2024. "Analysis and Comparison of Three Bending Tests on Phosphogypsum-Based Material According to Peridynamic Theory" Buildings 14, no. 7: 2181. https://doi.org/10.3390/buildings14072181
APA StyleMa, H., Zhang, K., Liang, S., Dong, J., Fan, X., & Zhang, X. (2024). Analysis and Comparison of Three Bending Tests on Phosphogypsum-Based Material According to Peridynamic Theory. Buildings, 14(7), 2181. https://doi.org/10.3390/buildings14072181

