Unveiling the Urban Morphology of Small Towns in the Eastern Qinba Mountains: Integrating Earth Observation and Morphometric Analysis
Abstract
1. Introduction
2. Materials and Methods
2.1. Study Area
2.2. Research Methodology
2.3. Morphometric Characteristics
2.4. Morphological Measurement of Small Towns in Shangluo City, Qinba Mountains, Southern Shaanxi
2.4.1. Small-Town District Identification
2.4.2. Small-Town Boundary Identification
2.4.3. Morphological Measurement
3. Results
3.1. Building Footprint Extraction Utilizing Open EO Data in the Qinba Mountain Area, Shangluo City
3.2. Morphological Measurement of Small Towns in Shangluo City, Qinba Mountain Area
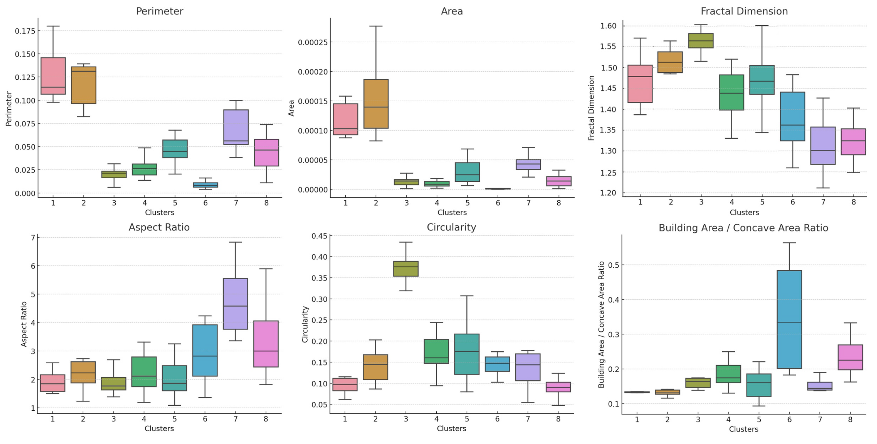
Morphological Clustering
4. Discussion
5. Conclusions
Author Contributions
Funding
Data Availability Statement
Acknowledgments
Conflicts of Interest
Appendix A
| Cluster | Towns |
|---|---|
| 1 | Zhongcun Town, Shilipu Town, Jingcun Town, Yongfeng Town, Shimen Town, Yaoshi Town |
| 2 | Bao’an Town, Gucheng Town, Shang Town, Dihua Town, Shahezi Town, Qingyouhe Town |
| 3 | Shiliping Town, Banqiao Town, Xianghe Town, Xizhaochuan Town, Qingtongguan Town, Gaoyao Town |
| 4 | Xialiang Town, Dongchuan Town, Liangling Town, Dangma Town, Beikuanping Town, Daping Town, Yuling Town, Muwang Town, Banyan Town, Manchuanguan Town, Niu’echuan Town, Shipo Town, Hongyansi Town, Caichuan Town, Daren Town, Jinsixia Town, Maping Town, Machihe Town, Majie Town |
| 5 | Yungaisi Town, Nankuanping Town, Tumen Town, Yecun Town, Dajing Town, Tianzhushan Town, Xiaoyi Town, Fushui Town, Siping Town, Sier Town, Xiaohekou Town, Zhangjia Town, Hujia Yuan Town, Milang Town, Sehepu Town, Maoping Hui Town, Shim Town, Zhaochuan Town, Tiechang Town, Gaobadian Town, Gaofeng Town |
| 6 | Sanchahe Town, Beizhaochuan Town, Tianqiao Town, Xiaoling Town, Yanping Town, Yangyuhe Town, Guofenglou Town, Qingshan Town |
| 7 | Sanyao Town, Xingping Town, Yangxia Town, Mu Hu Guan Town, Zhulin Guan Town, Tieyupu Town, Yinhua Town |
| 8 | Fenghuang Town, Luanzhuang Town, Xunjian Town, Yangdi Town, Chaiping Town, Wuguan Town, Faguan Town, Luoyuan Town, Shifosi Town, Shipu Town, Shiwen Town, Huapingzi Town, Yingpan Town, Xikou Hui Town, Heishan Town, Heilongkou Town |
References
- Stoica, I.V.; Tulla, A.F.; Zamfir, D.; Petrişor, A.I. Exploring the Urban Strength of Small Towns in Romania. Soc. Indic. Res. 2020, 152, 843–875. [Google Scholar] [CrossRef]
- Vaishar, A.; Zapletalová, J.; Nováková, E. Between Urban and Rural: Sustainability of Small Towns in the Czech Republic. Eur. Countryside 2016, 8, 351–372. [Google Scholar] [CrossRef]
- Zamfir, D.; Tălăngă, C.; Stoica, I.V. Romanian Small Towns Searching for Their Identity. J. Urban Reg. Anal. 2009, 1, 41–53. [Google Scholar] [CrossRef]
- Wolff, M.; Haase, A.; Leibert, T. Contextualizing Small Towns—Trends of Demographic Spatial Development in Germany 1961–2018. Geogr. Ann. Ser. B Hum. Geogr. 2021, 103, 196–217. [Google Scholar] [CrossRef]
- Urbanska, W.; Levering, F. Moving to a Small Town: A Guidebook to Moving from Urban to Rural America; Simon and Schuster: New York, NY, USA, 1996. [Google Scholar]
- Wu, Y.; Chen, Y.; Deng, X.; Hui, E.C.M. Development of Characteristic Towns in China. Habitat Int. 2018, 77, 21–31. [Google Scholar] [CrossRef]
- Liu, Y. Introduction to Land Use and Rural Sustainability in China. Land Use Policy 2018, 74, 1–4. [Google Scholar] [CrossRef]
- Servillo, L.; Atkinson, R.; Smith, I.; Russo, A.; Sýkora, L.; Demazière, C. TOWN Small and Medium Sized Towns in their Functional Territorial Context-Inception Report; European Union: Brussels, Belgium, 2012; p. 47. [Google Scholar]
- Lynch, K. A Theory of Good City Form; MIT Press: Boston, MA, USA, 1981. [Google Scholar]
- Chen, F. Urban Morphology and Citizens’ Life. In Encyclopedia of Quality of Life and Well-Being Research; Springer: Berlin/Heidelberg, Germany, 2021; pp. 1–6. [Google Scholar]
- Hatvani-Kovacs, G.; Bush, J.; Sharifi, E.; Boland, J. Policy Recommendations to Increase Urban Heat Stress Resilience. Urban Climate 2018, 25, 51–63. [Google Scholar] [CrossRef]
- Oliveira, V.; Monteiro, C.; Partanen, J. A Comparative Study of Urban Form. Urban Morphology 2014, 19, 73–92. [Google Scholar] [CrossRef]
- Berghauser Pont, M.; Haupt, P. Spacemate: The Spatial Logic of Urban Density; Delft University Press Science: Delft, The Netherlands, 2004. [Google Scholar]
- Bocher, E.; Petit, G.; Bernard, J.; Palominos, S. A Geoprocessing Framework to Compute Urban Indicators: The MApUCE Tools Chain. Urban Climate 2018, 24, 153–174. [Google Scholar] [CrossRef]
- Fleischmann, M.; Romice, O.; Porta, S. Measuring Urban Form: Overcoming Terminological Inconsistencies for a Quantitative and Comprehensive Morphologic Analysis of Cities. Environ. Plan. B Urban Anal. City Sci. 2021, 48, 2133–2150. [Google Scholar] [CrossRef]
- Berghauser Pont, M.; Stavroulaki, G.; Bobkova, E.; Gil, J.; Marcus, L.; Olsson, J.; Sun, K.; Serra, M.; Hausleitner, B.; Dhanani, A.; et al. The Spatial Distribution and Frequency of Street, Plot and Building Types Across Five European Cities. Environ. Plan. B Urban Anal. City Sci. 2019, 46, 1226–1242. [Google Scholar] [CrossRef]
- Kristjánsdóttir, S. Roots of Urban Morphology. ICONARP Int. J. Archit. Plan. 2019, 7, 15–36. [Google Scholar] [CrossRef]
- Fleischmann, M.; Feliciotti, A.; Romice, O.; Porta, S. Methodological Foundation of a Numerical Taxonomy of Urban Form. Environ. Plan. B Urban Anal. City Sci. 2022, 49, 1283–1299. [Google Scholar] [CrossRef]
- Rojas-Cortorreal, G.; Navés, F.; Peña, J.; Roset, J.; López-Ordóñez, C. Climate and Urban Morphology in the City of Barcelona: The Role of Vegetation. In Mediterranean Identities—Environment, Society, Culture, 1st ed.; Fuerst-Bjelis, B., Ed.; InTech: Rijeka, Croatia, 2017; p. 426. [Google Scholar] [CrossRef]
- Lobo, J.; See, E.Y.S.; Biggs, M.; Pandit, A. An Insight into Morphometric Descriptors of Cell Shape That Pertain to Regenerative Medicine. J. Tissue Eng. Regen. Med. 2016, 10, 539–553. [Google Scholar] [CrossRef]
- D’Anselmi, F.; Valerio, M.; Cucina, A.; Galli, L.; Proietti, S.; Dinicola, S.; Pasqualato, A.; Manetti, C.; Ricci, G.; Giuliani, A.; et al. Metabolism and Cell Shape in Cancer: A Fractal Analysis. Int. J. Biochem. Cell Biol. 2011, 43, 1052–1058. [Google Scholar] [CrossRef]
- Porta, S.; Venerandi, A.; Feliciotti, A.; Raman, S.; Romice, O.; Wang, J.; Kuffer, M. Urban MorphoMetrics + Earth Observation: An Integrated Approach to Rich/Extra-Large-Scale Taxonomies of Urban Form. Projections 2022, 16. Available online: https://projections.pubpub.org/pub/vfwe0fdj (accessed on 7 June 2024).
- Yap, W.; Janssen, P.; Biljecki, F. Free and Open Source Urbanism: Software for Urban Planning Practice. Comput. Environ. Urban Syst. 2022, 96, 101825. [Google Scholar] [CrossRef]
- Taubenböck, H.; Esch, T.; Wurm, M.; Roth, A.; Dech, S. Object-based Feature Extraction Using High Spatial Resolution Satellite Data of Urban Areas. J. Spatial Sci. 2010, 55, 117–132. [Google Scholar] [CrossRef]
- Geiß, C.; Taubenböck, H.; Wurm, M.; Esch, T.; Nast, M.; Schillings, C.; Blaschke, T. Remote Sensing-Based Characterization of Settlement Structures for Assessing Local Potential of District Heat. Remote Sens. 2011, 3, 1447–1471. [Google Scholar] [CrossRef]
- Salazar Miranda, A. The Shape of Segregation: The Role of Urban Form in Immigrant Assimilation. Cities 2020, 106, 102852. [Google Scholar] [CrossRef]
- Wang, Z.; Su, Y. Assessment of Soil Erosion in the Qinba Mountains of the Southern Shaanxi Province in China Using the RUSLE Model. Sustainability 2020, 12, 1733. [Google Scholar] [CrossRef]
- Shang, H.; Hu, Y.; Fan, J.; Song, N.; Su, F. Analysis of Farm Household Livelihood Sustainability Based on Improved IPAT Equation: A Case Study of 24 Counties in 3 Cities in the Qin-Ba Mountain Region of Southern Shaanxi. Land 2023, 12, 980. [Google Scholar] [CrossRef]
- Ma, Q.; Zhou, M.; Liu, J.; Zhao, J.; Xi, M. Coupling Relationship between Ecosystem Service Value and Socioeconomic Development in the Qinba Mountains, China. Diversity 2022, 14, 1105. [Google Scholar] [CrossRef]
- Chen, S.; Mehmood, M.S.; Liu, S.; Gao, Y. Spatial Pattern and Influencing Factors of Rural Settlements in Qinba Mountains, Shaanxi Province, China. Sustainability 2022, 14, 10095. [Google Scholar] [CrossRef]
- Wu, Z.; Cheng, G.; Wang, D.; Guo, Q. Urban and Rural Space Development in Qinba Mountain Area Based on Basins. Strateg. Study Chin. Acad. Eng. 2020, 22, 56–63. [Google Scholar] [CrossRef]
- Jokar Arsanjani, J.; Zipf, A.; Mooney, P.; Helbich, M. An Introduction to OpenStreetMap in Geographic Information Science: Experiences, Research, and Applications. In OpenStreetMap in GIScience; Jokar Arsanjani, J., Zipf, A., Mooney, P., Eds.; Springer: Cham, Switzerland, 2015; pp. 1–15. [Google Scholar] [CrossRef]
- Barrington-Leigh, C.; Millard-Ball, A. Correction: The World’s User-Generated Road Map is More Than 80% Complete. PLoS ONE 2019, 14, e0224742. [Google Scholar] [CrossRef]
- Cheng, J.; Zhu, Y.; Zhao, Y.; Li, T.; Chen, M.; Sun, Q.; Gu, Q.; Zhang, X. Application of an Improved U-Net with Image-to-Image Translation and Transfer Learning in Peach Orchard Segmentation. Int. J. Appl. Earth Obs. Geoinf. 2024, 130, 103871. [Google Scholar] [CrossRef]
- Murillo-García, F.G.; Alcántara-Ayala, I. Landslide Inventory, Teziutlán Municipality, Puebla, México (1942–2015). J. Maps 2017, 13, 767–776. [Google Scholar] [CrossRef]
- Vasavi, S.; Somagani, H.S.; Sai, Y. Classification of Buildings from VHR Satellite Images Using Ensemble of U-Net and ResNet. Egypt. J. Remote Sens. Space Sci. 2023, 26, 937–953. [Google Scholar] [CrossRef]
- He, L.; Li, M.; Wang, X.; Wu, X.; Yue, G.; Wang, T.; Zhou, Y.; Lei, B.; Zhou, G. Morphology-Based Deep Learning Enables Accurate Detection of Senescence in Mesenchymal Stem Cell Cultures. BMC Biol. 2024, 22, 1. [Google Scholar] [CrossRef]
- Chen, S.; Biljecki, F. Automatic Assessment of Public Open Spaces Using Street View Imagery. Cities 2023, 137, 104329. [Google Scholar] [CrossRef]
- Basaraner, M.; Cetinkaya, S. Performance of Shape Indices and Classification Schemes for Characterising Perceptual Shape Complexity of Building Footprints in GIS. Int. J. Geogr. Inf. Sci. 2017, 31, 1952–1977. [Google Scholar] [CrossRef]
- Song, Y.; Long, Y.; Wu, P.; Wang, X. Are All Cities with Similar Urban Form or Not? Redefining Cities with Ubiquitous Points of Interest and Evaluating Them with Indicators at City and Block Levels in China. Int. J. Geogr. Inf. Sci. 2018, 32, 2447–2476. [Google Scholar] [CrossRef]
- Triantakonstantis, D.; Stathakis, D. Examining Urban Sprawl in Europe Using Spatial Metrics. Geocarto Int. 2015, 30, 1092–1112. [Google Scholar] [CrossRef]
- Serrano Giné, D.; Russo, A.; Brandajs, F.; Pérez Albert, M.Y. Characterizing European Urban Settlements from Population Data: A Cartographic Approach. Cartogr. Geogr. Inf. Sci. 2015, 43, 442–453. [Google Scholar] [CrossRef]
- Zhang, Y.; Lu, C.; Wang, J.; Du, F. A Large-Scale Extraction Framework for Mapping Urban Informal Settlements Using Remote Sensing and Semantic Segmentation. Geocarto Int. 2024, 39, 1. [Google Scholar] [CrossRef]
- Ma, R.; Chen, J.; Yang, C.; Li, X. OSMsc: A Framework for Semantic 3D City Modeling Using OpenStreetMap. Int. J. Geogr. Inf. Sci. 2023, 38, 1–26. [Google Scholar] [CrossRef]
- Fleischmann, M.; Arribas-Bel, D. Geographical Characterisation of British Urban Form and Function Using the Spatial Signatures Framework. Sci. Data 2022, 9, 546. [Google Scholar] [CrossRef] [PubMed]
- Dibble, J.; Prelorendjos, A.; Romice, O.; Zanella, M.; Strano, E.; Pagel, M.; Porta, S. On the Origin of Spaces: Morphometric Foundations of Urban Form Evolution. Environ. Plan. B Urban Anal. City Sci. 2019, 46, 707–730. [Google Scholar] [CrossRef]
- Wentz, E.A.; York, A.M.; Alberti, M.; Conrow, L.; Fischer, H.; Inostroza, L.; Jantz, C.; Pickett, S.T.A.; Seto, K.C.; Taubenböck, H. Six Fundamental Aspects for Conceptualizing Multidimensional Urban Form: A Spatial Mapping Perspective. Landsc. Urban Plan. 2018, 179, 55–62. [Google Scholar] [CrossRef]
- Xiao, T.; Wan, Y.; Jin, R.; Qin, J.; Wu, T. Integrating Gaussian Mixture Dual-Clustering and DBSCAN for Exploring Heterogeneous Characteristics of Urban Spatial Agglomeration Areas. Remote Sens. 2022, 14, 5689. [Google Scholar] [CrossRef]
- Cetinkaya, S.; Basaraner, M.; Burghardt, D. Proximity-Based Grouping of Buildings in Urban Blocks: A Comparison of Four Algorithms. Geocarto Int. 2014, 30, 618–632. [Google Scholar] [CrossRef]
- Edelsbrunner, H.; Kirkpatrick, D.; Seidel, R. On the Shape of a Set of Points in the Plane. IEEE Trans. Inf. Theory 1983, 29, 551–559. [Google Scholar] [CrossRef]
- Duckham, M.; Kulik, L.; Worboys, M.; Galton, A. Efficient Generation of Simple Polygons for Characterizing the Shape of a Set of Points in the Plane. Pattern Recognit. 2008, 41, 3224–3236. [Google Scholar] [CrossRef]
- Gillies, S. The Shapely User Manual, 2013. Available online: https://sethc23.github.io/wiki/Python/The_Shapely_User_Manual_%E2%80%94_Shapely_1.2_and_1.3_documentation.pdf (accessed on 26 August 2022).
- Bellock, K.E. Alpha Shape Toolbox; Version v1.3.1, 2021. Available online: https://alphashape.readthedocs.io/en/latest/alphashape.html (accessed on 16 April 2021).
- Ai, T.; Zhang, R.; Zhou, H.W.; Pei, J.L. Box-Counting Methods to Directly Estimate the Fractal Dimension of a Rock Surface. Appl. Surf. Sci. 2014, 314, 610–621. [Google Scholar] [CrossRef]
- Fleischmann, M. momepy: Urban Morphology Measuring Toolkit. J. Open Sour. Softw. 2019, 4, 1807. [Google Scholar] [CrossRef]
- Philippi, D.; Rothaus, K.; Castelli, M. A Vision Transformer Architecture for the Automated Segmentation of Retinal Lesions in Spectral Domain Optical Coherence Tomography Images. Sci. Rep. 2023, 13, 517. [Google Scholar] [CrossRef]
- Qin, C.; Wu, Y.; Liao, W.; Zeng, J.; Liang, S.; Zhang, X. Improved U-Net3+ with Stage Residual for Brain Tumor Segmentation. BMC Med. Imaging 2022, 22, 14. [Google Scholar] [CrossRef]
- Ashari, I.F.; Nugroho, E.D.; Baraku, R.; Yanda, I.N.; Liwardana, R. Analysis of Elbow, Silhouette, Davies-Bouldin, Calinski-Harabasz, and Rand-Index Evaluation on K-Means Algorithm for Classifying Flood-Affected Areas in Jakarta. J. Appl. Inform. Comput. 2023, 7, 89–97. [Google Scholar] [CrossRef]
- Reddy, C.K.; Vinzamuri, B. A Survey of Partitional and Hierarchical Clustering Algorithms. In Data Clustering; Chapman and Hall/CRC: Boca Raton, FL, USA, 2018; pp. 87–110. [Google Scholar]
- Ramos, M.C. Divisive and Hierarchical Clustering Techniques to Analyse Variability of Rainfall Distribution Patterns in a Mediterranean Region. Atmos. Res. 2001, 57, 123–138. [Google Scholar] [CrossRef]
- Jiménez-Espada, M.; Cuartero, A.; Breton, M.L. Sustainability Assessment through Urban Accessibility Indicators and GIS in a Middle-Sized World Heritage City: The Case of Cáceres, Spain. Buildings 2022, 12, 813. [Google Scholar] [CrossRef]
- Gu, C.; Li, Y.; Han, S.S. Development and Transition of Small Towns in Rural China. Habitat Int. 2015, 50, 110–119. [Google Scholar] [CrossRef]
- Ogle, J.; Delparte, D.; Sanger, H. Quantifying the Sustainability of Urban Growth and Form Through Time: An Algorithmic Analysis of a City’s Development. Appl. Geogr. 2017, 88, 1–14. [Google Scholar] [CrossRef]
- Wang, X.; Liu, S.; Sykes, O.; Wang, C. Characteristic Development Model: A Transformation for the Sustainable Development of Small Towns in China. Sustainability 2019, 11, 3753. [Google Scholar] [CrossRef]
- Wei, W.; Bao, Y.; Wang, Z.; Chen, X.; Luo, Q.; Mo, Y. Response of Habitat Quality to Urban Spatial Morphological Structure in Multi-Mountainous City. Ecol. Indic. 2023, 146, 109877. [Google Scholar] [CrossRef]











| Index | Element | Level | Category |
|---|---|---|---|
| Area | Town district | L | Dimension |
| Perimeter | Town district | L | Dimension |
| Fractal Dimension | Town district | L | Shape |
| Longest Axis Length | Town district | L | Shape |
| Circularity | Town district | L | Shape |
| Centroid–Corner Mean Distance | Town district | L | Shape |
| Hull Perimeter | Town district | L | Dimension |
| Aspect Ratio | Town district | L | Shape |
| Nucleus Area | Tessellation cell | M | Dimension |
| Nucleus Buildings Count | Tessellation cell | M | Dimension |
| Nucleus Area Ratio | Tessellation cell | M | Intensity |
| Building Count | Building | S | Dimension |
| Area | Building | S | Dimension |
| Coverage Area Ratio | Building | S | Intensity |
| Cluster Number | Shape | Density | Size |
|---|---|---|---|
| 1 | Irregular | Low | Large |
| 2 | Irregular | Low | Large |
| 3 | Circular | Moderate | Small |
| 4 | Long–Narrow | High | Small |
| 5 | Regular | Moderate | Medium |
| 6 | Compact | Very High | Very Small |
| 7 | Long–Narrow | Low | Large |
| 8 | Irregular | High | Medium |
Disclaimer/Publisher’s Note: The statements, opinions and data contained in all publications are solely those of the individual author(s) and contributor(s) and not of MDPI and/or the editor(s). MDPI and/or the editor(s) disclaim responsibility for any injury to people or property resulting from any ideas, methods, instructions or products referred to in the content. |
© 2024 by the authors. Licensee MDPI, Basel, Switzerland. This article is an open access article distributed under the terms and conditions of the Creative Commons Attribution (CC BY) license (https://creativecommons.org/licenses/by/4.0/).
Share and Cite
Zhao, X.; Wu, Z. Unveiling the Urban Morphology of Small Towns in the Eastern Qinba Mountains: Integrating Earth Observation and Morphometric Analysis. Buildings 2024, 14, 2015. https://doi.org/10.3390/buildings14072015
Zhao X, Wu Z. Unveiling the Urban Morphology of Small Towns in the Eastern Qinba Mountains: Integrating Earth Observation and Morphometric Analysis. Buildings. 2024; 14(7):2015. https://doi.org/10.3390/buildings14072015
Chicago/Turabian StyleZhao, Xin, and Zuobin Wu. 2024. "Unveiling the Urban Morphology of Small Towns in the Eastern Qinba Mountains: Integrating Earth Observation and Morphometric Analysis" Buildings 14, no. 7: 2015. https://doi.org/10.3390/buildings14072015
APA StyleZhao, X., & Wu, Z. (2024). Unveiling the Urban Morphology of Small Towns in the Eastern Qinba Mountains: Integrating Earth Observation and Morphometric Analysis. Buildings, 14(7), 2015. https://doi.org/10.3390/buildings14072015

