Prefabricated Envelope Green Remodeling Potential of Public Office Buildings in Korea
Abstract
1. Introduction
2. Analysis of Public Office Buildings in Korea
2.1. Public Office Building Use
2.2. Target for Energy Savings
- Buildings that were approved for use more than 10 years ago.
- Buildings with a total floor area (TFA) of over 3000 m2.
- Buildings with one of the six building uses defined by the Building Act: Cultural and assembly facilities, transportation facilities, healthcare facilities, education and research facilities, training facilities, and office buildings.
3. Research Method
3.1. Investigation of Envelope Typologies
3.1.1. Sampling
3.1.2. Survey Method
- First, a preliminary survey was conducted with 30% of the sample to establish draft typologies.
- The remaining 70% underwent a primary survey to refine the typologies.
- Finally, the typologies for building and envelope characteristics were derived.
- [B1] Orientation: Direction of the building’s main entrance. This was confirmed through the road-view function of the map services.
- [B2] Plan shape: A generalized shape based on the outline of the building shown on the map.
- [B3] Aspect ratio: The horizontal and vertical lengths of the plan were measured using a distance measurement tool in the map service and the ratio was calculated. When the plan was not rectangular, the longest side was used as a reference.
- [E1] Elevation composition: The shape and arrangement of the openings on the elevation were classified as regular, symmetrical, or mixed.
- [E2] Opening shapes: General openings and curtain walls were distinguished based on their exterior appearance, and the most predominant shape of the facade was selected.
- [E3] Protrusion forms: Protruding shapes on exterior walls were investigated for design or shading purposes, and the most predominant form was selected.
- [E4] Window-to-wall ratio (WWR): The facade was examined through an image search or road view, and the WWR was assigned based on the ratio most similar to example images of various sizes.
- [E5] Envelope construction method: Classified based on whether the exterior finishing material is dry or wet. In the case of mixed construction, the material covering a larger area was selected as the criterion.
3.2. Building Energy Simulation
4. Results and Discussion
4.1. Survey Results and Findings
4.2. Considerations for Envelope GR for a Public Office
4.3. GR Potential of Public Building Stock
5. Conclusions
Author Contributions
Funding
Data Availability Statement
Conflicts of Interest
Appendix A
| Region | Period | TFA | NAT 1 | LOC 2 | C&A 3 | Subtotal | Total | ||||
|---|---|---|---|---|---|---|---|---|---|---|---|
| Central | [P4] before 1981 | 3000–5000 m2 | 10 | 1.0% | 4 | 0.4% | 5 | 0.5% | 51 | 4.9% | 538 (51.3%) |
| 5000–10,000 m2 | 6 | 0.6% | 14 | 1.3% | 4 | 0.4% | |||||
| above 10,000 m2 | 2 | 0.2% | 4 | 0.4% | 2 | 0.2% | |||||
| [P3] 1981–1993 | 3000–5000 m2 | 38 | 3.6% | 12 | 1.1% | 22 | 2.1% | 196 | 18.7% | ||
| 5000–10,000 m2 | 34 | 3.2% | 29 | 2.8% | 12 | 1.1% | |||||
| above 10,000 m2 | 26 | 2.5% | 15 | 1.4% | 8 | 0.8% | |||||
| [P2] 1993–2002 | 3000–5000 m2 | 48 | 4.6% | 11 | 1.0% | 11 | 1.0% | 193 | 18.4% | ||
| 5000–10,000 m2 | 34 | 3.2% | 18 | 1.7% | 14 | 1.3% | |||||
| above 10,000 m2 | 21 | 2.0% | 23 | 2.2% | 13 | 1.2% | |||||
| [P1] 2002–2010 | 3000–5000 m2 | 18 | 1.7% | 5 | 0.5% | 3 | 0.3% | 98 | 9.3% | ||
| 5000–10,000 m2 | 29 | 2.8% | 5 | 0.5% | 7 | 0.7% | |||||
| above 10,000 m2 | 18 | 1.7% | 8 | 0.8% | 5 | 0.5% | |||||
| Southern | [P4] before 1981 | 3000–5000 m2 | 8 | 0.8% | 11 | 1.0% | 4 | 0.4% | 51 | 4.9% | 493 (47.0%) |
| 5000–10,000 m2 | 6 | 0.6% | 14 | 1.3% | 3 | 0.3% | |||||
| above 10,000 m2 | 0 | 0.0% | 4 | 0.4% | 1 | 0.1% | |||||
| [P3] 1981–1993 | 3000–5000 m2 | 26 | 2.5% | 11 | 1.0% | 18 | 1.7% | 139 | 13.3% | ||
| 5000–10,000 m2 | 23 | 2.2% | 32 | 3.1% | 5 | 0.5% | |||||
| above 10,000 m2 | 4 | 0.4% | 16 | 1.5% | 4 | 0.4% | |||||
| [P2] 1993–2002 | 3000–5000 m2 | 53 | 5.1% | 9 | 0.9% | 23 | 2.2% | 203 | 19.4% | ||
| 5000–10,000 m2 | 40 | 3.8% | 17 | 1.6% | 15 | 1.4% | |||||
| above 10,000 m2 | 14 | 1.3% | 23 | 2.2% | 9 | 0.9% | |||||
| [P1] 2002–2010 | 3000–5000 m2 | 27 | 2.6% | 3 | 0.3% | 6 | 0.6% | 100 | 9.5% | ||
| 5000–10,000 m2 | 28 | 2.7% | 1 | 0.1% | 4 | 0.4% | |||||
| above 10,000 m2 | 16 | 1.5% | 11 | 1.0% | 4 | 0.4% | |||||
| Jeju | [P4] before 1981 | 3000–5000 m2 | 1 | 0.1% | 2 | 0.2% | 0 | 0.0% | 6 | 0.6% | 18 (1.7%) |
| 5000–10,000 m2 | 1 | 0.1% | 2 | 0.2% | 0 | 0.0% | |||||
| above 10,000 m2 | 0 | 0.0% | 0 | 0.0% | 0 | 0.0% | |||||
| [P3] 1981–1993 | 3000–5000 m2 | 1 | 0.1% | 1 | 0.1% | 0 | 0.0% | 2 | 0.2% | ||
| 5000–10,000 m2 | 0 | 0.0% | 0 | 0.0% | 0 | 0.0% | |||||
| above 10,000 m2 | 0 | 0.0% | 0 | 0.0% | 0 | 0.0% | |||||
| [P2] 1993–2002 | 3000–5000 m2 | 2 | 0.2% | 0 | 0.0% | 1 | 0.1% | 8 | 0.8% | ||
| 5000–10,000 m2 | 1 | 0.1% | 0 | 0.0% | 0 | 0.0% | |||||
| above 10,000 m2 | 2 | 0.2% | 2 | 0.2% | 0 | 0.0% | |||||
| [P1] 2002–2010 | 3000–5000 m2 | 0 | 0.0% | 1 | 0.1% | 0 | 0.0% | 2 | 0.2% | ||
| 5000–10,000 m2 | 1 | 0.1% | 0 | 0.0% | 0 | 0.0% | |||||
| above 10,000 m2 | 0 | 0.0% | 0 | 0.0% | 0 | 0.0% | |||||
| Region | Period | TFA | NAT 1 | LOC 2 | C&A 3 | Subtotal | Total | ||||
|---|---|---|---|---|---|---|---|---|---|---|---|
| Central | [P4] before 1981 | 3000–5000 m2 | 4 | 0.8% | 1 | 0.2% | 3 | 0.6% | 20 | 4.1% | 241 (49.8%) |
| 5000–10,000 m2 | 2 | 0.4% | 5 | 1.0% | 3 | 0.6% | |||||
| above 10,000 m2 | 0 | 0.0% | 2 | 0.4% | 0 | 0.0% | |||||
| [P3] 1981–1993 | 3000–5000 m2 | 15 | 3.1% | 6 | 1.2% | 14 | 2.9% | 88 | 18.2% | ||
| 5000–10,000 m2 | 14 | 2.9% | 12 | 2.5% | 7 | 1.4% | |||||
| above 10,000 m2 | 10 | 2.1% | 8 | 1.7% | 2 | 0.4% | |||||
| [P2] 1993–2002 | 3000–5000 m2 | 21 | 4.3% | 5 | 1.0% | 6 | 1.2% | 88 | 18.2% | ||
| 5000–10,000 m2 | 18 | 3.7% | 5 | 1.0% | 8 | 1.7% | |||||
| above 10,000 m2 | 8 | 1.7% | 11 | 2.3% | 6 | 1.2% | |||||
| [P1] 2002–2010 | 3000–5000 m2 | 10 | 2.1% | 2 | 0.4% | 0 | 0.0% | 45 | 9.3% | ||
| 5000–10,000 m2 | 12 | 2.5% | 2 | 0.4% | 3 | 0.6% | |||||
| above 10,000 m2 | 10 | 2.1% | 4 | 0.8% | 2 | 0.4% | |||||
| Southern | [P4] before 1981 | 3000–5000 m2 | 3 | 0.6% | 5 | 1.0% | 3 | 0.6% | 23 | 4.8% | 239 (49.4%) |
| 5000–10,000 m2 | 2 | 0.4% | 7 | 1.4% | 1 | 0.2% | |||||
| above 10,000 m2 | 0 | 0.0% | 1 | 0.2% | 1 | 0.2% | |||||
| [P3] 1981–1993 | 3000–5000 m2 | 14 | 2.9% | 5 | 1.0% | 8 | 1.7% | 69 | 14.3% | ||
| 5000–10,000 m2 | 11 | 2.3% | 14 | 2.9% | 6 | 1.2% | |||||
| above 10,000 m2 | 1 | 0.2% | 8 | 1.7% | 2 | 0.4% | |||||
| [P2] 1993–2002 | 3000–5000 m2 | 27 | 5.6% | 3 | 0.6% | 9 | 1.9% | 98 | 20.2% | ||
| 5000–10,000 m2 | 19 | 3.9% | 9 | 1.9% | 7 | 1.4% | |||||
| above 10,000 m2 | 6 | 1.2% | 13 | 2.7% | 5 | 1.0% | |||||
| [P1] 2002–2010 | 3000–5000 m2 | 10 | 2.1% | 3 | 0.6% | 5 | 1.0% | 49 | 10.1% | ||
| 5000–10,000 m2 | 13 | 2.7% | 1 | 0.2% | 1 | 0.2% | |||||
| above 10,000 m2 | 9 | 1.9% | 5 | 1.0% | 2 | 0.4% | |||||
| Jeju | [P4] before 1981 | 3000–5000 m2 | 0 | 0.0% | 1 | 0.2% | 0 | 0.0% | 1 | 0.2% | 4 (0.8%) |
| 5000–10,000 m2 | 0 | 0.0% | 0 | 0.0% | 0 | 0.0% | |||||
| above 10,000 m2 | 0 | 0.0% | 0 | 0.0% | 0 | 0.0% | |||||
| [P3] 1981–1993 | 3000–5000 m2 | 0 | 0.0% | 1 | 0.2% | 0 | 0.0% | 1 | 0.2% | ||
| 5000–10,000 m2 | 0 | 0.0% | 0 | 0.0% | 0 | 0.0% | |||||
| above 10,000 m2 | 0 | 0.0% | 0 | 0.0% | 0 | 0.0% | |||||
| [P2] 1993–2002 | 3000–5000 m2 | 2 | 0.4% | 0 | 0.0% | 0 | 0.0% | 2 | 0.4% | ||
| 5000–10,000 m2 | 0 | 0.0% | 0 | 0.0% | 0 | 0.0% | |||||
| above 10,000 m2 | 0 | 0.0% | 0 | 0.0% | 0 | 0.0% | |||||
| [P1] 2002–2010 | 3000–5000 m2 | 0 | 0.0% | 0 | 0.0% | 0 | 0.0% | 0 | 0.0% | ||
| 5000–10,000 m2 | 0 | 0.0% | 0 | 0.0% | 0 | 0.0% | |||||
| above 10,000 m2 | 0 | 0.0% | 0 | 0.0% | 0 | 0.0% | |||||
References
- United Nations Environment Programme. 2020 Global Status Report for Buildings and Construction: Towards a Zero-Emissions, Efficient and Resilient Buildings and Construction Sector; Efficient and Resilient Buildings and Construction Sector: Nairobi, Kenya, 2020; p. 4. [Google Scholar]
- Tan, Y.; Luo, T.; Xue, X.; Shen, G.Q.; Zhang, G.; Hou, L. An Empirical Study of Green Retrofit Technologies and Policies for Aged Residential Buildings in Hong Kong. J. Build. Eng. 2021, 39, 102271. [Google Scholar] [CrossRef]
- Kim, J.; Lim, S. A Direction to Improve EER (Energy Efficiency Retrofit) Policy for Residential Buildings in South Korea by Means of the Recurrent EER Policy. Sustain. Cities Soc. 2021, 72, 103049. [Google Scholar] [CrossRef]
- Paiho, S.; Seppä, I.P.; Jimenez, C. An Energetic Analysis of a Multifunctional Façade System for Energy Efficient Retrofitting of Residential Buildings in Cold Climates of Finland and Russia. Sustain. Cities Soc. 2015, 15, 75–85. [Google Scholar] [CrossRef]
- Xu, Y.; Li, G.; Zhou, J. Energy-Efficiency Retrofitting Strategies for Existing Residential Building Envelope System—A Case Study in China. J. Build. Constr. Plan. Res. 2021, 9, 12–25. [Google Scholar] [CrossRef]
- Sarihi, S.; Mehdizadeh Saradj, F.; Faizi, M. A Critical Review of Façade Retrofit Measures for Minimizing Heating and Cooling Demand in Existing Buildings. Sustain. Cities Soc. 2021, 64, 102525. [Google Scholar] [CrossRef]
- Republic of Korea, 2050 Carbon Neutral Strategy of the Republic of Korea. Available online: https://unfccc.int/documents/267683 (accessed on 25 June 2024).
- Nam, S.; Kim, J.; Lee, D. Current Status of Aged Public Buildings and Effect Analysis Prediction of Green Remodeling in South Korea. Sustainability 2021, 13, 6649. [Google Scholar] [CrossRef]
- Lee, J.; McCuskey Shepley, M.; Choi, J. Exploring the Effects of a Building Retrofit to Improve Energy Performance and Sustainability: A Case Study of Korean Public Buildings. J. Build. Eng. 2019, 25, 100822. [Google Scholar] [CrossRef]
- Cho, S.; Jeong, Y.S.; Huh, J.H. Is South Korea’s 2050 Carbon-Neutral Scenario Sufficient for Meeting Greenhouse Gas Emissions Reduction Goal? Energy Sustain. Dev. 2024, 80, 101447. [Google Scholar] [CrossRef]
- Korea Authority of Land & Infrastructure Safety, Green Remodeling Creation Center. Available online: https://www.greenremodeling.or.kr/ (accessed on 25 June 2024).
- Choi, B.H.; Song, S.Y. Insulation Performance Evaluation of Stone-Finished Exterior Insulation Systems with Insulation Frames for Green Remodeling of Concrete Exterior Walls. J. Build. Eng. 2024, 90, 109412. [Google Scholar] [CrossRef]
- Dannapfel, V. The PLUG-N-HARVEST Facade: A Second Skin with Active and Passive Components. J. Facade Des. Eng. 2019, 7, 101–114. [Google Scholar] [CrossRef]
- Du, H.; Huang, P.; Jones, P. Modular Facade Retrofit with Renewable Energy Technologies: The Definition and Current Status in Europe. Energy Build. 2019, 205, 109543. [Google Scholar] [CrossRef]
- Cruz Astorqui, J.S.; Amores, C.P.; Ramírez, C.P.; del Río Merino, M.; Sáez, P.V.; Barriguete, A. Vidales. New Execution Process of a Panel-Based Façade System That Reduces Project Duration and Improves Workers’ Working Conditions. J. Build. Eng. 2022, 48, 103894. [Google Scholar] [CrossRef]
- Chen, T.; Tai, K.F.; Raharjo, G.P.; Heng, C.K.; Leow, S.W. A Novel Design Approach to Prefabricated BIPV Walls for Multi-Storey Buildings. J. Build. Eng. 2023, 63, 105469. [Google Scholar] [CrossRef]
- Sah, T.P.; Lacey, A.W.; Hao, H.; Chen, W. Prefabricated Concrete Sandwich and Other Lightweight Wall Panels for Sustainable Building Construction: State-of-the-Art Review. J. Build. Eng. 2024, 89, 109391. [Google Scholar] [CrossRef]
- Torres, J.; Garay-Martinez, R.; Oregi, X.; Torrens-Galdiz, J.I.; Uriarte-Arrien, A.; Pracucci, A.; Casadei, O.; Magnani, S.; Arroyo, N.; Cea, A.M. Plug and Play Modular Facade Construction System for Renovation for Residential Buildings. Buildings 2021, 11, 419. [Google Scholar] [CrossRef]
- Energy in Building and Communities Programme, Annex 50: Prefabricated Systems for Low Energy Renovation of Residential Buildings. Available online: https://www.ecbcs.org/projects/project?AnnexID=50 (accessed on 25 June 2024).
- van Roosmalen, M.; Herrmann, A.; Kumar, A. A Review of Prefabricated Self-Sufficient Facades with Integrated Decentralised HVAC and Renewable Energy Generation and Storage. Energy Build. 2021, 248, 111107. [Google Scholar] [CrossRef]
- Statistics Korea, Korean Statistical Information Service. Available online: https://kosis.kr/eng/ (accessed on 25 June 2024).
- Ministry of Land, Infrastructure and Transport, Enforcement Decree of the Building Act. Available online: https://www.law.go.kr/LSW/lsInfoP.do?lsiSeq=261591&ancYd=20240329&ancNo=34370&efYd=20240329&nwJoYnInfo=Y&efGubun=Y&chrClsCd=010202&ancYnChk=0#0000 (accessed on 25 June 2024).
- Ministry of Land, Infrastructure and Transport, Green Buildings Construction Support Act. Available online: https://www.law.go.kr/LSW/eng/engLsSc.do?menuId=2§ion=lawNm&query=green+building+construction+support&x=27&y=16#EJ13:2 (accessed on 18 April 2024).
- Ministry of Land, Infrastructure and Transport, Enforcement Decree of the Green Buildings Construction Support Act. Available online: https://www.law.go.kr/LSW/lsInfoP.do?lsiSeq=257011&ancYd=20231219&ancNo=34006&efYd=20231219&nwJoYnInfo=Y&efGubun=Y&chrClsCd=010202&ancYnChk=0#0000 (accessed on 25 June 2024).
- Ministry of Land, Infrastructure and Transport, Building Energy-Conservation Design Standards. Available online: https://www.law.go.kr/admRulLsInfoP.do?chrClsCd=010202&admRulSeq=2100000219882 (accessed on 25 June 2024).
- Ministry of Land, Infrastructure and Transport. Energy Performance Improvement Standards for Existing Buildings. Available online: https://www.law.go.kr/LSW/admRulLsInfoP.do?admRulSeq=2100000213623 (accessed on 25 June 2024).
- Korea Authority of Land & Infrastructure Safety, The Public Buildings Energy Use Database. Available online: https://www.data.go.kr/data/3069931/fileData.do#/layer_data_infomation (accessed on 25 June 2024).
- Kim, H.G.; Jeong, D.W.; Kwon, S.J.; Kim, S.S. Development of Building Energy Performance Benchmark for Hospitals. Buildings 2023, 13, 12. [Google Scholar] [CrossRef]
- Reddy, T.A. Stratified Sampling for Variance Reduction. In Applied Data Analysis and Modeling for Energy Engineers and Scientists, 1st ed.; Springer: New York, NY, USA, 2011; ISBN 978-1-4419-9612-1. [Google Scholar]
- Trost, J.E. Statistically Nonrepresentative Stratified Sampling: A Sampling Technique for Qualitative Studies. Qual. Sociol. 1986, 9, 54–57. [Google Scholar] [CrossRef]
- Scheaffer, R.L.; Mendenhall, W., III; Ott, R.L.; Gerow, K.G. Elementary Survey Sampling; Cengage Learning: Boston, MA, USA, 2011; ISBN 978-1-133-42056-9. [Google Scholar]
- Myers, J.L.; Well, A.D.; Lorch, R.F., Jr. Research Design and Statistical Analysis, 3rd ed.; Routledge: London, UK, 2013; ISBN 978-0-8058-6431-1. [Google Scholar]
- Naver Map. Available online: https://map.naver.com/p?c=15.00,0,0,0,dh (accessed on 25 June 2024).
- Kakao Map. Available online: https://map.kakao.com/ (accessed on 25 June 2024).
- Naver. Available online: https://www.naver.com/ (accessed on 25 June 2024).
- Daum. Available online: https://www.daum.net/ (accessed on 25 June 2024).
- DesignBuilder Software Ltd., DesignBuilder. Available online: https://designbuilder.co.uk/ (accessed on 23 April 2024).
- Ministry of Land, Infrastructure and Transport. Certification for Building Energy Efficiency Rating and Certification Criteria for Zero-Energy Buildings. Available online: https://www.law.go.kr/LSW/eng/engLsSc.do?menuId=2&query=GREEN%20BUILDINGS%20CONSTRUCTION%20SUPPORT%20ACT#liBgcolor0 (accessed on 25 June 2024).
- Ministry of Land, Infrastructure and Transport. Building Energy Efficiency Rating Certification System Operation Regulations. Available online: https://beec.energy.or.kr/BC/BC04/BC04_05_002.do?no=5 (accessed on 25 June 2024).
- Bae, G.S.; Nho, G.P.; Song, T.S.; Ju, M.G.; Choi, E.J.; Kim, I.A.; Kim, D.H. Police Shift System and Working Hours; Korea Labor Institute: Sejong, Republic of Korea, 2012; ISBN 978-89-7356-932-8. [Google Scholar]
- Kim, J.W.; Lee, Y.J.; Hong, J.C.; Park, H.S.; Nho, N.S.; Moon, S.H. Energy Technology Transfer and Policy Research; Korea Institute of Energy Research: Daejeon, Republic of Korea, 2006; pp. 223–224. [Google Scholar]
- Oh, J.H.; Kim, H.G.; Kim, S.S. Development of Representative Envelope Types in Existing Public Building for Green Remodeling. J. Archit. Inst. Korea 2021, 37, 277–284. [Google Scholar] [CrossRef]









| Category | Examples |
|---|---|
| Community office | Community service center, community complex building, community health center |
| National government office | Fire station, police station, tax office |
| Local government office | City office, city council office, provincial government office |
| Public corporation and agency office | Korea Electric Power Corporation, Korea Energy Agency |
| Others | Hospital, laboratory, university |
| Attribute | Data Type | |
|---|---|---|
| Building | Region | Categorical |
| Building use | Categorical | |
| TFA | Categorical | |
| Organization name | Character | |
| Building name | Character | |
| Address | Character | |
| Conditioned area | Numeric | |
| Number of underground floors | Numeric | |
| Number of ground floors | Numeric | |
| Approval date for use | Date | |
| Energy | EUIAvg. (kWh/m2) | Numeric |
| EUIMedium (kWh/m2) | Numeric | |
| Region | Number of Observations (N) | TFA Group | ||
|---|---|---|---|---|
| 3000–5000 m2 | 5000–10,000 m2 | above 10,000 m2 | ||
| C | 739 | 343 (N = 290) | 372 (N = 268) | 375 (N = 181) |
| S | 598 | 298 (N = 268) | 335 (N = 214) | 368 (N = 116) |
| J | 23 | 255 (N = 13) | 295 (N = 6) | 205 (N = 4) |
| Class | Periods | Region | Exterior Window | Exterior Wall | Roof | Floor |
|---|---|---|---|---|---|---|
| L | Latest | C | 1.50 | 0.24 | 0.15 | 0.20 |
| S | 1.80 | 0.32 | 0.18 | 0.25 | ||
| P1 | 2002–2010 | C | 3.84 * | 0.47 | 0.29 | 0.41 |
| S | 4.19 * | 0.58 | 0.35 | 0.47 | ||
| P2 | 1993–2002 | C | 3.37 | 0.58 | 0.41 | 0.58 |
| S | 3.61 ** | 0.76 *** | 0.52 | 0.76 | ||
| P3 | 1981–1993 | C | 3.49 *** | 0.58 | 0.58 | 1.16 |
| S | ||||||
| P4 | Before 1981 | C | 6.6 *** | 2.09 | 1.05 | 1.74 |
| S |
| Category | Subcategory | Number of Observations | Ratio |
|---|---|---|---|
| NAT | Police station | 80 | 16.5% |
| Post office | 60 | 12.4% | |
| Fire station | 33 | 6.8% | |
| Tax office | 27 | 5.6% | |
| District education office | 20 | 4.1% | |
| Labor office | 11 | 2.3% | |
| Prosecutor’s office | 6 | 1.2% | |
| Military manpower administration | 2 | 0.4% | |
| Meteorological office | 1 | 0.2% | |
| Government complex | 1 | 0.2% | |
| LOC | City office | 41 | 8.5% |
| District office | 41 | 8.5% | |
| County office | 26 | 5.4% | |
| City council office | 23 | 4.8% | |
| Provincial government office | 8 | 1.7% | |
| C&A | Public corporation | 73 | 15.1% |
| Agency office | 31 | 6.4% | |
| Total | 484 | 100% | |
| Rectangle | L | C | T | Courtyard | |
|---|---|---|---|---|---|
| Diagram | ![]() | ![]() | ![]() | ![]() | ![]() |
| Ratio | 73.8% | 13.4% | 3.1% | 4.8% | 0.4% |
| E1 | E2 | E3 | E4 | E5 | ||
|---|---|---|---|---|---|---|
| Diagram | ![]() | ![]() | ![]() | ![]() | ![]() | Stone, Panel |
| Type | Regular | Punched window | Flat/Curved | S-shape | less than 30% | Dry |
| N | 139 | 195 | 152/84 | 25 | 81 | 337 |
| Ratio | 28.7% | 40.3% | 31.4%/17.4% | 5.2% | 16.7% | 69.6% |
| Diagram | ![]() | ![]() | ![]() | ![]() | ![]() | Tile, paint |
| Type | Horizontal symmetry | Vertical window | R-shape | F-shape | 30–50% | Wet |
| N | 227 | 26 | 44 | 62 | 285 | 147 |
| Ratio | 46.9% | 5.4% | 9.1% | 12.8% | 58.9% | 30.4% |
| Diagram | ![]() | ![]() | ![]() | ![]() | ![]() | |
| Type | Vertical symmetry | Linear window | C-shape | G-shape | 50–70% | |
| N | 16 | 117 | 77 | 6 | 78 | |
| Ratio | 3.3% | 24.2% | 15.9% | 1.2% | 16.1% | |
| Diagram | ![]() | ![]() | ![]() | ![]() | ![]() | |
| Type | Compositive | Curtain wall | I-shape | B-shape | 70–90% | |
| N | 102 | 146 | 21 | 13 | 40 | |
| Ratio | 21.1% | 30.2% | 4.3% | 2.7% | 8.3% | |
| Building Use (Operation Hours) | TFA | Building Height | Envelope Characteristics | Representative Envelope Example | ||||
|---|---|---|---|---|---|---|---|---|
| E1 | E2 | E3 | E4 | E5 | ||||
| NAT (8 h) | 3000– 5000 | Low | Horizontal symmetry | Punched window | C-shape | 30–50% | Dry | ![]() |
| LOC (8 h) | 5000– 10,000 | Low | Horizontal symmetry | Linear window | C-shape | 30–50% | Dry | ![]() |
| C&A (8 h) | 3000– 5000 | Low | Horizontal symmetry | Curtain wall | C-shape | 50–70% | Dry | ![]() |
| POLICE (12 h) | 5000– 10,000 | Low | Regular | Punched window | F- and C-shape | 30–50% | Dry | ![]() |
| POST (12 h) | 5000– 10,000 | Low | Horizontal symmetry | Curtain wall | R-shape | 50–70% | Dry | ![]() |
| FIRE (12 h) | 3000– 5000 | Low | Regular | Punched window | - | 30–50% | Dry | ![]() |
| Building Use | Type | Total | ||||||||
|---|---|---|---|---|---|---|---|---|---|---|
| Flat | Curved | R-Shape | C-Shape | I-Shape | S-Shape | F-Shape | G-Shape | B-Shape | ||
| NAT | 18 | 15 | 7 | 13 | 2 | 4 | 8 | 0 | 1 | 68 |
| LOC | 32 | 20 | 11 | 29 | 12 | 6 | 17 | 4 | 8 | 139 |
| C&A | 47 | 20 | 8 | 12 | 3 | 7 | 5 | 0 | 2 | 104 |
| POLICE | 25 | 7 | 5 | 13 | 2 | 2 | 25 | 1 | 0 | 80 |
| POST | 11 | 13 | 12 | 10 | 1 | 5 | 6 | 1 | 1 | 60 |
| FIRE | 19 | 9 | 1 | 0 | 1 | 1 | 1 | 0 | 1 | 33 |
| Total | 152 | 84 | 44 | 77 | 21 | 25 | 62 | 6 | 13 | 484 |
| NAT | POLICE | |
|---|---|---|
![]() | ![]() | |
| Operation hours | 8 | 24 |
| Aspect ratio | 2.6 | 2.6 |
| TFA | 4160 m2 | 8477.4 m2 |
| Number of floors | 4 | 4 |
| Floor to floor height | 4 m | 4 m |
| WWR | 36.7% | 38.8% |
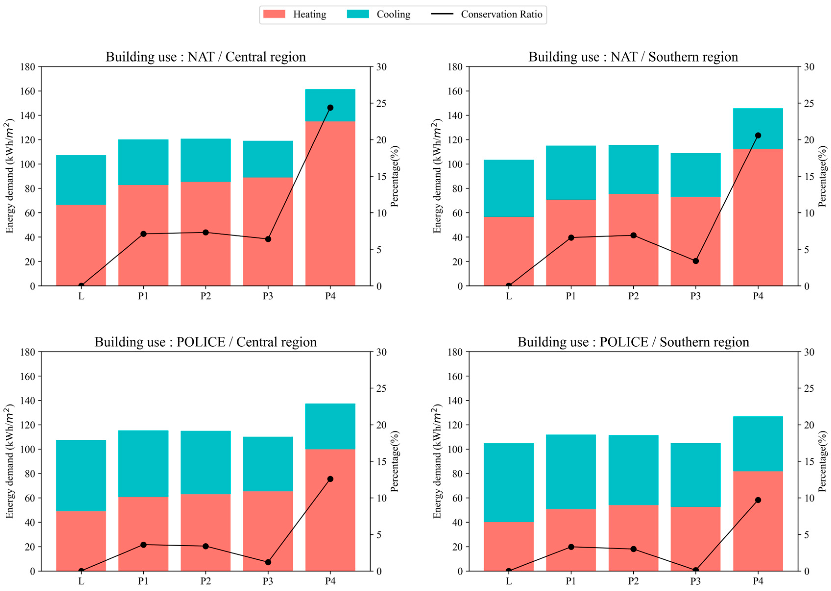
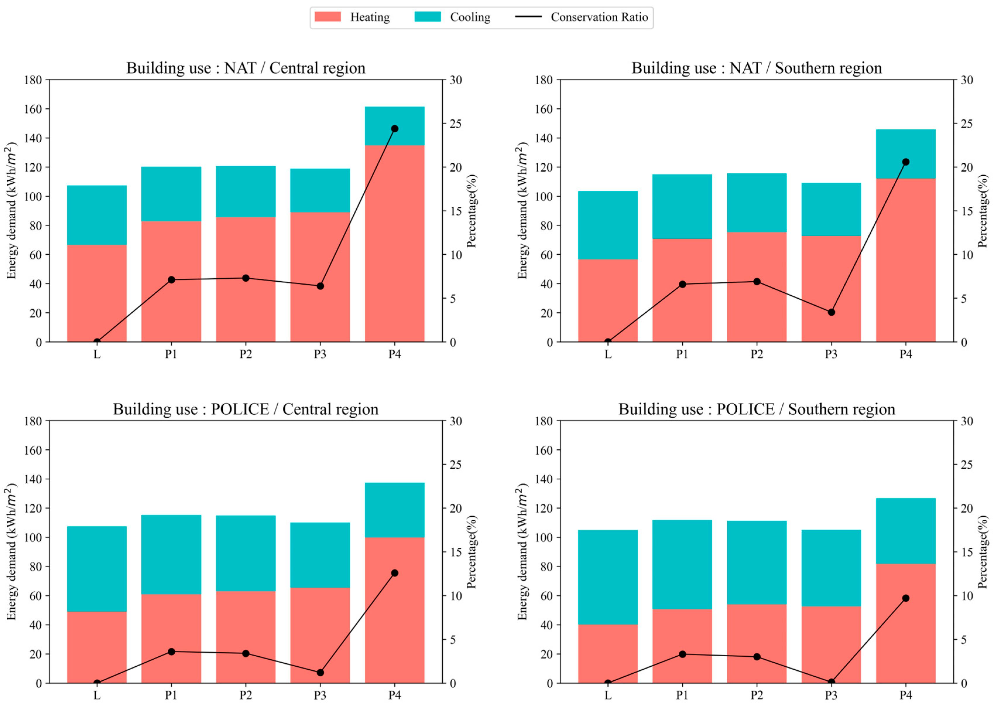
| Class | NAT | POLICE | ||||||
|---|---|---|---|---|---|---|---|---|
| Central | Southern | Central | Southern | |||||
| Heating | Cooling | Heating | Cooling | Heating | Cooling | Heating | Cooling | |
| L | 62.0% | 38.0% | 54.7% | 45.3% | 45.6% | 54.4% | 38.3% | 61.7% |
| P1 | 68.8% | 31.2% | 61.6% | 38.4% | 52.8% | 47.2% | 45.3% | 54.7% |
| P2 | 70.9% | 29.1% | 65.1% | 34.9% | 54.8% | 45.2% | 48.6% | 51.4% |
| P3 | 74.8% | 25.2% | 66.7% | 33.3% | 59.4% | 40.6% | 50.0% | 50.0% |
| P4 | 83.5% | 16.5% | 77.0% | 23.0% | 72.7% | 27.3% | 64.4% | 35.6% |
| Average | 72.0% | 28.0% | 65.0% | 35.0% | 57.0% | 43.0% | 49.3% | 50.7% |
Disclaimer/Publisher’s Note: The statements, opinions and data contained in all publications are solely those of the individual author(s) and contributor(s) and not of MDPI and/or the editor(s). MDPI and/or the editor(s) disclaim responsibility for any injury to people or property resulting from any ideas, methods, instructions or products referred to in the content. |
© 2024 by the authors. Licensee MDPI, Basel, Switzerland. This article is an open access article distributed under the terms and conditions of the Creative Commons Attribution (CC BY) license (https://creativecommons.org/licenses/by/4.0/).
Share and Cite
Oh, J.H.; Kim, S.S. Prefabricated Envelope Green Remodeling Potential of Public Office Buildings in Korea. Buildings 2024, 14, 2182. https://doi.org/10.3390/buildings14072182
Oh JH, Kim SS. Prefabricated Envelope Green Remodeling Potential of Public Office Buildings in Korea. Buildings. 2024; 14(7):2182. https://doi.org/10.3390/buildings14072182
Chicago/Turabian StyleOh, Ji Hyun, and Sun Sook Kim. 2024. "Prefabricated Envelope Green Remodeling Potential of Public Office Buildings in Korea" Buildings 14, no. 7: 2182. https://doi.org/10.3390/buildings14072182
APA StyleOh, J. H., & Kim, S. S. (2024). Prefabricated Envelope Green Remodeling Potential of Public Office Buildings in Korea. Buildings, 14(7), 2182. https://doi.org/10.3390/buildings14072182


































